Reliability and Efficiency of Pollutant Removal in Four-Stage Constructed Wetland of SSVF-SSHF-SSHF-SSVF Type
Abstract
1. Introduction
2. Material and Methods
2.1. Characteristics of the Experimental Facility
2.2. Experimental Procedure
2.3. Analytical Methods
- -
- TSS—gravimetry directly after filtration through filters and drying at 105 °C.
- -
- BOD5—dilution test. Oxygen was measured before and 5 d after incubation at 20 °C in total darkness with the addition of a nitrification inhibitor.
- -
- COD—dichromate test. CODCr was determined after oxidation of a sample in a thermoreactor at 148 °C.
- -
- TN—photometric method after oxidation of a sample in a thermoreactor at 100 °C.
- -
- Nitrate nitrogen and nitrite nitrogen—photometric method.
- -
- Ammonium nitrogen—photometric method using a spectrophotometer.
- -
- TP—photometric method after oxidation of a sample in a thermoreactor at 120 °C.
2.4. Statistical Analysis
3. Results and Discussion
3.1. Composition of Wastewater Treatment
3.1.1. Composition and Quality of Raw Sewage
3.1.2. Efficiency of Removing Impurities in the Primary Settling Tank
3.1.3. Efficiency of Wastewater Treatment in the VF Bed with Common Reed
3.1.4. Efficiency of SSHF Bed with Salix
3.1.5. Removal Effect in SSHF Bed with Jerusalem Artichoke
3.1.6. Composition and Quality of Wastewater in Outflow of Constructed Wetland
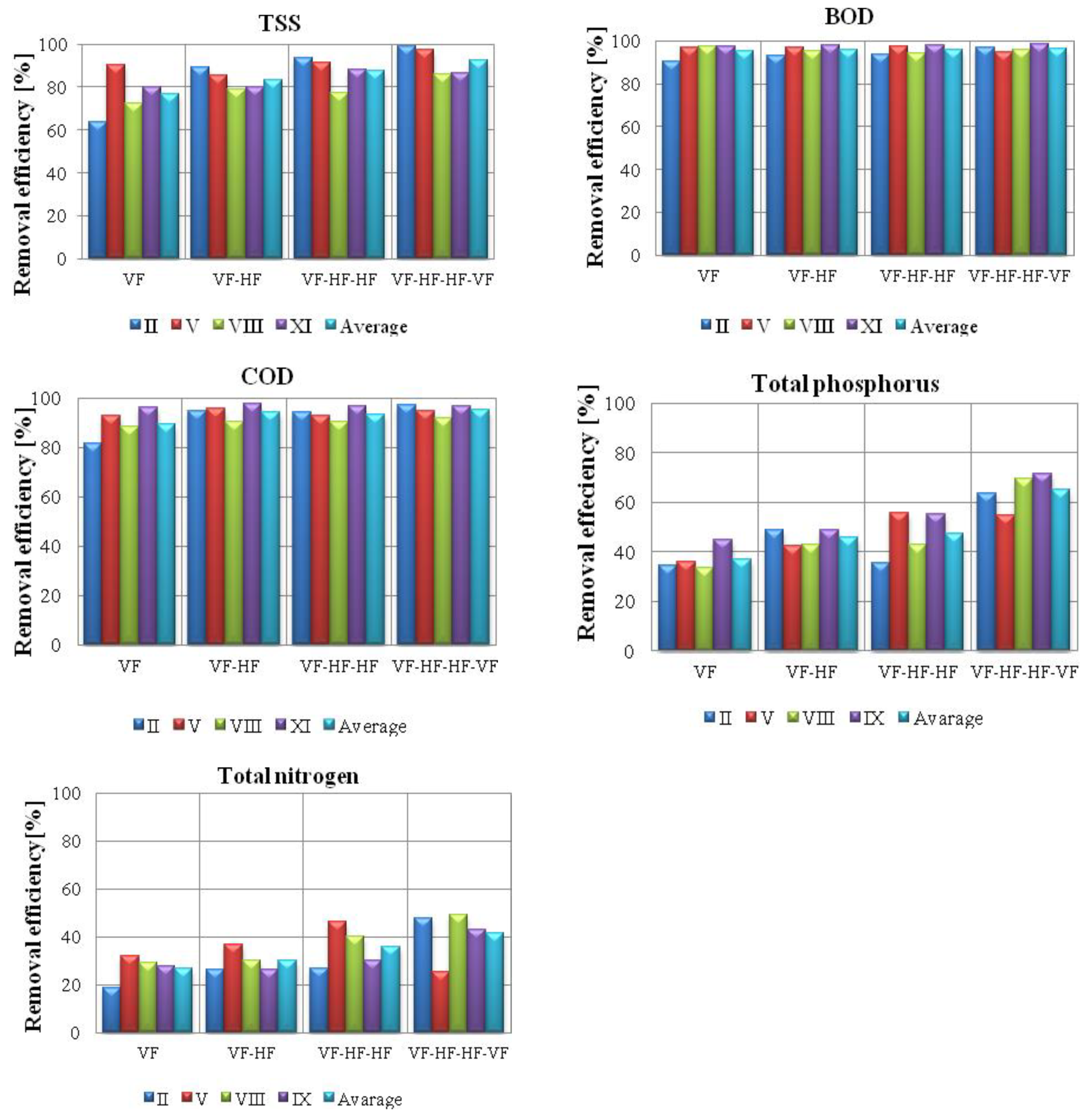
3.2. Efficiency of Pollutant Removal in the All CW System
3.2.1. BOD5 Removal Effect
3.2.2. COD Removal Effect
3.2.3. Total Nitrogen Removal Effect
3.2.4. Phosphorus Reduction
3.3. Pollutant Removal Reliability
4. Conclusions
Author Contributions
Funding
Conflicts of Interest
References
- García, J.A.; Paredes, D.; Cubillos, J.A. Effect of plants and the combination of wetland treatment type systems on pathogen removal in tropical climate conditions. Ecol. Eng. 2013, 58, 57–62. [Google Scholar] [CrossRef]
- Jóźwiakowski, K.; Mucha, Z.; Generowicz, A.; Baran, S.; Bielińska, J.; Wójcik, W. The use of multi-criteria analysis for selection of technology for a household WWTP compatible with sustainable development/Zastosowanie analizy wielokryterialnej do wyboru rozwiązania technologicznego przydomowej oczyszczalni ścieków zgodnego z ideą zrównoważonego rozwoju. Arch. Environ. Prot. 2015, 41, 76–82. [Google Scholar] [CrossRef]
- Jóźwiakowski, K.; Bugajski, P.; Kurek, K.; Fátima Nunes de Carvalho, M.; Adelaide Almeida, M.; Siwiec, T.; Borowski, G.; Czekała, W.; Dach, J.; Gajewska, M. The efficiency and technological reliability of biogenic compounds removal during long-term operation of a one-stage subsurface horizontal flow constructed wetland. Sep. Purif. Technol. 2018, 202, 216–226. [Google Scholar] [CrossRef]
- Jóźwiakowski, K. Studies on the efficiency of sewage treatment in chosen constructed wetland systems. Infr. Ecol. Rural Areas 2012, 1, 232. (In Polish) [Google Scholar]
- Jóźwiakowski, K.; Dach, J.; Kowalczyk-Juśko, A.; Marzec, M.; Gizińska, M.; Pytka, A.; Skwarzyńska, A. Eco-logistics aspects of the construction and exploitation of the ground plant systems for wastewater purification and simultaneous production of biomass for energy purposes. Logistyka 2014, 6, 102–107. [Google Scholar]
- Vymazal, J. Constructed Wetlands for Wastewater Treatment: Five Decades of Experience†. Environ. Sci. Technol. 2011, 45, 61–69. [Google Scholar] [CrossRef]
