Hydrodynamic and Wave Responses During Storm Surges on the Southern Brazilian Coast: A Real-Time Forecast System
Abstract
1. Introduction
2. Materials and Methods
2.1. Study Area and Regional Meteorology
2.2. Numerical Model and Setup
2.2.1. Coupled Hydrodynamic and Wave Model (ADCIRC–SWAN)
2.2.2. Numerical Mesh and Model Setup
2.3. iFLOOD Operational Workflow
2.4. Data
2.5. Case Studies
2.5.1. Daily Weather (April to August 2020)
2.5.2. Bomb Cyclone Case Study (June 2020)
2.6. Verification Metrics
3. Results and Discussion
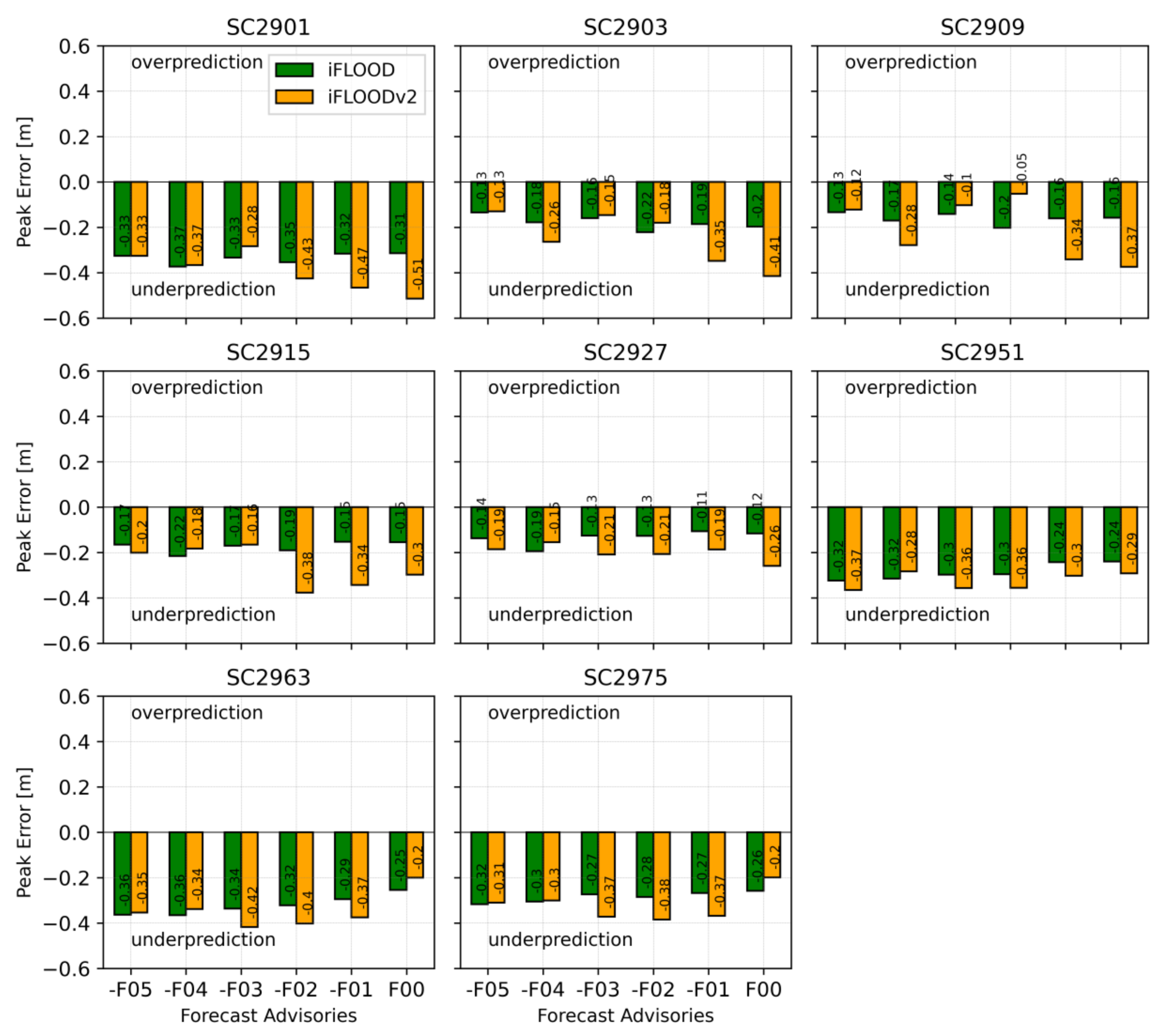
3.1. Daily Evaluation
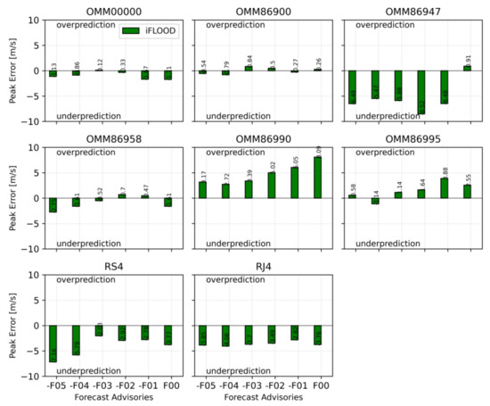
3.2. Extreme Weather Evaluation
4. Conclusions
Author Contributions
Funding
Acknowledgments
Conflicts of Interest
References
- Zhou, L.; Hu, W.; Jia, Z.; Li, X.; Li, Y.; Su, T.; Guo, Q. Integrated visualization approach for real-time and dynamic assessment of storm surge disasters for China’s seas. ISPRS Int. J. Geo Inf. 2020, 9, 51. [Google Scholar] [CrossRef]
 - Yin, K.; Xu, S.; Zhao, Q.; Huang, W.; Yang, K.; Guo, M. Effects of land cover change on atmospheric and storm surge modeling during typhoon event. Ocean Eng. 2020, 199. [Google Scholar] [CrossRef]
 - Rueda, A.; Camus, P.; Tomás, A.; Vitousek, S.; Méndez, F.J. A multivariate extreme wave and storm surge climate emulator based on weather patterns. Ocean Model. 2016, 104, 242–251. [Google Scholar] [CrossRef]
 - Lopes, C.L.; Dias, J.M. Assessment of flood hazard during extreme sea levels in a tidally dominated lagoon. Nat. Hazards 2015, 77, 1345–1364. [Google Scholar] [CrossRef]
 - Apollonio, C.; Bruno, M.F.; Iemmolo, G.; Molfetta, M.G.; Pellicani, R. Flood Risk Evaluation in Ungauged Coastal Areas. Water 2020, 5, 1466. [Google Scholar] [CrossRef]
 - Kim, S.; Pan, S.; Mase, H. Artificial neural network-based storm surge forecast model: Practical application to Sakai Minato, Japan. Appl. Ocean Res. 2019, 91, 101871. [Google Scholar] [CrossRef]
 - Rautenbach, C.; Williams, T.; De Vos, M.; Barnes, M.A. A coupled wave, tide and storm surge operational forecasting system for South Africa–Validation and physical description. Nat. Hazards Submitt. Oct. 2020, 103, 1407–1439. [Google Scholar] [CrossRef]
 - Costa, C.G.R.; Leite, J.R.B.; Castro, B.M.; Blumberg, A.F.; Georgas, N.; Dottori, M.; Jordi, A. An operational forecasting system for physical processes in the Santos-Sao Vicente-Bertioga Estuarine System, Southeast Brazil. Ocean Dyn. 2020, 70, 257–271. [Google Scholar] [CrossRef]
 - Lin, I.I.; Goni, G.J.; Knaff, J.A.; Forbes, C.; Ali, M.M. Ocean heat content for tropical cyclone intensity forecasting and its impact on storm surge. Nat. Hazards 2013, 66, 1481–1500. [Google Scholar] [CrossRef]
