Variation in Reference Evapotranspiration over the Tibetan Plateau during 1961–2017: Spatiotemporal Variations, Future Trends and Links to Other Climatic Factors
Abstract
1. Introduction
2. Materials and Methods
2.1. Study Area and Data
2.2. Analytical Methods
2.2.1. FAO Penman–Monteith Formula
2.2.2. Cumulative Anomaly Curve
2.2.3. Mann–Kendall Test
- ①
- When UFk > 0, it means that the sequence shows an upward trend, otherwise, it is a downward trend.
- ②
- When the UFk line exceeds the critical line, it indicates a significant change trend.
- ③
- When the intersection of the UFk curve and the UDk curve is within the confidence interval, the intersection point is a mutation point.
2.2.4. Other Methods
3. Results
3.1. The Temporal Trend of ET0
3.2. The Spatial Distribution of ET0
3.3. The Future Trend of ET0
3.4. The Relationships between the ET0 and Meteorological Elements and Energy Conditions
4. Discussion
4.1. Variation of ET0 Sequence
4.2. Abrupt Change in the ET0 Sequence
4.3. The Linkages of ET0 with Other Factors
5. Conclusions
- (1)
- The annual ET0 of the TP showed an increasing trend from 1961 to 2017, where the increasing trend of the ET0 in winter was particularly significant. The ET0 sequence experienced two abrupt changes. The first occurred in 1988, to initiate a decreasing trend, and the second occurred in 2005, to initiate an increasing trend.
- (2)
- The multiyear averaged ET0 sequence of the TP showed an increasing distribution from east to the west in space. Among the four seasons, spring showed the highest ET0, and the contours of ET0 were the densest in summer, with the most dramatic spatial changes. Three seasons, spring, summer and autumn showed a low ET0 in the east and a high ET0 in the west, but in winter, the ET0 was high in the south and low in the north.
- (3)
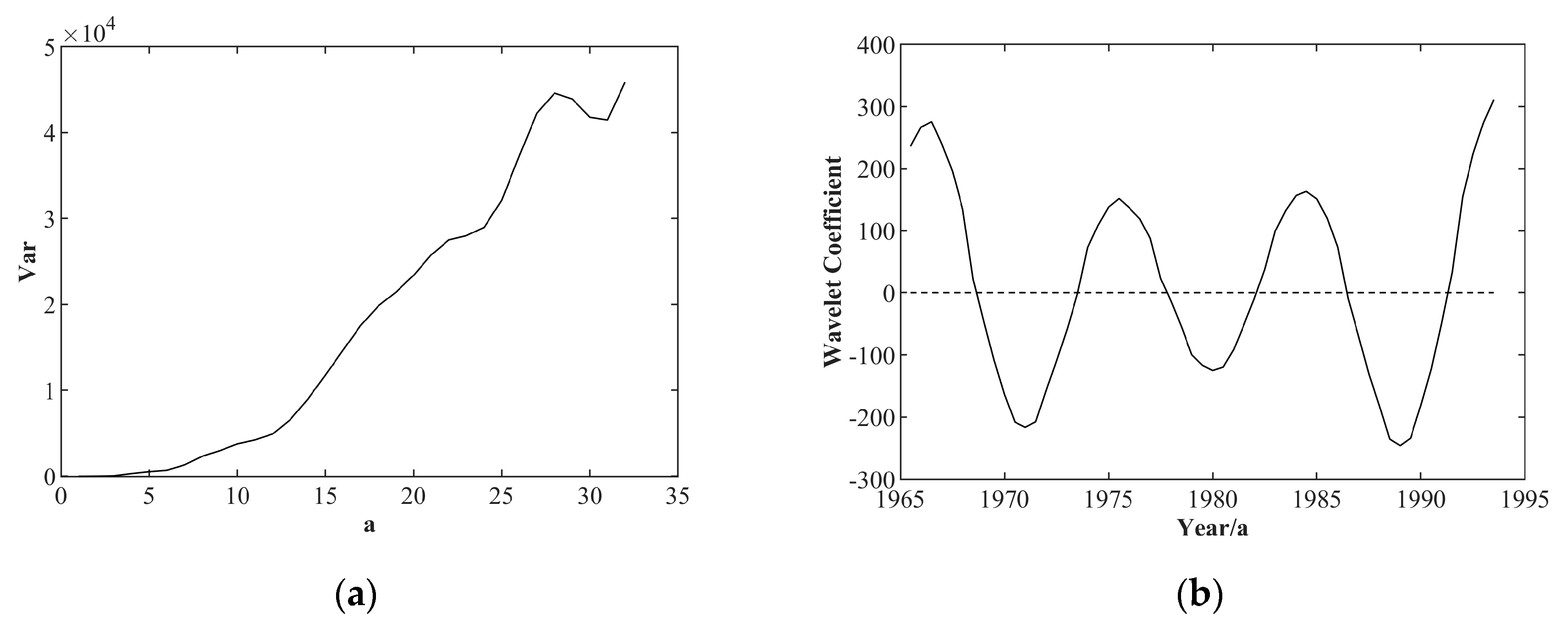
- The first main cycle of the annual ET0 in the Tibetan Plateau appeared on a 28-year time scale, and we observed three dry and wet cycles at 10-year intervals. Because the Hurst index is less than 0.5 (0.31), the future change trend of the annual ET0 series in the TP is anti-persistent.
- (4)
- Regarding changes in the annual ET0 sequence of the TP between 1961 and 2017, the positively correlated factor Tmean played a leading role, followed by U2 and SD, and the negatively correlated factor RH had a great impact. In addition, Rn and SD had a greater impact in high-altitude areas.
Author Contributions
Funding
Acknowledgments
Conflicts of Interest
References
- Zylicz, T. IPCC. AURA 2015, 1, 29. [Google Scholar] [CrossRef]
- Seneviratne, S.I.; Corti, T.; Davin, E.L.; Hirschi, M.; Jaeger, E.B.; Lehner, I.; Orlowsky, B.; Teuling, A.J. Investigating soil moisture-climate interactions in a changing climate: A review. Earth Sci. Rev. 2010, 99, 125–161. [Google Scholar] [CrossRef]
