Abstract
Bioelectrochemical systems (BESs) exploit the interaction between microbes and electrodes. A field of application thereof is bioelectrochemical remediation, an effective strategy in environments where the absence of suitable electron acceptors limits classic bioremediation approaches. Understanding the microbial community structure and genetic potential of anode biofilms is of great interest to interpret the mechanisms occurring in BESs. In this study, by using a whole metagenome sequencing approach, taxonomic and functional diversity patterns in the inoculum and on the anodes of three continuous-flow BES for the removal of phenol, toluene, and BTEX were obtained. The genus Geobacter was highly enriched on the anodes and two reconstructed genomes were taxonomically related to the Geobacteraceae family. To functionally characterize the microbial community, the genes coding for the anaerobic degradation of toluene, ethylbenzene, and phenol were selected as genetic markers for the anaerobic degradation of the pollutants. The genes related with direct extracellular electron transfer (EET) were also analyzed. The inoculum carried the genetic baggage for the degradation of aromatics but lacked the capacity of EET while anodic bacterial communities were able to pursue both processes. The metagenomic approach provided useful insights into the ecology and complex functions within hydrocarbon-degrading electrogenic biofilms.
1. Introduction
Hydrocarbon pollution is a widespread phenomenon that affects human health and the environment, including air, water, and soil [1]. The removal of this class of contaminants from the environment is mandatory and can be achieved with physical-chemical or biological strategies [2]. Biological approaches present several advantages in comparison with classic physical-chemical treatments, as they are more cost-effective and allow the complete mineralization of the organic pollutant [2,3]. However, traditional bioremediation is often limited by several factors, such as (i) the need for long-term addition of suitable electron acceptors (oxygen, nitrate, sulfate, or other oxidized compounds); (ii) the consumption of added amendments by competitive biotic and abiotic reactions; and (iii) the accumulation of undesired side-products [4]. Some of these limitations could possibly be overcome by a BES, in which a polarized anode can be employed as a virtually inexhaustible, and highly selective electron acceptor for contaminants’ degradation [3,4].
BES is a technology initially developed for the conversion of chemical energy contained in waste organic matter into electrical energy [5], through the action of microorganisms capable of extracellular electron transfer (EET) [6,7]. However, recently, BESs have emerged as an interesting and promising technological platform in different environmental-related fields, from biosensing of toxic substances [8,9] to the removal of pollutants from environmental matrices [3,10]. BES-based technologies present several advantages in comparison with traditional bioremediation methods. The most relevant one is that due to the fact that the electrode may act as a non-exhaustible electron acceptor/donor, energy costs are minimized as well as the need for amendment supplies [10]. Moreover, in the remediation of organic substances, the co-localization of pollutants, microbes, and the electron acceptor may enhance the removal of the hazardous waste [11].
BESs have been studied for the remediation of hydrocarbons from soil [12], sediments [13,14], marine water [3], and wastewater [15,16,17,18]. Recently, Palma and colleagues described an innovative bioelectrochemical reactor configuration, the “bioelectric well”, for the in-situ treatment of hydrocarbons in groundwater [16]. This configuration was studied for the removal of phenol [16], toluene [17], and a mixture of BTEX [18], with high performances (Table 1).
Table 1.
Performances of the “bioelectric well” for the removal of aromatic compounds under optimal operating conditions.
In the studies with the “bioelectric well”, the microbial communities on the anodes of the three runs (with phenol, toluene, and BTEX, respectively) were highly enriched in the Geobacter genus. Moreover, it was hypothesized that the activation pathway for toluene and ethylbenzene occurred via fumarate addition [18].
Describing the microbial community composition is useful to understand the development of the microbial population, from a taxonomic point of view. This analysis describes the structure of the initial community and allows us to follow its development, depending on the changing environmental conditions. In BES operated for the treatment of polluted water, two main factors influence the evolution of the microbial community structure: (i) The capability to degrade the pollutant and (ii) to perform extracellular electron transfer. However, to gain more insight into the functions of the microbial populations and their evolvement, a shotgun metagenomic approach is needed. To date, only a few studies have used shotgun metagenomic sequencing for analyzing BES-associated metagenomes [19], which mainly focused on investigating (i) the effect of the substrate type and composition on the current generation [20,21] and on the involved extracellular electron transfer mechanisms [22], and (ii) the effect of the inoculum in BES for the treatment of industrial wastewater [23]. So far, no studies have used shotgun sequencing to analyze the BES communities involved in bioremediation.
In this study, by using a shotgun metagenomic approach, we described the structure and functions of five microbial communities: Two wastewaters used to inoculate the bioelectrochemical systems, and three anodic communities operating in BES for the treatment of aromatic hydrocarbons (phenol, toluene, and a mixture of BTEX, respectively). Our analysis demonstrated that the microbial population is highly influenced by both (a) the ability to perform EET and (b) to use the pollutant as the sole carbon source. Moreover, the abundance of the genes involved in the degradation mechanisms was related to the pollutant used in the different runs.
2. Materials and Methods
2.1. Reactor Set-Up and Operation
The bioelectrochemical experiments were carried out using 250-mL glass-cylinder membrane-less reactors, henceforth termed the ‘bioelectric well’, that were set and operated as previously described [16]. The glass cylinder was filled with graphite granules, serving as the bioanode, and housing a concentric stainless-steel mesh (90 cm2 geometric surface area), serving as the cathode. An Ag/AgCl reference electrode (+0.198 V vs. SHE) was placed on top of the cylinder to control, by means of a potentiostat (IVIUM Technologies, Eindhoven, The Netherlands), the potential of the bioanode at the desired value (i.e., +0.200 V vs. SHE). During operation, the bioelectric well was continuously fed (at a flowrate of 0.6 L day−1) with synthetic groundwater containing specific aromatic compounds as the sole carbon source [17].
2.2. Experimental Procedure
Three different hydrocarbons were used as substrates in the three herein described experiments: Phenol [16], toluene [17], and a mixture of BTEX [18]. Two different inocula were tested: An activated sludge from a municipal wastewater treatment plant and a refinery wastewater. The activated sludge was tested only in the experiment with phenol. Due to the low initial phenol removal performances and the low attained current densities, the reactor was successively re-inoculated with the refinery wastewater [16]. Samples from both inocula (activated sludge and refinery wastewater) and from the anodic graphite granules were collected during the experimental phases of the three separated experiments. A scheme of the experimental plan and sampling is shown in Figure 1. Hereafter, the samples will be named as reported in Table 2.
Figure 1.
Experimental sampling procedure. Data were obtained from Palma et al., 2018 [16] (for phenol), Palma et al., 2018 [17] (for toluene) and Palma et al., 2019 [18] (for BTEX).
Table 2.
Sample names and characteristics.
2.3. DNA Extraction, Metagenome Sequencing, and Sequence Analyses
At the end of run IV for phenol, run VI for toluene, and run II for BTEX, ≈20 g of graphite granules were sampled from each bioelectric well (Figure 1). The same analysis was carried out on a sample of the municipal activated sludge and the refinery wastewater used to inoculate the reactors.
