Groundwater Quality Characterization in an Overallocated Semi-Arid Coastal Area Using an Integrated Approach: Case of the Essaouira Basin, Morocco
Abstract
1. Introduction
2. Materials and Methods
2.1. Study Area
2.2. Sampling and Analyses
2.3. Hydrogeochemical Methods
2.4. Geospatial Distribution of the Physicochemical Parameters
2.5. Groundwater Suitability Assessment
3. Results and Discussion
3.1. The Physicochemical Parameters
3.2. Hydrogeochemical Facies
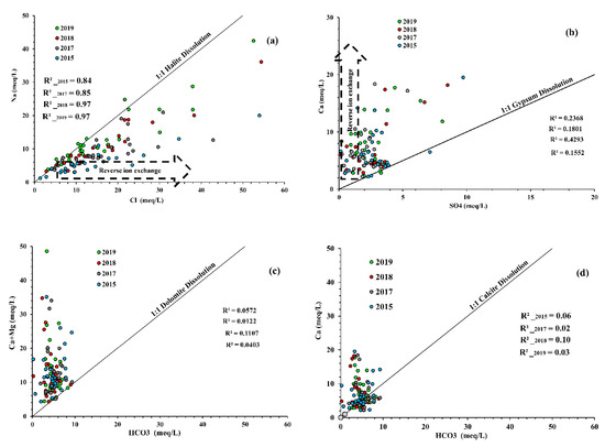
3.3. The Hydrogeochemical Processes Controlling Groundwater Quality
3.4. Groundwater Suitability
3.5. Spatial Distribution of Groundwater Quality Parameters
3.6. Groundwater Quality Trend in the Study Area
4. Conclusions
Supplementary Materials
Author Contributions
Funding
Acknowledgments
Conflicts of Interest
References
- Smith, M.; Cross, K.; Paden, M.; Laban, P. Spring: Managing Groundwater Sustainability; IUCN: Gland, Switzerland, 2016; Volume 11. [Google Scholar]
- Dillon, P.; Stuyfzand, P.; Grischek, T.; Lluria, M.; Pyne, R.D.G.; Jain, R.C.; Bear, J.; Schwarz, J.; Wang, W.; Fernandez, E.; et al. Sixty years of global progress in managed aquifer recharge. Hydrogeol. J. 2019, 27, 1–30. [Google Scholar] [CrossRef]
- Sherif, M.; Singh, V. Effect of Groundwater Pumping on Seawater Intrusion in Coastal Aquifers. J. Agric. Mar. Sci. 2002, 7, 61–67. [Google Scholar] [CrossRef]
- Hussain, M.S.; Abd-Elhamid, H.; Javadi, A.A.; Sherif, M. Management of Seawater Intrusion in Coastal Aquifers: A Review. Water 2019, 11, 2467. [Google Scholar] [CrossRef]
- Lopez-Gunn, E.; Llamas, M.R.; Garrido, A.; Sanz, D. Groundwater Management in Coastal Zones; German Federal Institute for Geosciences and Natural Resources: Hannover, Germany, 2018; Volume 1. [Google Scholar]
- Shah, T. Groundwater Governance and Irrigated Agriculture; Global Water Partnership (GWP): Stockholm, Sweden, 2014. [Google Scholar]
- Moustadraf, J.; Razack, M.; Sinan, M. Evaluation of the impacts of climate changes on the coastal Chaouia aquifer, Morocco, using numerical modeling. Hydrogeol. J. 2008, 16, 1411–1426. [Google Scholar] [CrossRef]
- Bouragba, L.; Mudry, J.; Bouchaou, L.; Hsissou, Y.; Krimissa, M.; Tagma, T.; Michelot, J. Isotopes and groundwater management strategies under semi-arid area: Case of the Souss upstream basin (Morocco). Appl. Radiat. Isot. 2011, 69, 1084–1093. [Google Scholar] [CrossRef]
- Ouhamdouch, S.; Bahir, M.; Carreira, P. Geochemical and Isotopic Tools to Deciphering the Origin of Mineralization of the Coastal Aquifer of Essaouira Basin, Morocco. Procedia Earth Planet. Sci. 2017, 17, 73–76. [Google Scholar] [CrossRef]
- Benseddik, B.; El Mrabet, E.; El Mansouri, B.; Chao, J.; Kili, M. Delineation of artificial recharge zones in Mnasra Aquifer (NW, Morocco). Model. Earth Syst. Environ. 2017, 3, 10. [Google Scholar] [CrossRef]