 - Lakshmi, D.D.; Murty, P.L.N.; Bhaskaran, P.K.; Sahoo, B.; Kumar, T.S.; Shenoi, S.S.C.; Srikanth, A.S. Performance of WRF-ARW winds on computed storm surge using hydodynamic model for Phailin and Hudhud cyclones. Ocean Eng. 2017, 131, 135–148. [Google Scholar] [CrossRef]
 - Altaf, M.U.; Butler, T.; Luo, X.; Dawson, C.; Mayo, T.; Hoteit, I. Improving short-range ensemble kalman storm surge forecasting using robust adaptive inflation. Mon. Weather Rev. 2013, 141, 2705–2720. [Google Scholar] [CrossRef]
 - Murty, P.L.N.; Srinivas, K.S.; Rao, E.P.R.; Bhaskaran, P.K.; Shenoi, S.S.C.; Padmanabham, J. Improved cyclonic wind fields over the Bay of Bengal and their application in storm surge and wave computations. Appl. Ocean Res. 2020, 95, 102048. [Google Scholar] [CrossRef]
 - Zhang, K.; Li, Y.; Liu, H.; Rhome, J.; Forbes, C. Transition of the coastal and estuarine storm tide model to an operational storm surge forecast model: A case study of the florida coast. Weather Forecast. 2013, 28, 1019–1037. [Google Scholar] [CrossRef]
 - Sahoo, B.; Bhaskaran, P.K. Prediction of storm surge and inundation using climatological datasets for the Indian coast using soft computing techniques. Soft Comput. 2019, 23, 12363–12383. [Google Scholar] [CrossRef]
 - Flowerdew, J.; Mylne, K.; Jones, C.; Titley, H. Extending the forecast range of the UK storm surge ensemble. Q. J. R. Meteorol. Soc. 2013, 139, 184–197. [Google Scholar] [CrossRef]
 - Fernández-Montblanc, T.; Vousdoukas, M.I.; Ciavola, P.; Voukouvalas, E.; Mentaschi, L.; Breyiannis, G.; Feyen, L.; Salamon, P. Towards robust pan-European storm surge forecasting. Ocean Model. 2019, 133, 129–144. [Google Scholar] [CrossRef]
 - Hasegawa, H.; Kohno, N.; Higaki, M.; Itoh, M. Upgrade of JMA’s Storm Surge Prediction for the WMO Storm Surge Watch Scheme (SSWS). Tech. Rev. RSMC Tokyo 2017, 19, 1–9. [Google Scholar]
 - Yang, K.; Paramygin, V.A.; Sheng, Y.P. A Rapid Forecasting and Mapping System of Storm Surge and Coastal Flooding. Weather Forecast. 2020, 1663–1681. [Google Scholar] [CrossRef]
 - Loftis, J.D.; Mitchell, M.; Schatt, D.; Forrest, D.R.; Wang, H.V.; Mayfield, D.; Stiles, W.A. Validating an Operational Flood Forecast Model Using Citizen Science in Hampton Roads, VA, USA. J. Mar. Sci. Eng. 2019, 7, 242. [Google Scholar] [CrossRef]
 - Dresback, K.M.; Fleming, J.G.; Blanton, B.O.; Kaiser, C.; Gourley, J.J.; Tromble, E.M.; Luettich, R.A.; Kolar, R.L.; Hong, Y.; Van Cooten, S.; et al. Skill assessment of a real-time forecast system utilizing a coupled hydrologic and coastal hydrodynamic model during Hurricane Irene (2011). Cont. Shelf Res. 2013, 71, 78–94. [Google Scholar] [CrossRef]