- Allen, R.G.; Pereira, L.S.; Raes, D.; Smith, M. Crop Evapotranspiration: Guidelines for Computing Crop Water Requirements-FAO Irrigation and Drainage Paper 56; FAO: Rome, Italy, 1998. [Google Scholar] [CrossRef]
- Zhang, Y.; Chiew, F.H.S.; Peña-Arancibia, J.; Sun, F.; Li, H.; Leuning, R. Global variation of transpiration and soil evaporation and the role of their major climate drivers. J. Geophys. Res. 2017, 122, 6868–6881. [Google Scholar] [CrossRef]
- Gao, G.; Chen, D.; Xu, C.Y.; Simelton, E. Trend of estimated actual evapotranspiration over China during 1960–2002. J. Geophys. Res. Atmos. 2007. [Google Scholar] [CrossRef]
- Zhou, Z.; Ding, Y.; Shi, H.; Cai, H.; Fu, Q.; Liu, S.; Li, T. Analysis and prediction of vegetation dynamic changes in China: Past, present and future. Ecol. Indic. 2020, 117, 106642. [Google Scholar] [CrossRef]
- Sharma, V.; Nicholson, C.; Bergantino, A.; Irmak, S.; Peck, D. Temporal Trend Analysis of Meteorological Variables and Reference Evapotranspiration in the Inter-mountain Region of Wyoming. Water 2020, 12, 2159. [Google Scholar] [CrossRef]
- Xiang, K.; Li, Y.; Horton, R.; Feng, H. Similarity and difference of potential evapotranspiration and reference crop evapotranspiration—A review. Agric. Water Manag. 2020, 232, 106043. [Google Scholar] [CrossRef]
- Thornthwaite, C.W. An Approach toward a Rational Classification of Climate. Geogr. Rev. 1948, 38, 55. [Google Scholar] [CrossRef]
- Penman, H.L. Natural evaporation from open water, hare soil and grass. Proc. R. Soc. Lond. A Math. Phys. Sci. 1948, 193, 120–145. [Google Scholar] [CrossRef]
- Penman, H.L. Evaporation: An introductory survey. Neth. J. Agric. Sci. 1956, 4, 9–29. [Google Scholar] [CrossRef]
- Anonymous. Proceedings of the informal meeting on physics in agriculture. Neth. J. Agric. Sci. 1956, 4, 1–6. [Google Scholar] [CrossRef]
- Makkink, G.F. Testing the Penman formula by means of lysismeters. Int. Water Eng. 1957, 11, 277–288. [Google Scholar]
- De Vries, H. Variation in the concentration of radiocarbon with time and location on earth. Proc. K. Ned. Akad. Wet. 1958, 61, 1–9. [Google Scholar]
- Jensen, M. Water consumption by agricultural plants. In Water Deficits and Plant Growth: Development, Control, and Measurement; Academic Press: Cambridge, MA, USA, 1968; ISBN 0124241549. [Google Scholar]
- Brutsaert, W.; Parlange, M.B. Hydrologic cycle explains the evaporation paradox. Nature 1998, 396, 30. [Google Scholar] [CrossRef]
- Roderick, M.L.; Farquhar, G.D. The cause of decreased pan evaporation over the past 50 years. Science 2002. [Google Scholar] [CrossRef]
- Hobbins, M.T.; Ramírez, J.A.; Brown, T.C. Trends in pan evaporation and actual evapotranspiration across the conterminous U.S.: Paradoxical or complementary? Geophys. Res. Lett. 2004. [Google Scholar] [CrossRef]
- Jhajharia, D.; Singh, V.P.; Kumar, R.; Choudhary, R.R. Searching evidence for the existence of evaporation paradox in arid environments of northwest India. Glob. Nest J. 2014, 17, 3–11. [Google Scholar] [CrossRef]
