A Comparison and Validation of Saturated Hydraulic Conductivity Models
Abstract
1. Introduction
2. Methods
2.1. Site Description
2.2. Soil Strutural Properties
2.3. Particle Size Fractions and Soil Texture
2.4. Field Saturated Hydraulic Conductivity
2.5. Modeling Saturated Hydraulic Conducitivity
2.5.1. Puckett et al. Model
2.5.2. Jabro Model
2.5.3. Campbell Model
2.5.4. Smettem and Bristow Model
2.5.5. Saxton et al. Model
2.5.6. Statistical Analysis
3. Results and Discussion
3.1. Soil Structural Properties
3.2. Particle Size and Soil Texture
3.3. Field Saturated Hydraulic Conductivity
3.4. Modeled Saturated Hydraulic Conductivity
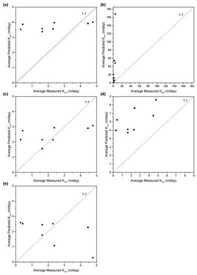
3.5. Model Performance
3.6. Model Comparison
3.7. Model Results Implications
4. Conclusions
Author Contributions
Funding
Acknowledgments
Conflicts of Interest
References
- Qi, S.; Wen, Z.; Lu, C.; Shu, L.; Shao, J.; Huang, Y.; Zhang, S.; Huang, Y. A new empirical model for estimating the hydraulic conductivity of low permeability media. IAHS-AISH Proc. Rep. 2015, 368, 478–483. [Google Scholar] [CrossRef][Green Version]
- Hwang, H.T.; Jeen, S.W.; Suleiman, A.A.; Lee, K.K. Comparison of saturated hydraulic conductivity estimated by three different methods. Water (Switzerland) 2017, 9, 942. [Google Scholar] [CrossRef]
- Freeze, R.A.; Cherry, J.A. Groundwater; Prentice-Hall, Inc.: Englewood Cliffs, NJ, USA, 1979; ISBN 01-336-53129. [Google Scholar]
- Chapuis, R.P. Predicting the saturated hydraulic conductivity of soils: A review. Bull. Eng. Geol. Environ. 2012, 71, 401–434. [Google Scholar] [CrossRef]
- Darcy, H. The Public Fountains of the City of Dijon; Dalmont: Paris, France, 1856; ISBN 3663537137. [Google Scholar]
- Klute, A. Laboratory Measurement of Hydraulic Conductivity of Unsaturated Soil. In Methods of Soil Analysis: Part 1-Physical and Mineralogical Properties, Including Statistics of Measurement and Sampling; Black, C.A., Evans, D.D., White, J.L., Ensminger, L.E., Clark, F.E., Dinauer, R.C., Eds.; American Society of Argronomy: Madison, WI, USA, 1965; pp. 210–221. [Google Scholar]
- Boersma, L. Field Measurement of Hydraulic Conductivity Above a Water Table. In Methods of Soil Analysis: Part 1-Physical and Mineralogical Properties, Including Statistics of Measurement and Sampling; Black, C.A., Evans, D.D., White, J.L., Ensminger, L.E., Clark, F.E., Dinauer, R.C., Eds.; American Society of Argronomy: Madison, WI, USA, 1965; pp. 222–233. [Google Scholar]
- Zhang, Y.; Schaap, M.G. Estimation of saturated hydraulic conductivity with pedotransfer functions: A review. J. Hydrol. 2019, 575, 1011–1030. [Google Scholar] [CrossRef]
- Montzka, C.; Herbst, M.; Weihermüller, L.; Verhoef, A.; Vereecken, H. A global data set of soil hydraulic properties and sub-grid variability of soil water retention and hydraulic conductivity curves. Earth Syst. Sci. Data Discuss. 2017, 1–25. [Google Scholar] [CrossRef]
- Vereecken, H.; Schnepf, A.; Hopmans, J.W.; Javaux, M.; Or, D.; Roose, T.; Vanderborght, J.; Young, M.H.; Amelung, W.; Aitkenhead, M.; et al. Modeling Soil Processes: Review, Key Challenges, and New Perspectives. Vadose Zone J. 2016, 15, vzj2015.09.0131. [Google Scholar] [CrossRef]
- Saxton, K.E.; Rawls, W.J.; Romberger, J.S.; Papendick, R. Estimating general soil-water characteristics from texture. Soil Sci. Soc. Am. J. 1986, 5, 1031–1036. [Google Scholar] [CrossRef]