 - Akbar, M.; Aliabadi, S.; Patel, R.; Watts, M. A fully automated and integrated multi-scale forecasting scheme for emergency preparedness. Environ. Model. Softw. 2013, 39, 24–38. [Google Scholar] [CrossRef]
 - Khalid, A.; Ferreira, C. Advancing real-time flood prediction in large estuaries: iFLOOD a fully coupled surge-wave automated web-based guidance system. Environ. Model. Softw. 2020, 131, 104748. [Google Scholar] [CrossRef]
 - Suh, S.W.; Lee, H.Y.; Kim, H.J.; Fleming, J.G. An efficient early warning system for typhoon storm surge based on time-varying advisories by coupled ADCIRC and SWAN. Ocean Dyn. 2015, 65, 617–646. [Google Scholar] [CrossRef]
 - Freeman, J.; Velic, M.; Colberg, F.; Greenslade, D.; Divakaran, P.; Kepert, J. Development of a tropical storm surge prediction system for Australia. J. Mar. Syst. 2020, 206, 103317. [Google Scholar] [CrossRef]
 - Resio, D.T.; Irish, J.L. Tropical Cyclone Storm Surge Risk. Curr. Clim. Chang. Rep. 2015, 1, 74–84. [Google Scholar] [CrossRef]
 - Ohz, A.; Klein, A.H.F.; Franco, D. A Multiple Linear Regression-Based Approach for Storm Surge Prediction Along South Brazil Arthur. In Climate Change, Hazards and Adaptation Options; Springer International Publishing: New York, NY, USA, 2020; pp. 369–388. ISBN 978-3-030-37424-2. [Google Scholar]
 - Li, T.; Wang, F.; Hou, J.; Che, Z.; Dong, J. Validation of an operational forecasting system of sea dike risk in the southern Zhejiang, South China. J. Oceanol. Limnol. 2019, 37, 1929–1940. [Google Scholar] [CrossRef]
 - Gomes, G.; Da Silva, A.C. Nearshore wave analysis in the Brazilian Northeast based on observations and numerical models. J. Oper. Oceanogr. 2018, 11, 44–53. [Google Scholar] [CrossRef]
 - Dinápoli, M.G.; Simionato, C.G.; Moreira, D. Development and validation of a storm surge forecasting/hindcasting modelling system for the extensive Río de la Plata Estuary and its adjacent Continental Shelf. Nat. Hazards 2020. [Google Scholar] [CrossRef]
 - Gramcianinov, C.B.; Hodges, K.I.; Camargo, R. The properties and genesis environments of South Atlantic cyclones. Clim. Dyn. 2019, 53, 4115–4140. [Google Scholar] [CrossRef]
 - Machado, A.A.; Calliari, L.J. Synoptic Systems Generators of Extreme Wind in Southern Brazil: Atmospheric Conditions and Consequences in the Coastal Zone. J. Coast. Res. 2016, 75, 1182–1186. [Google Scholar] [CrossRef]
 - Machado, A.A.; Calliari, L.J.; Melo, E.; Klein, A.H.F. Historical assessment of extreme coastal sea state conditions in southern Brazil and their relation to erosion episodes. Panam. J. Aquat. Sci. 2010, 5, 105–114. [Google Scholar]
 - Marengo, J.A.; Scarano, F.R.; Klein, A.F.; Souza, C.R.G.; Chou, S.C. Impacto, Vulnerabilidade E Adaptação Das Cidades Costeiras Brasileiras Às Mudanças Climáticas: Relatório Especial do Painel Brasileiro de Mudanças Climáticas; Painel Brasileiro de Mudanças Climáticas (PBMC): Rio de Janeiro, Brazil, 2016; ISBN 9788528503456. [Google Scholar]
