Modelling the Effects of Changes in Forest Cover and Climate on Hydrology of Headwater Catchments in South-Central Chile
Abstract
1. Introduction
2. Materials and Methods
2.1. Study Area
2.2. Field Data
2.3. Hydrological Modelling
2.3.1. TETIS® Model
2.3.2. Input Data
2.3.3. Calibration and Validation
2.3.4. Simulated Scenarios
- (a)
- Land use scenarios
- (b)
- Climate scenarios
2.3.5. Data Grouping and Analysis
3. Results
3.1. Characterization Observed Data of Rainfall and Runoff
3.2. Model Performance
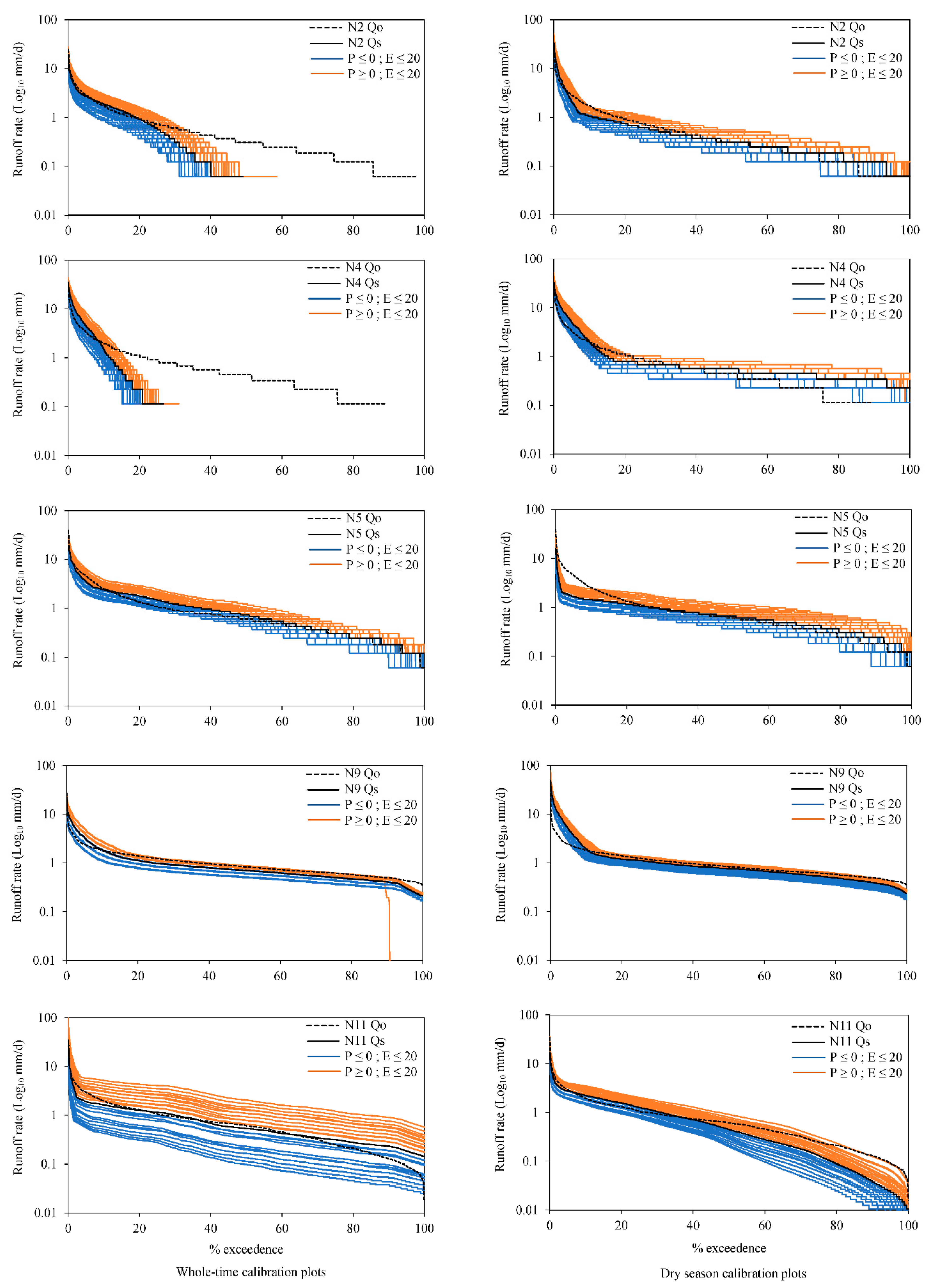
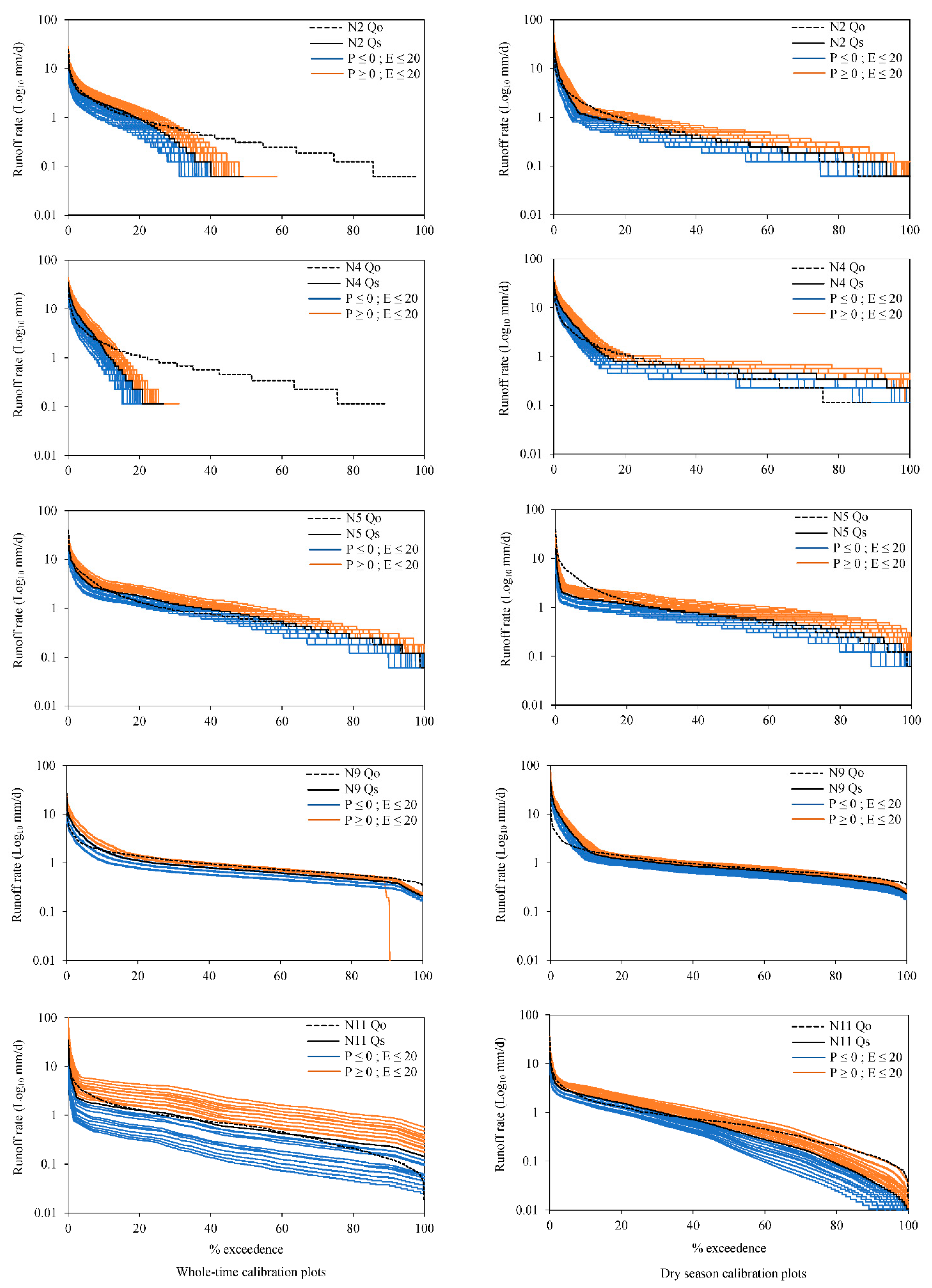
3.2.1. Whole-Time Series Calibration
3.2.2. Dry Season Series Calibration
3.3. Simulated Runoff under Land-Use Scenarios
3.3.1. Total Runoff Yield
3.3.2. Daily Runoff
3.4. Runoff Simulation under Climate Scenarios
3.5. Simulated Runoff under Land Use and Climate Scenarios
4. Discussion
4.1. Effects of Land Use and Climate Scenarios
4.2. Model Limitations
5. Final Remarks
- (i)
- Land use: the land use maps of 2015 were used as input data of the model for the reproduction of the simulations. It is likely that the forest cover in 2015 was greater than the average coverage between 2008 and 2014; therefore, the simulated results correspond to conditions enhancing interception and evapotranspiration.
- (ii)
- NSE coefficient: the underestimated maximum runoff corresponded to a small fraction of the data period, but even these can lead to underestimations of the total volume of runoff.