- Vymazal, J. The use of hybrid constructed wetlands for wastewater treatment with special attention to nitrogen removal: A review of a recent development. Water Res. 2013, 47, 4795–4811. [Google Scholar] [CrossRef]
- Vymazal, J.; Kröpfelová, L. Types of Constructed Wetlands for Wastewater Treatment. In Wastewater Treatment in Constructed Wetlands with Horizontal Sub-Surface Flow; Springer Science and Business Media LLC: Berlin, Germany, 2008; Volume 14, pp. 121–202. [Google Scholar]
- Gajewska, M.; Obarska-Pempkowiak, H. 20 lat doświadczeń z eksploatacji oczyszczalni hydrofitowych w Polsce. Rocznik Ochrony Środowiska 2009, 11, 875–888. [Google Scholar]
- Cui, L.; Ouyang, Y.; Lou, Q.; Yang, F.; Chen, Y.; Zhu, W.; Luo, S. Removal of nutrients from wastewater with Canna indica L. under different vertical-flow constructed wetland conditions. Ecol. Eng. 2010, 36, 1083–1088. [Google Scholar] [CrossRef]
- Saeed, T.; Sun, G. A review on nitrogen and organics removal mechanisms in subsurface flow constructed wetlands: Dependency on environmental parameters, operating conditions and supporting media. J. Environ. Manag. 2012, 112, 429–448. [Google Scholar] [CrossRef] [PubMed]
- Faulwetter, J.L.; Gagnon, V.; Sundberg, C.; Chazarenc, F.; Burr, M.D.; Brisson, J.; Camper, A.K.; Stein, O.R. Microbial processes influencing performance of treatment wetlands: A review. Ecol. Eng. 2009, 35, 987–1004. [Google Scholar] [CrossRef]
- Vymazal, J. Removal of nutrients in various types of constructed wetlands. Sci. Total Environ. 2007, 380, 48–65. [Google Scholar] [CrossRef] [PubMed]
- Chen, Y.; Wen, Y.; Cheng, J.; Xue, C.; Yang, D.; Zhou, Q. Effects of dissolved oxygen on extracellular enzymes activities and transformation of carbon sources from plant biomass: Implications for denitrification in constructed wetlands. Bioresour. Technol. 2011, 102, 2433–2440. [Google Scholar] [CrossRef]
- Meng, P.; Pei, H.; Hu, W.; Shao, Y.; Li, Z. How to increase microbial degradation in constructed wetlands: Influencing factors and improvement measures. Bioresour. Technol. 2014, 157, 316–326. [Google Scholar] [CrossRef] [PubMed]
- Vymazal, J.; Březinová, T. Long term treatment performance of constructed wetlands for wastewater treatment in mountain areas: Four case studies from the Czech Republic. Ecol. Eng. 2014, 71, 578–583. [Google Scholar] [CrossRef]
- Wu, H.; Zhang, J.; Ngo, H.H.; Guo, W.; Shuang, L.; Liang, S.; Fan, J.; Liu, H. A review on the sustainability of constructed wetlands for wastewater treatment: Design and operation. Bioresour. Technol. 2015, 175, 594–601. [Google Scholar] [CrossRef]
- Yan, Y.; Xu, J. Improving Winter Performance of Constructed Wetlands for Wastewater Treatment in Northern China: A Review. Wetlands 2014, 34, 243–253. [Google Scholar] [CrossRef]
- Gizińska, M.; Jóźwiakowski, K.; Kowalczyk-Juśko, A.; Pytka, A.; Marzec, M. Biomass productivity and biomass energy properties of plants of hybrid constructed wetland wastewater treatment plant in the first year of operations. Gaz Woda Technika Sanitarna 2013, 7, 280–284. (In Polish) [Google Scholar]
- Conley, L.M.; Dick, R.L.; Lion, L.W. An Assesment of the root zone method of wastewater treatment. Res. J. WPCF 1991, 63, 239–247. [Google Scholar]
- Institute of Meteorology and Water Management (IMWM). Average Monthly Air Temperatures and Monthly Rainfall for the Station in Radawiec Near Lublin. 2018. Available online: https://dane.imgw.pl/data/dane_pomiarowo_obserwacyjne/ (accessed on 5 May 2020). (In Polish).