Total bacterial DNA was extracted from samples using the FastDNA Spin Kit for Soil (MP Biomedicals, Solon, OH, USA) according to the manufacturer’s instructions.
Bacterial V5–V6 hypervariable regions of the 16S rRNA gene were PCR-amplified, purified, and sequenced es reported in [16,17,18]. In this study, reads from sequencing were re-elaborated as follows: Reads were quality filtered and assembled into error-corrected amplicon sequence variants (ASVs) using DADA2 v1.4.0 [24], which represent unique bacterial taxa. Assembled ASVs were assigned taxonomy (phylum to species) using the Ribosomal Database Project (RDP) [25].
Shotgun sequencing was performed on samples: Inoculum 1, inoculum 2, phenol, toluene, and BTEX. Phenol1 was not sequenced because it was considered of scarce interest, due to the low performances obtained in the removal of the pollutant and current production. Shotgun sequencing was performed at Biodiversa s.r.l. (Trento, Italy). Shotgun sequencing, read assembly, annotation, and sequences assembled from metagenomic reads into individual groups (bins) were obtained as reported in [26].
2.4. Bioinformatics Procedures
Shotgun sequencing was performed on the 5 samples (2 inocula and 3 graphite samples) by HiSeq Illumina (Illumina, Inc., San Diego, CA, USA) using a 100 bp × 2 paired-end protocol on one lane. Sequence data are available at http://www.ebi.ac.uk/ena/data/view/PRJEB36414.
The paired-end reads were quality-trimmed (minimum length: 80 bp; minimum average quality score: 30) using Sickle (https://github.com/najoshi/sickle). Filtered reads were co-assembled using IDBA-UD [27]. Predicted genes were inferred from contigs with Prodigal [28] and aligned with Diamond (blastx) against the non-redundant protein database [29]. Alignment files were elaborated using MEGAN V5.10.3 [30]. Kyoto Encyclopaedia of Genes and Genomes (KEGG) numbers were used to estimate the representation of metabolic pathways in the metagenomes. Statistics of the sequence reads and assembly results are reported in Table S1. The lowest common ancestor (LCA) algorithm was applied to infer taxonomic affiliation of predicted genes using MEGAN default parameters. Average per-base coverage of predicted genes was calculated using filtered reads with bowtie2 [31], SAMtools [32], and bedtools [33]. To normalize the different sequencing depth across the samples, the sum of gene coverages was normalized to 1,000,000 for each sample.
In order to pursue an exhaustive analysis of the enzymes involved in the direct electron transfer (that have not been categorized in KEGG orthology or other databases), a custom-made database of aminoacidic sequences of enzymes related with electron transfer was constructed and compared with our protein query (using blastp application). The database (available in Supplementary Materials) was constructed from aminoacidic sequences of key enzymes described to be responsible for direct electron transfer in Geobacter spp. [34,35,36,37].
Contigs were binned in putative reconstructed genomes of individual microbial populations, using Maxbin [38], annotated using Prokka [39], and visualized with Pathway Tool [40]. Possible bin contamination was estimated with the MiGA platform [41]. The taxonomy of reconstructed genomes was inferred with the Microbial Genome Atlas (MiGA) webserver [41] and GTDB-Tk (v0.2.2) [42]. Moreover, contigs were annotated also with KEGG’s internal annotation tool BlastKOALA (https://www.kegg.jp/blastkoala/) [43] and KofamKOALA (https://www.genome.jp/tools/kofamkoala/) [44], and the results were further visualized with KEGG Mapper.
2.5. Statistical Analysis
The dissimilarities in (i) the taxonomic composition of the bacterial communities (based on ASV) and (ii) functional profiles based on KO numbers were analyzed using nonmetric multidimensional scaling (NMDS) based on the Hellinger distance with the R language vegan package.
3. Results and Discussion
3.1. Microbial Community Composition
The taxonomic composition of the microbial communities in the inocula and on the anodes of the three treatments indicate (i) high diversity of the inocula and (ii) enriched anode biofilms (Figure S1). As expected, in the inoculum 1, no putative hydrocarbon degraders were detected. However, in the inoculum 2, bacterial families, whose members have hydrocarbonoclastic properties, were described, such as Desulfomicrobiaceae [45], Comamonadaceae [46], and Pseudomonadaceae [47]. Regarding the bacterial composition on the anode of the reactor supplemented with phenol, at the end of run I, the community was highly enriched with members of the families Comamonadaceae, Moraxellaceae, and Xanthomonadaceae (Figure S1). Interestingly, at the end of the experiment (run IV), the family Geobacteraceae was predominant (64% of the relative abundance) on the anode of this reactor. The same situation was observed on the anode of the experiment with toluene (53% of relative abundance) and BTEX (34% of relative abundance). The presence of Geobacter spp. on the anodes confirms the involvement of the members of this family in the degradation of hydrocarbons in the presence of an anode as the sole electron acceptor [3].
Using NMDS analysis at the ASV level, significant correlations were found between the community structure of anodes and the inoculum used for that specific run (Figure S2). In fact, inoculum 1 clustered with phenol1 while the bacterial community of the remaining anodes (phenol, toluene, BTEX) and the inoculum 2 clustered in a second group (Figure S2). Interestingly, the toluene and BTEX samples overlapped, meaning that the bacterial community structure of these two samples is highly similar. Indeed, it can be related with the fact that these two reactors share toluene as the substrate. Moreover, fumarate addition is a strategy for the anaerobic activation of aromatic hydrocarbons, which was first described for the activation of toluene catalyzed by benzylsuccinate synthase (BSS) in Thauera aromatica strain K172, but is also involved in the activation of xylenes and ethylbenzene [48].
3.2. Functional Structure and Metabolic Potential of Anode Metagenomes
In order to infer how the genomic potential of the anodic microbial communities varied in comparison with the inocula, we analyzed the metagenomic dataset generated from samples inoculum 1, inoculum 2, phenol, toluene, and BTEX. We based it on the functional annotation of the protein Coding DNA Sequence into KO (KEGG Orthology) terms and pathways. The characteristics of the metagenomic dataset are reported in Table S1.
The functional structure of the bacterial community based on the abundance of KEGG KO identifiers was represented with NMDS analysis (Figure 2). The metabolic potential of the five communities (two inocula and three anodes) was remarkably similar when represented in a high functional level (level 2) (Figure 3). These phenomena have been reported [49] and it is expected that the core metagenome (that accounts for >95% of the metagenome) of a community maintains its structure even if it is subjected to strong environmental changes. However, by analyzing the functions of the communities at a lower level (enzyme level) with NMDS, we observed that the genomic functions of the community clustered depending on the type of sample (inoculum or anode) (Figure 2). In other words, the functions of the anodic communities and the functions of the inocula clustered in two independent groups. This shows a clear distinction between the functional profiles of the anodic communities, which both degrade the hydrocarbons and perform EET, and the functional profiles of the original inocula.