- Bahir, M.; Ouazar, D.; Ouhamdouch, S.; Zouari, K. Assessment of groundwater mineralization of alluvial coastal aquifer of essaouira basin (Morocco) using the hydrochemical facies evolution diagram (HFE-Diagram). Groundw. Sustain. Dev. 2020, 11, 100487. [Google Scholar] [CrossRef]
- Bahir, M.; Ouazar, D.; Ouhamdouch, S. Dam effect on groundwater characteristics from area under semi-arid climate: Case of the Zerrar dam within Essaouira basin (Morocco). Carbonates Evaporites 2019, 34, 709–720. [Google Scholar] [CrossRef]
- Fernandes, P.; Carreira, P.M.; Bahir, M. Mass balance simulation and principal components analysis applied to groundwater resources: Essaouira basin (Morocco). Environ. Earth Sci. 2009, 59, 1475–1484. [Google Scholar] [CrossRef]
- Ouhamdouch, S.; Bahir, M.; Carreira, P.M. Impact du changement climatique sur la ressource en eau en milieu semi-aride: Exemple du bassin d’Essaouira (Maroc). Rev. Sci. l’eau 2018, 31, 13–27. [Google Scholar] [CrossRef]
- Bahir, M.; Ouhamdouch, S. Groundwater quality in semi-arid environments (Essaouira Basin, Morocco). Carbonates Evaporites 2020, 35, 1–16. [Google Scholar] [CrossRef]
- Bahir, M.; Ouhamdouch, S.; Carreira, P.M. La ressource en eau au Maroc face aux changements climatiques; cas de la nappe Plio-Quaternaire du bassin synclinale d’Essaouira Recursos hídricos em Marrocos face às alterações climáticas; caso de estudo do aquífero freático Plio-Quaternario da bacia. Comunicações Geológicas 2016, 103, 35–44. [Google Scholar]
- Bahir, M.; Ouazar, D.; Ouhamdouch, S. Hydrogeochemical investigation and groundwater quality in Essaouira region, Morocco. Mar. Freshw. Res. 2019, 70, 1317. [Google Scholar] [CrossRef]
- Şen, Z. Groundwater Quality. In Practical and Applied Hydrogeology, 1st ed.; Elsevier: Amsterdam, The Netherlands, 2015; pp. 279–339. [Google Scholar]
- Lee, J.-Y.; Song, S.-H. Evaluation of groundwater quality in coastal areas: Implications for sustainable agriculture. Environ. Earth Sci. 2007, 52, 1231–1242. [Google Scholar] [CrossRef]
- Prasanth, S.V.S.; Magesh, N.S.; Jitheshlal, K.V.; Chandrasekar, N.; Gangadhar, K. Evaluation of groundwater quality and its suitability for drinking and agricultural use in the coastal stretch of Alappuzha District, Kerala, India. Appl. Water Sci. 2012, 2, 165–175. [Google Scholar] [CrossRef]
- Bahir, M.; El Moukhayar, R.; Chkir, N.; Chamchati, H.; Fernandes, P.G.; Carreira, P. Groundwater Chemical Evolution in the Essaouira Aquifer Basin—NW Morocco. Open J. Mod. Hydrol. 2013, 3, 130–137. [Google Scholar] [CrossRef][Green Version]
- Zaidi, F.K.; Nazzal, Y.; Jafri, M.K.; Naeem, M.; Ahmed, I. Reverse ion exchange as a major process controlling the groundwater chemistry in an arid environment: A case study from northwestern Saudi Arabia. Environ. Monit. Assess. 2015, 187, 607. [Google Scholar] [CrossRef]
- Bahir, M.; Ouazar, D.; Ouhamdouch, S. Characterization of mechanisms and processes controlling groundwater salinization in coastal semi-arid area using hydrochemical and isotopic investigations (Essaouira basin, Morocco). Environ. Sci. Pollut. Res. 2018, 25, 24992–25004. [Google Scholar] [CrossRef]