- Kennedy, C.D.; Murdoch, L.C.; Genereux, D.P.; Corbett, D.R.; Stone, K.; Pham, P.; Mitasova, H. Comparison of Darcian flux calculations and seepage meter measurements in a sandy streambed in North Carolina, United States. Water Resour. Res. 2010, 46, 1–11. [Google Scholar] [CrossRef]
- Duan, R.; Fedler, C.B.; Borrelli, J. Comparison of methods to estimate saturated hydraulic conductivity in texas soils with grass. J. Irrig. Drain. Eng. 2012, 138, 322–327. [Google Scholar] [CrossRef]
- Vienken, T.; Dietrich, P. Field evaluation of methods for determining hydraulic conductivity from grain size data. J. Hydrol. 2011, 400, 58–71. [Google Scholar] [CrossRef]
- Fetter, C.W. Applied Hydrogeology, 4th ed.; Lynch, P., Ed.; Prentice-Hall, Inc.: Upper Saddle River, NJ, USA, 2001; ISBN 9780130882394. [Google Scholar]
- Reynolds, W.D.; Bowman, B.T.; Brunke, R.R.; Drury, C.F.; Tan, C.S. Comparison of tension infiltrometer, pressure infiltrometer, and soil core estimates of saturated hydraulic conductivity. Soil Sci. Soc. Am. J. 2000, 64, 478–484. [Google Scholar] [CrossRef]
- Hvorslev, M.J. Time Lag and Soil Permeability in Ground-Water Observations. Waterw. Exp. Station Bull. 1951, 36, 1–55. [Google Scholar]
- Butler, J.J., Jr. The Design, Performance, and Analysis of Slug Tests; CRC Press LLC: Boca Raton, FL, USA, 1998; ISBN 1-56670-230-5. [Google Scholar]
- Butler, J.J., Jr.; McElwee, C.D.; Liu, W. Improving the Quality of Parameter Estimates Obtained from Slug Tests. Ground Water 1996, 34, 480–490. [Google Scholar] [CrossRef]
- Dorsey, J.D.; Ward, A.D.; Fausey, N.R.; Bair, E.S. Comparison of four field methods for measuring saturated hydraulic conductivity. Trans. Am. Soc. Agric. Eng. 1990, 33, 1925–1931. [Google Scholar] [CrossRef]
- Black, J.H. The practical reasons why slug tests (including falling and rising head tests) often yield the wrong value of hydraulic conductivity. Q. J. Eng. Geol. Hydrogeol. 2010, 43, 345–358. [Google Scholar] [CrossRef]
- Strayer, D.L.; Beighley, R.E.; Thompson, L.C.; Brooks, S.; Nilsson, C.; Pinay, G.; Naiman, R.J. Effects of land cover on stream ecosystems: Roles of empirical models and scaling issues. Ecosystems 2003, 6, 407–423. [Google Scholar] [CrossRef]
- Kellner, E.; Hubbart, J.A. Continuous and event-based time series analysis of observed floodplain groundwater flow under contrasting land-use types. Sci. Total Environ. 2016, 566–567, 436–445. [Google Scholar] [CrossRef]
- Anderson, M.P. Characterization of Geological Heterogeneity; Dagan, G., Neuman, S., Eds.; Cambridge University Press: Cambridge, UK, 1997; ISBN 9780511600081. [Google Scholar]
- Chen, X.; Song, J.; Wang, W. Spatial variability of specific yield and vertical hydraulic conductivity in a highly permeable alluvial aquifer. J. Hydrol. 2010, 388, 379–388. [Google Scholar] [CrossRef]
- Van Looy, K.; Bouma, J.; Herbst, M.; Koestel, J.; Minasny, B.; Mishra, U.; Montzka, C.; Nemes, A.; Pachepsky, Y.A.; Padarian, J.; et al. Pedotransfer Functions in Earth System Science: Challenges and Perspectives. Rev. Geophys. 2017, 55, 1199–1256. [Google Scholar] [CrossRef]
- Jabro, J.D. Estimation of saturated hydraulic conductivity of soils from particle size distribution and bulk density data. Trans. Am. Soc. Agric. Eng. 1992, 35, 557–560. [Google Scholar] [CrossRef]