Figure 2.
Non-metric multidimensional scaling (NMDS) plot of functional distributions, based on normalized abundances of KEGG Orthology (KO) numbers. Yellow squares indicate graphite granule samples from the three treatments. Blue dots indicate the two inocula.
Figure 3.
Distribution of genomic functions in inocula and anode metagenomes. The relative abundance for each sample was defined as the sum of the total number of coding DNA sequence assigned to Kyoto Encyclopedia of Genes and Genomes (KEGG) pathways (level 2), normalized over the total number of assignments to KEGG pathways for that sample.
In contrast with the functional structure, the taxonomic structure (Figure S2) clustered depending on the source of the microbial communities. In detail, the taxonomy of the community developed on the anode of the phenol1 sample, clustered with the taxonomy of the inoculum used for that run (activated sludge), while the taxonomy of anodic samples of the other three reactors clustered with the inoculum used for those runs (refinery wastewater = inoculum 2). Moreover, the taxonomic composition of the anodic samples (Figure S1) exhibited a remarkable enrichment of the family Geobacteraceae (64%, 53%, and 34% of the relative abundance on the anodes of phenol, toluene, and BTEX anodes, respectively, in comparison with the inocula, where the abundance of this family was <1%), but also Ignavibacteraceae and Desulfobulbaceae. Despite the high enrichment of these populations of electrogenic bacteria, the taxonomic structure of each microbial community maintained the imprinting of its respective initial inoculum, whereas the anodic environment selected for specialized functional profiles. This different selectivity for taxonomy and functional traits could be explained supposing that the selective pressure operating at the anodes might have favored the most adapted sub-population within the taxonomic units defined by the ASV.
3.3. Biomarker Genes for Hydrocarbon Degradation
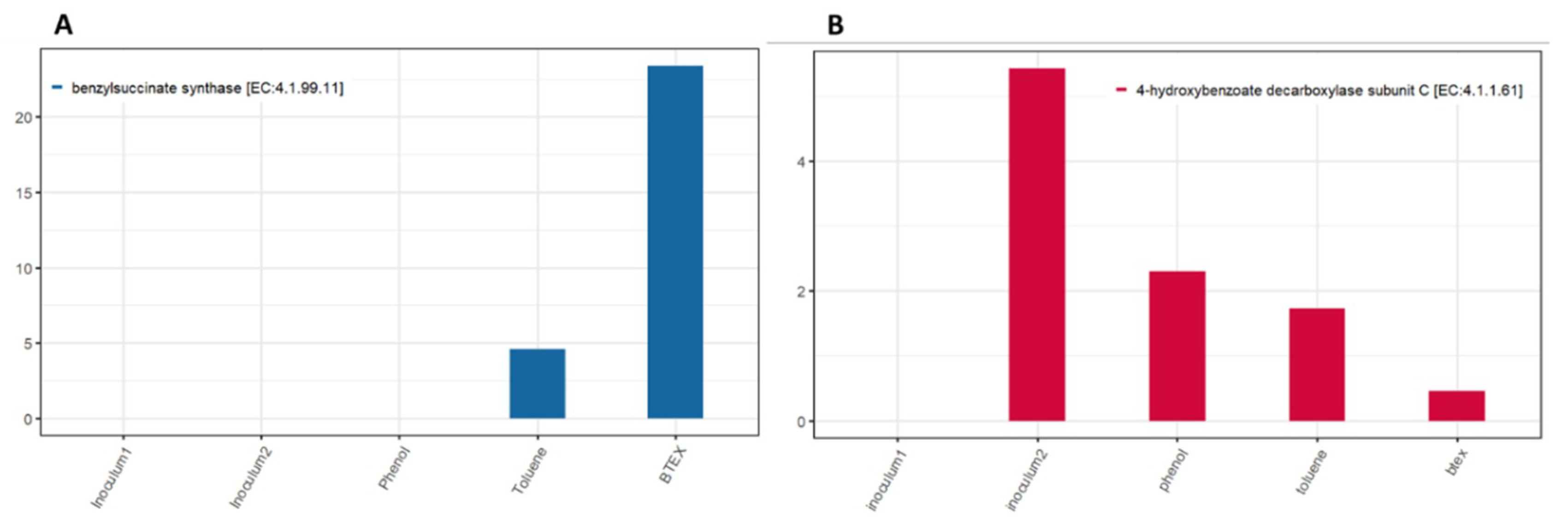
In order to perform a deeper analysis of those genes specifically related to hydrocarbon degradation, benzylsuccinate synthase was selected, based on the KO term, as a marker for the anaerobic degradation of toluene, ethylbenzene, and xylenes [48] since it catalyzes the first step (i.e., fumarate addition) in the contaminant degradation pathway. This analysis revealed an increase in the coverage of the sequences annotated as benzylsuccinate synthase (BssA-[EC:4.1.99.11]) on the anodes of the toluene and BTEX reactors (Figure 4A), but the presence of this enzyme was not found in the inocula nor in the phenol sample. This result is in accordance with the properties of the bioelectrochemical reactors supplemented with phenol, because fumarate addition was not reported to be a strategy involved in the anaerobic degradation of this compound, which, by contrast, is anaerobically activated through carboxylation [50]. In fact, although 4-hydroxybenzoate decarboxylase [EC:4.1.1.61] was observed in all the samples where hydrocarbons were present (Figure 4B), it was substantially more abundant in the inoculum 2 and phenol samples. This is consistent with the fact that inoculum 2 harbored the genetic potential for the degradation of several compounds under anaerobic conditions, including phenol. Among the three treatments, phenol presents the highest coverage for this enzyme, showing once again that metabolic functions effectively adapted to the applied environmental and operational conditions. The lower (but still not null) coverage of 4-hydroxybenzoate decarboxylase in the toluene and BTEX samples might indicate that the microbial community maintained the genetic properties for phenol degradation, even in the absence of the substrate.
Figure 4.
Coverage of (A) benzylsuccinate synthase [EC:4.1.99.11] and (B) 4-hydroxybenzoate decarboxylase [EC:4.1.1.61] based on normalized abundances of CDS classified with KEGG.