- Rayner, D.P. Wind run changes: The dominant factor affecting pan evaporation trends in Australia. J. Clim. 2007, 20, 3379–3394. [Google Scholar] [CrossRef]
- Lu, X.; Bai, H.; Mu, X. Explaining the evaporation paradox in Jiangxi Province of China: Spatial distribution and temporal trends in potential evapotranspiration of Jiangxi Province from 1961 to 2013. Int. Soil Water Conserv. Res. 2016, 4, 45–51. [Google Scholar] [CrossRef]
- Huang, H.; Han, Y.; Cao, M.; Song, J.; Xiao, H.; Cheng, W. Spatiotemporal Characteristics of Evapotranspiration Paradox and Impact Factors in China in the Period of 1960–2013. Adv. Meteorol. 2015, 2015, 1–10. [Google Scholar] [CrossRef]
- Fu, G.; Charles, S.P.; Yu, J. A critical overview of pan evaporation trends over the last 50 years. Clim. Chang. 2009, 97, 193–214. [Google Scholar] [CrossRef]
- Zhang, Q.; Wang, W.; Wang, S.; Zhang, L. Increasing trend of pan evaporation over the semiarid loess plateau under a warming climate. J. Appl. Meteorol. Climatol. 2016, 55, 2007–2020. [Google Scholar] [CrossRef]
- Huang, X.; Ma, L.; Liu, T.; Sun, B.; Zhou, Y.; Yang, C.; Qiao, Z. Spatial and temporal variability of the abrupt interannual temperature change and warming hiatus in China, 1951–2016. Meteorol. Appl. 2020. [Google Scholar] [CrossRef]
- Shi, P.J.; Sun, S.; Wang, M.; Li, N.; Wang, J.A.; Jin, Y.Y.; Gu, X.T.; Yin, W.X. Climate change regionalization in China (1961–2010). Sci. China Earth Sci. 2014. [Google Scholar] [CrossRef]
- Wu, H.; Hou, W.; Qian, Z.H.; Hu, J.G. The research on the sensitivity of climate change in China in recent 50 years based on composite index. Wuli Xuebao Acta Phys. Sin. 2012. [Google Scholar] [CrossRef]
- Wang, B.; Hong, G.; Cui, C.-Q.; Yu, H.; Murty, T. Comprehensive analysis on China’s National Climate Change Assessment Reports: Action and emphasis. Front. Eng. Manag. 2019, 6, 52–61. [Google Scholar] [CrossRef]
- Immerzeel, W.W.; Droogers, P.; de Jong, S.M.; Bierkens, M.F.P. Large-scale monitoring of snow cover and runoff simulation in Himalayan river basins using remote sensing. Remote Sens. Environ. 2009, 113, 40–49. [Google Scholar] [CrossRef]
- Deng, C.; Zhang, W. Spatiotemporal distribution and the characteristics of the air temperature of a river source region of the Qinghai-Tibet Plateau. Environ. Monit. Assess. 2018, 190, 368. [Google Scholar] [CrossRef]
- Liu, Z.; Yao, Z.; Wang, R.; Yu, G. Estimation of the Qinghai-Tibetan Plateau runoff and its contribution to large Asian rivers. Sci. Total Environ. 2020, 749, 141570. [Google Scholar] [CrossRef]
- Zhou, D.; Hao, L.; Kim, J.B.; Liu, P.; Pan, C.; Liu, Y.; Sun, G. Potential impacts of climate change on vegetation dynamics and ecosystem function in a mountain watershed on the Qinghai-Tibet Plateau. Clim. Chang. 2019, 156, 31–50. [Google Scholar] [CrossRef]
- Cao, S.; Cao, G.; Han, G.; Wu, F.; Lan, Y. Comparison of evapotranspiration between two alpine type wetland ecosystems in Qinghai lake basin of Qinghai-Tibet Plateau. Ecohydrol. Hydrobiol. 2020, 20, 215–229. [Google Scholar] [CrossRef]