- Gad, M.; El-Hendawy, S.; Al-Suhaibani, N.; Tahir, M.U.; Mubushar, M.; Elsayed, S. Combining Hydrogeochemical Characterization and a Hyperspectral Reflectance Tool for Assessing Quality and Suitability of Two Groundwater Resources for Irrigation in Egypt. Water 2020, 12, 2169. [Google Scholar] [CrossRef]
- Bahir, M.; Ouhamdouch, S.; Ouazar, D.; Chehbouni, A. Assessment of groundwater quality from semi-arid area for drinking purpose using statistical, water quality index (WQI) and GIS technique. Carbonates Evaporites 2020, 35, 1–24. [Google Scholar] [CrossRef]
- El Mountassir, O.; Bahir, M.; Ouazar, D.; Ouhamdouch, S.; Chehbouni, A.; Ouarani, M. The use of GIS and water quality index to assess groundwater quality of krimat aquifer (Essaouira; Morocco). SN Appl. Sci. 2020, 2, 1–16. [Google Scholar] [CrossRef]
- Bahir, M.; Ouhamdouch, S.; Carreira, P.M.; Chkir, N.; Zouari, K. Geochemical and isotopic investigation of the aquifer system under semi-arid climate: Case of Essaouira basin (Southwestern Morocco). Carbonates Evaporites 2016, 33, 65–77. [Google Scholar] [CrossRef]
- Ouhamdouch, S.; Bahir, M.; Ouazar, D.; Carreira, P.M.; Zouari, K. Evaluation of climate change impact on groundwater from semi-arid environment (Essaouira Basin, Morocco) using integrated approaches. Environ. Earth Sci. 2019, 78, 449. [Google Scholar] [CrossRef]
- Liu, J.; Han, G.; Liu, M.; Zeng, J.; Liang, B.; Qu, R. Distribution, Sources and Water Quality Evaluation of the Riverine Solutes: A Case Study in the Lancangjiang River Basin, Tibetan Plateau. Int. J. Environ. Res. Public Heal. 2019, 16, 4670. [Google Scholar] [CrossRef]
- Hill, R.A. Geochemical patterns in Coachella Valley. Trans. Am. Geophys. Union 1940, 21, 46–53. [Google Scholar] [CrossRef]
- Piper, A.M. A graphic procedure in the geochemical interpretation of water-analyses. Trans. Am. Geophys. Union 1944, 25, 914–928. [Google Scholar] [CrossRef]
- Chadha, D.K. A proposed new diagram for geochemical classification of natural waters and interpretation of chemical data. Hydrogeol. J. 1999, 7, 431–439. [Google Scholar] [CrossRef]
- Simler, R. Software Diagrammes (V6.61); Laboratoire d’Hydrologie d’Avignon, Université d’Avignon et pays du Vaucluse: Avignon, France, 2012. [Google Scholar]
- Appelo, C.A.J.; Postma, C.A.J.D. Geochemistry, Groundwater and Pollution, 2nd ed.; A.A. Balkema Publishers: Rotterdam, The Netherlands, 2005. [Google Scholar]
- Cooper, R.M.; Jonathan, D. Istok, Geostatistics applied to groundwater contamination. I: Methodology. J. Environ. Eng. 1988, 114, 270–286. [Google Scholar] [CrossRef]
- Bárdossy, A.; Kundzewicz, Z.W. Geostatistical methods for detection of outliers in groundwater quality spatial fields. J. Hydrol. 1990, 115, 343–359. [Google Scholar] [CrossRef]
- Das Gupta, A.; Jayakrishnan, R.; Onta, P.R.; Ramnarong, V. Assessment of Groundwater Quality for the Bangkok Aquifer System; IAHS Publishing: Wallingford, UK, 1995. [Google Scholar]