3.4. Biomarker Genes for Electrogenic Activity
Even though the EET capacity of several bacterial species has been previously described [7], to date, the electrogenic properties of a community have not been described through a whole metagenomic approach. Moreover, the enzymes involved in the direct electron transfer have not been categorized in KEGG orthology or other databases, thus it was not possible to pursue a proper analysis of these specific enzymes in the dataset annotated with KEGG. To overcome this limitation, a custom-made database of aminoacidic sequences of enzymes related to the electron transfer was constructed (see the methods section for details) and compared with our protein query (using the blastp application). As shown in Figure 5, inoculum 1 and inoculum 2 carried the genomic capacity to achieve exoelectrogenic activity, thus a part of the bacterial community was able to transfer electrons to insoluble compounds (as Fe(III) and Mn(IV)). This capacity increased 4-fold for phenol and 7-fold for toluene in the anodic communities, demonstrating that the anode was actually used as a respiratory electron acceptor. Moreover, ext genes accounted for the highest coverage on the anodes (Figure 5). We observed that this group of genes was mainly represented by extA and extG genes (data not shown), which encode for two periplasmic dodecaheme c-type cytochromes of Geobacter sulfurreducens [36] and which are, among the ext operons, crucial for growth with electrodes [51]. Conductive pili genes were the second most abundant EET category found on the anodes. It has been reported that electrically conductive pili (e-pili) can pursuit long-range electron transfer to insoluble electron acceptors, to other cells, and through electrically conductive biofilms [35]. In our study, the highest coverage of pilA sequences belong to the genera Desulfobotulus, Geobacter, and Thauera. Even if e-pili genes were primarily described in the order Desulfuromonadales, it has been recently described that genera, such as Desulfobotulus, Desulfobacterium, Desulfobacula, and Thauera (among others), own e-pili genes [35]. Even if none of these organisms are known to be able to use Fe(III) as an electron acceptor, it has been suggested that one of the primary functions of e-pili may be interspecies electron exchange [35]. We thus hypothesize that in our bioelectrochemical reactors, Geobacter was the main responsible microorganism for direct electron transfer to the anode (through the enzymes coded by ext and pilA genes) and that other species might have also been involved EET through e-pili, directly to the anode or indirectly through other cells or the biofilm.
Figure 5.
Coverage of genes coding for enzymes related with direct electron transfer (e-pilin (pilA), ext, omaB, ombB, omcB, ppcA) based on the abundances of CDS classified with a custom-made protein database.
3.5. Binning: Composite Genomes of Individual Populations
To gain a deeper insight into the mechanisms of hydrocarbon degradation and extracellular electron transfer in BES, we reconstructed from metagenomic data four partial genomes (bins) (Table 3 and Table S2). These bins were selected (among the >300 reconstructed ones), based on their completeness and percentage of contamination. Moreover, in order to have the most representative scenario, the final criterion was the coverage of each bin in each sample. We thus selected one bin that acts as a representative for at least one condition, based on the coverage of each reconstructed genome in each sample (Table 3). We searched for the genes involved in the anaerobic degradation of toluene, benzene, xylenes, ethylbenzene, and phenol. Regarding toluene and the xylenes, fumarate addition was considered the principal mechanism for the degradation of these compounds [48,52] (Figure S3). The activation of ethylbenzene can follow the pathway of fumarate addition [47,51], but an alternative pathway (through the oxidation of ethylbenzene to benzoyl-CoA) has been proposed in denitrifying bacteria [52,53,54] (Figure S3). Phenol can be anaerobically oxidized via 4-hydroxybenzoate (EC 4.1.1.61) under denitrifying conditions [55,56,57] and then degraded to benzoate via benzoyl-CoA [58,59] (Figure S3). Regarding benzene, the biochemical mechanism involved in the activation of the aromatic ring of benzene in the absence of oxygen is still not fully elucidated, but (i) methylation, (ii) hydroxylation, and (iii) carboxylation have been largely proposed as likely reactions [60]. In the first proposed mechanism, benzene is methylated to toluene followed by fumarate addition to form benzylsuccinate that is subsequently metabolized to benzoyl-CoA. Regarding carboxylation, benzene reacts with CO2 to form benzoate while in the third proposed mechanism, benzene is hydroxylated to phenol, and then degraded via 4-hydroxybenzoate and benzoyl-CoA [61].
Table 3.
Characteristics of reconstructed genomes: hydrocarbon degradation and extracellular electron transfer (EET) capacity.
Genome annotation revealed the presence of bssA (the gene encoding for benzylsuccinate synthase, the first enzyme involved in the fumarate activation pathway) in bin 107, bin 221, and bin 277 (Table 3, Figure S4), though bin 107 (representative of phenol and toluene) carries the greatest genetic baggage for toluene degradation. This bin was taxonomically classified as a member of the family Geobacteraceae, and the genus Geobacter that belongs to this family was dominant in the microbial community over the graphite anode of the three reactors [16,17,18]. The family Geobacteraceae has also been described on the anode of an MFC for the removal of benzene and sulfide [62], and Geobacter metallireducens was able to degrade toluene and to transfer electrons to the anode in an MFC [63]. However, the mechanism of toluene activation (through fumarate addition) was proposed just once in a BES [17], and in this study, the almost complete pathway was reconstructed. We were able to identify the following genes: bssA (EC:4.1.99.11), bbsE (EC:2.8.3.15), bbsH (EC:4.2.1.-), bbsD (EC:1.1.1.35), and bbsB (EC:2.3.1.-) of the fumarate addition pathway (lacking only of bbsB (EC:1.3.8.3)); bsdC (EC:4.1.1.61) and hcrABC (EC:1.3.7.9) of the phenol pathway; and ped (EC:1.1.1.311), apcABCD (EC:6.4.1.8), and fad (EC:2.3.1.16) of the ethylbenzene pathway (Figure S4). The presence of these genes suggest that this strain was genetically able to anaerobically degrade toluene, xylenes, and ethylbenzene through fumarate addition, but probably also ethylbenzene, via the alternative pathway. Even if the complete pathway of phenol degradation is not represented in this genome, the presence of 4-hydroxybenzoate decarboxylase subunit C (coded by bsdC) and 4-hydroxybenzoyl-CoA reductase subunit alpha (coded by hcr genes) allows the hypothesis of probable genetic baggage for the anaerobic phenol degradation. Regarding benzene, because the mechanism involved in the activation of the aromatic ring has not been clarified, we can just hypothesize that benzene was first converted either to toluene, phenol, or benzoate, and then followed the degradation pathways of these compounds. However, the phenol pathway seems the most probable one in this genome: An analysis of whole-genome gene expression patterns in Geobacter metallireducens indicated that phenol was an intermediate in benzene metabolism [64]. The presence of the ped, apc, and fadA genes of the ethylbenzene anaerobic mechanism suggests that this pathway was also present in this bin.
Interestingly, in bin 2 (representative of phenol, toluene, and BTEX), only bsdC (first step of phenol degradation) was reported even if this genome was particularly abundant in toluene and BTEX, and less in phenol. This result was not expected because bin 2 was taxonomically classified to the genus Geobacter, which has been demonstrated to be a good BTEX degrader. Probably, the low completeness of this bin (65%) did not lead to a full annotation and a further exhaustive image of the genetic potential of this strain.
However, in bin 221 (representative of Inoculum 2-refinery wastewater) we detected the presence of bssA (EC:4.1.99.11) of toluene pathway; apcC (EC:6.4.1.8) of ethylbenzene pathway; bsdC (EC:4.1.1.61) and hcrC (EC:1.3.7.9) of phenol pathway. This genome was reported only in inoculum 2 (refinery wastewater) and thus it was expected to have the capacity to degrade a wide range of hydrocarbons. Moreover, this bin was taxonomically related with the genus Desulfomicrobium (Table S2), which has been reported in contaminated sites [45,65] and also in BES for the removal of BTEX [15].