- Suleiman, A.A.; Ritchie, J.T. Estimating saturated hydraulic conductivity from soil porosity. Trans. Am. Soc. Agric. Eng. 2001, 44, 235–239. [Google Scholar] [CrossRef]
- Chapuis, R.P. Predicting the saturated hydraulic conductivity of sand and gravel using effective diameter and void ratio. Can. Geotech. J. 2004, 41, 787–795. [Google Scholar] [CrossRef]
- Urumović, K. The referential grain size and effective porosity in the Kozeny-Carman model. Hydrol. Earth Syst. Sci. 2016, 20, 1669–1680. [Google Scholar] [CrossRef]
- Salem, H.S. Application of the Kozeny-Carman equation to permeability determination for a glacial outwash aquifer, using grain-size analysis. Energy Sources 2001, 23, 461–473. [Google Scholar] [CrossRef]
- Carrier, W.D., III. Goodbye, Hazen; Hello, Kozeny-Carman. J. Geotech. Geoenviron. Eng. 2003, 129, 1054–1056. [Google Scholar] [CrossRef]
- Carman, P.C. Permeability of saturated sands, soils and clays. J. Agric. Sci. 1939, 29, 262–273. [Google Scholar] [CrossRef]
- Hazen, A. Some physical properties of sands and gravels, with special reference to their use in filtration. 24th Annu. Rep. 1892, 539–556. [Google Scholar]
- Kozeny, J. Ueber kapillare Leitung des Wassers im Boden. Wien. Akad. Wiss. 1927, 136, 271. [Google Scholar]
- Saxton, K.E.; Rawls, W.J. Soil Water Characteristic Estimates by Texture and Organic Matter for Hydrologic Solutions. Soil Sci. Soc. Am. J. 2006, 70, 1569–1578. [Google Scholar] [CrossRef]
- Hillel, D. Introduction to Environmental Soil Physics; Academic Press: San Diego, CA, USA, 2004; ISBN 0-12-348655-6. [Google Scholar]
- Vereecken, H.; Maes, J.; Feyen, J. Estimating unsaturated hydraulic conductivity from easily measured soil properties. Soil Sci. 1990, 149, 1–12. [Google Scholar] [CrossRef]
- Puckett, W.E.; Dane, J.H.; Hajek, B. Physical and Mineralogical Data to Determine Soil Hydraulic Properties†. Soil Sci. Soc. Am. J. 1985, 49, 831–836. [Google Scholar] [CrossRef]
- Campbell, G.S. Soil Physics with BASIC: Transport Models for Soil-Plant Systems; Elsevier Scientific: New York, NY, USA, 1985. [Google Scholar]
- Smettem, K.R.J.; Bristow, K.L. Obtaining soil hydraulic properties for water balance and leaching models from survey data. 2. Hydraulic conductivity. Aust. J. Agric. Res. 1999, 50, 1259–1262. [Google Scholar] [CrossRef]
- Schaap, M.G.; Leij, F.J.; van Genuchten, M.T. ROSETTA: A computer program for estimating soil hydraulic parameters with hierarchical pedotransfer functions. J. Hydrol. 2002, 251, 163–176. [Google Scholar] [CrossRef]
- Decharme, B.; Douville, H.; Boone, A.; Habets, F.; Noilhan, J. Impact of an exponential profile of saturated hydraulic conductivity within the ISBA LSM: Simulations over the Rhône basin. J. Hydrometeorol. 2006, 7, 61–80. [Google Scholar] [CrossRef]
- Maest, A.; Kuipers, J.R.; Travers, C.L.; Atkins, D.A. Predicting Water Quality at Hardrock Mines: Methods and Models, Uncertainties, and State-of-the Art; Kuipers & Associates: Butte, MT, USA, 2005.
- United States Army Corps of Engineers. Hydrologic Modeling System HEC-HMS Technical Reference Manual. 2000. Available online: https://www.hec.usace.army.mil/software/hec-hms/documentation/HEC-HMS_Technical%20Reference%20Manual_(CPD-74B).pdf (accessed on 2 April 2020).