 - Rudorff, F.; Bonetti, J. Maré de Tempestade; IHGSC/Cadernos Geográficos: Florianópolis, Brazil, 2015. [Google Scholar]
 - Cyriac, R.; Dietrich, J.C.; Fleming, J.G.; Blanton, B.O.; Kaiser, C.; Dawson, C.N.; Luettich, R.A. Variability in Coastal Flooding predictions due to forecast errors during Hurricane Arthur. Coast. Eng. 2018, 137, 59–78. [Google Scholar] [CrossRef]
 - Morsy, M.M.; Goodall, J.L.; O’Neil, G.L.; Sadler, J.M.; Voce, D.; Hassan, G.; Huxley, C. A cloud-based flood warning system for forecasting impacts to transportation infrastructure systems. Environ. Model. Softw. 2018, 107, 231–244. [Google Scholar] [CrossRef]
 - Pezzi, L.P.; Souza, R.B. De A Review on the Ocean-Atmosphere Interaction Processes in Regions of Strong Sea Surface Temperature Gradients of The South Atlantic Ocean Based on Observational Data. Rev. Bras. Meteorol. 2016, 31, 428–453. [Google Scholar] [CrossRef]
 - Yang, F.; Pan, H.L.; Krueger, S.K.; Moorthi, S.; Lord, S.J. Evaluation of the NCEP global forecast system at the ARM SGP site. Mon. Weather Rev. 2006, 134, 3668–3690. [Google Scholar] [CrossRef]
 - De Lima, A.d.S.; Khalid, A.; Miesse, T.; Cassalho, F.; Ferreira, C.; Scherer, M.E.G.; Bonetti, J. Hydrodynamic and waves response during storm surges on the Southern Brazilian coast: A hindcast study. Water 2020. [Google Scholar]
 - Rodríguez, M.G.; Nicolodi, J.L.; Gutiérrez, O.Q.; Losada, V.C.; Hermosa, A.E. Brazilian coastal processes: Wind, wave climate and sea level. In Brazilian Beach Systems; Short, A.D., Klein, A.H., Da, F., Eds.; Springer International Publishing: New York, NY, USA, 2016; pp. 37–66. ISBN 978-3-319-30392-5. [Google Scholar]
 - Sutil, U.A.; Pezzi, L.P.; De Cássia, R.; Alves, M.; Nunes, A.B. Anuário do Instituto de Geociências—UFRJ Ocean-Atmosphere Interactions in an Extratropical Cyclone in the Southwest Atlantic. Anuário do Inst. Geociências—UFRJ 2019, 42, 525–535. [Google Scholar] [CrossRef]
 - Campos, R.M.; Guedes Soares, C.; Alves, J.H.G.M.; Parente, C.E.; Guimaraes, L.G. Regional long-term extreme wave analysis using hindcast data from the South Atlantic Ocean. Ocean Eng. 2019, 179, 202–212. [Google Scholar] [CrossRef]
 - Dietrich, J.C.; Zijlema, M.; Westerink, J.J.; Holthuijsen, L.H.; Dawson, C.; Luettich, R.A.; Jensen, R.E.; Smith, J.M.; Stelling, G.S.; Stone, G.W. Modeling hurricane waves and storm surge using integrally-coupled, scalable computations. Coast. Eng. 2011, 58, 45–65. [Google Scholar] [CrossRef]
