Abstract
The paper aims to assess the impact of deforestation due to windstorms on runoff in small mountain river basins. In the Boca and Ipoltica River basins, changes in forested areas were assessed from available historical and current digital map data. Significant forest losses occurred between 2004 and 2012. During the whole period of 1990–2018, forested areas in the Boca river decreased from 83% to 47% and in the Ipoltica River basin from 80% to 70%. Changes in runoff conditions were assessed based on an assessment of changes in the measured time series of the hydrometeorological data for the years 1981–2016. An empirical hydrological model was used to determine the design peak discharges before and after significant windstorms were estimated for different rain intensities and return periods. The regional climate scenario for the period 2070–2100 was used to assess the current impact of climate change and river basin deforestation on predicted changes in design floods in the coming decades. The effect of deforestation became evident in the extreme discharges, especially in future decades. In the Boca River basin, the estimated design floods increased by 59%, and in the Ipoltica River basin by 172% in the case of the 100-year return period.
1. Introduction
Environmental changes and their impact on hydrological regimes and the occurrence of extremes such as floods or droughts have been of topical interest in recent years all over the world. A hydrological regime is a set of natural and anthropogenic conditions that affect the surface and subsurface runoff from a river basin. The assessment of a runoff regime is undertaken for purposes of prevention or serves as a basis for the proposed measures within the river basin to alleviate extreme runoff situations.
In particular, land use changes and climate change have contributed to problems that have a direct or indirect impact on runoff regimes. Changes in land use have a strong effect on floods, as humans have heavily modified natural landscapes; large areas have been deforested or drained, thus either increasing or decreasing antecedent soil moisture and triggering erosion [1]. Among the various land cover types, the role of forests in catchment hydrology is highly consequential. According to many experimental studies, forest cover decreases discharges in river basins as a result of increased interception, transpiration and permeability of soils, and reduced soil moisture [1]. Such results can be found, e.g., in Brown et al. [2], where paired catchment studies were used for determining the changes in water yields on various timescales resulting from permanent changes in vegetation. Indirect effects of forest changes, which are caused mainly by the impacts of forest practices, include an increase in surface runoff and soil erosion on forest roads, and the development of gullies after deforestation, especially on steep terrains (e.g., Vose et al. [3]).
Deforestation is one of the oldest anthropogenic activities; one of the main reasons for it is due to changes in land use. In the case of forest catastrophes, whether as a result of a windstorm or an infestation of bark beetles, this is a serious problem. The main negatives of deforestation (either anthropogenic or from natural disasters) include the loss of biodiversity, soil erosion, landslides, and increased CO2 in the atmosphere. As a result, deforestation is a serious global threat and one of the most significant environmental problems in the world. The impact of deforestation on a hydrological regime is highly variable and often difficult to explain, but it is often determined that deforestation increases and reforestation decreases annual flows [4]. The summary of paired watershed studies by Andreassian [5] has shown that deforestation can increase both flood volumes and flood peaks, and this effect is much more variable than its effect on a total flow. On the other hand, forested catchments have greater infiltration rates, which may decrease catchment runoff [6]. A study by Suryatmojo [7] shows that a loss of forest increases soil erosion and the flow of streams and also reduces water quality and soil fertility.
There are various options for assessing the development of and changes in land use. One of them is the use of digital topographic maps, and, in particular, satellite images; they contribute to the knowledge of a landscape and the ability to analyse changes in its use and the occurrence of landscape features [8]. Various approaches applied to analyze the effects of land use changes on runoff and flooding include the analysis of empirical data and mathematical modelling, which are dominant in current hydrological research, particularly in combination with GIS tools [9]. A review of several widely-used hydrological models and their applicability to simulate the impact of land use and climate change is provided in Dwarakish, Ganasri [10]. In this paper, the empirical event-based hydrological model SCS-CN model, which is relatively easy to use and yields satisfactory results, was applied in combination with a GIS environment.
According to the Intergovernmental Panel on Climate Change (IPCC) [11], the climate will presumably be more variable or extreme in the future with a potential increase in the frequency of heavy rainfall. Recent research shows that the increase is likely to occur in intensities of short-term rain in durations of less than one day, which may lead to an increase in the extent and frequency of flash floods. Climate models are widely used to assess the past and make forecasts for the future. Outputs from regional climate models are mainly used for the analysis, which are then compared with actual observations. An analysis of the evidence leading to an increase in the incidence of extreme short-term rain due to anthropogenic climate change, as well as a description of the current physical understanding of the association between extreme short-term rainfalls and the atmospheric temperature, is needed to help society adapt to anticipated future changes in short-term rains [12]. The anticipated increase in the incidence of extreme precipitation totals has been confirmed by various studies from around the world, e.g., Tebaldi et al. [13], Koutsoyiannis et al. [14], Kyselý et al. [15], Skaugen and Førland [16], Lapin et al. [17], Wang et al. [18], Gaál et al. [19], Pascale et al. [20], Mamoon et al. [21], Hanel et al. [22], Gera et al. [23], Nepal [24], Taibi et al. [25].