- Guo, B.; Zang, W.; Yang, F.; Han, B.; Chen, S.; Liu, Y.; Yang, X.; He, T.; Chen, X.; Liu, C.; et al. Spatial and temporal change patterns of net primary productivity and its response to climate change in the Qinghai-Tibet Plateau of China from 2000 to 2015. J. Arid Land 2020. [Google Scholar] [CrossRef]
- Zhang, G.; Chen, F.; Chen, Y.; Li, J.; Peng, X. Evaluation of Noah-MP land-model uncertainties over sparsely vegetated sites on the Tibet Plateau. Atmosphere 2020, 11, 458. [Google Scholar] [CrossRef]
- Yin, Y.; Han, C.; Yang, G.; Huang, Y.; Liu, M.; Wang, X. Changes in the summer extreme precipitation in the Jianghuai plum rain area and their relationship with the intensity anomalies of the south Asian high. Atmos. Res. 2020, 236, 104793. [Google Scholar] [CrossRef]
- Guo, X.; Yang, Y.; Li, Z.; You, L.; Zeng, C.; Cao, J.; Hong, Y. Drought trend analysis based on the standardized precipitation-evapotranspiration index using NASA’s earth exchange global daily downscaled projections, high spatial resolution coupled model intercomparison project phase 5 projections, and assessment of p. Water 2019, 11, 2455. [Google Scholar] [CrossRef]
- Ye, C.; Sun, J.; Liu, M.; Xiong, J.; Zong, N.; Hu, J.; Huang, Y.; Duan, X.; Tsunekawa, A. Concurrent and Lagged Effects of Extreme Drought Induce Net Reduction in Vegetation Carbon Uptake on Tibetan Plateau. Remote Sens. 2020, 12, 2347. [Google Scholar] [CrossRef]
- Wang, P.; Wu, X.; Hao, Y.; Wu, C.; Zhang, J. Is Southwest China drying or wetting? Spatiotemporal patterns and potential causes. Theor. Appl. Climatol. 2020, 139, 1–15. [Google Scholar] [CrossRef]
- Zhang, H.; Ding, M.; Li, L.; Liu, L. Continuous Wetting on the Tibetan Plateau during 1970–2017. Water 2019, 11, 2605. [Google Scholar] [CrossRef]
- Lu, Y.; Jiang, S.; Ren, L.; Zhang, L.; Wang, M.; Liu, R.; Wei, L. Spatial and Temporal variability in precipitation concentration over mainland China, 1961–2017. Water 2019, 11, 881. [Google Scholar] [CrossRef]
- Tao, Y.; Wang, W.; Song, S.; Ma, J. Spatial and temporal variations of precipitation extremes and seasonality over China from 1961–2013. Water 2018, 10, 719. [Google Scholar] [CrossRef]
- Hu, Y.; Xu, J.; Huang, Y.; Zhou, Y.; Pang, Y.; Shi, Z.; Chen, X. Spatial and temporal variations in the rainy season onset over the Qinghai-Tibet Plateau. Water 2019, 11, 1960. [Google Scholar] [CrossRef]
- Sun, S.; Chen, B.; Shao, Q.; Chen, J.; Liu, J.; Zhang, X.J.; Zhang, H.; Lin, X. Modeling evapotranspiration over China’s landmass from 1979 to 2012 using multiple land surface models: Evaluations and analyses. J. Hydrometeorol. 2017, 18, 1185–1203. [Google Scholar] [CrossRef]
- Yao, T.; Lu, H.; Feng, W.; Yu, Q. Evaporation abrupt changes in the Qinghai-Tibet Plateau during the last half-century. Sci. Rep. 2019, 9. [Google Scholar] [CrossRef] [PubMed]