- Regulation of the Minister of the Environment. Polish Standards according Limits for Discharged Sewage and Environmental Protection from 18 November 2014 (No 2014 item 1800). 2014. Available online: http://prawo.sejm.gov.pl/isap.nsf/download.xsp/WDU20140001800/O/D20141800.pdf (accessed on 2 May 2020). (In Polish)
- PN-74/C-04620/00. Water and Sewage—Sampling—General Provision and Scope of the Standard; Polski Komitet Normalizacji, Miar i Jakości: Warszawa, Poland, 1975. (In Polish) [Google Scholar]
- PN-EN 25667-2. Water Quality—Sampling—Guidance on Sampling Techniques; Polski Komitet Normalizacyjny: Warszawa, Poland, 1999. (In Polish) [Google Scholar]
- PN-EN 1899-1:2002. Water Quality—Determination of Biochemical Oxygen Demand after n Days (BOD)—Part 1: Dilution and Vaccination Method with the Addition of Allythiourea; Polski Komitet Normalizacyjny: Warszawa, Poland, 2002. (In Polish) [Google Scholar]
- PN-EN 872:2007. Water Quality—Determination of Suspended Solids—Method by Filtration trough Filters; Polski Komitet Normalizacyjny: Warszawa, Poland, 2007. (In Polish) [Google Scholar]
- PN-EN ISO 6878:2006P. Water Quality—Determination of Phosphorus—Ammonium Molybdate Spectrometric Method; Polski Komitet Normalizacyjny: Warszawa, Poland, 2006. (In Polish) [Google Scholar]
- PN-ISO 15705:2005. Water Quality—Determination of the Chemical Oxygen Demand Index (ST-COD)—Small-Scale Sealed-Tube Method; Polski Komitet Normalizacyjny: Warszawa, Poland, 2005. (In Polish) [Google Scholar]
- PN-EN ISO 6869:2002. Feed—Determination of Phosphorus Content—Spectrometric Method; Polski Komitet Normalizacyjny: Warszawa, Poland, 2007. (In Polish) [Google Scholar]
- American Public Health Association (APHA). Standard Methods for Examination of Water and Wastewater, 21st ed.; American Public Health Association: Washington, DC, USA, 2005. [Google Scholar]
- Gajewska, M.; Obarska-Pempkowiak, H. Efficiency of pollutant removal by five multistage constructed wetlands in a temperate climate. Environ. Prot. Eng. 2011, 37, 27–36. [Google Scholar]
- Heidrich, Z.; Kalenik, M.; Podedworna, J.; Stańko, G. Sanitation of the Village; Wydawnictwo Seidel-Przywecki: Warszawa, Poland, 2008; Volume 374, ISBN 978-83-60956-04-5. (In Polish) [Google Scholar]
- Bugajski, P.; Wałęga, A.; Kaczor, G. Application of the Weibull reliability analysis of haousehold sewage treatment plant. Gaz Woda Technika Sanitarna 2012, 2, 56–58. (In Polish) [Google Scholar]
- Bugajski, P. Analysis of reliability of the treatment plant Bioblok PS-50 using the method of Weibull. Infra. Ecol. Rural Areas 2014, 2, 667–677. [Google Scholar]
- Jucherski, A.; Nastawny, M.; Walczowski, A.; Jóźwiakowski, K.; Gajewska, M. Assessment of the technological reliability of a hybrid constructed wetland for wastewater treatment in a mountain eco-tourist farm in Poland. Water Sci. Technol. 2017, 75, 2649–2658. [Google Scholar] [CrossRef] [PubMed]
- Bugajski, P.; Bergel, T. Values of selected concentrations of pollutants in domestic sewage exiting the countryside. Gaz Woda Tech. Sanit. 2008, 9, 28–29. (In Polish) [Google Scholar]
- Bugajski, P.; Chmielowski, K.; Kaczor, G. Optimizing the Percentage of Sewage from Septic Tanks for Stable Operation of a Wastewater Treatment Plant. Pol. J. Environ. Stud. 2016, 25, 1421–1425. [Google Scholar] [CrossRef]
- Abidi, S.; Kallali, H.; Jedidi, N.; Bouzaiane, O.; Hassen, A. Comparative pilot study of the performances of two constructed wetland wastewater treatment hybrid systems. Desalination 2009, 246, 370–377. [Google Scholar] [CrossRef]