Interestingly, bin 277, which was chosen as a representative of inoculum 1 (anaerobic sludge), also presented the potential for BTEX degradation. In fact, the genes bbsE/bbsG and ped/fad of the toluene and ethylbenzene pathways, respectively, were reported. However, we found no genetic evidence of phenol degradation in this genome.
Interestingly, inoculum 1 and inoculum 2 substantially differed in their taxonomic and functional profiles. However, the dominant Geoabacter populations in the anodic communities had <1% of abundance in both the inocula, but only inoculum 2 developed proper electronic communities on the anodes. We do not have a clear explanation for this evidence, which could be due to differences in Geobacter spp. populations at the species or subspecies level. In fact, different Geobacter species play different ecological roles. For instance, among Geobacter species, only four (G. metallireducens, G. grbiciae, G. toluenoxydans, and G. daltonii) are capable of metabolizing toluene [66].
In order to have an exhaustive understanding of the processes related with EET in these genomes, the custom-made database of aminoacidic sequences of enzymes related with electron transfer was compared with the protein query of the four bins (using the blastp application). Only genes with evalue <E-10 were considered. Interestingly, the total number of genes that encode for direct EET (ext, e-pili, omaB, and ppcA genes) was higher in bin 107 and bin 2 (26 and 19 genes, respectively), which are the reconstructed genomes taxonomically related with Geobacter species (Table 3). However, in bin 107, several genes were found in multicopy (five copies of ppcA, four of extG, three of omcB, two copies of extE, extF, and e-pili gene from Geobacter lovleyi). In bin 2, only two genes were found in multicopy: Four copies of e-pili gene from Geobacter lovleyi and two copies of extA.
In bin 221 and bin 277, no evidence of direct EET genomic capacity was found. Although ETT genes were annotated in the entire metagenomes of the inocula (Figure 5), they are not present in the genome of the most abundant populations of the inocula. This can be explained due to the fact that the reconstructed genomes are just representatives of the bacterial community and do not cover the entire genomic potential of the population. However, being the most abundant populations, we think that they can be used as model to have an overview of the metabolic potential of the bacterial community. The presence and abundance of these reconstructed genomes is in line with the function of each organism in each condition: Bin 2 and bin 107 are microorganisms abundant on the anodes and related with Geobacter spp. that are able to degrade hydrocarbons and to use the anode as an electron acceptor. Bin 221 and bin 277 are representative of inoculum 2 and inoculum 1, respectively, and totally lack the capacity to achieve direct EET. However, they both present the capacity to degrade hydrocarbons. Our results suggest that even if the two inocula carried the genetic baggage for hydrocarbon degradation, the lack of genes for direct EET did not allow these strains to persist on the anode of a BES.
4. Conclusions
In the present study, for the first time, a metagenomic approach was used to (i) analyze the functions and structure of three anodic bacterial communities developed in continuous-flow bioelectrochemical systems for the removal of phenol, toluene, and BTEX and (ii) compared them with the structure and functions of the starting communities used to inoculate the BES. We observed that the anodic communities were taxonomically enriched in the Geobacter genus, and that the taxonomy of the anodes was influenced by the inoculum used for each condition. However, from a functional point of view, anodic communities clustered independently from the two inocula utilized in this study, demonstrating the origin of the sample (anode or inoculum) deeply influenced the functions of the bacterial populations. Benzylsuccinate synthase and 4-hydroxybenzoate decarboxylase were selected as markers for toluene/xylenes/ethylbenzene and phenol anaerobic degradation, respectively. Their abundance on the anodes is in accordance with the pollutant related to each condition. The two inocula carried the genomic capacity to achieve direct exoelectrogenic activity, but this capacity increased 4-fold for phenol and 7-fold for toluene in the anodic communities, demonstrating that the anode was used as an electron acceptor. The reconstructed genomes (bins) with high abundance on the anodes owned the capacity to degrade hydrocarbons and to achieve direct EET while the bins associated with the inocula only had the genetic potential for remediation. From the two functional approaches (annotation and quantification of genes in the samples and annotation in bins), we can conclude that both the electrogenic and degradative capacities are essential for the application of BES-based technologies in the remediation field. From our results, we noticed that these capabilities have been selected in the same organisms. This result suggests that the isolation of bacterial strains with both the capabilities of degrading hydrocarbon and of EET might be an effective strategy for enhancing the performance of BES for hydrocarbon degradation. Moreover, since the anodic environment was more selective in the presence of the hydrocarbon, the obtained results also suggest that enrichment for the isolation of electrogenic and hydrocarbonoclastic bacteria should be done in BES.
Supplementary Materials
The following are available online at https://www.mdpi.com/2073-4441/12/2/343/s1, Table S1: Statistics of the obtained assembly and annotation, Table S2: Characteristics of reconstructed genomes, Figure S1: Taxonomic composition of the bacterial communities at the family level. Only the families with abundance of 1%, or higher, in at least one sample have been reported, Figure S2: NMDS plot of Hellinger-transformed abundances of each ASV of anodes and inocula, Figure S3: Anaerobic degradation pathways of ethylbenzene, toluene, xylenes and phenol. Adapted from (Von Netzer et al., 2016) (Acosta-Gonzalez et al., 2013) for toluene, ethylbenzene, xylenes through fumarate addition; (Y et al., 1999) (Tschech and Fuchs, 1989) for oxidation of ethylbenzene to benzoyl-CoA; (Tschech and Fuchs, 1987) (Lack et al., 1991) for phenol oxidation via 4-hydroxybenzoate, Figure S4: Presence of hydrocarbon genes in reconstructed genomes.
Author Contributions
Conceptualization, F.A. and A.F.; Data curation, A.E.-T. and A.F.; Formal analysis, A.E.-T.; Funding acquisition, F.A. and A.F.; Investigation, A.E.-T., M.D. and E.P.; Project administration, F.A. and A.F.; Resources, F.A. and A.F.; Software, A.F.; Supervision, F.A. and A.F.; Validation, F.A. and A.F.; Visualization, A.E.-T.; Writing—original draft, A.E.-T.; Writing—review and editing, M.D., E.P., F.A. and A.F. All authors have read and agreed to the published version of the manuscript.
Funding
This study was financially supported by Fondazione Cariplo in the framework of the project BEvERAGE—BioElEctrochemical RemediAtion of Groundwater plumes (2015-0195).
Acknowledgments
AE thanks Riccardo Zerboni for his contribution in data analysis.
Conflicts of Interest
The authors declare no conflict of interest. The funders had no role in the design of the study; in the collection, analyses, or interpretation of data; in the writing of the manuscript, or in the decision to publish the results.
