Assessment of the Soil Erosion Response to Land Use and Slope in the Loess Plateau—A Case Study of Jiuyuangou
Abstract
1. Introduction
2. Materials and Methods
2.1. Study Area
2.2. Materials
2.3. Estimating Soil Erosion using the CSLE Model
2.3.1. Rainfall Erosivity Factor (R)
2.3.2. Soil Erodibility Factor (K)
2.3.3. Topographic Factors (LS)
2.3.4. Soil Conservation Measures (B, T and E)
3. Results
3.1. Soil Erosion Estimation in the Jiuyuangou Watershed
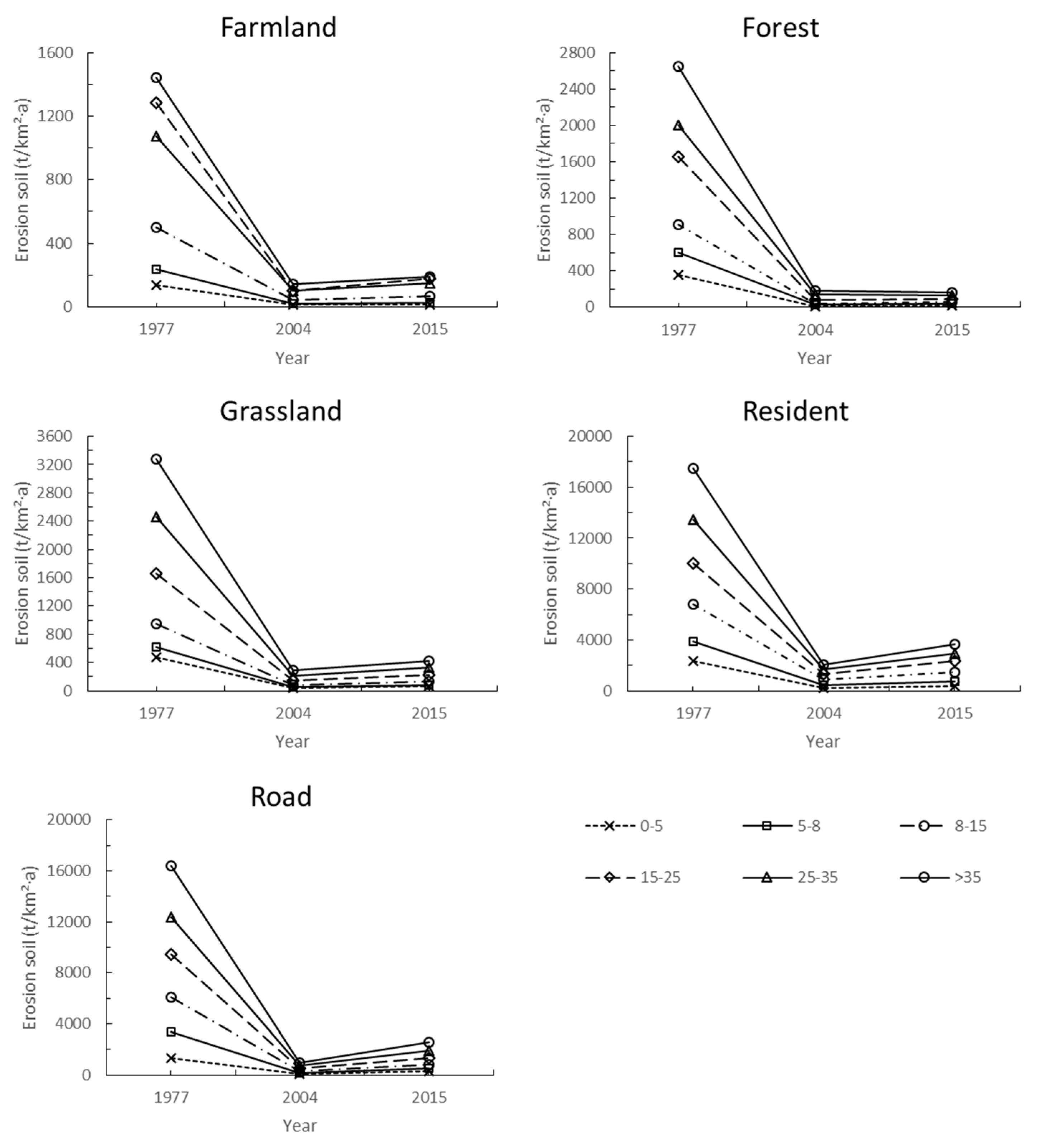
3.2. Land Use/Cover Changes and Its Effect on Soil Erosion
3.3. Topography and its Effect on Soil Erosion
4. Discussion
4.1. Climate Change
4.2. Land uses and Vegetation Covers
4.3. Slope
5. Conclusions
Author Contributions
Funding
Acknowledgments
Conflicts of Interest
References
- Rahman, M.R.; Shi, Z.H.; Chongfa, C. Soil erosion hazard evaluation-An integrated use of remote sensing, GIS and statistical approaches with biophysical parameters towards management strategies. Ecol. Modell. 2009, 220, 1724–1734. [Google Scholar] [CrossRef]
- Feng, X.M.; Wang, Y.F.; Chen, L.D.; Fu, B.J.; Bai, G.S. Modeling soil erosion and its response to land-use change in hilly catchments of the Chinese Loess Plateau. Geomorphology 2010, 118, 239–248. [Google Scholar] [CrossRef]
- Lal, R. Accelerated Soil erosion as a source of atmospheric CO2. Soil Tillage Res. 2019, 188, 35–40. [Google Scholar] [CrossRef]