In Slovakia, there have been a number of significant natural disasters in the last twenty years. The causative agent of those disasters was primarily an abiotic factor, such as wind, snow or ice, or a combination thereof. The effects of forests and deforestation on the water balance in river basins in Slovakia has been studied in many recent works, e.g., Kostka and Holko [26]; Hlavčová et al. [27]; Hlásny et al. [4]; Kohnová et al. [28].
This paper is devoted to changes in land use due to deforestation in two small mountain river basins, i.e., the Boca and Ipoltica River basins in Slovakia, which have been affected by severe windstorms in recent years. As a result of these disasters, large areas of these river basins have become deforested. For this study, analyses of the land use maps of the deforested areas before and after the windstorms were compared during the period 1981–2018. Next, the long-term development of the time series of the hydro-meteorological characteristics measured such as discharges, precipitation, and air temperatures in the periods of 1981–2016 and 2005–2016 were further compared. The SCS-CN methodology was applied to estimate any changes in design floods before and after the disasters. The development of and possible changes in the design floods in the deforested river basins in future decades was estimated using scenario outputs of the Community Land Model (CLM), a regional climate model.
The main objective of this study was to propose a methodology for estimating design floods in small mountainous deforested ungauged basins in the future decades that is based on the scaling of scenario designs of short-term rainfalls and a simple hydrological event-based model.
The following steps fulfilled these objectives: (1) analysis of the land use maps and identification of any changes in land use before and after the occurrence of the windstorms in the case studies. (2) Evaluation of the long-term regime of the time series of the hydrometeorological data, and where possible, identification of changes in runoff caused by climatic or anthropogenic influences. (3) Simulation of changes in design floods after the windstorms. (4) Estimation of potential changes in the design floods in the deforested river basins in future decades as a result of climate change.
2. Area of the Case Study
Many mountainous areas in Slovakia have been affected by severe windstorms in recent decades that caused significant deforestation in a large number of river basins. It is assumed that these changes also affected the runoff conditions in the case study area of the Boca and Ipoltica River basins (Figure 1). The Boca and Ipoltica River basins are located in the Low Tatras National Park of the district of Liptovský Mikuláš, which lies in northern Slovakia.
Figure 1.
Location map of the basins analysed (© GKÚ, NLC; Slovakia, 2017–2019) and illustration of the state of the deforestation on the Boca River basin in 2015.
From a geomorphological point of view, the Boca and Ipoltica River basins belong to the Ďumbier Tatras subunit. The soil in these river basins is mostly silt and sandy loam, as well as loam and loamy sand in smaller quantities. Specific to this area are spruce forests.
2.1. Boca River Catchment
The Boca River basin, with its outlet at the Malužiná gauging station, has a basin area of 81.93 km2; it is a left tributary of the Váh River. It springs in the Low Tatras at an altitude of approximately 1400 m above sea level. The average altitude of the basin is 1114 m a. s. l. and the average slope is 22.1 degrees (Figure 2).
Figure 2.
Elevation, slope map, and land cover classification for the Boca and Ipoltica River basins.
In 1990, 82.76% of the area was covered by forests, but by 2018, this area had decreased to 46.8%. The deforested areas have mostly been replaced by transitional woodland shrubs.
2.2. Ipoltica River Catchment
The Ipoltica River basin, with its outlet at the Čierny Váh gauging station, is a left tributary of the Čierny Váh River. The basin area is 86.25 km2. It springs in the Low Tatras in the Kráľovohoľské Tatras at an altitude of about 1405 m a. s. l. The average altitude of the basin is 1118 m a. s. l., and the average slope is 22.3 degrees (Table 1). In 1990, forests used to cover 79.51% of this area. By 2018, the area with forests had been reduced to 70.34%; instead of forests, transitional woodland-shrubs started to spread (Table 2). There is a dense forest stand in the basin, which has no urban area.
Table 1.
Basic characteristics of the basins analysed (P–precipitation, Q–discharge, T–air temperature–average values for the period 1981–2016).
Table 2.
The percentage of land use categories in 2018 for the Boca and Ipoltica River basins (CF–coniferous forest, MF–mixed forest, TW–transitional woodland-shrub, G–grasslands, AL–agriculture land, P–pastures, UA–urbanized area).