References
- Abha, S.; Singh, C.S. Hydrocarbon Pollution: Effects on Living Organisms, Remediation of Contaminated Environments, and Effects of Heavy Metals Co-Contamination on Bioremediation. In Introduction to Enhanced Oil Recovery (EOR) Processes and Bioremediation of Oil-Contaminated Sites; Romero-Zerón, L., Ed.; IntechOpen: Rijeka, Croatia, 2012; ISBN 978-953-51-0629-6. Available online: https://www.intechopen.com/books/introduction-to-enhanced-oil-recovery-eor-processes-and-bioremediation-of-oil-contaminated-sites/heavy-metals-interference-in-microbial-degradation-of-crude-oil-petroleum-hydrocarbons-the-challenge (accessed on 30 November 2019).
- Varjani, S.J. Microbial degradation of petroleum hydrocarbons. Bioresour. Technol. 2017, 223, 277–286. [Google Scholar] [CrossRef]
- Daghio, M.; Aulenta, F.; Vaiopoulou, E.; Franzetti, A.; Head, I.M.; Arends, J.B.A.; Sherry, A.; Su, A.; Bestetti, G.; Rabaey, K. Electrobioremediation of oil spills. Water Res. 2017, 114, 351–370. [Google Scholar] [CrossRef]
- Espinoza Tofalos, A.; Daghio, M.; Gonzalez, M.; Papacchini, M.; Franzetti, A.; Seeger, M. Toluene degradation by Cupriavidus metallidurans CH34 in nitrate-reducing conditions and in Bioelectrochemical Systems. FEMS Microbiol. Lett. 2018, 365, 1–8. [Google Scholar]
- Rabaey, K.; Angenent, L.; Schroder, U.; Keller, J. Bioelectrochemical Systems; IWA Publishing: London, UK, 2010; ISBN 9781843392330. [Google Scholar]
- Logan, B.E.; Regan, J.M. Electricity-producing bacterial communities in microbial fuel cells. Trends Microbiol. 2006, 14, 512–518. [Google Scholar] [CrossRef] [PubMed]
- Koch, C.; Harnisch, F. Is there a Specific Ecological Niche for Electroactive Microorganisms? ChemElectroChem 2016, 3, 1282–1295. [Google Scholar] [CrossRef]
- Sun, J.Z.; Kingori, G.P.; Si, R.W.; Zhai, D.D.; Liao, Z.H.; Sun, D.Z.; Zheng, T.; Yong, Y.C. Microbial fuel cell-based biosensors for environmental monitoring: A review. Water Sci. Technol. 2015, 71, 801–809. [Google Scholar] [CrossRef]
- Su, L.; Jia, W.; Hou, C.; Lei, Y. Microbial biosensors: A review. Biosens. Bioelectron. 2011, 26, 1788–1799. [Google Scholar] [CrossRef]
- Wang, H.; Luo, H.; Fallgren, P.H.; Jin, S.; Ren, Z.J. Bioelectrochemical system platform for sustainable environmental remediation and energy generation. Biotechnol. Adv. 2015, 33, 317–334. [Google Scholar] [CrossRef]
- Lovley, D.R. Live wires: Direct extracellular electron exchange for bioenergy and the bioremediation of energy-related contamination. Energy Environ. Sci. 2011, 4, 4896. [Google Scholar] [CrossRef]
- Morris, J.M.; Jin, S.; Crimi, B.; Pruden, A. Microbial fuel cell in enhancing anaerobic biodegradation of diesel. Chem. Eng. J. 2009, 146, 161–167. [Google Scholar] [CrossRef]
- Viggi, C.C.; Presta, E.; Bellagamba, M.; Kaciulis, S.; Balijepalli, S.K.; Zanaroli, G.; Papini, M.P.; Rossetti, S.; Aulenta, F. The “Oil-Spill Snorkel”: An innovative bioelectrochemical approach to accelerate hydrocarbons biodegradation in marine sediments. Front. Microbiol. 2015, 6, 1–11. [Google Scholar]
- Daghio, M.; Vaiopoulou, E.; Patil, S.A.; Suárez-Suárez, A.; Head, I.M.; Franzetti, A.; Rabaey, K. Anodes stimulate anaerobic toluene degradation via sulfur cycling in marine sediments. Appl. Environ. Microbiol. 2016, 82, 297–307. [Google Scholar] [CrossRef] [PubMed]
- Daghio, M.; Espinoza, A.; Leoni, B.; Cristiani, P.; Papacchini, M.; Jalilnejad, E.; Bestetti, G.; Franzetti, A. Bioelectrochemical BTEX removal at different voltages: Assessment of the degradation and characterization of the microbial communities. J. Hazard. Mater. 2018, 341, 120–127. [Google Scholar] [CrossRef] [PubMed]
- Palma, E.; Daghio, M.; Franzetti, A.; Petrangeli Papini, M.; Aulenta, F. The bioelectric well: A novel approach for in situ treatment of hydrocarbon-contaminated groundwater. Microb. Biotechnol. 2018, 11, 112–118. [Google Scholar] [CrossRef] [PubMed]
- Palma, E.; Daghio, M.; Espinoza Tofalos, A.; Franzetti, A.; Cruz Viggi, C.; Fazi, S.; Petrangeli Papini, M.; Aulenta, F. Anaerobic electrogenic oxidation of toluene in a continuous-flow bioelectrochemical reactor: Process performance, microbial community analysis, and biodegradation pathways. Environ. Sci. Water Res. Technol. 2018, 4, 2136–2145. [Google Scholar] [CrossRef]
- Palma, E.; Espinoza Tofalos, A.; Daghio, M.; Franzetti, A.; Tsiota, P.; Cruz Viggi, C.; Papini, M.P.; Aulenta, F. Bioelectrochemical treatment of groundwater containing BTEX in a continuous-flow system: Substrate interactions, microbial community analysis, and impact of sulfate as a co-contaminant. New Biotechnol. 2019, 53, 41–48. [Google Scholar] [CrossRef]
- Kouzuma, A.; Watanabe, K. Metagenomic insights into the ecology and physiology of microbes in bioelectrochemical systems. Bioresour. Technol. 2018, 255, 302–307. [Google Scholar] [CrossRef]
- Zhang, H.; Chen, X.; Braithwaite, D.; He, Z. Phylogenetic and Metagenomic Analyses of Substrate-Dependent Bacterial Temporal Dynamics in Microbial Fuel Cells. PLoS ONE 2014, 9, e107460. [Google Scholar] [CrossRef]
- Yamamuro, A.; Kouzuma, A.; Abe, T.; Watanabe, K. Metagenomic analyses reveal the involvement of syntrophic consortia in methanol/electricity conversion in microbial fuel cells. PLoS ONE 2014, 9, e98425. [Google Scholar] [CrossRef]