- Chapuis, R.P.; Dallaire, V.; Marcotte, D.; Chouteau, M.; Acevedo, N.; Gagnon, F. Evaluating the hydraulic conductivity at three different scales within an unconfined sand aquifer at Lachenaie, Quebec. Can. Geotech. J. 2005, 42, 1212–1220. [Google Scholar] [CrossRef]
- Harbaugh Arlen, W. MODFLOW-2005, The U.S. Geological Survey Modular Ground-Water Model—The Ground-Water Flow Process. USGS 2005. [Google Scholar] [CrossRef]
- Roberts, T.; Lazarovitch, N.; Warrick, A.W.; Thompson, T.L. Modeling Salt Accumulation with Subsurface Drip Irrigation Using HYDRUS-2D. Soil Sci. Soc. Am. J. 2009, 73, 233–240. [Google Scholar] [CrossRef]
- Ortoleva, P.; Merino, E.; Moore, C.; Chadam, J. Geochemical self-organization in reaction-transport feedbacks and modelling approach. Am. J. Sci. 1987, 287, 979–1007. [Google Scholar] [CrossRef]
- Li, Y.; Zhang, Q.; Lu, J.; Yao, J.; Tan, Z. Assessing surface water–groundwater interactions in a complex river-floodplain wetland-isolated lake system. River Res. Appl. 2019, 35, 25–36. [Google Scholar] [CrossRef]
- Lin, Y.-C.; Medina, M.A., Jr. Incorporating transient storage in conjunctive stream–aquifer modeling. Adv. Water Resour. 2003, 26, 1001–1019. [Google Scholar] [CrossRef]
- Hubbart, J.A.; Holmes, J.; Bowman, G. TMDLs: Improving Stakeholder Acceptance with Science-based Allocations. Watershed Sci. Bull. 2010, 1, 19–24. [Google Scholar]
- Hubbart, J.A.; Kellner, E.; Zeiger, S.J. A case-study application of the experimental watershed study design to advance adaptive management of contemporary watersheds. Water 2019, 11, 2355. [Google Scholar] [CrossRef]
- Nichols, J.; Hubbart, J.A.; Poulton, B.C. Using macroinvertebrate assemblages and multiple stressors to infer urban stream system condition: A case study in the central US. Urban. Ecosyst. 2016, 19, 679–704. [Google Scholar] [CrossRef]
- Zeiger, S.J.; Hubbart, J.A. Quantifying suspended sediment flux in a mixed-land-use urbanizing watershed using a nested-scale study design. Sci. Total Environ. 2016, 542, 315–323. [Google Scholar] [CrossRef] [PubMed]
- Tetzlaff, D.; Carey, S.K.; Mcnamara, J.P.; Laudon, H.; Soulsby, C. The essential value of long-term experimental data for hydrology and water management. Water Resour. Res. 2017, 53, 2598–2604. [Google Scholar] [CrossRef]
- Zell, C.; Kellner, E.; Hubbart, J.A. Forested and agricultural land use impacts on subsurface floodplain storage capacity using coupled vadose zone-saturated zone modeling. Environ. Earth Sci. 2015, 74, 7215–7228. [Google Scholar] [CrossRef]
- Gellis, A.C.; Hupp, C.R.; Pavich, M.J.; Landwehr, J.M.; Banks, W.S.L.; Hubbard, B.E.; Landland, M.J.; Ritchie, J.C.; Reuter, J.M. Sources, Transport, and Storage of Sediment at Selected Sites in the Chesapeake Bay Watershed. USGS 2009. [Google Scholar] [CrossRef]
- Zhang, Q.; Blomquist, J.D. Watershed export of fine sediment, organic carbon, and chlorophyll-a to Chesapeake Bay: Spatial and temporal patterns in 1984–2016. Sci. Total Environ. 2018, 619–620, 1066–1078. [Google Scholar] [CrossRef]
- Boesch, D.F.; Greer, J. Chesapeake Futures: Choices for the 21st Century; Scientific and Technical Advisory Committee: Edgewater, MD, USA, 2003; p. 160. [Google Scholar]
- Natural Resource Analysis Center at West Virginia University. WV Land Use Land Cover (NAIP 2016). Available online: http://wvgis.wvu.edu/data/dataset.php?ID=489 (accessed on 15 February 2020).