- Chen, N.; Ma, T.; Zhang, X. Responses of soil erosion processes to land cover changes in the Loess Plateau of China: A case study on the Beiluo River basin. Catena 2016, 136, 118–127. [Google Scholar] [CrossRef]
- Zhang, X.; Zhang, L.; Zhao, J.; Rustomji, P.; Hairsine, P. Responses of streamflow to changes in climate and land use/cover in the Loess Plateau, China. Water Resour. Res. 2008, 44, 1–12. [Google Scholar] [CrossRef]
- Sun, W.; Shao, Q.; Liu, J.; Zhai, J. Assessing the effects of land use and topography on soil erosion on the Loess Plateau in China. Catena 2014, 121, 151–163. [Google Scholar] [CrossRef]
- Wang, X.D.; Zhong, X.H.; Liu, S.Z.; Li, M.H. A non-linear technique based on fractal method for describing gully-head changes associated with land-use in an arid environment in China. Catena 2008, 72, 106–112. [Google Scholar] [CrossRef]
- Flanagan, D.C.; Laflen, J.M. The USDA Water Erosion Prediction Project (WEPP). Eurasian Soil Sci. 1997, 30, 524–530. [Google Scholar]
- Wischmeier, W.H.; Smith, D.D. Predicting Rainfall Erosion Losses-A Guide to Conservation Planning; Department of Agriculture Science and Education Administration, U.S.: Washington, DC, USA, 1978.
- Renard, K.G.; Forster, G.R.; Weesies, G.A.; McCool, D.K.; Yoder, D.C. RUSLE a Guide to Conservation Planning with the Revised Universal Soil Loss Equation; United States Department of Agriculture: Washington, DC, USA, 1997.