3. Materials and Methods
A number of significant windstorms have been recorded in the area of the Low and High Tatras since 1996 (Table 3). Additionally, uprooted trees have been attacked by bark beetles, which have a rapid reproductive capacity. The condition and health of the forests in the mountain areas with a predominance of spruce stands have deteriorated, especially after the most significant and widespread wind disaster of 2004 (known as “Elizabeth”) [29].
Table 3.
Overview of significant windstorms (disasters) of northern and central Slovakia.
Significant impacts resulting in changes in forest cover in the Boca River basin occurred in 2004 (Alžbeta), 2007 (Kyrill and Filip), and 2014 (Žofia). A bark beetle outbreak followed these windstorms. Alžbeta, the most severe windstorm, affected a large part of the High Tatras National Park and a substantial part of the Low Tatras National Park. The wind speed was 140 km/h with gusts up to 240 km/h [30]. In addition to a landslide, the storm also resulted in an extreme infestation of the undergrowth by insects; they attacked the areas of the forest affected by the calamity and continued spreading to a healthy part of the forest.
The Žofia windstorm damaged a large part of the Low Tatras. The gusts reached a speed of up to 100 km/h, which, together with intensive rainfall activity (141 mm per 24 h), caused great devastation to the area, including young forest stands. The soil saturated by the rainfall combined with the extreme wind force resulted in damaged trees and degraded vegetation over a large area [30].
3.1. Land Use Analysis
The CORINE Land Cover (CLC) is one of the most well-known European Environmental Agency databases. The CLC data are commonly used at various hierarchical levels of detail [31] and provide information on the biophysical characteristics of the Earth’s surface. Observation satellites are used as the primary source data to derive land cover and land use information. Despite limitations in its spatial resolution, the database has become a primary spatial data source.
In this study, CLC data, specifically vector digital maps from 1990, 2006, 2012, and 2018 were used to describe changes in land cover; they were processed in an ArcGIS environment (Figure 3 and Figure 4).
Figure 3.
Boca River basin—CORINE Land Cover 1990, 2006, 2012, and 2018.
Figure 4.
Ipoltica River basin—CORINE Land Cover 1990, 2006, 2012, and 2018.
3.2. Analysis of the Hydrometeorological Data
The hydrometeorological data used in our analysis includes daily average discharges, the air temperatures, and precipitation from the Slovak Hydrometeorological Institute (SHMI), for the period 1981–2016. Data from two hydrological stations ((Malužiná (ID 5336), Čierny Váh (ID 5530), and four climatological stations (Liptovský Hrádok (ID 11874), Vyšná Boca (ID 20160), Liptovská Teplička (20020), and Králová Lehota (ID 20140)) were evaluated. In this study, an estimate of changes in the runoff after demonstrated changes in the basin was made. The variance of the monthly data for the whole period of the time series 1981–2016 and the period 2005–2016 after the changes based on the differences in land use was evaluated.
Scaling of Short-Term Rainfall and Future Rainfall Scenarios
Subsequently, hourly, and daily precipitation data were used from the two climatological stations (Vyšná Boca (ID 20160) and Liptovská Teplička (ID 20020)) for the estimation of the IDF curves and short-term design rainfall. A simple scaling method is used to process rainfall data for a period of time shorter than one day. Simple scaling determines the design values for a duration shorter than one day and for a selected time period by using daily rainfall records that are commonly available. Applying simple scaling to the relationship between the IDF properties of short-term rainfall is possible. The determination of the rainfall scaling properties is based on the general shape of the following IDF formula in the form [32]:
where i is the rainfall intensity; T is the return period; d is the duration of the rainfall. The function a(T) can be determined from the probability distribution function of the maximum rainfall intensity, and b(d) is the duration function of the rain given by the formula:
where θ, η are the parameters to be estimated (θ > 0, 0 < η < 1).
Simple scaling that used the scaling of the statistical moments was applied in this paper. The Id and Iλd are annual maximum rainfall intensity series for the rainfall durations d and λd defined by [33]. The random variables Id and Iλd have the following scaling property:
where equality is understood in the sense of the equality of the probability distributions, and β represents the scaling exponent. This property is usually referred to as “simple scaling in the strict sense” [34]. If Iλd has finite moments, of order n, then the strict sense of the simple scaling in Equation (3) implies that and have the same probability distribution. Therefore, they have the same moments and are given by the following formula [35]:
where βn represents the scaling exponent of the n-th order. To obtain the value of βn, Equation (4) can be transformed as
The scaling exponents were estimated with a linear regression from the slope between the logarithmic moment values and the scaling parameters for the different order of the moments. The scaling exponents, βn can be estimated from the slope of the linear regression relationships between the log-transformed values of moment and scale parameters log λ for the various orders of moment (n). If the scaling exponent and order of moment have a linear relationship, then βn = nβ1, in which β1 is the scaling exponent of order 1. This property is referred to as “wide sense simple scaling”. If the above linear relationship does not exist, a multiscaling approach has to be considered [36].