- Lesage, E.; Rousseau, D.P.L.; Meers, E.; Van De Moortel, A.M.K.; Du Laing, G.; Tack, F.M.; De Pauw, N.; Verloo, M.G. Accumulation of Metals in the Sediment and Reed Biomass of a Combined Constructed Wetland Treating Domestic Wastewater. Water Air Soil Pollut. 2007, 183, 253–264. [Google Scholar] [CrossRef]
- Tanner, C.C.; Sukias, J.P.S.; Headley, T.R.; Yates, C.R.; Stott, R. Constructed wetlands and denitrifying bioreactors for on-site and decentralized wastewater treatment: Comparison of five alternative configurations. Ecol. Eng. 2012, 42, 112–123. [Google Scholar] [CrossRef]
- Vymazal, J.; Kröpfelová, L. A three-stage experimental constructed wetland for treatment of domestic sewage: First 2 years of operation. Ecol. Eng. 2011, 37, 90–98. [Google Scholar] [CrossRef]
- Zhai, J.; Xiao, H.W.; Kujawa-Roeleveld, K.; He, Q.; Kerstens, S.M. Experimental study of a novel hybrid constructed wetland for water reuse and its application in Southern China. Water Sci. Technol. 2011, 64, 2177–2184. [Google Scholar] [CrossRef]
- Gikas, G.D.; Tsihrintzis, V.A. A small-size vertical flow constructed wetland for on-site treatment of household wastewater. Ecol. Eng. 2012, 44, 337–343. [Google Scholar] [CrossRef]
- Vymazal, J. Removal of Organics in Czech Constructed Wetlands with Horizontal Sub-Surface Flow. In Transformations of Nutrients in Natural and Constructed Wetlands; Backhuys Publishers: Leiden, The Netherlands, 2001; pp. 305–327. [Google Scholar]
- Kadlec, R.H.; Wallace, S. Treatment Wetlands, 2nd ed.; CRC Press Taylor & Francis Group: Boca Raton, FL, USA, 2009; p. 1016. ISBN 978-1-56670-526-4. [Google Scholar]
- Langergraber, G.; Prandtstetten, C.; Pressl, A.; Rohrhofer, R.; Haberl, R. Removal efficiency of subsurface vertical flow constructed wetlands for different organic loads. Water Sci. Technol. 2007, 56, 75–84. [Google Scholar] [CrossRef] [PubMed]
- Albuquerque, A.; Arendacz, M.; Gajewska, M.; Obarska-Pempkowiak, H.; Randerson, P.; Kowalik, P. Removal of organic matter and nitrogen in a horizontal subsurface flow (HSSF) constructed wetland under transient loads. Water Sci. Technol. 2009, 60, 1677–1682. [Google Scholar] [CrossRef] [PubMed]
- Albuquerque, A.; Oliveira, J.; Semitela, S.; Amaral, L. Influence of bed media characteristics on ammonia and nitrate removal in shallow horizontal subsurface flow constructed wetlands. Bioresour. Technol. 2009, 100, 6269–6277. [Google Scholar] [CrossRef] [PubMed]
- Megonikal, J.P.; Hines, M.E.; Visscher, P.T. Anaerobic Metabolism: Linkage to Trace Gases and Aerobic Processes. In Biogeochemistry; Schlesinger, W.H., Ed.; Elsevier-Pergamon: Oxford, UK, 2004; pp. 317–424. [Google Scholar]
- Mitchell, C.; McNevin, D. Alternative analysis of BOD removal in subsurface flow constructed wetlands employing Monod kinetics. Water Res. 2001, 35, 1295–1303. [Google Scholar] [CrossRef]
- Marzec, M.; Gizińska-Górna, M.; Jóźwiakowski, K.; Pytka-Woszczyło, A.; Kowalczyk-Juśko, A.; Gajewska, M. The efficiency and reliability of pollutant removal in a hybrid constructed wetland with giant miscanthus and Jerusalem artichoke in Poland. Ecol. Eng. 2019, 127, 23–35. [Google Scholar] [CrossRef]
- Marzec, M.; Jóźwiakowski, K.; Dębska, A.; Gizińska-Górna, M.; Pytka, A.; Kowalczyk-Juśko, A.; Listosz, A. The Efficiency and Reliability of Pollutant Removal in a Hybrid Constructed Wetland with Common Reed, Manna Grass, and Virginia Mallow. Water 2018, 10, 1445. [Google Scholar] [CrossRef]
- Jia, W.; Zhang, J.; Wu, J.; Xie, H.; Zhang, B. Effect of intermittent operation on contaminant removal and plant growth in vertical flow constructed wetlands: A microcosm experiment. Desalination 2010, 262, 202–208. [Google Scholar] [CrossRef]