- Williams, J.R. The Physical components of the EPIC model. Soil Eros. Conserv. 1985, 272–284. [Google Scholar]
- Risse, L.M.; Nearing, M.A.; Nicks, A.D.; Laflen, J.M. Error assessment in the Universal Soil Loss Equation. Soil Sci. Soc. Am. J. 1993, 57, 825–833. [Google Scholar] [CrossRef]
- Liu, B.; Zhang, K.; Xie, Y. An Empirical Soil Loss Equation. In Proceedings of the 12th ISCO Conference, Beijing, China, 26–31 May 2002; pp. 21–25. [Google Scholar]
- Zhang, H.D.; Zhang, R.H.; Qi, F.; Liu, X.; Niu, Y.; Fan, Z.F.; Zhang, Q.H.; Li, J.Z.; Yuan, L.; Song, Y.Y.; et al. The CSLE model based soil erosion prediction: Comparisons of sampling density and extrapolation method at the county level. Catena 2018, 165, 465–472. [Google Scholar] [CrossRef]
- Liu, Z. The national census for soil erosion and dynamic analysis in China. Int. Soil Water Conserv. Res. 2013, 1, 12–18. [Google Scholar]
- Zhao, W.J.; Zhu, Q.K.; Ma, H.; Yao, W.J.; Liu, L.L.; Wang, Y. Comparison in survey precision of soil erosion factors among different sampling ratios. J. Northwest For. Univ. 2012, 28, 168–177. (In Chinese) [Google Scholar]
- Cheng, L.; Yang, Q.; Xie, H. Research on quantitative evaluation method of Soil erosion in Shaanxi Province based on GIS and CSLE model. Soil Water Conserv. 2009, 23, 61–66. [Google Scholar]
- Liu, B.Y.; Nearing, M.A.; Shi, P.J.; Jia, Z.W. Slope length effects on soil loss for steep slopes. Soil Sci. Soc. Am. J. 2000, 64, 1759–1763. [Google Scholar] [CrossRef]
- Nearing, M.A. Soil Erosion and Conservation. In Environmental Modelling: Finding Simplicity in Complexity: Second Edition; Agricultural Research Service, Nebraska at Digital Commons; U.S. Department of Agriculture: Lincoln, NV, USA, 2013; ISBN 9780470749111. [Google Scholar]
- Alatorre, L.C.; Beguería, S.; Lana-Renault, N.; Navas, A.; García-Ruiz, J.M. Soil erosion and sediment delivery in a mountain catchment under scenarios of land use change using a spatially distributed numerical model. Hydrol. Earth Syst. Sci. 2012, 16, 1321–1334. [Google Scholar] [CrossRef]
- Chirino, E.; Bonet, A.; Bellot, J.; Sánchez, J.R. Effects of 30-year-old Aleppo pine plantations on runoff, soil erosion, and plant diversity in a semi-arid landscape in south eastern Spain. Catena 2006, 65, 19–29. [Google Scholar] [CrossRef]
- Millward, A.A.; Mersey, J.E. Adapting the RUSLE to model soil erosion potential in a mountainous tropical watershed. Catena 1999, 38, 109–129. [Google Scholar] [CrossRef]
- China, L. Group Office of First-Ever Nationwide Water Resources Census of the S.C. of Training Material 6 of First-Ever Nationwide Water Resources Census: Survey on the Situation of Soil and Water Conservation; China Water & Power Press: Beijing, China, 2010. (In Chinese) [Google Scholar]
- Wischmeier, W.H.; Smith, D.D. Predicting Rainfall-Erosion Losses from Cropland east of the Rocky Mountains: Guide for Selection of Practices for Soil and Water Conservation; No. 282; US Department of Agriculture: Washington, DC, USA, 1965; p. 47.