 - Luettich, R.A.; Westerink, J.J.; Scheffner, N.W. ADCIRC: An advanced three-dimensional circulation model for shelves, coasts, and estuaries. Report 1. In Theory and Methodology of ADCIRC-2DDI and ADCIRC-3DL; Coastal Engineering Research Center: Vicksburg, MS, USA, 1992. [Google Scholar]
 - Booij, N.; Ris, R.C.; Holthuijsen, L.H. A third-generation wave model for coastal regions. J. Geophical Res. 1999, 104, 7649–7666. [Google Scholar] [CrossRef]
 - Blain, C.A.; Linzell, R.S.; Chu, P.; Massey, C. Validation test report for the ADvanced CIRCulation Model (ADCIRC) v45. 11; DTIC Document: Fort Belvoir, VA, USA, 2010. [Google Scholar]
 - Garzon, J.L.; Ferreira, C.M.; Padilla-Hernandez, R. Evaluation of weather forecast systems for storm surge modeling in the Chesapeake Bay. Ocean Dyn. 2018, 68, 91–107. [Google Scholar] [CrossRef]
 - Hanson, J.; Wadman, H.; Blanton, B.; Roberts, H. ERDC/CHL TR-11-1 Coastal Storm Surge Analysis: Modeling System Validation; Report 4: Intermediate Submission No. 2.0; The US Army Engineer Research and Development Center (ERDC): Kitty Hawk, NC, USA, 2013. [Google Scholar]
 - Shen, J.; Wang, H.; Sisson, M.; Gong, W. Storm tide simulation in the Chesapeake Bay using an unstructured grid model. Estuar. Coast. Shelf Sci. 2006, 68, 1–16. [Google Scholar] [CrossRef]
 - Fleming, J.G.; Fulcher, C.W.; Luettich, R.A.; Estrade, B.D.; Allen, G.D.; Winer, H.S. A real time storm surge forecasting system using ADCIRC. In Proceedings of the International Conference on Estuarine and Coastal Modeling, Newport, RI, USA, 5–7 November 2007; pp. 893–912. [Google Scholar]
 - Funakoshi, Y.; Feyen, J.; Aikman, F.; Tolman, H.; Van Der Westhuysen, A.; Chawla, A.; Rivin, I.; Taylor, A. Development of extratropical surge and tide operational forecast system (ESTOFS). In Proceedings of the International Conference on Estuarine and Coastal Modeling, Augustine, FL, USA, 7–9 November 2011; pp. 201–212. [Google Scholar]
 - Mattocks, C.; Forbes, C. A real-time, event-triggered storm surge forecasting system for the state of North Carolina. Ocean Model. 2008, 25, 95–119. [Google Scholar] [CrossRef]
 - Roberts, K.J.; Pringle, W.J.; Westerink, J.J. OceanMesh2D 1.0: MATLAB-based software for two-dimensional unstructured mesh generation in coastal ocean modeling. Geosci. Model Dev. 2019, 12, 1847–1868. [Google Scholar] [CrossRef]
 - Wessel, P.; Smith, W.H.F. A global, self-consistent, hierarchical, high-resolution shoreline database. J. Geophys. Res. Solid Earth 1996, 101, 8741–8743. [Google Scholar] [CrossRef]
 - GEBCO. Compilation Group General Bathymetric Chart of the Oceans; British Oceanographic Data Centre: Liverpool, UK, 2019. [Google Scholar]