- D’Agostino, V.; Greene, E.A.; Passarella, G.; Vurro, M. Spatial and temporal study of nitrate concentration in groundwater by means of coregionalization. Environ. Earth Sci. 1998, 36, 285–295. [Google Scholar] [CrossRef]
- Finke, P.; Brus, D.; Bierkens, M.F.P.; Hoogland, T.; Knotters, M.; De Vries, F. Mapping groundwater dynamics using multiple sources of exhaustive high resolution data. Geoderma 2004, 123, 23–39. [Google Scholar] [CrossRef][Green Version]
- Huysmans, M.; Dassargues, A. Application of multiple-point geostatistics on modelling groundwater flow and transport in a cross-bedded aquifer (Belgium). Hydrogeol. J. 2009, 17, 1901–1911. [Google Scholar] [CrossRef]
- Karami, S.; Madani, H.; Katibeh, H.; Marj, A.F. Assessment and modeling of the groundwater hydrogeochemical quality parameters via geostatistical approaches. Appl. Water Sci. 2018, 8, 23. [Google Scholar] [CrossRef]
- Wackernagel, H. Ordinary Kriging. In Multivariate Geostatistics; Springer Science and Business Media LLC: Berlin/Heidelberg, Germany, 1995; pp. 74–81. [Google Scholar]
- Kevin, M.; Hiscock; Bense, V.F. Hydrogeology Principles and Practice, 2nd ed.; John Wiley & Sons Ltd: Hoboken, NJ, USA, 2014. [Google Scholar]
- Davis, S.N. Pseudoscience and Hydrogeology. Ground Water 1966, 4, 2–4. [Google Scholar] [CrossRef]
- Herschy, R.W.; (Deceased), R.W.F. Water Quality for Drinking: WHO Guidelines, 4th ed.; World Health Organization: Geneva, Switzerland, 2011. [Google Scholar]
- Wilcox, L.V. Classification and Use of Irrigation Water; USDA Circular No. 969: Washington, DC, USA, 1955; pp. 1–19. [Google Scholar]
- Todd, D.K. Groundwater Hydrology; Wiley: New York, NY, USA, 1959. [Google Scholar]
- McGeorge, W.T. Diagnosis and Improvement of Saline and Alkaline Soils. Soil Sci. Soc. Am. J. 1954, 18, 348. [Google Scholar] [CrossRef]
- Talib, M.A.; Tang, Z.; Shahab, A.; Siddique, J.; Faheem, M.; Fatima, M. Hydrogeochemical Characterization and Suitability Assessment of Groundwater: A Case Study in Central Sindh, Pakistan. Int. J. Environ. Res. Public Heal. 2019, 16, 886. [Google Scholar] [CrossRef]
- Jeon, C.; Raza, M.; Lee, J.-Y.; Kim, H.; Kim, C.-S.; Kim, B.; Kim, J.-W.; Kim, R.-H.; Lee, S.-W. Countrywide Groundwater Quality Trend and Suitability for Use in Key Sectors of Korea. Water 2020, 12, 1193. [Google Scholar] [CrossRef]
- Sadashivaiah, C.; Ramakrishnaiah, C.R.; Ranganna, G. Hydrochemical Analysis and Evaluation of Groundwater Quality in Tumkur Taluk, Karnataka State, India. Int. J. Environ. Res. Public Heal. 2008, 5, 158–164. [Google Scholar] [CrossRef]
- Alexakis, D.E. Assessment of water quality in the Messolonghi–Etoliko and Neochorio region (West Greece) using hydrochemical and statistical analysis methods. Environ. Monit. Assess. 2011, 182, 397–413. [Google Scholar] [CrossRef]