- Zhang, W.B.; Xie, Y.; Liu, B.Y. Rainfall erosivity estimation using daily rainfall amounts. Sci. Geogr. Sin. 2002, 22, 705–711. (In Chinese) [Google Scholar]
- Cheng, L.L.; Zhao, W.W.; Zhang, Y.H.; Xu, H.Y. Effect of spatial dis-tribution of rainfall erosivity on soil loss at catchment scale. Trans. Chinese Soc. Agric. Eng. 2009, 25, 69–73. [Google Scholar]
- Yan, R.; Zhang, X.P.; Yan, S.J.; Chen, H. Estimating soil erosion response to land use/cover change in a catchment of the Loess Plateau, China. Int. Soil Water Conserv. Res. 2018, 6, 13–22. [Google Scholar] [CrossRef]
- Zhao, G.J.; Kondolf, G.M.; Mu, X.M.; Han, M.W.; He, Z.; Rubin, Z.; Wang, F.; Gao, P.; Sun, W.Y. Sediment yield reduction associated with land use changes and check dams in a catchment of the Loess Plateau, China. Catena 2017, 148, 126–137. [Google Scholar] [CrossRef]
- Wischmeier, W.H.; Johnson, C.B.; Cross, B.V. A soil erodibility nomograph for farmland and construction sites. Soil Water Conserv. 1971, 26, 189–193. [Google Scholar]
- Liu, B.Y.; Nearing, M.A.; Risse, L.M. Slope Gradient Effects on Soil Loss for Steep Slopes. Trans. ASAE 1994, 37, 1835–1840. [Google Scholar] [CrossRef]
- McCool, D.K.; Foster, G.R.; Mutchler, C.K.; Meyer, L.D. Revised slope length factor for the Universal Soil Loss Equation. Trans. Am. Soc. Agric. Eng. 1989, 32, 1571–1576. [Google Scholar] [CrossRef]
- Xie, H.X.; Li, R.; Yang, Q.K.; Li, J.; Liang, W. Effects of Grain for Green Project and Rainfall Changes on Soil Erosion in Yanhe River Basin. Sci. Agric. Sin. 2009, 42, 569–576. [Google Scholar]
- Xiong, Y.; Wang, H.; Bai, Z. Preliminary Study on Benefit Indexes of Runoff and Sediment Reduction by Terraced Field, Forest Land and Grass Land. Soil Water Conserv. China 1996, 8, 10–14. [Google Scholar]
- Jiao, J.Y.; Wang, W.Z.; Li, J. Soil and water conservation benefit of warping dams in hilly and gully regions on the Loess Plateau. J. Arid L. Resour. Environ. 2001, 15, 78–83. [Google Scholar]
- Nearing, M.A.; Jetten, V.; Baffaut, C.; Cerdan, O.; Couturier, A.; Hernandez, M.; Le Bissonnais, Y.; Nichols, M.H.; Nunes, J.P.; Renschler, C.S.; et al. Modeling response of soil erosion and runoff to changes in precipitation and cover. Catena 2005, 61, 131–154. [Google Scholar] [CrossRef]
- Wei, B.Y.; Ma, Z.Y.; Zhou, G. Evaluate the benefit of large model management in Jiuyuangou watershed, Suide—From 5 July 1964 the heavy rainstorm. Yellow River 1965, 6, 30–31. (In Chinese) [Google Scholar]
- Liu, B.Y.; Liu, X.Y.; Yang, Q.K.; Zhang, X.P.; Cao, W.; Dang, W.Q. Investigation report on flood control and anti-rainstorm ability of small watershed in Loess Plateau. Bull. Soil Water Conserv. 2017, 37, 1–3. [Google Scholar]
- Wang, N.; Chen, Y.X.; Bai, L.C.; Wang, H.L.; Jiao, J.Y. Investigation on Soil Erosion in Small Watershed Under “7·26” Extreme Rainstorm in Zizhou County, Northern Shaanxi Province. Bull. Soil Water Conserv. 2017, 37, 338–344. (In Chinese) [Google Scholar]