3.3. Future Climate Change Scenarios
The data used in the analysis for the estimation of the future changes in short-term rainfall intensities and their subsequent impact on runoff extremities were created by a CLM simulation with a SRES A1B scenario, which is a semi-pessimistic scenario with a predicted increase in the global temperature of 2.9 °C by 2100. The data were provided by Dr. Martin Gera from Comenius University in Bratislava, Department of Astronomy, Physics of the Earth, and Meteorology.
CLM Scenario
The scenario was created as a collaborative project between scientists from several working groups from the USA, namely, the Terrestrial Sciences Section (TSS) and the Climate and Global Dynamics Division (CGD) at the National Center for Atmospheric Research (NCAR) and the Community Earth System Model (CESM), the Land Model, and the Biogeochemistry Working Groups. Ecological climatology concepts have been implemented in the model. Ecological climatology is a multidisciplinary structure that is used to understand the impacts of changes in vegetation on the climate. The scenario examines physical, chemical, and biological processes by which terrestrial ecosystems influence and are influenced by the climate on various spatial and temporal scales. The main motive is that terrestrial ecosystems are essential factors of the climate through their energy, water, chemical elements, and trace gases. The main parts of the model consist of surface heterogeneity, bio-geophysics, the hydrological cycle, biogeochemistry, ecosystem dynamics, and the human dimension. The CLM addresses several aspects that allow for the study of two-way interactions between human activities in the countryside and the climate, changes in land cover/land use, agricultural practices, and urbanization [37,38,39].
The CLM scenario data consists of hourly rainfall intensities for two time periods, i.e., a historical (1961–2020) and a future (2071–2100) period.
The seasonality and trend analyses were performed for two climatological stations, namely, Liptovská Teplička and Vyšná Boca. The Liptovská Teplička climatological station is located 903 m a. s. l.; the Vyšná Boca climatological station is located 948 m a. s. l. in the northern part of Slovakia. The area belongs to a slightly warm climatic region with a mountain climate and low-temperature inversions.
The results of the predicted rainfall intensities were compared to the actual measured rainfall data in hourly time steps, which were provided by the Slovak Hydrometeorological Institute for the 1995–2009 period for Liptovská Teplička. For the Vyšná Boca climatological station, only daily rainfall data for the 1981–2017 period were available.
3.4. SCN CN Methodology
The method of The Soil Conservation Service–Curve Number (SCS-CN) was developed by the United States Department of Agriculture–Natural Resources Conservation Service (USDA–NRCS), which was formerly called the Soil Conservation Service (SCS) [40,41]. It is used for estimating the volume of direct surface runoff characteristics for small basins in ungauged rural catchments where there are no measurements or observations of direct flows [42,43,44,45]. This method is used to predict direct surface runoff volume for a given rainfall event and to estimate the volume and peak rate of surface runoff [46]. A Curve Number (CN), which is the main parameter in this model, is based on an empirical study of runoff in small watersheds and hill slopes [47].
The primary reason for the method’s widespread applicability and acceptability lies not only in the fact that it is empirical and simple to apply, but also in that it accounts for most runoff-producing watershed characteristics, e.g., soil types, land use/treatments, surface conditions, and antecedent moisture conditions [48].
As shown in Mishra et al. [40], the SCS-CN method is based on the following equations:
where: P–total rainfall (mm), Ia–initial abstraction (mm), Q–direct runoff (mm), λ–initial abstraction coefficient (-), S–maximum potential retention or infiltration (mm), CN–Curve Number (-).
When applying the CN method to calculate design floods in the Boca and Ipoltica River basins, the design rainfall was used as an input rainfall, and the initial abstraction coefficient was set to be equal to zero.
4. Results and Discussion
4.1. Land Use Analysis
Corine CLC maps were used to assess land-use changes from the period 1990–2018 (Figure 3 and Figure 4). The area with forests was considerably reduced after 2006, which we can see in the visual analysis. This is the period after the greatest calamity, i.e., Alžbeta, in 2004 (note: the satellite maps are processed with a time interval of +/− 1 year).
Table 4 shows all the data obtained from the CLC digital maps. ArcGIS was applied as an evaluation tool.
Table 4.
The percentage of land use categories from CLC data (1990, 2006, 2012 and 2018).
Significant changes in land use have been recorded in the Boca River basin. In 1990, 83.42% of the area was covered by forests; by 2018, this area had decreased to 46.8%. The deforested areas have mostly been replaced by transitional woodland shrubs. The Ipoltica River basin showed slight changes in comparison with the Boca River basin during the period 1990–2018. In 1990, forests used to cover 79.51% of this area. By 2018, the area with forests was reduced to 70.34%; instead, forests and transitional woodland-shrubs started to spread.