- (iii)
- Meteorological data: the resolution and extension of meteorological data used as input to the model should be improved. A network of weather stations would be necessary to correct errors; for example, the influence of altitude on rain and temperature can be particularly important factors in highly contrasted areas such as those in the Mediterranean region.
Supplementary Materials
Author Contributions
Funding
Acknowledgments
Conflicts of Interest
References
- Qadir, M.; Noble, A.D.; Chartres, C. Adapting to climate change by improving water productivity of soil in dry areas. Land Degrad. Dev. 2013, 24, 12–21. [Google Scholar] [CrossRef]
- Chew, F.H.S.; Teng, J.; Vaze, J.; Post, D.A.; Perraud, J.M.; Kirono, D.G.C.; Viney, N.R. Estimating climate change impact on runoff across southeast Australia: Method, results and implications of the modelling method. Water Resour. Res. 2009, 45, 1–17. [Google Scholar] [CrossRef]
- Ma, H.; Yang, D.; Tan, S.; Gao, B.; Hu, Q. Impact of climate variability and human activity on streamflow decrease in the Miyun Reservoir catchment. J. Hydrol. 2010, 389, 317–324. [Google Scholar] [CrossRef]
- Schilling, K.E.; Chan, K.S.; Liu, H.; Zhang, Y.K. Quantifying the effect of land use land cover change on increasing discharge on the Upper Mississippi River. J. Hydrol. 2010, 387, 343–345. [Google Scholar] [CrossRef]
- Bourgault, M.A.; Larocque, M.; Roy, M. Simulation of aquifer–peatland–river interactions under climate change. Hydrol. Res. 2014, 45, 425–440. [Google Scholar] [CrossRef]
- Herrero, A.; Buendía, C.; Bussi, G.; Sabater, S.; Vericat, D.; Palau, A.; Batalla, R.J. Modeling the sedimentary response of a large Pyrenean basin to global change. J. Soils Sediments 2017, 17, 2677–2690. [Google Scholar] [CrossRef]
- Morán-Tejeda, E.; Ceballos-Barbancho, A.; Llorente-Pinto, J.M. Hydrological response of Mediterranean headwaters to climate oscillations and land cover changes: The mountains of Duero River basin (Central Spain). Glob. Planet. Chang. 2010, 72, 39–49. [Google Scholar] [CrossRef]
- Zhang, L.; Dawes, W.R.; Walker, G.R. Response of mean annual evapotranspiration to vegetation changes at catchment scale. Water Resour. Res. 2001, 37, 701–708. [Google Scholar] [CrossRef]
- Lara, A.; Little, C.; Urrutia, R.; McPhee, J.; Álvarez-Garretón, C.; Oyarzún, C.; Arismendi, I. Assessment of ecosystem services as an opportunity for the conservation and management of native forests in Chile. For. Ecol. Manag. 2009, 258, 415–424. [Google Scholar] [CrossRef]
- Huber, A.; Iroumé, A.; Mohr, C.; Frêne, C. Effect of Pinus radiata and Eucalyptus globulus plantations on water resourcein the Coastal Range of Biobio region, Chile. Bosque 2010, 31, 219–230. [Google Scholar] [CrossRef]
- Iroumé, A.; Palacios, H.; Bathurst, J.; Huber, A. Runoff and peakflows after clearcutting and the establishment of a new plantation in an experimental catchment, southern Chile. Bosque 2010, 31, 117–128. [Google Scholar]
- Garreaud, R.; Alvarez-Garreton, C.; Barichivich, J.; Boisier, J.P.; Christie, D.; Galleguillos, M.; LeQuesne, C.; McPhee, J.; Zambrano-Bigiarini, M. The 2010–2015 megadrought in central Chile: Impacts on regional hydroclimate and vegetation. Hydrol. Earth Syst. Sci. 2017, 21, 6307–6327. [Google Scholar] [CrossRef]
- Viviroli, D.; Archer, D.; Buytaert, W.; Fowler, H.; Greenwood, G.; Hamlet, A.; Huang, Y.; Koboltschnig, G.; Litaor, M.; López-Moreno, J.; et al. Climate change and mountain water resources: Overview and recommendations for research, management and policy. Hydrol. Earth Syst. Sci. 2011, 15, 471–504. [Google Scholar] [CrossRef]