- Wang, W.; Xing, W.; Shao, Q.; Yu, Z.; Peng, S.; Yang, T.; Yong, B.; Taylor, J.; Singh, V.P. Changes in reference evapotranspiration across the Tibetan Plateau: Observations and future projections based on statistical downscaling. J. Geophys. Res. Atmos. 2013, 118, 4049–4068. [Google Scholar] [CrossRef]
- Jiang, C.; Li, D.; Gao, Y.; Liu, W.; Zhang, L. Impact of climate variability and anthropogenic activity on streamflow in the Three Rivers Headwater Region, Tibetan Plateau, China. Theor. Appl. Climatol. 2017, 129, 667–681. [Google Scholar] [CrossRef]
- Attarod, P.; Miri, S.; Shirvany, A.; Bayramzadeh, V. Variations in leaf area index of Quercus brantii trees in response to changing climate. J. Agric. Sci. Technol. 2018, 20, 1417–1429. [Google Scholar]
- Sönmez, A.Y.; Kale, S. Climate change effects on annual streamflow of filyos river (Turkey). J. Water Clim. Chang. 2018, 11, 420–433. [Google Scholar] [CrossRef]
- Chu, R.; Li, M.; Islam, A.R.M.T.; Fei, D.; Shen, S. Attribution analysis of actual and potential evapotranspiration changes based on the complementary relationship theory in the Huai River basin of eastern China. Int. J. Climatol. 2019, 39, 4072–4090. [Google Scholar] [CrossRef]
- Wang, J.; Gao, Y.; Wang, S. Assessing the response of runoff to climate change and human activities for a typical basin in the Northern Taihang Mountain, China. J. Earth Syst. Sci. 2018, 127, 37. [Google Scholar] [CrossRef]
- Liu, R.; Wen, J.; Wang, X.; Wang, Z. Validation of evapotranspiration and its long-term trends in the yellow river source region. J. Water Clim. Chang. 2017, 8, 495–509. [Google Scholar] [CrossRef][Green Version]
- Sharma, C.; Ojha, C.S.P. Modified Signal-to-Noise Ratio Method for Early Detection of Climate Change. J. Hydrol. Eng. 2020, 25, 04020032. [Google Scholar] [CrossRef]
- Liu, X.; Yang, W.; Zhao, H.; Wang, Y.; Wang, G. Effects of the freeze-thaw cycle on potential evapotranspiration in the permafrost regions of the Qinghai-Tibet Plateau, China. Sci. Total Environ. 2019, 687, 257–266. [Google Scholar] [CrossRef] [PubMed]
- Tapponnier, P.; Zhiqin, X.; Roger, F.; Meyer, B.; Arnaud, N.; Wittlinger, G.; Jingsui, Y. Oblique stepwise rise and growth of the tibet plateau. Science 2001, 294, 1671–1677. [Google Scholar] [CrossRef] [PubMed]
- Qiu, J. China: The third pole. Nature 2008, 454, 393–396. [Google Scholar] [CrossRef]
- Chen, H.; Zhu, Q.; Peng, C.; Wu, N.; Wang, Y.; Fang, X.; Gao, Y.; Zhu, D.; Yang, G.; Tian, J.; et al. The impacts of climate change and human activities on biogeochemical cycles on the Qinghai-Tibetan Plateau. Glob. Chang. Biol. 2013, 19, 2940–2955. [Google Scholar] [CrossRef]
- Luo, W.; Zhang, G.; Chen, W.; Xu, F. Response of glacial lakes to glacier and climate changes in the western Nyainqentanglha range. Sci. Total Environ. 2020, 735, 139607. [Google Scholar] [CrossRef]