4.2. Analysis of Hydrometeorological Data
The long-term annual and monthly mean discharges and the trends in the selected discharge stations were compared. Trends were determined by a linear regression for the time period 1981–2016. The statistical significances of the trends were estimated by the Mann-Kendall non-parametrisation test. The comparison of the long-term data was provided between the period after the greatest calamity, i.e., Alžbeta (2005–2016) and before the calamity period (1981–2004). Subsequently, the comparison of the long-term data between the whole (1981–2016) and the post-deforestation (2005–2016) period was done.
4.2.1. Boca River Basin
The mean annual discharges showed an increasing trend for the Malužiná station outlet (Figure 5a). The linear trends in each month were detected too. A decreasing trend can be observed in April, June, and July. Increasing trends occurred in January, February, March, May, August, September, October, November, and December. The statistical analysis showed that the statistical significance, which was based on the Mann-Kendall test, achieved a 90% level of significance in all the months, except for February, March, October, November, and December. Comparisons of the mean monthly discharges between the pre- and post-deforestation periods (after the Alžbeta windstorm, 2004) show increases in discharges for all the months (Figure 5c). The highest differences are in the months of March and April. Comparisons of the mean monthly discharges between the whole and post-deforestation periods also show the differences (Figure 5d). The box plot (min., max., and median values) of the average monthly discharge is shown in Figure 5b.


Figure 5.
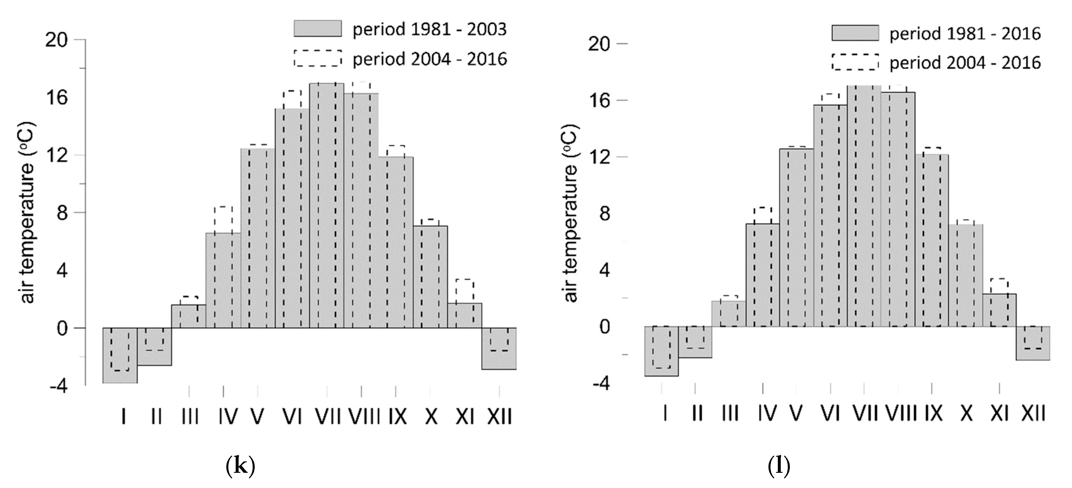
(a–i) Analysis of the hydrometeorological data–Boca River basin. (a) time series of annual discharges–average (black line), minimum (red line); (b) box plot of monthly discharges (1981–2016); (c) average monthly discharge for period 1981–2003 and period 2004–2016; (d) average monthly discharge for period 1981–2016 and period 2004–2016; (e) time series of annual precipitation totals; (f) box plot of monthly precipitation (1981–2016); (g) average monthly precipitation for period 1981–2003 and period 2004–2016; (h) average monthly precipitation for period 1981–2016 and period 2004–2016; (i) air temperature—annual (black line), summer season (red line) and winter season (blue line); (j) box plot of monthly air temperature (1981–2016); (k) average monthly air temperatures for period 1981–2003 and period 2004–2016; (l) average monthly air temperatures for period 1981–2016 and period 2004–2016.
A runoff regime is also associated with climatological conditions; therefore, the precipitation totals for the monthly and annual time steps were analyzed. The linear trend of the annual precipitation totals is increasing (Figure 5e). The box plot of the monthly precipitation totals is shown in Figure 5f, where the maximum precipitation totals in the summer months can be seen. The average monthly precipitation was also observed in different periods (before and after the calamity period, a comparison of the whole and post-calamity period), where, in addition to the months of April, September, and December, increased total precipitation was detected (Figure 5g,h).