- Wei, W.; Chen, L.; Fu, B.; Huang, Z.; Wu, D.; Gui, L. The effect of land uses and rainfall regimes on runoff and soil erosion in the semi-arid loess hilly area, China. J. Hydrol. 2007, 335, 247–258. [Google Scholar] [CrossRef]
- Ostwald, M.; Chen, D. Land-use change: Impacts of climate variations and policies among small-scale farmers in the Loess Plateau, China. Land Use Policy 2006, 23, 361–371. [Google Scholar] [CrossRef]
- Xin, Z.B.; Xu, J.X.; Zheng, W. Spatiotemporal variations of vegetation cover on the Chinese Loess Plateau (1981–2006): Impacts of climate changes and human activities. Sci. China Ser. D Earth Sci. 2008, 51, 67–78. [Google Scholar] [CrossRef]
- Morgan, R.P.C.; Quinton, J.N.; Smith, R.E.; Govers, G.; Poesen, J.W.A.; Auerswald, K.; Chisci, G.; Torri, D.; Styczen, M.E. The European Soil Erosion Model (EUROSEM): A dynamic approach for predicting sediment transport from fields and small catchments. Earth Surf. Process. Landf. 1998, 23, 527–544. [Google Scholar] [CrossRef]
- Koulouri, M.; Giourga, C. Land abandonment and slope gradient as key factors of soil erosion in Mediterranean terraced lands. Catena 2007, 69, 274–281. [Google Scholar] [CrossRef]
- Li, Z.; Liu, W.Z.; Zheng, F.L. The land use changes and its relationship with topographic factors in the Jing river catchment on the Loess Plateau of China. Springerplus 2013, 2, S3. [Google Scholar] [CrossRef]
- Wang, Q.A.; Ma, Y.F. Study on the water environment in source areas of southern Shaanxi for the medium route project of the South-to-NorthWater Diversion. J. Water Resour. Water Eng. 2008, 1, 51–56. (In Chinese) [Google Scholar]
- Wang, D.X.; Hou, S.Z.; Yang, J.S. Analysis of the Sediment Source of the Flood Formed by July 26 Rainstorm in the Wuding River Basin. Yellow River 2017, 39, 18–21. (In Chinese) [Google Scholar]





| Data Type | Source | Resolution/Scale | Using |
|---|---|---|---|
| Aerial scanning image in 1977 | Provide by the “Rainstorm erosion project” | 1 m | Calculate factor B, T |
| Google image map in 2004 | Download from “91weitu” | 0.5 m | |
| High-resolution map in 2015 | Provide by the “Erosional gully monitoring project” | about 1.79 m | |
| Landsat MSS image in 1975 | Available on the Google Earth Engine | 80 m | |
| Landsat TM image in 2004, 2015 | 30 m | ||
| Precipitation | Meteorological Bureau | Table | Calculate factor R |
| Soil | From previous research | 5 m | Calculate factor K |
| Soil and water conservation measures statistics | Investigation statistics | based basin units | Calculate factor E |
| Digital elevation model (DEM) | Interpolated by contour | 5 m | Calculate factors LS, g |
| Land uses Type | Vegetation Cover | B |
|---|---|---|
| Forest | 0%–20% | 0.1 |
| 20%–40% | 0.08 | |
| 40%–60% | 0.06 | |
| 60%–80% | 0.02 | |
| 80%–100% | 0.004 | |
| Building | - | 0.9 |
| Water | - | 1 |
| Grassland | 0%–20% | 0.45 |
| 20%–40% | 0.24 | |
| 40%–60% | 0.15 | |
| 60%–80% | 0.09 | |
| 80%–100% | 0.043 | |
| Cropland | - | 0.23 |
| Slope Range | 0° | ≤5° | 5–10° | 10–15° | 15–20° | 20–25° | >25° |
| T value | 1 | 0.1 | 0.221 | 0.305 | 0.575 | 0.705 | 1 |