- Jones, J.A.; Creed, I.F.; Hatcher, K.L.; Warren, R.J.; Adams, M.B.; Benson, M.H.; Boose, E.; Brown, W.A.; Campbell, J.L.; Covich, A.; et al. Ecosystem processes and human influences regulate streamflow response to climate change at long-term ecological research sites. BioScience 2012, 62, 390–404. [Google Scholar] [CrossRef]
- Moore, R.; Wondzell, S. Physical hydrology and the effects of forest harvesting in the Pacific northwest: A review. J. Am. Water Resour. Assoc. 2005, 41, 763–784. [Google Scholar] [CrossRef]
- Perry, T.D.; Jones, J.A. Summer streamflow deficits from regenerating Douglas-fir forest in the Pacific Northwest, USA. Ecohydrology 2017, 10, e1790. [Google Scholar] [CrossRef]
- Andréassian, V.; Perrin, C.; Michel, C. Impact of imperfect potential evapotranspiration knowledge on the efficiency and parameters of catchment models. J. Hydrol. 2004, 286, 19–35. [Google Scholar] [CrossRef]
- Silveira, L.; Gamazo, P.; Alonso, J.; Martínez, L. Effects of afforestation on groundwater recharge and water budgets in the western region of Uruguay. Hydrol. Process. 2016, 30, 3596–3608. [Google Scholar] [CrossRef]
- Bosch, J.M.; Hewlett, J.D. A review of catchment experiments to determine the effect of vegetation changes on water yield and evapotranspiration. J. Hydrol. 1982, 55, 3–23. [Google Scholar] [CrossRef]
- Best, A.; Zhang, L.; McMahon, T.; Western, A.; Vertessy, R. A Critical Review of Paired Watershed Studies with Reference to Seasonal Flows and Climatic Variability; CSIRO Land and Water Technical Report 25/03; Murray-Darling Basin Commission: Canberra, Australia, 2003.
- Andréassian, V. Water and forests: From historical controversy to scientific debate. J. Hydrol. 2004, 291, 1–27. [Google Scholar] [CrossRef]
- Brown, A.E.; Zhang, L.; McMahon, T.A.; Western, A.W.; Vertessy, R.A. A review of paired catchment studies for determining changes in water yield resulting from alterations in vegetation. J. Hydrol. 2005, 310, 28–61. [Google Scholar] [CrossRef]
- Iroumé, A.; Palacios, H. Afforestation and changes in forest composition affect runoff in large river basins with pluvial regime and Mediterranean climate, Chile. J. Hydrol. 2013, 505, 113–125. [Google Scholar] [CrossRef]
- Barrientos, G.; Iroumé, A. The effects of topography and forest management on water storage in catchments in south-central Chile. Hydrol. Process. 2018, 1–16. [Google Scholar] [CrossRef]
- Mohr, C.H.; Montgomery, D.R.; Huber, A.; Bronstert, A.; Iroumé, A. Streamflow response in small upland catchments in the Chilean Coastal Range to the MW 8.8 Maule Earthquake on 27 February 2010. J. Geophys. Res. 2012. [Google Scholar] [CrossRef]
- Melnick, D.; Bookhagen, B.; Strecker, M.R.; Echtler, H.P. Segmentation of megathrust rupture zones from fore-arc deformation patterns over hundreds to millions of years, Arauco peninsula, Chile. J. Geophys. Res. 2009, 114, B01407. [Google Scholar] [CrossRef]
- Ulloa, H. Material leñoso de gran tamaño en cauces de montaña. Tesis Magíster en Ciencias. Valdivia, Chile. In Facultad de Ciencias Forestales y Recursos Naturales; Universidad Austral de Chile: Valdivia, Chile, 2010; 61p. [Google Scholar]
- Hargreaves, G.; Samani, Z. Reference crop evapotranspiration from temperature. Appl. Eng. Agric. 1985, 1, 96–99. [Google Scholar] [CrossRef]
- Francés, F.; Vélez, J.I.; Vélez, J.J. Split-parameter structure for the automatic calibration of distributed hydrological models. J. Hydrol. 2007, 332, 226–240. [Google Scholar] [CrossRef]
- Leopold, L.B.; Maddock, T. The Hydraulic Geometry of Stream Channels and Some Physiographic Implications; Prof. Paper No. 252; U.S. Geological Survey: Washington, WA, USA, 1953.