The analysis of the air temperature revealed an increasing linear trend of the average annual temperature, as well as the temperatures in the summer and winter half-years (Figure 5i). The highest temperatures are in the summer months of June, July, and August. An increase in temperature was observed in all the months except for July when comparing the periods (Figure 5k,l).
4.2.2. Ipoltica River Basin
The annual discharges showed an increasing trend at the Čierny Váh station outlet (Figure 6a). Next, the linear trends of the discharges in each month were detected. Decreasing trends occurred in April, May, June, October, November, and December. Increasing trends were seen in January, February, March, July, August, and September. According to the statistical analysis, the Mann-Kendall test (with a 90% level of significance) achieved significance in all the months except May. Comparisons of the mean monthly discharges between the pre- and post-deforestation periods showed increases in discharges for all the months except May (Figure 6c). Comparisons of the mean monthly discharges between the whole and post-deforestation periods show a difference too (Figure 5d). The box plot of the average monthly discharge is shown in Figure 6b.

Figure 6.
(a–i) Analysis of the hydrometeorological data–Ipoltica River basin. (a) time series of annual discharge—average (black line), minimum (red line); (b) box plot of monthly discharge (1981–2016); (c) average monthly discharge for period 1981–2003 and period 2004–2016; (d) average monthly discharge for period 1981–2016 and period 2004–2016; (e) time series of annual precipitation totals; (f) box plot of monthly precipitation (1981–2016); (g) average monthly precipitation for period 1981–2003 and period 2004–2016; (h) average monthly precipitation for period 1981–2016 and period 2004–2016; (i) air temperature—annual (black line), summer season (red line) and winter season (blue line); (j) box plot of monthly air temperature (1981–2016); (k) average monthly air temperatures for period 1981–2003 and period 2004–2016; (l) average monthly air temperatures for period 1981–2016 and period 2004–2016.
The linear trend of the annual precipitation totals is increasing (Figure 6e). The box plot of the monthly precipitation totals is shown in Figure 6f with the maximum precipitation totals. The average monthly precipitation was observed in two periods (between the pre and post-calamity period, a comparison of the whole and post-calamity period), where, in addition to the months of April and September, an increase in total precipitation was observed (Figure 6g,h).
The analysis of the air temperature revealed an increasing linear trend of the average annual temperature, as well as the temperatures in the summer and winter half-years (Figure 6i). The highest air temperatures were in the summer months of June, July, and August. An increase in air temperature was observed in all the months except for the month of July when comparing the periods (Figure 6k,l).
4.3. Analysis of Short-Term Rainfall Trends and Seasonality Changes
The short-term rainfall data analysis consists of the analysis of the trends and seasonality changes in the warm period for all the time periods selected and for the selected rainfall durations of 60, 120, 180, 240 and 1440 min.
At both of the analyzed climatological stations, i.e., Liptovská Teplička and Boca, the short-term extreme rainfall events with durations from one hour up to 1 day occurred in July, except for the historical period modelled in the Liptovská Teplička climatological station. For the future scenario, a shift in the rainfall extremes was seen in a later period of the month of July. For the seasonality characteristics of short-term rainfall intensities, Burn’s vector methodology [49] was applied; it describes the variability of the date when an extreme rainfall event occurs, so that the direction of the vector corresponds to the expected day of the occurrence during the year, while its length describes the variability around the expected date of the occurrence of the extreme rainfall event. The results are shown in the unit circles (Burn’s diagrams) and can be seen in Figure 7 and Figure 8. The properties of the trend are determined by the Mann-Kendall [50,51] trend test. This method is used for determining and assessing the properties and significance of the trends in a selected quantity over time. The trend analysis showed increasing trends represented by + in the short-term rainfall intensities for the future period as well as for the actual observed data for a duration longer than 60 min, but all the trends were not significant at both of the climatological stations analyzed. The decreasing trends were observed in the actual observations in the 60 and 1440 min durations (Table 5 and Table 6).
Figure 7.
Burn´s diagram for a rainfall duration of 60 min for the Liptovská Teplička and Vyšná Boca climatological stations.
Figure 8.
Burn´s diagram for a rainfall duration of one day at the Liptovská Teplička and Vyšná Boca climatological stations.
Table 5.
Trend analysis of short-term rainfall intensities for the Liptovská Teplička climatological station—Boca River basin.
Table 6.
Trend analysis of short-term rainfall intensities for the Vyšná Boca climatological station—Boca River basin.