- Saghebian, S.M.; Sattari, M.; Mirabbasi, R.; Pal, M. Ground water quality classification by decision tree method in Ardebil region, Iran. Arab. J. Geosci. 2014, 7, 4767–4777. [Google Scholar] [CrossRef]
- Gu, X.; Xiao, Y.; Yin, S.; Hao, Q.; Liu, H.; Hao, Z.; Meng, G.; Pei, Q.; Yan, H. Hydrogeochemical Characterization and Quality Assessment of Groundwater in a Long-Term Reclaimed Water Irrigation Area, North China Plain. Water 2018, 10, 1209. [Google Scholar] [CrossRef]
- Ismail, A.H.; Hassan, G.; Sarhan, A.-H. Hydrochemistry of shallow groundwater and its assessment for drinking and irrigation purposes in Tarmiah district, Baghdad governorate, Iraq. Groundw. Sustain. Dev. 2020, 10, 100300. [Google Scholar] [CrossRef]
- Sahoo, S.; Khaoash, S. Impact assessment of coal mining on groundwater chemistry and its quality from Brajrajnagar coal mining area using indexing models. J. Geochem. Explor. 2020, 215, 106559. [Google Scholar] [CrossRef]
- Zaman, M.; Shahid, S.A.; Heng, L. Irrigation Water Quality. In Guideline for Salinity Assessment, Mitigation and Adaptation Using Nuclear and Related Techniques; Springer Nature: Berlin/Heidelberg, Germany, 2018; pp. 113–131. [Google Scholar] [CrossRef]











| pH | T (°C) | EC (μs/cm) | Ca (mg/L) | Mg (mg/L) | Na (mg/L) | K (mg/L) | HCO3 (mg/L) | Cl (mg/L) | SO4 (mg/L) | NO3 (mg/L) | |
|---|---|---|---|---|---|---|---|---|---|---|---|
| 2019 Campaign | |||||||||||
| Range | 7.6–9.0 | 20.4–27.1 | 863–16,300 | 47.2–355.7 | 16.7–402.4 | 88.6–3546.5 | 1.7–118.9 | 167.8–404.5 | 113.0–5830.0 | 44.1–388.0 | 0.5–200.2 |
| Average | 8.2 | 23.0 | 2760 | 144.2 | 74.2 | 387.3 | 12.0 | 289.8 | 728.9 | 124.3 | 58.6 |
| Median | 8.4 | 22.7 | 2011 | 129.7 | 63.5 | 239.9 | 5.7 | 277.6 | 415.3 | 110.7 | 36.8 |
| 2018 Campaign [15] | |||||||||||
| Range | 7.2–8.7 | 17.6–26.3 | 916–9744 | 58.1–364.7 | 14.6–238.2 | 75.9–1464.5 | 0–66.5 | 12.2–549.0 | 99.3–3158.9 | 4.8–408.3 | 0.0–396.8 |
| Average | 7.9 | 22.1 | 2816 | 140.5 | 71.7 | 293.0 | 12.2 | 263.5 | 680.7 | 122.4 | 41.4 |
| Median | 7.9 | 22.0 | 2176 | 100.2 | 70.5 | 181.6 | 7.8 | 262.3 | 439.6 | 120.1 | 18.6 |
| 2017 Campaign [17] | |||||||||||
| Range | 7.1–9.0 | 18.9–26.4 | 724–7555 | 44.9–368.7 | 31.1–205.1 | 85.0–1430.9 | 4.4–74.5 | 115.9–567.4 | 170.4–3138.2 | 11.3–257.2 | 3.2–126.5 |
| Average | 7.7 | 22.1 | 2175 | 131.0 | 77.6 | 258.4 | 14.4 | 323.1 | 665.5 | 93.5 | 33.3 |
| Median | 7.6 | 22.2 | 1935 | 113.8 | 69.0 | 185.1 | 10.0 | 317.3 | 511.2 | 90.0 | 20.8 |
| 2015 Campaign [11] | |||||||||||
| Range | 7.5–8.2 | 20.6–27.5 | 626–7840 | 44.9–391.2 | 17.9–191.1 | 27.3–461.0 | 11.0–226.8 | 11.3–563.7 | 45.9–1912.7 | 6.1–466.7 | 0.0–237.4 |
| Average | 7.7 | 22.1 | 2509 | 131.8 | 81.1 | 134.8 | 96.3 | 280.5 | 479.6 | 130.5 | 57.0 |
| Median | 7.8 | 22.3 | 2235 | 110.9 | 84.7 | 114.6 | 101.1 | 282.1 | 352.7 | 125.0 | 25.8 |
| TDS (mg/L) | Water Class | Percentage of Samples | |||
|---|---|---|---|---|---|
| 2015 | 2017 | 2018 | 2019 | ||
| <500 | Desirable for drinking | 8 | 10 | 4 | 6 |