- WV GIS Technical Center. Digital Elevation Model 1- to 3-Meter Statewide Mosaic. Available online: http://wvgis.wvu.edu/data/dataset.php?ID=477 (accessed on 2 September 2019).
- Soil Survey Staff, Natural Resources Conservation Service, United States Department of Agriculture. Web Soil Survey. Available online: https://websoilsurvey.sc.egov.usda.gov/ (accessed on 28 February 2020).
- Knight, H.G. Reymann Memorial Farms. W. Va. Agric. For. Exp. Station Bull. 1925, 194, 1–20. [Google Scholar]
- Estepp, R. Soil Survey of Grant and Hardy Counties West Virginia; United States Department of Agriculture: Washington, DC, USA, 1989.
- Smith, R.M.; Pohlman, G.G.; Browning, D.R. Some Soil Properties which Influence the Use of Land in West Virginia. W. Va. Agric. For. Exp. Station Bull. 1945, 321, 1–71. [Google Scholar]
- Natural Resources Conservation Service (NRCS) Web Site for Official Soil Series Descriptions and Series Classification. Available online: https://soilseries.sc.egov.usda.gov/ (accessed on 13 February 2020).
- Dean, S.L.; Lessing, P.; Kulander, B.R. Geology of the Rio Quadrangle, Hampshire and Hardy Counties; OF-0004; West Virginia Geological and Economic Survey Open File Publication: Morgantown, WV, USA, 1999. [Google Scholar]
- Horton, J.D.; San Juan, C.A.; Stoeser, D.B. The State Geologic Map Compilation (SGMC) geodatabase of the conterminous United States (ver. 1.1, August 2017). In U.S. Geological Survey Data Series 1052; U.S. Geological Survey: Reston, VA, USA, 2017; p. 46. [Google Scholar]
- Kellner, E.; Hubbart, J. Agricultural and forested land use impacts on floodplain shallow groundwater temperature regime. Hydrol. Process. 2015, 30, 625–636. [Google Scholar] [CrossRef]
- Zeiger, S.J.; Hubbart, J.A. Urban stormwater temperature surges: A central US watershed study. Hydrology 2015, 2, 193–209. [Google Scholar] [CrossRef]
- Hubbart, J.A.; Link, T.E.; Gravelle, J.A.; Elliot, W.J. Timber harvest impacts on water yield in the continental/maritime hydroclimatic region of the United States. For. Sci. 2007, 53, 169–180. [Google Scholar] [CrossRef]
- National Oceanic and Atmospheric Administration (NOAA) Climate Data Online Search. Available online: https://www.ncdc.noaa.gov/cdo-web/search (accessed on 20 April 2020).
- Blake, G.R. Bulk Density. In Methods of Soil Analysis: Part 1-Physical and Mineralogical Properties, Including Statistics of Measurement and Sampling; Black, C.A., Evans, D.D., White, J.L., Ensminger, L.E., Clark, F.E., Dinauer, R.C., Eds.; American Society of Agronomy: Madison, WI, USA, 1965; pp. 374–390. [Google Scholar]
- Hubbart, J.A.; Muzika, R.-M.; Dandan, H.; Robinson, A. Bottomland Hardwood Forest Influence on Soil Water Consumption in an Urban floodplain: Potential To Improve Flood Storage Capacity and Reduce Stormwater Runoff. Watershed Sci. Bull. 2011, 2, 34–43. [Google Scholar]
- Vomocil, J.A. Porosity. In Methods of Soil Analysis: Part 1-Physical and Mineralogical Properties, Including Statistics of Measurement and Sampling; Black, C.A., Evans, D.D., White, J.L., Ensminger, L.E., Clark, F.E., Dinauer, R.C., Eds.; American Society of Agronomy: Madison, WI, USA, 1965; pp. 299–314. [Google Scholar]