 - Quetzalcóatl, O.; González, M.; Cánovas, V.; Medina, R.; Espejo, A.; Klein, A.; Tessler, M.G.; Almeida, L.R.; Jaramillo, C.; Garnier, R.; et al. SMCε, a coastal modeling system for assessing beach processes and coastal interventions: Application to the Brazilian coast. Environ. Model. Softw. 2019, 116, 131–152. [Google Scholar] [CrossRef]
 - Egbert, G.D.; Erofeeva, S.Y. Efficient Inverse Modeling of Barotropic Ocean Tides. J. Atmos. Ocean. Technol. 2002, 19, 183–204. [Google Scholar] [CrossRef]
 - Atkinson, J.; Ph, D.; Hagen, S.C.; Ce, D.; Wre, D.; Zou, S.; Bacopoulos, P.; Medeiros, S.; Weishampel, J. Deriving Frictional Parameters and Performing Historical Validation for an ADCIRC Storm Surge Model of the Florida Gulf Coast. Fla. Watershed 2011, 4, 22–27. [Google Scholar]
 - Garzon, J.L.; Ferreira, C.M. Storm surge modeling in large estuaries: Sensitivity analyses to parameters and physical processes in the Chesapeake Bay. J. Mar. Sci. Eng. 2016, 4, 45. [Google Scholar] [CrossRef]
 - Tolman, H.L. The numerical model WAVEWATCH. No. 1989 02. Commun. Hydraul. Geotech. Eng. 1989. [Google Scholar]
 - Manganello, J.V.; Hodges, K.I.; Kinter, J.L.; Cash, B.A.; Marx, L.; Jung, T.; Achuthavarier, D.; Adams, J.M.; Altshuler, E.L.; Huang, B.; et al. Tropical cyclone climatology in a 10-km global atmospheric GCM: Toward weather-resolving climate modeling. J. Clim. 2012, 25, 3867–3893. [Google Scholar] [CrossRef]
 - Liu, H.; Taylor, A. Development of the nws’ probabilistic extra-tropical storm surge model and post processing methodology. In Proceedings of the 98th AMS Annual Meeting, Austin, TX, USA, 7–11 January 2018. [Google Scholar]
 - Gobato, R.; Heidari, A. Cyclone Bomb hits Southern Brazil in 2020. J. Atmos. Sci. Res. 2020, 3, 8–12. [Google Scholar] [CrossRef]
 - Hodges, K.I.; Lee, R.W.; Bengtsson, L. A comparison of extratropical cyclones in recent reanalyses ERA-Interim, NASA MERRA, NCEP CFSR, and JRA-25. J. Clim. 2011, 24, 4888–4906. [Google Scholar] [CrossRef]
 - Stopa, J.E.; Cheung, K.F. Periodicity and patterns of ocean wind and wave climate. J. Geophys. Res. Ocean. 2014, 119, 2227–2237. [Google Scholar] [CrossRef]
 - Franz, G.A.S.; Leitão, P.; Dos Santos, A.; Juliano, M.; Neves, R. From regional to local scale modelling on the south-eastern Brazilian shelf: Case study of Paranaguá estuarine system. Braz. J. Oceanogr. 2016, 64, 277–294. [Google Scholar] [CrossRef]
 - Torres, M.J.; Hashemi, M.R.; Hayward, S.; Spaulding, M.; Ginis, I.; Grilli, S.T. Role of hurricane wind models in accurate simulation of storm surge and waves. J. Waterw. Port Coast. Ocean Eng. 2019, 145. [Google Scholar] [CrossRef]
 - Choi, B.H.; Kim, K.O.; Yuk, J.-H.; Lee, H.S. Simulation of the 1953 storm surge in the North Sea. Ocean Dyn. 2018, 68, 1759–1777. [Google Scholar] [CrossRef]