| 500–1000 | Permissible for drinking | 27 | 38 | 48 | 42 |
| <3000 | Acceptable for irrigation | 61 | 48 | 40 | 49 |
| >3000 | Unfit for drinking and irrigation | 4 | 4 | 8 | 3 |
| Parameter | WHO 2011 Guidelines | Moroccan Standards | Percentage of Samples Exceeding the Limit of WHO Guidelines (%) | Percentage of Samples Exceeding the Moroccan Standards Limit (%) | ||||||
|---|---|---|---|---|---|---|---|---|---|---|
| 2015 | 2017 | 2018 | 2019 | 2015 | 2017 | 2018 | 2019 | |||
| pH | 6.5–8.5 | 6.5–8.5 | 0 | 3 | 4 | 0 | 0 | 3 | 4 | 0 |
| Cl (mg/L) | ≤250 | ≤750 | 81 | 83 | 92 | 82 | 15 | 31 | 28 | 24 |
| Na (mg/L) | ≤200 | _ | 12 | 41 | 44 | 64 | _ | _ | _ | _ |
| K (mg/L) | ≤12 | _ | 92 | 34 | 24 | 21 | _ | _ | _ | _ |
| SO4 (mg/L) | ≤250 | ≤400 | 8 | 3 | 8 | 6 | 4 | 0 | 4 | 0 |
| NO3 (mg/L) | ≤50 | ≤50 | 42 | 24 | 20 | 45 | 42 | 24 | 20 | 45 |
| Ca (mg/L) | ≤200 | _ | 15 | 14 | 16 | 15 | _ | _ | _ | _ |
| Water Quality | Percentage of Sodium (%) | Percentage of Samples (%) | |||
|---|---|---|---|---|---|
| 2015 | 2017 | 2018 | 2019 | ||
| Excellent | <20 | 0 | 0 | 0 | 0 |
| Good | 20–40 | 61 | 42 | 28 | 12 |
| Permissible | 40–60 | 35 | 48 | 64 | 67 |
| Doubtful | 60–80 | 4 | 10 | 8 | 21 |
| Unsuitable | >80 | 0 | 0 | 0 | 0 |
Publisher’s Note: MDPI stays neutral with regard to jurisdictional claims in published maps and institutional affiliations. |
© 2020 by the authors. Licensee MDPI, Basel, Switzerland. This article is an open access article distributed under the terms and conditions of the Creative Commons Attribution (CC BY) license (http://creativecommons.org/licenses/by/4.0/).
Share and Cite
Ouarani, M.; Bahir, M.; Mulla, D.J.; Ouazar, D.; Chehbouni, A.; Dhiba, D.; Ouhamdouch, S.; El Mountassir, O. Groundwater Quality Characterization in an Overallocated Semi-Arid Coastal Area Using an Integrated Approach: Case of the Essaouira Basin, Morocco. Water 2020, 12, 3202. https://doi.org/10.3390/w12113202
Ouarani M, Bahir M, Mulla DJ, Ouazar D, Chehbouni A, Dhiba D, Ouhamdouch S, El Mountassir O. Groundwater Quality Characterization in an Overallocated Semi-Arid Coastal Area Using an Integrated Approach: Case of the Essaouira Basin, Morocco. Water. 2020; 12(11):3202. https://doi.org/10.3390/w12113202
Chicago/Turabian StyleOuarani, Mohamed, Mohammed Bahir, David J. Mulla, Driss Ouazar, Abdelghani Chehbouni, Driss Dhiba, Salah Ouhamdouch, and Otman El Mountassir. 2020. "Groundwater Quality Characterization in an Overallocated Semi-Arid Coastal Area Using an Integrated Approach: Case of the Essaouira Basin, Morocco" Water 12, no. 11: 3202. https://doi.org/10.3390/w12113202
APA StyleOuarani, M., Bahir, M., Mulla, D. J., Ouazar, D., Chehbouni, A., Dhiba, D., Ouhamdouch, S., & El Mountassir, O. (2020). Groundwater Quality Characterization in an Overallocated Semi-Arid Coastal Area Using an Integrated Approach: Case of the Essaouira Basin, Morocco. Water, 12(11), 3202. https://doi.org/10.3390/w12113202