- Vélez, J.J.; Puricelli, M.; López, U.F.; Francés, F. Parameter extrapolation to ungauged basins with a hydrological distributed model in a regional framework. Hydrol. Earth Syst. Sci. 2009, 13, 229–246. [Google Scholar] [CrossRef]
- Ruiz-Villanueva, V.; Stoffel, M.; Bussi, G.; Francés, F.; Bréthaut, C. Climate change impacts on discharges of the Rhone River in Lyon by the end of the twenty-first century: Model results and implications. Reg Env. Chang 2015, 15, 505–515. [Google Scholar] [CrossRef]
- Francés, F.; García-Bartual, R.; Bussi, G. High return period annual maximum reservoir water level quantiles estimation using synthetic generated flood events. In Risk Analysis, Dam Safety, Dam Security and Critical Infrastructure Management; Taylor & Francis Group: London, UK, 2011; pp. 185–190. [Google Scholar]
- Salazar, S.; Francés, F.; Komma, J.; Blume, T.; Francke, T.; Bronstert, A.; Blöschl, G. A comparative analysis of the effectiveness of flood management measures based on the concept of Bretaining water in the landscape in different European hydro-climatic regions. Nat. Hazard. Earth Sys. 2013, 12, 3287–3306. [Google Scholar] [CrossRef]
- Bussi, G.; Rodríguez-Lloveras, X.; Francés, F.; Benito, G.; Sánchez-Moya, Y.; Sopeña, A. Sediment yield model implementation based on check dam infill stratigraphy in a semiarid Mediterranean catchment. Hydrol. Earth Syst. Sci. 2013, 17, 3339–3354. [Google Scholar] [CrossRef]
- Bussi, G.; Whitehead, P.G.; Gutiérrez-Cánovas, C.; Ledesma, J.; Ormerod, S.J.; Couture, R.M. Modelling the effects of climate and land-use change on the hydrochemistry and ecology of the River Wye (Wales). Sci. Total Environ. 2018, 627, 733–743. [Google Scholar] [CrossRef] [PubMed]
- Heine, G.W. A Controlled Study of Some Two-Dimensional Interpolation Methods. Cogs Comput. Contrib. 1986, 3, 60–72. [Google Scholar]
- Sernageomin. Mapa Geológico de Chile, Versión Digital. Servicio Nacional de Geología y Minería, N°4 (Versión 1.0); Publicación Geológica Digital: Santiago, Chile, 2003.
- Nash, J.E.; Sutcliffe, J.V. River flow forecastin through conceptual Models part 1 a discussion of principles. J. Hydrol. 1970, 10, 282–290. [Google Scholar] [CrossRef]
- Moriasi, D.N.; Gitau, M.W.; Pai, N.; Daggupati, P. Hydrologic and water quality models: Performance measures and evaluation criteria. T. Asabe 2015, 58, 1763–1785. [Google Scholar] [CrossRef]
- Prudhomme, C.; Wilby, R.L.; Crooks, S.; Kay, A.L.; Reynard, N.S. Scenario-neutral approach to climate change impact studies: Application to flood risk. J. Hydrol. 2010, 390, 198–209. [Google Scholar] [CrossRef]
- Bussi, G.; Dadson, S.J.; Whitehead, P.G.; Prudhomme, C. Modelling the future impacts of climate and land-use change on suspended sediment transport in the River Thames (UK). J. Hydrol. 2016, 542, 357–372. [Google Scholar] [CrossRef]
- Folk, R.L.; Ward, W.C. Brazos river bar: A study in the significance of grain size parameters. J. Sediment. Petrol. 1957, 27, 3–6. [Google Scholar] [CrossRef]
- Batalla, R.J.; Gómez, C.M.; Kondolf, M. Reservoir-induced hydrological changes in the Ebro River basin (NE Spain). J. Hydrol. 2004, 290, 117–136. [Google Scholar] [CrossRef]
- Buendia, C.; Batalla, R.J.; Sabater, S.; Marce, R. Runoff trends driven by climate and afforestation in a Pyrenean basin: The effects of forest cover expansion. Land Degrad Dev. 2016, 27, 823–838. [Google Scholar] [CrossRef]