Simple Scaling Results
The estimation of the IDF curves of the rainfall intensities was performed using scaling exponents. The scaling exponents were determined by a simple scaling methodology with the base on a scaling of the statistical moments. The results are shown in Table 7, where the scaling exponents from the Liptovská Teplička and Vyšná Boca climatological stations are presented. For the Vyšná Boca climatological station, we could not derive the scaling exponent for the actual measured data due to the lack of actual measured short-term rainfall data. In this case, the scenario-based scaling exponent from the historical period was used for the subsequent analysis for downscaling the actual daily rainfalls from the Vyšná Boca climatological station. The scaling exponents have a declining character in the future, which is caused by less extreme events in the scenario data. Apart from these results, the IDF curve values are not lower for the future horizons, due to an increase in the daily precipitation totals that were used for downscaling. The downscaled values of the rainfall intensities were finally higher. As an example, the IDF curves for both stations and periodicity p = 0.01 are presented in Figure 9 and Figure 10.
Table 7.
Scaling exponents for the stations analyzed for the historical and future periods.
Figure 9.
IDF curves for the Liptovská Teplička climatological station for the periodicity p = 0.01.
Figure 10.
IDF curves for the Vyšná Boca climatological station for the periodicity p = 0.01.
4.4. Effect of Land Use and Climate Change on Design Flood
In the next step, the research focused on an analysis of the changes in extreme discharge caused by changes in land use and climate. The study was performed for the Boca and Ipoltica River basins. These areas have been affected by a number of severe windstorms in recent decades, which have had a significant impact on changes in the forest cover. The most significant windstorms occurred in 2004 (Alžbeta) and 2007 (Kyrill and Filip); later, bark beetle outbreaks occurred there.
When the SCS-CN method was applied for the design flood calculations, the initial abstraction coefficient was set equal to zero, and the short-term design rainfall was used as a total input rainfall.
The values of the main parameter CN (Table 8 and Table 9), which depend on land surface characteristics and hydro-soil conditions, were selected from the CN table values [52]. Based on the soil type analysis, both river basins were classified in the B hydrological soil group.
Table 8.
The selected values of the CN parameter for the Boca Basin (A–basin area; CN–Curve Number value; CNw–weighted CN value).
Table 9.
The selected values of the CN parameter for the Ipoltica River Basin (A–area; CN–Curve Number value; CNw–weighted CN value).
Effect of Changes in Land Use on Design Floods
This part of the research focuses on the changes in runoff caused by changes in land use for the period from 1990 (before the significant windstorms) to 2018 (“present”/latest available CLC land use). The design flood (runoff) QN was estimated for 1990 and 2018 and for return periods (N) of 10, 20, 50, and 100 years.
The design values of the short-term rainfalls from actual observations for the Vyšná Boca (Figure 11) and Liptovská Teplička (Figure 12) climatological stations were used for the analysis.
Figure 11.
The actual design values of the short-term rainfall for the Vyšná Boca climatological station.
Figure 12.
The actual design values of the short-term rainfall for the Liptovska Teplička climatological station.
The duration of the design short-term rainfall was selected according to the time of the concentration, which was calculated from the mean runoff velocity along the runoff path (determined according to Alena [53]). The time of concentration and runoff velocity is affected by the slope of the terrain and the land use and land cover along the runoff´s path. In the case of the Boca River basin, the land use along the path has changed significantly over time; hence, the time of concentration/duration for 1990 (80 min) is different than that for 2018 (69 min). In the case of the Ipoltica River, the duration of the design short-term rainfall was determined to be equal to 84 min for 1990 and 2018.
Rainfall intensities for the 1941–1944 period from the Vyšná Boca climatological station were used for the estimation of the design flood in the Boca River basin. The data from the Liptovská Teplička climatological station consists of rainfall intensities for the 1995–2009 period and were used for the estimation of the design floods in the Ipoltica River basin.
The calculations and results of the design floods in the Boca River basin estimation using the design values of the short-term rainfall for the Vyšná Boca climatological station for the actual period are shown in Table 10.
Table 10.
Estimation of the design floods for the Boca River basin using the actual design values of short-term rainfall (N–return period; P–design values of short-term rainfall; CNw–weighted CN value; S–maximum potential retention; QN–the design flood).
When the results from Table 8 are compared, the values of the design floods increased by 31% in the case of the 10-year return period, by 31% in the case of the 20-year return period, and by 30% in the case of the 50 and 100-year return periods.
The calculations and results of the estimation of the design floods in the Ipoltica River basin using the design values of the short-term rainfall for the Vyšná Boca climatological station for the actual period are shown in Table 11.
Table 11.
Estimation of the design floods for the Ipoltica River basin using the actual design values of the short-term rainfall (N–return period; P–design values of short-term rainfall; CNw–weighted CN value; S–maximum potential retention; QN–the design flood).
When the results from Table 11 are compared, the values of the design floods increased by 20.5% in the case of the 10-year return period, and by 20% in the case of the 20, 50, and 100-year return periods.