- Yu, G.A.; Lu, J.; Lyu, L.; Han, L.; Wang, Z. Mass flows and river response in rapid uplifting regions—A case of lower Yarlung Tsangpo basin, southeast Tibet, China. Int. J. Sediment Res. 2020. [Google Scholar] [CrossRef]
- Han, J.; Wang, J.; Zhao, Y.; Wang, Q.; Zhang, B.; Li, H.; Zhai, J. Spatio-temporal variation of potential evapotranspiration and climatic drivers in the Jing-Jin-Ji region, North China. Agric. For. Meteorol. 2018, 75–83. [Google Scholar] [CrossRef]
- Ye, J.; Guo, A.; Sun, G. Statistical analysis of reference evapotranspiration on the tibetan Plateau. J. Irrig. Drain. Eng. 2009. [Google Scholar] [CrossRef]
- Bhardwaj, A.; Misra, V. Defining the Northeast Monsoon of India. Mon. Weather Rev. 2019, 147, 791–807. [Google Scholar]
- Peng, D.; Qiu, L.; Fang, J.; Zhang, Z. Quantification of Climate Changes and Human Activities That Impact Runoff in the Taihu Lake Basin, China. Math. Probl. Eng. 2016, 2016. [Google Scholar] [CrossRef]
- Hůnová, I.; Bäumelt, V.; Modlík, M. Long-term trends in nitrogen oxides at different types of monitoring stations in the Czech Republic. Sci. Total Environ. 2019, 699, 134378. [Google Scholar] [CrossRef] [PubMed]
- Gocic, M.; Trajkovic, S. Analysis of changes in meteorological variables using Mann-Kendall and Sen’s slope estimator statistical tests in Serbia. Glob. Planet. Chang. 2013, 100, 172–182. [Google Scholar] [CrossRef]
- Sun, J.; Wang, X.; Shahid, S. Precipitation and runoff variation characteristics in typical regions of North China Plain: A case study of Hengshui City. Theor. Appl. Climatol. 2020, 1–15. [Google Scholar] [CrossRef]
- Kumar, N.; Tischbein, B.; Beg, M.K. Multiple trend analysis of rainfall and temperature for a monsoon-dominated catchment in India. Meteorol. Atmos. Phys. 2018, 131, 1019–1033. [Google Scholar] [CrossRef]
- Zhang, Y.; Liu, C.; Tang, Y.; Yang, Y. Trends in pan evaporation and reference and actual evapotranspiration across the Tibetan Plateau. J. Geophys. Res. Atmos. 2007. [Google Scholar] [CrossRef]
- Liu, X.; Zheng, H.; Zhang, M.; Liu, C. Identification of dominant climate factor for pan evaporation trend in the Tibetan Plateau. J. Geogr. Sci. 2011, 21, 594–608. [Google Scholar] [CrossRef]
- Cong, Z.T.; Yang, D.W.; Ni, G.H. Does evaporation paradox exist in China? Hydrol. Earth Syst. Sci. 2009, 13, 357–366. [Google Scholar] [CrossRef]
- Fan, J.; Wu, L.; Zhang, F.; Xiang, Y.; Zheng, J. Climate change effects on reference crop evapotranspiration across different climatic zones of China during 1956–2015. J. Hydrol. 2016, 542, 923–937. [Google Scholar] [CrossRef]
- Liu, X.; Luo, Y.; Zhang, D.; Zhang, M.; Liu, C. Recent changes in pan-evaporation dynamics in China. Geophys. Res. Lett. 2011. [Google Scholar] [CrossRef]
- Patakamuri, S.K.; Muthiah, K.; Sridhar, V. Long-Term homogeneity, trend, and change-point analysis of rainfall in the arid district of ananthapuramu, Andhra Pradesh State, India. Water 2020, 12, 211. [Google Scholar] [CrossRef]