- Lorenzo-Lacruz, J.; Vicente-Serrano, S.M.; López-Moreno, J.I.; Morán-Tejada, E.; Zabalza, J. Recent trends in Iberian streamflows. J. Hydrol. 2012, 414, 463–475. [Google Scholar] [CrossRef]
- Guo, Y.; Li, Z.; Amo-Boateng, M.; Deng, P.; Huang, P. Quantitative assessment of the impact of climate variability and human activities on runoff changes for the upper reaches of Weihe River. Stoch. Environ. Risk Assess. 2014, 28, 333–346. [Google Scholar] [CrossRef]
- Poff, N.L.; Bledsoe, B.P.; Cuhaciyan, C.O. Hydrologic Variation with Land Use across the Contiguous United States: Geomorphic and Ecological Consequences for Stream Ecosystems. Geomorphology 2006, 79, 264–285. [Google Scholar] [CrossRef]
- De la Cretaz, A.; Barten, P.K. Land Use Effects on Streamflow and Water Quality in the Northeastern United States; CRC Press: Boca Raton, FL, USA, 2007. [Google Scholar]
- Price, K.; Jackson, C.R.; Parker, A.J.; Reitan, T.; Dowd, J.; Cyterski, M. Effects of Watershed Land Use and Geomorphology on Stream Low Flows during Severe Drought Conditions in the Southern Blue Ridge Mountains, Georgia and North Carolina, United States. Water Resour. Res. 2011, 47. [Google Scholar] [CrossRef]
- Endreny, T.A.; Kwon, P.; Williamson, T.N.; Evans, R. Reduced Soil Macropores and Forest Cover Reduce Warm-Season Baseflow below Ecological Thresholds in the Upper Delaware River Basin. J. Am. Water Resour. Assoc. 2019, 55, 1268–1287. [Google Scholar] [CrossRef]
- Hornbeck, J.W.; Adams, M.B.; Corbett, E.S.; Verry, E.S.; Lynch, J.A. Long-Term Impacts of Forest Treatments on Water Yield: A Summary for Northeastern USA. J. Hydrol. 1993, 150, 323–344. [Google Scholar] [CrossRef]
- Ellison, D.; Futter, M.N.; Bishop, K. On the forest cover– water yield debate: From demand-to supply-side thinking. Glob. Chang. Biol. 2012, 18, 806–820. [Google Scholar] [CrossRef]
- Brown, A.E.; Western, A.W.; McMahon, T.A.; Zhang, L. Impact of Forest Cover Changes on Annual Streamflow and Flow Duration Curves. J. Hydrol. 2013, 483, 39–50. [Google Scholar] [CrossRef]
- Kreutzweiser, D.P.; Hazlett, P.W.; Gunn, J.M. Logging impacts on the biogeochemistry of boreal forest soils and nutrient export to aquatic systems: A review. Environ. Rev. 2008, 16, 157–179. [Google Scholar] [CrossRef]
- Jinggut, T.; Yule, C.M.; Boyero, L. Stream ecosystem integrity is impaired by logging and shifting agriculture in global megadiversity center (Sarawak, Borneo). Sci. Total Environ. 2012, 437, 83–90. [Google Scholar] [CrossRef]
- Huntington, T.G. Evidence for intensification of the global water cycle: Review and synthesis. J. Hydrol. 2006, 319, 83–95. [Google Scholar] [CrossRef]
- Cook, B.I.; Smerdon, J.E.; Seager, R.; Coats, S. Global warming and 21st century drying. Clim. Dynam. 2014, 43, 2607–2627. [Google Scholar] [CrossRef]
- Li, Q.; Wei, X.; Zhang, M.; Liu, W.; Fan, H.; Zhou, G. Forest cover change and water yield in large forested watersheds: A global synthetic assessment. Ecohydrology 2017, 10, e1838. [Google Scholar] [CrossRef]
- Li, Q.; Wei, X.; Zhang, M.; Liu, W.; Giles-Hansen, K.; Wang, Y. The cumulative effects of forest disturbance and climate variability on streamflow components in a large forest-dominated watershed. J. Hydrol. 2018, 557, 448–459. [Google Scholar] [CrossRef]
- Burt, T.P.; Howden, N.J.K.; McDonnell, J.J.; Jones, J.A.; Hancock, G.R. Seeing the climate through the trees: Observing climate and forestry impacts on streamflow using a 60-year record. Hydrol. Process. 2015, 29, 473–480. [Google Scholar] [CrossRef]