- Zhang, Y.; Jiang, J.; Zhao, Q.; Wang, K.; Yu, H. Analysis of functional genomes from metagenomes: Revealing the accelerated electron transfer in microbial fuel cell with rhamnolipid addition. Bioelectrochemistry 2018, 119, 59–67. [Google Scholar] [CrossRef]
- Kiseleva, L.; Garushyants, S.K.; Ma, H.; Simpson, D.J.W.; Fedorovich, V.; Cohen, M.F.; Goryanin, I. Taxonomic and functional metagenomic analysis of anodic communities in two pilot-scale microbial fuel cells treating different industrial wastewaters. J. Integr. Bioinform. 2015, 12, 273. [Google Scholar] [CrossRef]
- Callahan, B.J.; McMurdie, P.J.; Rosen, M.J.; Han, A.W.; Johnson, A.J.A.; Holmes, S.P. DADA2: High resolution sample inference from Illumina amplicon data. Nat. Methods 2016, 13, 581–583. [Google Scholar] [CrossRef] [PubMed]
- Cole, J.R.; Wang, Q.; Fish, J.A.; Chai, B.; McGarrell, D.M.; Sun, Y.; Brown, C.T.; Porras-Alfaro, A.; Kuske, C.R.; Tiedje, J.M. Ribosomal Database Project: Data and tools for high throughput rRNA analysis. Nucleic Acids Res. 2014, 42, 633–642. [Google Scholar] [CrossRef] [PubMed]
- Franzetti, A.; Tagliaferri, I.; Gandolfi, I.; Bestetti, G.; Minora, U.; Mayer, C.; Azzoni, R.S.; Diolaiuti, G.; Smiraglia, C.; Ambrosini, R. Light-dependent microbial metabolisms drive carbon fluxes on glacier surfaces. ISME J. 2016, 10, 2984–2988. [Google Scholar] [CrossRef] [PubMed]
- Peng, Y.; Leung, H.C.M.; Yiu, S.M.; Chin, F.Y.L. IDBA-UD: A de novo assembler for single-cell and metagenomic sequencing data with highly uneven depth. Bioinformatics 2012, 28, 1420–1428. [Google Scholar] [CrossRef]
- Hyatt, D.; Chen, G.-L.; LoCascio, P.F.; Land, M.L.; Larimer, F.W.; Hauser, L.J. Prodigal: Prokaryotic gene recognition and translation initiation site identification. Nat. Commun. 2010, 11, 1–11. [Google Scholar] [CrossRef]
- Buchfink, B.; Xie, C.; Huson, D.H. Fast and sensitive protein alignment using DIAMOND. Nat. Methods 2014, 12, 59–60. [Google Scholar] [CrossRef]
- Huson, D.H.; Mitra, S.; Ruscheweyh, H.-J.; Weber, N.; Schuster, S.C. Integrative analysis of environmental sequences using MEGAN4. Genome Res. 2011, 21, 1552–1560. [Google Scholar] [CrossRef]
- Langmead, B.; Salzberg, S.L. Fast gapped-read alignment with Bowtie 2. Nat. Methods 2012, 9, 357–359. [Google Scholar] [CrossRef]
- Li, H.; Handsaker, B.; Wysoker, A.; Fennell, T.; Ruan, J.; Homer, N.; Marth, G.; Abecasis, G.; Durbin, R. The Sequence Alignment/Map format and SAMtools. Bioinformatics 2009, 25, 2078–2079. [Google Scholar] [CrossRef]
- Quinlan, A.R.; Hall, I.M. BEDTools: A flexible suite of utilities for comparing genomic features. Bioinformatics 2010, 26, 841–842. [Google Scholar] [CrossRef] [PubMed]
- Bonanni, P.S.; Schrott, G.D.; Busalmen, J.P. A long way to the electrode: How do Geobacter cells transport their electrons? Biochem. Soc. Trans. 2012, 40, 1274–1279. [Google Scholar] [CrossRef] [PubMed]
- Holmes, D.E.; Dang, Y.; Walker, D.J.F.; Lovley, D.R. The electrically conductive pili of Geobacter species are a recently evolved feature for extracellular electron transfer. Microb. Genom. 2016, 2, e000072. [Google Scholar] [CrossRef] [PubMed]
- Otero, F.J.; Chan, C.H.; Bond, D.R. Identification of Different Putative Outer Membrane Electron Conduits Necessary for Fe(III) Citrate, Fe(III) Oxide, Mn(IV) Oxide, or Electrode Reduction by Geobacter sulfurreducens. J. Bacteriol. 2018, 200, 1–20. [Google Scholar]
- Ueki, T.; Nevin, K.P.; Rotaru, A.E.; Wang, L.Y.; Ward, J.E.; Woodard, T.L.; Lovley, D.R. Geobacter strains expressing poorly conductive pili reveal constraints on direct interspecies electron transfer mechanisms. MBio 2018, 9, 1–10. [Google Scholar] [CrossRef]
- Wu, Y.-W.; Tang, Y.-H.; Tringe, S.G.; Simmons, B.A.; Singer, S.W. MaxBin: An automated binning method to recover individual genomes from metagenomes using an expectation-maximization algorithm. Microbiome 2014, 2, 4904–4909. [Google Scholar] [CrossRef]
- Seemann, T. Prokka: Rapid prokaryotic genome annotation. Bioinformatics 2014, 30, 2068–2069. [Google Scholar] [CrossRef]
- Karp, P.D.; Paley, S.; Romero, P. The pathway tools software. Bioinformatics 2002, 18, 225–232. [Google Scholar] [CrossRef]
- Rodriguez-R, L.M.; Gunturu, S.; Harvey, W.T.; Rosselló-Mora, R.; Tiedje, J.M.; Cole, J.R.; Konstantinidis, K.T. The Microbial Genomes Atlas (MiGA) webserver: Taxonomic and gene diversity analysis of Archaea and Bacteria at the whole genome level. Nucleic Acids Res. 2018, 46, W282–W288. [Google Scholar] [CrossRef]
- Parks, D.H.; Chuvochina, M.; Waite, D.W.; Rinke, C.; Skarshewski, A.; Chaumeil, P.A.; Hugenholtz, P. A standardized bacterial taxonomy based on genome phylogeny substantially revises the tree of life. Nat. Biotechnol. 2018, 36, 996. [Google Scholar] [CrossRef]
- Kanehisa, M.; Sato, Y.; Morishima, K. BlastKOALA and GhostKOALA: KEGG Tools for Functional Characterization of Genome and Metagenome Sequences. J. Mol. Biol. 2016, 428, 726–731. [Google Scholar] [CrossRef]
- Aramaki, T.; Blanc-Mathieu, R.; Endo, H.; Ohkubo, K.; Kanehisa, M.; Goto, S.; Ogata, H. KofamKOALA: KEGG ortholog assignment based on profile HMM and adaptive score threshold. bioRxiv 2019, 602110. [Google Scholar] [CrossRef] [PubMed]
- Militon, C.; Jézéquel, R.; Gilbert, F.; Corsellis, Y.; Sylvi, L.; Cravo-Laureau, C.; Duran, R.; Cuny, P. Dynamics of bacterial assemblages and removal of polycyclic aromatic hydrocarbons in oil-contaminated coastal marine sediments subjected to contrasted oxygen regimes. Environ. Sci. Pollut. Res. 2015, 22, 15260–15272. [Google Scholar] [CrossRef] [PubMed]