- Jian, D.; Ma, Z.; Chen, L.; Duan, J.; Mitchell, D.; Zheng, Z.; Lv, M.; Zhang, H. Effects of 1.5 °C and 2 °C of warming on regional reference evapotranspiration and drying: A case study of the Yellow River Basin, China. Int. J. Climatol. 2020. [Google Scholar] [CrossRef]
- Xie, H.; Zhu, X. Reference evapotranspiration trends and their sensitivity to climatic change on the Tibetan Plateau (1970–2009). Hydrol. Process. 2012, 27, 3685–3693. [Google Scholar] [CrossRef]
- Shenbin, C.; Yunfeng, L.; Thomas, A. Climatic change on the Tibetan Plateau: Potential evapotranspiration trends from 1961-2000. Clim. Chang. 2006, 76, 291–319. [Google Scholar] [CrossRef]
- Ma, Y.J.; Li, X.Y.; Liu, L.; Yang, X.F.; Wu, X.C.; Wang, P.; Lin, H.; Zhang, G.H.; Miao, C.Y. Evapotranspiration and its dominant controls along an elevation gradient in the Qinghai Lake watershed, northeast Qinghai-Tibet Plateau. J. Hydrol. 2019, 575, 257–268. [Google Scholar] [CrossRef]
- Song, L.; Zhuang, Q.; Yin, Y.; Zhu, X.; Wu, S. Spatio-temporal dynamics of evapotranspiration on the Tibetan Plateau from 2000 to 2010. Environ. Res. Lett. 2017, 12, 014011. [Google Scholar] [CrossRef]













| Scale | Year | Spring | Summer | Autumn | Winter |
|---|---|---|---|---|---|
| Z value | 1.59 | 1.58 | −1.08 | 0.86 | 3.93 *** |
| Scale | Year | Spring | Summer | Autumn | Winter |
|---|---|---|---|---|---|
| Hurst index | 0.31 | 0.21 | 0.28 | 0.30 | 0.31 |
Publisher’s Note: MDPI stays neutral with regard to jurisdictional claims in published maps and institutional affiliations. |
© 2020 by the authors. Licensee MDPI, Basel, Switzerland. This article is an open access article distributed under the terms and conditions of the Creative Commons Attribution (CC BY) license (http://creativecommons.org/licenses/by/4.0/).
Share and Cite
Liu, Y.; Wang, Q.; Yao, X.; Jiang, Q.; Yu, J.; Jiang, W. Variation in Reference Evapotranspiration over the Tibetan Plateau during 1961–2017: Spatiotemporal Variations, Future Trends and Links to Other Climatic Factors. Water 2020, 12, 3178. https://doi.org/10.3390/w12113178
Liu Y, Wang Q, Yao X, Jiang Q, Yu J, Jiang W. Variation in Reference Evapotranspiration over the Tibetan Plateau during 1961–2017: Spatiotemporal Variations, Future Trends and Links to Other Climatic Factors. Water. 2020; 12(11):3178. https://doi.org/10.3390/w12113178
Chicago/Turabian StyleLiu, Yuan, Qianyang Wang, Xiaolei Yao, Qi Jiang, Jingshan Yu, and Weiwei Jiang. 2020. "Variation in Reference Evapotranspiration over the Tibetan Plateau during 1961–2017: Spatiotemporal Variations, Future Trends and Links to Other Climatic Factors" Water 12, no. 11: 3178. https://doi.org/10.3390/w12113178
APA StyleLiu, Y., Wang, Q., Yao, X., Jiang, Q., Yu, J., & Jiang, W. (2020). Variation in Reference Evapotranspiration over the Tibetan Plateau during 1961–2017: Spatiotemporal Variations, Future Trends and Links to Other Climatic Factors. Water, 12(11), 3178. https://doi.org/10.3390/w12113178