- Hoffmann, C.C.; Berg, P.; Dahl, M.; Larsen, S.E.; Andersen, H.E.; Andersen, B. Groundwater flow and transport of nutrients through a riparian meadow—Field data and modelling. J. Hydrol. 2006, 331, 315–335. [Google Scholar] [CrossRef]
- Davis, J.C. Statistics and Data Analysis in Geology, 3rd ed.; J. Wiley: New York, NY, USA, 2002; ISBN 0471172758 9780471172758. [Google Scholar]
- Gordon, N.D.; McMahon, T.A.; Finlayson, B.L.; Gippel, C.J.; Nathan, R.J. Stream Hydrology: An Introduction for Ecologists, 2nd ed.; J. Wiley: New York, NY, USA, 2004; ISBN 978-0-470-84358-1. [Google Scholar]
- Skinner, J. A study of the methods used in measurement and analysis of sediment loads in reservoirs. In Report NN; Federal Interagency Sedimentation Project: Vicksburg, MS, USA, 2000. [Google Scholar]
- Gee, G.W.; Or, D. Particle-Size Analysis. Methods of soil analysis. Part 4. In Methods of Soil Analysis, Part 4, Phyiscal Methods; Dane, J.H., Topp, G.C., Eds.; ACSESS: Madison, WI, USA, 2002; pp. 255–293. ISBN 978-0-89118-893-3. [Google Scholar]
- Soil Survey Staff. Soil Taxonomy: A Basic System of Soil Classification for Making and Interpreting Soil Surveys, 2nd ed.; Natural Resources Conservation Service: Washington, DC, USA, 1999.
- Nemes, A.; Rawls, W.J. Soil texture and particle-size distribution as input to estimate soil hydraulic properties. In Developments in Soil Science; Pachepsky, Y., Rawls, W.J., Eds.; Elsevier Science: Amsterdam, The Netherlands, 2004; Volume 30, pp. 47–70. [Google Scholar]
- Song, J.; Chen, X.; Cheng, C.; Wang, D.; Lackey, S.; Xu, Z. Feasibility of grain-size analysis methods for determination of vertical hydraulic conductivity of streambeds. J. Hydrol. 2009, 375, 428–437. [Google Scholar] [CrossRef]
- Day, P.R. Particle Fractionation and Particle-Size Analysis. In Methods of Soil Analysis: Part 1 Physical and Mineralogical Properties, Including Statistics of Measurement and Sampling; Black, C.A., Evans, D.D., White, J.L., Ensminger, L.E., Clark, F.E., Dinauer, R.C., Eds.; American Society of Agronomy: Madison, WI, USA, 1965; pp. 545–567. [Google Scholar]
- 2540 Solids (2017). Standard Methods for the Examination of Water and Wastewater, 23rd. Available online: https://www.standardmethods.org/doi/abs/10.2105/SMWW.2882.030 (accessed on 2 March 2020).
- Kettler, T.A.; Doran, J.W.; Gilbert, T.L. Simplified Method for Soil Particle-Size Determination to Accompany Soil-Quality Analyses. Soil Biol. Biochem. 2001, 65, 849–852. [Google Scholar] [CrossRef]
- Natural Resources Conservation Service (NRCS) Soil Texture Calculator. Available online: http://soils.usda.gov/technical/aids/investigations/texture/%5Cnhttp://www.nrcs.usda.gov/wps/portal/nrcs/detail/soils/survey/?cid=nrcs142p2_054167 (accessed on 15 April 2020).
- Solinst Canada, Ltd. Available online: https://www.solinst.com/products/dataloggers-and-telemetry/3001-levelogger-series/operating-instructions/user-guide/1-introduction/1-1-1-levelogger-edge.php (accessed on 6 February 2020).