- Gervin, L.; Brix, H. Removal of nutrients from combined sewer overflows and lake water in a vertical-flow constructed wetland system. Water Sci. Technol. 2001, 44, 171–176. [Google Scholar] [CrossRef]
- Vera, L.; Martel, G.; Márquez, M. First year performance of a new constructed wetland on the island of Gran Canaria: A case Study. In Proceedings of the 12th International Conference on Wetland Systems for Water Pollution Control, Venice, Italy, 4–8 October 2010; Masi, F., Nivala, J., Eds.; International Water Association: London, UK, 2012; pp. 1037–1044. [Google Scholar]
- Melián, J.H.; Rodríguez, A.M.; Araña, J.; Díaz, O.G.; Henríquez, J.G. Hybrid constructed wetlands for wastewater treatment and reuse in the Canary Islands. Ecol. Eng. 2010, 36, 891–899. [Google Scholar] [CrossRef]
- Sharma, P.K.; Inoue, T.; Kato, K.; Ietsugu, H.; Tomita, K.; Nagasawa, T. Potential of hybrid constructed wetland system in treating milking parlor wastewater under cold climatic conditions in northern Hokkaido, Japan. Water Pract. Technol. 2011, 6, 1–2. [Google Scholar] [CrossRef]
- Ghrabi, A.; Bousselmi, L.; Masi, F.; Regelsberger, M. Constructed wetland as a low cost and sustainable solution for wastewater treatment adapted to rural settlements: The Chorfech wastewater treatment pilot plant. Water Sci. Technol. 2011, 63, 3006–3012. [Google Scholar] [CrossRef]
- Shrestha, R.; Haberl, R.; Laber, J.; Manandhar, R.; Mader, J. Application of constructed wetlands for wastewater treatment in Nepal. Water Sci. Technol. 2001, 44, 381–386. [Google Scholar] [CrossRef] [PubMed]
- Rivas, A.; Barceló-Quintal, I.; Moeller, G.E. Pollutant removal in a multi-stage municipal wastewater treatment system comprised of constructed wetlands and a maturation pond, in a temperate climate. Water Sci. Technol. 2011, 64, 980–987. [Google Scholar] [CrossRef] [PubMed]
- Singh, S.; Haberl, R.; Moog, O.; Shrestha, R.R.; Shrestha, P.; Shrestha, R. Performance of an anaerobic baffled reactor and hybrid constructed wetland treating high-strength wastewater in Nepal e a model for DEWATS. Ecol. Eng. 2009, 35, 654–660. [Google Scholar] [CrossRef]
- Ayaz, S.; Aktas, O.; Findik, N.; Akça, L.; Kınacı, C.; Fındık, N.; Kinaci, C. Effect of recirculation on nitrogen removal in a hybrid constructed wetland system. Ecol. Eng. 2012, 40, 1–5. [Google Scholar] [CrossRef]
- Laber, J.; Haberl, R.; Langergraber, G. Treatment of Hospital Wastewater with a 2-Stage Constructed Wetland System. In Achievments and Prospects of Phytoremediation in Europe; Haberl, R., Langergraber, G., Eds.; University of Natural Resources and Applied Life Sciences: Vienna, Austria, 2003; p. 85. [Google Scholar]
- Seo, D.C.; Delaune, R.D.; Park, W.Y.; Lim, J.S.; Seo, J.Y.; Lee, D.J.; Cho, J.S.; Heo, J.S. Evaluation of a hybrid constructed wetland for treating domestic sewage from individual housing units surrounding agricultural villages in South Korea. J. Environ. Monit. 2009, 11, 134–144. [Google Scholar] [CrossRef]
- Wu, S.; Carvalho, P.N.; Müller, J.A.; Manoj, V.R.; Dong, R. Sanitation in constructed wetlands: A review on the removal of human pathogens and fecal indicators. Sci. Total Environ. 2016, 541, 8–22. [Google Scholar] [CrossRef]
- Foladori, P.; Ortigara, A.R.C.; Ruaben, J.; Andreottola, G. Influence of high organic loads during the summer period on the performance of hybrid constructed wetlands (VSSF + HSSF) treating domestic wastewater in the Alps region. Water Sci. Technol. 2012, 65, 890–897. [Google Scholar] [CrossRef]