 - Mayo, T.; Lin, N. The effect of the surface wind field representation in the operational storm surge model of the National Hurricane Center. Atmosphere 2019, 10, 193. [Google Scholar] [CrossRef]
 - Daines, J.T.; Monahan, A.H.; Curry, C.L. Model-based projections and uncertainties of near-surface wind climate in western Canada. J. Appl. Meteorol. Climatol. 2016, 55, 2229–2245. [Google Scholar] [CrossRef]
 - Kim, S.-C.; Chen, J.; Shaffer, W.A. An operational forecast model for extratropical storm surges along the US east coast. In Preprints Conference on Coastal Oceanic and Atmospheric Prediction; NOAA: Silver Springs, MD, USA, 1996; pp. 281–286. [Google Scholar]
 - Lanerolle, L.W.J.; Patchen, R.C.; Aikman, F., III. The second generation chesapeake bay operational forecast system (CBOFS2): A ROMS-based modeling system. In Proceedings of the Estuarine and Coastal Modeling, Seattle, WA, USA, 4–6 November 2009; American Society of Civil Engineers: Reston, VA, USA; pp. 621–642. [Google Scholar]
 - Weisberg, R.H.; Zheng, L. Hurricane storm surge simulations comparing three-dimensional with two-dimensional formulations based on an Ivan-like storm over the Tampa Bay, Florida region. J. Geophys. Res. Ocean. 2008, 113, 1–17. [Google Scholar] [CrossRef]
 - Weaver, R.; Luettich, R. 2D vs. 3D storm surge sensitivity in ADCIRC: Case study of hurricane Isabel. In Proceedings of the Estuarine and Coastal Modeling, Seattle, WA, USA, 4–6 November 2009; pp. 762–778. [Google Scholar]
 - Sheng, Y.P.; Alymov, V.; Paramygin, V.A. Simulation of storm surge, wave, currents, and inundation in the outer banks and Chesapeake bay during Hurricane Isabel in 2003: The importance of waves. J. Geophys. Res. Ocean. 2010, 115. [Google Scholar] [CrossRef]
 - Orton, P.; Georgas, N.; Blumberg, A.; Pullen, J. Detailed modeling of recent severe storm tides in estuaries of the New York City region. J. Geophys. Res. Ocean. 2012, 117. [Google Scholar] [CrossRef]
 - Marsooli, R.; Orton, P.M.; Mellor, G.; Georgas, N.; Blumberg, A.F. A coupled circulation-wave model for numerical simulation of storm tides and waves. J. Atmos. Ocean. Technol. 2017, 34, 1449–1467. [Google Scholar] [CrossRef]
 - Zheng, L.; Weisberg, R.H.; Huang, Y.; Luettich, R.A.; Westerink, J.J.; Kerr, P.C.; Donahue, A.S.; Crane, G.; Akli, L. Implications from the comparisons between two- and three-dimensional model simulations of the Hurricane Ike storm surge. J. Geophys. Res. Ocean. 2013, 118, 3350–3369. [Google Scholar] [CrossRef][Green Version]
 - Janssen, P.A.E.M.; Bidlot, J.R. Progress in operational wave forecasting. In Proceedings of the IUTAM Symposium Wind Waves; Elsevier B.V.: London, UK, 2017; pp. 14–29. [Google Scholar]