| Grade | Level | Range (t/km²·a) | 1977 | 2004 | 2015 | |||
|---|---|---|---|---|---|---|---|---|
| Area (km2) | % | Area (km2) | % | Area (km2) | % | |||
| I | No significant | <300 | 620.14 | 8.93 | 6184.89 | 88.98 | 4814.10 | 69.34 |
| II | Slight | 300–1000 | 1972.19 | 28.40 | 626.70 | 9.02 | 1858.05 | 26.76 |
| III | Light | 1000–1500 | 1225.09 | 17.64 | 89.92 | 1.29 | 128.80 | 1.86 |
| IV | Moderate | 1500–2500 | 1527.99 | 22.00 | 23.80 | 0.34 | 61.27 | 0.88 |
| V | Intensive | 2500–5000 | 1188.23 | 17.11 | 22.25 | 0.32 | 48.95 | 0.71 |
| VI | Very intensive | 5000–8000 | 263.04 | 3.79 | 2.96 | 0.04 | 21.73 | 0.31 |
| VII | Severe | >8000 | 148.44 | 2.14 | 0.65 | 0.01 | 9.42 | 0.14 |
| Land Use Types | Area% | Vegetation Coverage | Soil Erosion Loss (t/km²·a) | |||||||
|---|---|---|---|---|---|---|---|---|---|---|
| 1977 | 2001 | 2015 | 1977 | 2004 | 2015 | 1977 | 2004 | 2015 | Rate of Change (1997–2015) | |
| Farmland | 47.97 | 39.87 | 16.59 | 35.57 | 39.16 | 43.76 | 1195.89 | 105.58 | 164.81 | 13.78 |
| Grassland | 49.08 | 47.57 | 64.68 | 37.46 | 37.17 | 47.58 | 2386.75 | 213.35 | 319.52 | 13.39 |
| Forest | 0.24 | 15.60 | 22.46 | 44.26 | 38.54 | 50.33 | 1029.95 | 178.89 | 288.01 | 27.96 |
| Slope | Area | LS Factor | Soil Erosion (t/km²·a) | |||
|---|---|---|---|---|---|---|
| km2 | Mean | std | 1977 | 2004 | 2015 | |
| 0–5° | 152.24 | 0.50 | 1.48 | 355.73 | 63.06 | 29.45 |
| 5–8° | 152.74 | 1.20 | 1.82 | 603.68 | 98.08 | 48.38 |
| 8–15° | 501.12 | 2.92 | 2.49 | 904.18 | 146.57 | 73.15 |
| 15–25° | 1441.94 | 6.75 | 3.70 | 1652.46 | 242.89 | 131.99 |
| 25–35° | 2281.13 | 11.25 | 4.84 | 2001.29 | 333.09 | 165.12 |
| >35° | 2436.28 | 15.96 | 6.18 | 2650.71 | 418.21 | 217.15 |
| Year | Maximum (mm) | Minimum (mm) | Average (mm) | Standard Deviation |
|---|---|---|---|---|
| 1977 | 689 | 537.3 | 598.21 | 31.9 |
| 2004 | 334.90 | 201.35 | 256.93 | 21.95 |
| 2015 | 487.84 | 222.8 | 334.6 | 55.64 |
© 2020 by the authors. Licensee MDPI, Basel, Switzerland. This article is an open access article distributed under the terms and conditions of the Creative Commons Attribution (CC BY) license (http://creativecommons.org/licenses/by/4.0/).
Share and Cite
Huang, C.; Yang, Q.; Cao, X.; Li, Y. Assessment of the Soil Erosion Response to Land Use and Slope in the Loess Plateau—A Case Study of Jiuyuangou. Water 2020, 12, 529. https://doi.org/10.3390/w12020529
Huang C, Yang Q, Cao X, Li Y. Assessment of the Soil Erosion Response to Land Use and Slope in the Loess Plateau—A Case Study of Jiuyuangou. Water. 2020; 12(2):529. https://doi.org/10.3390/w12020529
Chicago/Turabian StyleHuang, Chenlu, Qinke Yang, Xiayu Cao, and Yuru Li. 2020. "Assessment of the Soil Erosion Response to Land Use and Slope in the Loess Plateau—A Case Study of Jiuyuangou" Water 12, no. 2: 529. https://doi.org/10.3390/w12020529
APA StyleHuang, C., Yang, Q., Cao, X., & Li, Y. (2020). Assessment of the Soil Erosion Response to Land Use and Slope in the Loess Plateau—A Case Study of Jiuyuangou. Water, 12(2), 529. https://doi.org/10.3390/w12020529