- Cheong, J.Y.; Hamm, S.Y.; Kim, H.S.; Ko, E.J.; Yang, K.; Lee, J.H. Estimating hydraulic conductivity using grain-size analyses, aquifer tests, and numerical modeling in a riverside alluvial system in South Korea. Hydrogeol. J. 2008, 16, 1129–1143. [Google Scholar] [CrossRef]
- Barbour, M.G.; Burk, J.H.; Pitts, W.D.; Gilliam, F.S.; Schwartz, M.W. Terrestrial Plant Ecology, 3rd ed.; Addison Wesley Longman: Menlo Park, CA, USA, 1999; ISBN 080530004X. [Google Scholar]
- Hall, D.G.M.; Reeve, M.J.; Thomasson, A.J.; Wright, V.F. Water Retention, Porosity and Density of Field Soils; Rothamsted Experimental Station: Harpenden, UK, 1977. [Google Scholar]
- Rai, R.K.; Singh, V.P.; Upadhyay, A. Soil Analysis. In Planning and Evaluation of Irrigation Projects: Methods and Implementation; Maragioglio, N., Ed.; Academic Press: London, UK, 2017; p. 678. ISBN 9780128117484. [Google Scholar]
- Nimmo, J.R. Porosity and Pore-Size Distribution. Encycl. Soils Environ. 2004, 4, 295–303. [Google Scholar] [CrossRef]
- McElwee, C.D. Improving the analysis of slug tests. J. Hydrol. 2002, 269, 122–133. [Google Scholar] [CrossRef]
- Stanford, K.L.; McElwee, C.D. Analyzing slug tests in wells screened across the watertable: A field assessment. Nat. Resour. Res. 2000, 9, 111–124. [Google Scholar] [CrossRef]
- Soil Survey Staff. Soil Survey Field and Laboratory Methods Manual. Soils Survey Investigations Report No. 51, Version 2.0; Burt, R., Soil Survey Staff, Eds.; United States Department of Agriculture, Natural Resources Conservation Service: Washington, DC, USA, 2014; ISBN 978-0359573516.
- Lees, M.J. Data-based mechanistic modelling and forecasting of hydrological systems. J. Hydroinf. 2000, 2, 15–34. [Google Scholar] [CrossRef][Green Version]





| LULC [km2 (%)] | RMF1 | RMF2 | RMF3 | RMF4 | RMF5 | RMF6 | RMF7 | RMF8 | Cacapon |
|---|---|---|---|---|---|---|---|---|---|
| Agriculture | 3.8 (10.5) | 3.1 (8.8) | 3.1 (8.8) | 3.1 (8.8) | 2.9 (8.5) | 0.2 (20.3) | <0.1 (42.8) | 0.1 (16.3) | 9.7 (14.9) |
| Forested | 31.1 (86.5) | 30.8 (88.3) | 30.8 (88.3) | 30.8 (88.3) | 30.2 (88.5) | 0.6 (79.2) | <0.1 (57.2) | 0.4 (83.4) | 50.8 (77.8) |
| Mixed Development | 0.7 (2.0) | 0.7 (1.9) | 0.7 (1.9%) | 0.7 (1.9) | 0.7 (1.9) | <0.1 (0.2) | 0 (0) | <0.1 (0.3) | 3.1 (4.7) |
| Open Water | 0.4 (1.0) | 0.4 (1.1) | 0.4 (1.1) | 0.4 (1.1) | 0.4 (1.1) | <0.1 (0.3) | 0 (0) | 0 (0) | 1.7 (2.5) |
| Total area | 35.9 (100) | 34.9 (100) | 34.9 (100) | 34.9 (100) | 34.1 (100) | 0.8 (100) | <0.1 (100) | 0.5 (100) | 65.2 (100) |
| Site | n | Mean | Med | Std. Dev. | CV |
|---|---|---|---|---|---|
| All | 48 | 2.24 | 1.80 | 2.15 | 0.96 |
| RMF1 | 6 | 2.31 | 2.23 | 0.45 | 0.19 |
| RMF2 | 6 | 0.43 | 0.39 | 0.20 | 0.46 |
| RMF3 | 6 | 4.46 | 3.85 | 4.27 | 0.96 |
| RMF4 | 6 | 2.39 | 2.22 | 0.70 | 0.29 |
| RMF5 | 6 | 4.76 | 4.56 | 0.65 | 0.14 |
| RMF6 | 6 | 1.63 | 1.54 | 0.58 | 0.36 |
| RMF7 | 6 | 1.63 | 1.14 | 0.96 | 0.59 |