 - Li, J.; Zhang, S. Mitigation of model bias influences on wave data assimilation with multiple assimilation systems using WaveWatch III v5.16 and SWAN v41.20. Geosci. Model Dev. 2020, 13, 1035–1054. [Google Scholar] [CrossRef]
 - Towns, J.; Cockerill, T.; Dahan, M.; Foster, I.; Gaither, K.; Grimshaw, A.; Hazlewood, V.; Lathrop, S.; Lifka, D.; Peterson, G.D.; et al. XSEDE: Accelerating scientific discovery. Comput. Sci. Eng. 2014, 16, 62–74. [Google Scholar] [CrossRef]
 











| Station Full Name | Station ID | Longitude | Latitude | 
|---|---|---|---|
| Bertioga-A765 | OM86900 | −46.14 | −23.84 | 
| Itapoa-A851 | OMM86947 | −48.64 | −26.08 | 
| Florianopolis–Sao Jose-A806 | OMM86958 | −48.62 | −27.60 | 
| Tramandai-A834 | OMM86990 | −50.14 | −30.01 | 
| Rio Grande-A802 | OMM86995 | −52.17 | −32.08 | 
| Ilhabela | OMM00000 | −45.40 | −23.81 | 
| RS-4 | RS4 | −52.09 | −32.25 | 
| RJ-4 | RJ4 | −43.15 | −22.97 | 
| Ilha da Paz (SFS) | SC2901 | −48.49 | −26.18 | 
| Itapoa—Porto Itapoa | SC2903 | −48.60 | −26.19 | 
| Sao Francisco do Sul—TESC I | SC2909 | −48.64 | −26.23 | 
| Barra Velha (Itajuba) | SC2915 | −48.68 | −26.69 | 
| Balneario Camboriu—Praia de Laranjeiras | SC2927 | −48.59 | −26.99 | 
| Florianopolis—Caieira I | SC2951 | −48.56 | −27.81 | 
| Imbituba—Porto de Imbituba | SC2963 | −48.65 | −28.23 | 
| Balneario Rincao—Plataforma de Pesca | SC2975 | −49.21 | −28.83 | 
Publisher’s Note: MDPI stays neutral with regard to jurisdictional claims in published maps and institutional affiliations.  | 
© 2020 by the authors. Licensee MDPI, Basel, Switzerland. This article is an open access article distributed under the terms and conditions of the Creative Commons Attribution (CC BY) license (http://creativecommons.org/licenses/by/4.0/).
Share and Cite
Khalid, A.; de Lima, A.d.S.; Cassalho, F.; Miesse, T.; Ferreira, C. Hydrodynamic and Wave Responses During Storm Surges on the Southern Brazilian Coast: A Real-Time Forecast System. Water 2020, 12, 3397. https://doi.org/10.3390/w12123397
Khalid A, de Lima AdS, Cassalho F, Miesse T, Ferreira C. Hydrodynamic and Wave Responses During Storm Surges on the Southern Brazilian Coast: A Real-Time Forecast System. Water. 2020; 12(12):3397. https://doi.org/10.3390/w12123397
Chicago/Turabian StyleKhalid, Arslaan, Andre de Souza de Lima, Felicio Cassalho, Tyler Miesse, and Celso Ferreira. 2020. "Hydrodynamic and Wave Responses During Storm Surges on the Southern Brazilian Coast: A Real-Time Forecast System" Water 12, no. 12: 3397. https://doi.org/10.3390/w12123397
APA StyleKhalid, A., de Lima, A. d. S., Cassalho, F., Miesse, T., & Ferreira, C. (2020). Hydrodynamic and Wave Responses During Storm Surges on the Southern Brazilian Coast: A Real-Time Forecast System. Water, 12(12), 3397. https://doi.org/10.3390/w12123397
        