- Knapp, A.K.; Beier, C.; Briske, D.D.; Classen, A.T.; Luo, Y.; Reichstein, M.; Smith, M.D.; Smith, S.D.; Bell, J.E.; Fay, P.A.; et al. Consequences of more extreme precipitation regimes for terrestrial ecosystems. BioScience 2008, 58, 811–821. [Google Scholar] [CrossRef]
- Hinzman, L.D.; Bettez, N.D.; Bolton, W.R.; Chapin, F.S.; Dyurgerov, M.B.; Fastie, C.L.; Griffith, B.; Hollister, R.D.; Hope, A.; Huntington, H.P.; et al. Evidence and implications of recent climate change in northern Alaska and other arctic regions. Clim Chang. 2005, 72, 251–298. [Google Scholar] [CrossRef]
- Lindner, M.; Maroschek, M.; Netherer, S.; Kremer, A.; Barbati, A.; Garcia-Gonzalo, J.; Seidl, R.; Delzon, S.; Corona, P.; Kolström, M.; et al. Climate change impacts, adaptive capacity, and vulnerability of European forest ecosystems. For. Ecol. Manag. 2010, 259, 698–709. [Google Scholar] [CrossRef]
- Soto-Schönherr, S.; Iroumé, A. How much water do Chilean forests use? A review of interception losses in forest plot studies. Hydrol. Process. 2016, 30, 4674–4686. [Google Scholar] [CrossRef]
- Krause, P.; Boyle, D.; Bäse, F. Comparison of different efficiency criteria for hydrological model assessment. Adv. Geosci. 2005, 5, 89–97. [Google Scholar] [CrossRef]





| Parameter | N2 | N3 | N4 | N5 | N7 | N8 | N9 | N11 |
|---|---|---|---|---|---|---|---|---|
| Species | Pinus radiata | Eucalyptus spp. | Eucalyptus spp. | Eucalyptus spp. | Eucalyptus spp. | Eucalyptus spp. | Eucalyptus spp. | Eucalyptus spp. |
| Type of soil | Clayey to loamy | Clayey to loamy | Clayey to loamy | Clayey to loamy | Clayey to loamy | Clayey to loamy | Clayey to loamy | Clayey to loamy |
| Lithology | Granite-basalt | Granite-basalt | Granite-basalt | Granite-basalt | Quartzite-schist | Granite-basalt | Quartzite-schist | Granite-basalt |
| P (mm) (range) | 866.7–1421 | |||||||
| Min-Max Temperature (°C) | 1.2–37.2 | 3.3–36.2 | 2.5–35.3 | 2.8–40.1 | 1.6–32.1 | 0.7–33.3 | 3.3–36.1 | 0.7–38.3 |
| dVmax 1 | 792.4 | 752.8 | 810.2 | 840 | 834.7 | 1016 | 666.6 | 768.3 |
| DAF 2 | 0.57 | 1.54 | 1.39 | 0.52 | 0.41 | 0.89 | 1.36 | 0.74 |
| DPF 2 | 8.1 | 34.5 | 19.9 | 8.3 | 3.3 | 7.6 | 9.7 | 9.5 |
| DMF 2 | 0.02 | 0.12 | 0.02 | 0.09 | 0.1 | 0.09 | 0.44 | 0.08 |
| Catchment area (ha) | 13.9 | 7.1 | 7.6 | 14.2 | 16.9 | 54.9 | 98.3 | 413.6 |
| Catchment slope (m/m) | 0.27 | 0.4 | 0.42 | 0.44 | 0.29 | 0.36 | 0.39 | 0.38 |
| Drainage density (km/km2) | 2.4 | 5.8 | 5.2 | 2.4 | 3.1 | 2.8 | 2.6 | 2.2 |
| Mean elevation (m a.s.l) | 323 | 233 | 234 | 248 | 360 | 269 | 368 | 300 |
| Topographic relief (m) | 86 | 173 | 169 | 236 | 93 | 195 | 214 | 347 |
| Channel gradient (m/m) | 0.08 | 0.08 | 0.09 | 0.08 | 0.27 | 0.14 | 0.18 | 0.27 |
| sL/sG 3 | 0.31 | 0.21 | 0.22 | 0.18 | 0.92 | 0.34 | 0.44 | 0.71 |
| Roughness | 0.21 | 1.00 | 0.88 | 0.57 | 0.29 | 0.55 | 0.56 | 0.76 |
| Percent Roads % | 3.2 | 1.7 | 2.0 | 1.8 | 1.5 | 1.8 | 2.6 | 3.0 |
| Percent Plantation % | 92.7 | 75.4 | 86.8 | 77.2 | 86.5 | 83.4 | 56.3 | 65.8 |
| Percent Natural forest % | 4.0 | 22.9 | 10.4 | 20.6 | 9.7 | 14.5 | 40.9 | 19.9 |
| Grassland % | 0.0 | 0.0 | 0.9 | 0.4 | 0.0 | 0.3 | 0.0 | 1.0 |
| Percent Harvested % | 0.0 | 0.0 | 0.0 | 0.0 | 2.3 | 0.0 | 0.1 | 10.2 |
| Biomass volume (m3/ha) | 295.1 | 302.6 | 320.9 | 152.3 | 179.1 | 150.5 | 170.7 | 163.6 |
| Plantation density (No. tree/ha) | 315 | 369 | 342 | 1160 | 1174 | 567 | 1320 | 1246 |
| Age plantation | 28 | 5 | 5 | 8 | 3 | 3 | 15 | 9 |