- Chang, J.-J.; Wu, S.-Q.; Dai, Y.-R.; Liang, W.; Wu, Z.-B. Nitrogen removal from nitrate-laden wastewater by integrated vertical-flow constructed wetland systems. Ecol. Eng. 2013, 58, 192–201. [Google Scholar] [CrossRef]
- Poach, M.; Hunt, P.; Reddy, G.; Stone, K.; Johnson, M.; Grubbs, A. Swine wastewater treatment by marsh–pond–marsh constructed wetlands under varying nitrogen loads. Ecol. Eng. 2004, 23, 165–175. [Google Scholar] [CrossRef]
- Pietro, K.C.; Ivanoff, D. Comparison of long-term phosphorus removal performance of two large-scale constructed wetlands in South Florida, U.S.A. Ecol. Eng. 2015, 79, 143–157. [Google Scholar] [CrossRef]
- Zapater-Pereyra, M.; Ilyas, H.; Lavrnić, S.; Van Bruggen, J.; Lens, P.N.L. Evaluation of the performance and space requirement by three different hybrid constructed wetlands in a stack arrangement. Ecol. Eng. 2015, 82, 290–300. [Google Scholar] [CrossRef]
- Öövel, M.; Tooming, A.; Mauring, T.; Mander, Ü. Schoolhouse wastewater purification in a LWA-filled hybrid constructed wetland in Estonia. Ecol. Eng. 2007, 29, 17–26. [Google Scholar] [CrossRef]
- Leto, C.; Tuttolomondo, T.; La Bella, S.; Leone, R.; Licata, M. Effects of plant species in a horizontal subsurface flow constructed wetland—Phytoremediation of treated urban wastewater with Cyperus alternifolius L. and Typha latifolia L. in the West of Sicily (Italy). Ecol. Eng. 2013, 61, 282–291. [Google Scholar] [CrossRef]
- Zhao, Y.J.; Hui, Z.; Chao, X.; Nie, E.; Li, H.J.; He, J.; Zheng, Z. Efficiency of two-stage combinations of subsurface vertical down-flow and up-flow constructed wetland systems for treating variation in influent C/N ratios of domestic wastewater. Ecol. Eng. 2011, 37, 1546–1554. [Google Scholar] [CrossRef]
- Bulc, T.G. Long term performance of a constructed wetland for landfill leachate treatment. Ecol. Eng. 2006, 26, 365–374. [Google Scholar] [CrossRef]
- Chazarenc, F.; Gérard, M.; Gonthier, Y. Hydrodynamics of horizontal subsurface flow constructed wetlands. Ecol. Eng. 2003, 21, 165–173. [Google Scholar] [CrossRef]
- Chazarenc, F.; Naylor, S.; Comeau, Y.; Merlin, G.; Brisson, J. Modeling the Effect of Plants and Peat on Evapotranspiration in Constructed Wetlands. Int. J. Chem. Eng. 2010, 2010, 1–6. [Google Scholar] [CrossRef]
- Herbst, M.; Kappen, L. The ratio of transpiration versus evaporation in a reed belt as influenced by weather conditions Author links open overlay panel. Aquatic Bot. 1999, 63, 113–125. [Google Scholar] [CrossRef]
- Toscano, A.; Marzo, A.; Milani, M.; Cirelli, G.L.; Barbagallo, S. Comparison of removal efficiencies in Mediterranean pilot constructed wetlands vegetated with different plant species. Ecol. Eng. 2015, 75, 155–160. [Google Scholar] [CrossRef]
- Langergraber, G. The role of plant uptake on the removal of organic matter and nutrients in subsurface flow constructed wetlands: A simulation study. Water Sci. Technol. 2005, 51, 213–223. [Google Scholar] [CrossRef] [PubMed]
- Wu, H.; Zhang, J.; Li, C.; Fan, J.; Zou, Y. Mass Balance Study on Phosphorus Removal in Constructed Wetland Microcosms Treating Polluted River Water. CLEAN Soil Air Water 2013, 41, 844–850. [Google Scholar] [CrossRef]
- Wu, H.; Zhang, J.; Wei, R.; Liang, S.; Li, C.; Xie, H. Nitrogen transformations and balance in constructed wetlands for slightly polluted river water treatment using different macrophytes. Environ. Sci. Pollut. Res. 2012, 20, 443–451. [Google Scholar] [CrossRef]
- Ouellet Plamondon, C.; Chazarenc, F.; Comeau, Y.; Brisson, J. Artificial aeration to increase pollutant removal efficiency of constructed wetlands in cold climate. Ecol. Eng. 2006, 27, 258–264. [Google Scholar] [CrossRef]