- Pérez-Pantoja, D.; Donoso, R.; Agulló, L.; Córdova, M.; Seeger, M.; Pieper, D.H.; González, B. Genomic analysis of the potential for aromatic compounds biodegradation in Burkholderiales. Environ. Microbiol. 2012, 14, 1091–1117. [Google Scholar] [CrossRef] [PubMed]
- Fuentes, S.; Barra, B.; Gregory Caporaso, J.; Seeger, M. From rare to dominant: A fine-tuned soil bacterial bloom during petroleum hydrocarbon bioremediation. Appl. Environ. Microbiol. 2016, 82, 888–896. [Google Scholar] [CrossRef] [PubMed]
- Von Netzer, F.; Kuntze, K.; Vogt, C.; Richnow, H.H.; Boll, M.; Lueders, T. Functional gene markers for fumarate-adding and dearomatizing key enzymes in anaerobic aromatic hydrocarbon degradation in terrestrial environments. J. Mol. Microbiol. Biotechnol. 2016, 26, 180–194. [Google Scholar] [CrossRef]
- Acosta-González, A.; Marqués, S. Bacterial diversity in oil-polluted marine coastal sediments. Curr. Opin. Biotechnol. 2016, 38, 24–32. [Google Scholar] [CrossRef]
- Fuchs, G.; Boll, M.; Heider, J. Microbial degradation of aromatic compounds—From one strategy to four. Nat. Rev. Microbiol. 2011, 9, 803–816. [Google Scholar] [CrossRef]
- Chan, C.H.; Levar, C.E.; Jiménez-Otero, F.; Bond, D.R. Genome scale mutational analysis of Geobacter sulfurreducens reveals distinct molecular mechanisms for respiration and sensing of poised electrodes versus Fe(III) oxides. J. Bacteriol. 2017, 199, 1–18. [Google Scholar] [CrossRef]
- Acosta-Gonzalez, A.; Rossellò-Mòra, R.; Marques, S. Diversity of Benzylsuccinate Synthase-Like (bssA) Genes in Hydrocarbon-Polluted Marine Sediments Suggests Substrate- Dependent Clustering. Appl. Environ. Microbiol. 2013, 79, 3667–3676. [Google Scholar] [CrossRef]
- Heider, J.; Spormann, A.M.; Beller, H.R.; Widdel, F. Anaerobic bacterial metabolism of hydrocarbons. FEMS Microbiol. Rev. 1999, 22, 459–473. [Google Scholar] [CrossRef]
- Foght, J. Anaerobic biodegradation of aromatic hydrocarbons: Pathways and prospects. J. Mol. Microbiol. Biotechnol. 2008, 15, 93–120. [Google Scholar] [CrossRef] [PubMed]
- Tschech, A.; Fuchs, G. Anaerobic degradation of phenol via carboxylation to 4-hydroxybenzoate: In vitro study of isotope exchange between 14CO2 and 4-hydroxybenzoate. Arch. Microbiol. 1989, 152, 594–599. [Google Scholar] [CrossRef]
- Tschech, A.; Fuchs, G. Anaerobic degradation of phenol by pure cultures of newly isolated denitrifying pseudomonads. Arch. Microbiol. 1987, 148, 213–217. [Google Scholar] [CrossRef] [PubMed]
- Lack, A.; Tommasi, I.; Aresta, M.; Fuchs, G. Catalytic properties of phenol carboxylase. Eur. J. Biochem. 1991, 197, 473–479. [Google Scholar] [CrossRef] [PubMed]
- Breese, K.; Fuchs, G. 4-hydroxybenzoyl-CoA reductase (dehydroxylating) from the denitrifying bacterium Thauera aromatica—Prosthetic groups, electron donor, and genes of a member of the molybdenum-flavin-iron-sulfur proteins. Eur. J. Biochem. 1998, 251, 916–923. [Google Scholar] [CrossRef]
- Laempe, D.; Jahn, M.; Breese, K.; Schägger, H.; Fuchs, G. Anaerobic metabolism of 3-hydroxybenzoate by the denitrifying bacterium Thauera aromatica. J. Bacteriol. 2001, 183, 968–979. [Google Scholar] [CrossRef]
- Vogt, C.; Kleinsteuber, S.; Richnow, H.H. Anaerobic benzene degradation by bacteria. Microb. Biotechnol. 2011, 4, 710–724. [Google Scholar] [CrossRef]
- Abu Laban, N.; Selesi, D.; Rattei, T.; Tischler, P.; Meckenstock, R.U. Identification of enzymes involved in anaerobic benzene degradation by a strictly anaerobic iron-reducing enrichment culture. Environ. Microbiol. 2010, 12, 2783–2796. [Google Scholar] [CrossRef]
- Rakoczy, J.; Feisthauer, S.; Wasmund, K.; Bombach, P.; Neu, T.R.; Vogt, C.; Richnow, H.H. Benzene and sulfide removal from groundwater treated in a microbial fuel cell. Biotechnol. Bioeng. 2013, 110, 3104–3113. [Google Scholar] [CrossRef]
- Zhang, T.; Gannon, S.M.; Nevin, K.P.; Franks, A.E.; Lovley, D.R. Stimulating the anaerobic degradation of aromatic hydrocarbons in contaminated sediments by providing an electrode as the electron acceptor. Environ. Microbiol. 2010, 12, 1011–1020. [Google Scholar] [CrossRef] [PubMed]
- Zhang, T.; Tremblay, P.L.; Chaurasia, A.K.; Smith, J.A.; Bain, T.S.; Lovley, D.R. Anaerobic benzene oxidation via phenol in Geobacter metallireducens. Appl. Environ. Microbiol. 2013, 79, 7800–7806. [Google Scholar] [CrossRef] [PubMed]
- Abed, R.M.M.; Musat, N.; Musat, F.; Mußmann, M. Structure of microbial communities and hydrocarbon-dependent sulfate reduction in the anoxic layer of a polluted microbial mat. Mar. Pollut. Bull. 2011, 62, 539–546. [Google Scholar] [CrossRef] [PubMed]
- Lovley, D.R.; Ueki, T.; Zhang, T.; Malvankar, N.S.; Shrestha, P.M.; Flanagan, K.A.; Aklujkar, M.; Butler, J.E.; Giloteaux, L.; Rotaru, A.E.; et al. Geobacter: The Microbe Electric’s Physiology, Ecology, and Practical Applications; Academic Press: Amsterdam, The Netherlands, 2011; Volume 59, ISBN 9780123876614. [Google Scholar]
© 2020 by the authors. Licensee MDPI, Basel, Switzerland. This article is an open access article distributed under the terms and conditions of the Creative Commons Attribution (CC BY) license (http://creativecommons.org/licenses/by/4.0/).