| Width riparian zone (m) | 15.5 | 35.7 | 17.7 | 40.4 | 23.9 | 21 | 49.7 | 70.5 |
| * Hydrological Year | Annual Precipitation (mm) | Daily Maximum Rainfall (mm) | Average Temperature (°C) | Annual Evapotranspiration (mm) | Annual Runoff (mm/a) | |||||||
|---|---|---|---|---|---|---|---|---|---|---|---|---|
| N2 | N3 | N4 | N5 | N7 | N8 | N9 | N11 | |||||
| 2008–2009 | 1420 ± 13.9 | 146 | 14.5 ± 5.6 | 1065 ± 2.2 | 609 | 555 | 504 | 207 | 172 | 324 | 195 | 744 |
| 2009–2010 | 1421 ± 10.7 | 81 | 13.5 ± 5.0 | 966 ± 1.8 | 351 | 424 | 357 | 675 | 152 | 283 | 574 | 519 |
| 2010–2011 | 867 ± 6.9 | 73 | 13.8 ± 4.9 | 1015 ± 1.8 | 248 | 423 | 489 | 391 | 140 | 252 | 469 | 385 |
| 2011–2012 | 1140 ± 8.2 | 51 | 14.2 ± 5.5 | 1070 ± 2.1 | 213 | 367 | 380 | 230 | 145 | 212 | 297 | 214 |
| 2012–2013 | 1085 ± 10.0 | 112 | 14.4 ± 4.9 | 1133 ± 2.0 | 162 | 268 | 178 | 167 | 147 | 185 | 279 | 161 |
| 2013–2014 | 955 ± 8.5 | 76 | 13.6 ± 5.4 | 1234 ± 2.2 | 114 | 183 | 118 | 105 | 133 | 203 | 361 | 137 |
| 2014–2015 | 1255 ± 0.2 | 82 | 11.5 ± 6.7 | 1082 ± 1.9 | 211 | 307 | 245 | 192 | 297 | 350 | 497 | 285 |
| Catchments | ||||||||
|---|---|---|---|---|---|---|---|---|
| N2 | N3 | N4 | N5 | N7 | N8 | N9 | N11 | |
| NSE Calibration (whole-time series calibration) | 0.5 | 0.3 | 0.4 | 0.6 | 0.4 | 0.4 | 0.5 | 0.5 |
| NSE Validation (whole-time series calibration) | 0.3 | −2.8 | −1.9 | −2.8 | 0.1 | 0.5 | −1.8 | −1.2 |
| NSE Calibration (dry season calibration) | 0.6 | 0.6 | 0.2 | 0.5 | 0.4 | 0.4 | −0.2 | 0.5 |
| NSE Validation (dry season calibration) | 0.3 | −0.1 | −0.6 | 1.4 | −3.2 | −3.1 | −17.3 | −2.0 |
| Whole-Time Series Calibration | Dry Season Calibration | |||||
|---|---|---|---|---|---|---|
| Catchments | (Qo~Qs) Current cover % | (Qo~Qs) Partial harvest % | (Qo~Qs) Native forest % | (Qo~Qs) Current cover % | (Qo~Qs) Partial harvest % | (Qo~Qs) Native forest % |
| N2 | −24 | −5 | −24 | 0 | 68 | 2 |
| N3 | 8 | 10 | 9 | 48 | 79 | 49 |
| N4 | −21 | 8 | −19 | 30 | 96 | 32 |
| N5 | 0 | 29 | −29 | −32 | −10 | −32 |
| N7 | −30 | −30 | −30 | 96 | 166 | 96 |
| N8 | 19 | 12 | 19 | 106 | 152 | 106 |
| N9 | −1 | 4 | −2 | 33 | 51 | 34 |
| N11 | −9 | 50 | −18 | −8 | 29 | −19 |
© 2020 by the authors. Licensee MDPI, Basel, Switzerland. This article is an open access article distributed under the terms and conditions of the Creative Commons Attribution (CC BY) license (http://creativecommons.org/licenses/by/4.0/).
Share and Cite
Barrientos, G.; Herrero, A.; Iroumé, A.; Mardones, O.; Batalla, R.J. Modelling the Effects of Changes in Forest Cover and Climate on Hydrology of Headwater Catchments in South-Central Chile. Water 2020, 12, 1828. https://doi.org/10.3390/w12061828
Barrientos G, Herrero A, Iroumé A, Mardones O, Batalla RJ. Modelling the Effects of Changes in Forest Cover and Climate on Hydrology of Headwater Catchments in South-Central Chile. Water. 2020; 12(6):1828. https://doi.org/10.3390/w12061828
Chicago/Turabian StyleBarrientos, Guillermo, Albert Herrero, Andrés Iroumé, Oscar Mardones, and Ramon J. Batalla. 2020. "Modelling the Effects of Changes in Forest Cover and Climate on Hydrology of Headwater Catchments in South-Central Chile" Water 12, no. 6: 1828. https://doi.org/10.3390/w12061828
APA StyleBarrientos, G., Herrero, A., Iroumé, A., Mardones, O., & Batalla, R. J. (2020). Modelling the Effects of Changes in Forest Cover and Climate on Hydrology of Headwater Catchments in South-Central Chile. Water, 12(6), 1828. https://doi.org/10.3390/w12061828