- Andraka, D.; Dzienis, L. Required reliability level of wastewater treatment plants according to European and Polish regulations. Zeszyty Naukowe Politechniki Białostockiej. Ser. Inżynieria Środowiska 2003, 16, 24–28. (In Polish) [Google Scholar]
- Wałęga, A.; Miernik, W.; Kozień, T. The efficiency of a domestic sewage treatment plant type RetroFAST. Przem. Chem. 2008, 87, 210–212. (In Polish) [Google Scholar]
- Marzec, M. Reliability of removal of selected pollutants in different technological solutions of household wastewater treatment plants. J. Water Land Dev. 2017, 35, 141–148. [Google Scholar] [CrossRef]







| Relationship | Literature Recommendation [32] | This Study |
|---|---|---|
| COD/BOD5 | ≤2.2 | 2.43 |
| BOD5/TN | ≥4.0 | 1.30 |
| BOD5/TP | ≥25 | 8.78 |
| Parameters | Sample | Statistic | |||||
|---|---|---|---|---|---|---|---|
| Average | Median | Min | Max | SD | Cv | ||
| Dissolved oxygen (mgO2/L) | RW | 0.22 | 0.17 | 0.10 | 0.34 | 0.08 | 0.35 |
| S0 | 0.93 | 0.32 | 0.10 | 2.51 | 0.97 | 1.04 | |
| S1 | 4.69 | 4.65 | 2.60 | 6.36 | 1.12 | 0.24 | |
| S2 | 3.24 | 7.06 | 4.25 | 9.21 | 1.79 | 0.25 | |
| S3 | 3.23 | 6.12 | 4.15 | 11.02 | 1.91 | 0.31 | |
| S4 | 7.32 | 7.83 | 2.98 | 11.31 | 2.19 | 0.30 | |
| pH | RW | 7.07 | 7.15 | 6.13 | 7.64 | 0.37 | 0.05 |
| S0 | 7.23 | 7.32 | 6.42 | 7.60 | 0.32 | 0.04 | |
| S1 | 7.16 | 7.17 | 6.35 | 7.65 | 0.35 | 0.05 | |
| S2 | 7.36 | 7.49 | 6.56 | 7.82 | 0.40 | 0.05 | |
| S3 | 7.41 | 7.40 | 6.66 | 7.98 | 0.35 | 0.05 | |
| S4 | 7.67 | 7.87 | 6.93 | 8.06 | 0.44 | 0.06 | |
| BOD5 (mgO2/L) | RW | 321.45 | 189.00 | 189.00 | 679.00 | 136.47 | 0.42 |
| S0 | 146.6 | 129.0 | 68.0 | 232.0 | 50.9 | 0.3 | |
| S1 | 5.1 | 4.4 | 1.0 | 10.4 | 3.3 | 0.6 | |
| S2 | 4.7 | 4.1 | 1.0 | 10.4 | 3.2 | 0.7 | |
| S3 | 4.6 | 4.8 | 0.7 | 9.2 | 2.6 | 0.6 | |
| S4 | 4.6 | 3.9 | 0.5 | 12.8 | 4.1 | 0.9 | |
| COD (mgO2/L) | RW | 708.18 | 620.00 | 360.00 | 1300.00 | 332.23 | 0.47 |
| S0 | 356.4 | 330.0 | 230.0 | 490.0 | 91.7 | 0.3 | |
| S1 | 32.7 | 23.0 | 11.0 | 76.0 | 21.8 | 0.7 | |
| S2 | 18.5 | 13.0 | 7.0 | 38.0 | 11.8 | 0.6 | |
| S3 | 21.4 | 20.0 | 5.0 | 36.0 | 9.4 | 0.4 | |
| S4 | 17.2 | 18.5 | 7.0 | 26.0 | 6.6 | 0.4 | |
| TSS (mg/L) | RW | 397.61 | 176.00 | 164.00 | 812.70 | 209.04 | 0.53 |
| S0 | 106.2 | 109.0 | 61.0 | 151.4 | 30.6 | 0.3 | |
| S1 | 34.2 | 16.3 | 2.0 | 120.3 | 50.0 | 1.2 | |
| S2 | 14.5 | 14.5 | 4.3 | 36.9 | 8.9 | 0.6 | |
| S3 | 7.4 | 8.3 | 2.2 | 14.7 | 4.4 | 0.6 | |
| S4 | 5.4 | 4.1 | 1.0 | 15.5 | 4.7 | 0.9 | |
| TN (mg/L) | RW | 149.91 | 160.00 | 94.00 | 256.00 | 50.63 | 0.34 |
| S0 | 112.8 | 118.0 | 70.0 | 148.0 | 22.6 | 0.2 | |
| S1 | 82.1 | 75.0 | 51.0 | 123.0 | 21.3 | 0.3 | |
| S2 | 78.6 | 72.0 | 52.0 | 119.0 | 19.1 | 0.2 | |
| S3 | 70.0 | 71.0 | 55.0 | 94.0 | 11.1 | 0.2 | |
| S4 | 60.0 | 60.0 | 39.0 | 83.0 | 13.2 | 0.2 | |
| Ammonium nitrogen (mg/L) | RW | 111.45 | 150.00 | 68.00 | 160.00 | 33.95 | 0.30 |
| S0 | 95.09 | 94.00 | 65.00 | 141.00 | 20.92 | 0.22 | |
| S1 | 9.84 | 1.07 | 0.08 | 49.70 | 16.97 | 1.73 | |
| S2 | 1.69 | 0.52 | 0.06 | 5.60 | 2.32 | 1.38 | |
| S3 | 0.53 | 0.52 | 0.05 | 1.30 | 0.43 | 0.82 | |
| S4 | 0.32 | 0.14 | 0.07 | 0.95 | 0.32 | 1.01 | |
| Nitrate nitrogen (mg/L) | RW | 1.22 | 1.14 | 0.16 | 3.16 | 1.17 | 0.96 |
| S0 | 1.36 | 1.49 | 0.21 | 2.80 | 0.96 | 0.70 | |
| S1 | 38.12 | 36.02 | 23.53 | 57.24 | 11.65 | 0.31 | |
| S2 | 46.19 | 38.96 | 31.64 | 89.02 | 16.49 | 0.36 | |
| S3 | 37.14 | 40.14 | 14.86 | 49.40 | 10.41 | 0.28 | |
| S4 | 33.54 | 33.60 | 19.20 | 44.75 | 7.14 | 0.21 | |