| RMF8 | 6 | 0.29 | 0.30 | 0.08 | 0.26 |
| Site | Puckett et al. | Jabro | Campbell | Smettem and Bristow | Saxton et al. |
|---|---|---|---|---|---|
| RMF1 | 3.55 | 6.24 | 2.14 | 5.03 | 2.52 |
| RMF2 | 3.86 | 20.72 | 2.74 | 6.22 | 2.52 |
| RMF3 | 3.92 | 48.68 | 2.91 | 6.73 | 2.27 |
| RMF4 | 3.97 | 54.17 | 2.94 | 7.61 | 1.07 |
| RMF5 | 4.00 | 168.07 | 3.08 | 8.60 | 0.29 |
| RMF6 | 3.39 | 1.04 | 1.56 | 4.70 | 1.77 |
| RMF7 | 3.58 | 11.84 | 2.14 | 5.09 | 2.45 |
| RMF8 | 3.53 | 1.84 | 2.15 | 4.98 | 2.60 |
| Mean | 3.72 | 39.07 | 2.46 | 6.12 | 1.94 |
| Std. Dev. | 0.24 | 56.00 | 0.53 | 1.43 | 0.84 |
| CV | 0.06 | 1.43 | 0.22 | 0.23 | 0.44 |
| Location(s) | AL, USA | PA, USA | England/Wales | Australia | USA |
| Parameter(s) | clay | silt, clay, bdry | silt, clay | clay | sand, clay |
| Parameter # | 1 | 3 | 2 | 1 | 2 |
| Puckett et al. | Jabro | Campbell | Smettem and Bristow | Saxton et al. | ||||||
|---|---|---|---|---|---|---|---|---|---|---|
| Site | Error | Squared Error | Error | Squared Error | Error | Squared Error | Error | Squared Error | Error | Squared Error |
| RMF1 | 1.25 | 1.56 | 3.93 | 15.45 | −0.17 | 0.03 | 2.73 | 7.43 | 0.21 | 0.04 |
| RMF2 | 3.43 | 11.79 | 20.29 | 411.80 | 2.31 | 5.36 | 5.80 | 33.59 | 2.09 | 4.39 |
| RMF3 | −0.55 | 0.30 | 46.40 | 2152.97 | 2.91 | 8.44 | 6.73 | 45.26 | 2.27 | 5.18 |
| RMF4 | 1.59 | 2.52 | 51.78 | 2681.17 | 0.55 | 0.30 | 5.23 | 27.30 | −1.31 | 1.73 |
| RMF5 | −0.76 | 0.58 | 163.31 | 26670.27 | −1.69 | 2.85 | 3.83 | 14.69 | −4.48 | 20.04 |
| RMF6 | 1.75 | 3.07 | −0.60 | 0.36 | −0.07 | 0.01 | 3.06 | 9.38 | 0.14 | 0.02 |
| RMF7 | 1.94 | 3.78 | 10.21 | 104.20 | 0.51 | 0.26 | 3.46 | 11.96 | 0.82 | 0.67 |
| RMF8 | 3.24 | 10.47 | 1.55 | 2.40 | 1.86 | 3.45 | 4.68 | 21.93 | 2.30 | 5.29 |
| ME | 1.49 | 37.11 | 0.78 | 4.44 | 0.26 | |||||
| SSE | 34.07 | 32038.62 | 20.68 | 171.55 | 37.36 | |||||
| RMSE | 2.06 | 63.28 | 1.61 | 4.63 | 2.16 | |||||
© 2020 by the authors. Licensee MDPI, Basel, Switzerland. This article is an open access article distributed under the terms and conditions of the Creative Commons Attribution (CC BY) license (http://creativecommons.org/licenses/by/4.0/).
Share and Cite
Gootman, K.S.; Kellner, E.; Hubbart, J.A. A Comparison and Validation of Saturated Hydraulic Conductivity Models. Water 2020, 12, 2040. https://doi.org/10.3390/w12072040
Gootman KS, Kellner E, Hubbart JA. A Comparison and Validation of Saturated Hydraulic Conductivity Models. Water. 2020; 12(7):2040. https://doi.org/10.3390/w12072040
Chicago/Turabian StyleGootman, Kaylyn S., Elliott Kellner, and Jason A. Hubbart. 2020. "A Comparison and Validation of Saturated Hydraulic Conductivity Models" Water 12, no. 7: 2040. https://doi.org/10.3390/w12072040
APA StyleGootman, K. S., Kellner, E., & Hubbart, J. A. (2020). A Comparison and Validation of Saturated Hydraulic Conductivity Models. Water, 12(7), 2040. https://doi.org/10.3390/w12072040