| Nitrite nitrogen (mg/L) | RW | 0.27 | 0.16 | 0.16 | 0.48 | 0.12 | 0.45 |
| S0 | 0.19 | 0.16 | 0.11 | 0.37 | 0.08 | 0.40 | |
| S1 | 0.27 | 0.17 | 0.03 | 0.75 | 0.25 | 0.93 | |
| S2 | 0.16 | 0.10 | 0.02 | 0.61 | 0.18 | 1.08 | |
| S3 | 0.40 | 0.26 | 0.04 | 1.21 | 0.38 | 0.95 | |
| S4 | 0.12 | 0.07 | 0.03 | 0.42 | 0.11 | 0.98 | |
| TP (mg/L) | RW | 23.10 | 7.10 | 7.10 | 41.90 | 11.38 | 0.49 |
| S0 | 16.7 | 13.4 | 6.7 | 33.5 | 9.6 | 0.6 | |
| S1 | 8.6 | 8.4 | 6.3 | 13.3 | 2.0 | 0.2 | |
| S2 | 7.4 | 7.3 | 4.2 | 7.3 | 1.8 | 0.2 | |
| S3 | 6.4 | 6.3 | 4.7 | 6.3 | 1.0 | 0.2 | |
| S4 | 4.9 | 4.2 | 2.7 | 4.2 | 1.7 | 0.3 | |
| Temperature | |||||
|---|---|---|---|---|---|
| System | TSS | BOD5 | COD | TN | TP |
| SSVF with common reed | −0.2521 p = 0.482 | 0.3572 p = 0.385 | 0.1626 p = 0.701 | 0.6094 p = 0.081 | 0.4925 p = 0.178 |
| SSHF with Salix | −0.3775 p = 0.282 | −0.2426 p = 0.563 | −0.0912 p = 0.830 | 0.1831 p = 0.637 | 0.1899 p = 0.625 |
| SSHF with Jerusalem artichoke | −0.2696 p = 0.451 | 0.0053 p = 0.990 | −0.6217 p = 0.100 | 0.2872 p = 0.454 | −0.0943 p = 0.809 |
| SSVF with giant miscanthus | 0.0083 p = 0.982 | −0.4600 p = 0.251 | −0.6934 p = 0.056 | 0.3195 p = 0.402 | 0.5418 p = 0.132 |
| SSVF with Reed | SSHF with Salix | SSHF with Jerusalem Artichoke | SSVF with Giant Miscanthus | ||
|---|---|---|---|---|---|
| TSS | Load (g/m2/day) | 2.65 | 1.32 | 0.88 | 0.66 |
| MRR (g/m2/day) | 1.80 | 1.15 | 0.82 | 0.63 | |
| BOD5 | Load (g/m2/day) | 3.66 | 1.83 | 1.22 | 0.92 |
| MRR (g/m2/day) | 3.54 | 1.77 | 1.18 | 0.89 | |
| COD | Load (g/m2/day) | 8.91 | 4.45 | 2.97 | 2.23 |
| MRR (g/m2/day) | 8.09 | 4.22 | 2.79 | 2.12 | |
| TN | Load (g/m2/day) | 2.82 | 1.41 | 0.94 | 0.705 |
| MRR (g/m2/day) | 0.76 | 0.85 | 0.44 | 0.703 | |
| TP | Load (g/m2/day) | 0.42 | 0.21 | 0.14 | 0.10 |
| MRR (g/m2/day) | 0.20 | 0.12 | 0.09 | 0.07 |
| Parameter | Parameters of Weibull Distribution | Hollander–Proschan Goodness-of-Fit Test | |||
|---|---|---|---|---|---|
| θ | c | b | stat | p | |
| BOD5 | 0.2151 | 1.2213 | 4.9595 | 0.1420 | 0.8870 |
| COD | −1.0000 | 2.8239 | 18.4340 | −0.1047 | 0.9165 |
| TSS | 0.6606 | 1.3697 | 6.0458 | 0.1876 | 0.8511 |
| Total Nitrogen | 25.9090 | 5.1395 | 64.7720 | 0.1636 | 0.8700 |
| Total Phosphorus | 2.0808 | 3.1134 | 5.4310 | 0.2207 | 0.8253 |
Publisher’s Note: MDPI stays neutral with regard to jurisdictional claims in published maps and institutional affiliations. |
© 2020 by the authors. Licensee MDPI, Basel, Switzerland. This article is an open access article distributed under the terms and conditions of the Creative Commons Attribution (CC BY) license (http://creativecommons.org/licenses/by/4.0/).
Share and Cite
Gizińska-Górna, M.; Jóźwiakowski, K.; Marzec, M. Reliability and Efficiency of Pollutant Removal in Four-Stage Constructed Wetland of SSVF-SSHF-SSHF-SSVF Type. Water 2020, 12, 3153. https://doi.org/10.3390/w12113153
Gizińska-Górna M, Jóźwiakowski K, Marzec M. Reliability and Efficiency of Pollutant Removal in Four-Stage Constructed Wetland of SSVF-SSHF-SSHF-SSVF Type. Water. 2020; 12(11):3153. https://doi.org/10.3390/w12113153
Chicago/Turabian StyleGizińska-Górna, Magdalena, Krzysztof Jóźwiakowski, and Michał Marzec. 2020. "Reliability and Efficiency of Pollutant Removal in Four-Stage Constructed Wetland of SSVF-SSHF-SSHF-SSVF Type" Water 12, no. 11: 3153. https://doi.org/10.3390/w12113153
APA StyleGizińska-Górna, M., Jóźwiakowski, K., & Marzec, M. (2020). Reliability and Efficiency of Pollutant Removal in Four-Stage Constructed Wetland of SSVF-SSHF-SSHF-SSVF Type. Water, 12(11), 3153. https://doi.org/10.3390/w12113153