From the results in Table 10 and Table 11, it can be concluded that the effect of the changes in land use considerably influenced the values of the design floods. In both river basins, the increase in the design floods was mostly caused by the changes in land use, more specifically by the deforestation. In the Boca River basin, the forests have decreased by 36% since 1990, while in the Ipoltica River basin, the forests decreased by 9%. The forests were mostly replaced by transitional woodland shrubs, which neither slow down the runoff nor absorb rainfall as well as a forest.
4.5. Effect of Climate Change on Design Floods
Subsequently, we focused on the changes in extreme discharges caused by climate change. The calculations of the design floods were performed using the latest available land use data (from 2018). The climate change is represented by data from the Regional Climate Model (RCM) scenario for the Vyšná Boca and Liptovská Teplička climatological stations. The rainfall data from the CLM simulation were provided by Dr. Martin Gera from Comenius University in Bratislava [17]. The RCM scenario used consists of the rainfall intensities for the future period (2070–2100). The RCM scenario selected for the simulation of the climate was the SRES A1B scenario, which is a semi-pessimistic scenario with an increase in the global warming temperature of about 2.9° by the year 2100. This scenario relates well to the current processes in the atmosphere.
The estimation of changes in the design floods (QN) is provided for the period 2070–2100 for the return periods (N) of 10, 20, 50, and 100 years (Figure 13 and Figure 14).
Figure 13.
The future downscaled design rainfall intensities for the Vyšná Boca climatological station.
Figure 14.
The future downscaled design rainfall intensities for the Liptovska Teplička climatological station.
The calculations and results of the estimation of the design floods using the downscaled data for the future scenarios for the Vyšná Boca and Liptovská Teplička climatological stations are shown in Table 12.
Table 12.
Estimation of the design floods using the design values of the rainfall intensities from the future scenarios (N–return period; P–design values of short-term rainfall; CNw–weighted CN value; S–maximum potential retention; QN–the design flood).
A comparison of the results from the calculations using the actual design values of the rainfall intensities and the design values of the rainfall intensities from the future scenario are shown in Table 13.
Table 13.
Comparison of the design floods using the actual design values of the rainfall intensities and the design values of the rainfall intensities from the future scenarios.
When the results from the calculations of the design floods using the actual design values of the rainfall intensities and the design values of the rainfall intensities from the future scenarios are compared, it can be concluded that the results predict even more increased values of the design floods. In the Boca River basin, the estimated design floods increased about 15% in the case of the 10-year return period, by 28% in the case of the 20-year return period, by 45.7% in the case of the 5- year return period, and by 59% in the case of the 100-year return period. In the Ipoltica River basin, the estimated design floods increased by 60% in the case of the 10-year return period, by 95% in the case of the 20-year return period, by 141% in the case of the 50-year return period, and by 172% in the case of the 100-year return period. From the results we can conclude that the impact of the predicted climate change increases with the return period.
5. Discussion and Conclusions
Environmental changes, particularly changes in land use, overall land use, and climate change, and their impact on water regimes as well as the occurrence of floods have been issues of tropical concern in recent years. Forests play a crucial role in the partitioning of water into surface flow, subsurface flow, and evapotranspiration. Deforestation can strongly impair the hydrological functioning of forested systems.
In recent decades, many regions in Slovakia have been affected by severe windstorms that caused significant deforestation, especially in mountainous river basins. It is assumed that these changes also affected the runoff conditions in the case study area of the Boca and Ipoltica River basins located in the Low Tatras National Park of the district of Liptovský Mikuláš, which lies in northern Slovakia.
To examine the changes in land use due to deforestation in the Boca and Ipoltica River basins, we first analysed the CLC maps. Based on the analysis of the CLC maps from the period 1990–2018, changes in land use before and after the occurrence of the windstorms in these river basins were identified. From the comparison, we can conclude that after Alžbeta, the most significant windstorm in 2004, the areas of the forests (coniferous and mixed) decreased from 83% to 79% of all the basin areas in the Boca River basin. After the Kyril windstorm in 2006, the areas of forests decreased from 79% to 50% in the Boca River basin and from 82% to 73% in the Ipoltica River basin. During the whole period of 1990–2018, forested areas in the Boca river decreased from 83% to 47% (by almost 40%) and in the Ipoltica river basin from 8% to 70% (by almost 10%).
In the next step, an analysis of the hydrometeorological data was performed. An increasing trend in the average annual discharge was found in the Boca and Ipoltica River basins. The largest scatter was demonstrated in the months of April and May, which was to be expected due to the spring melting of the snow cover. Compared to the periods before and after the first significant calamity (as well as after the calamity and the whole period), a decrease in flows was detected in June in the Boca River basin, and a decrease in May and October occurred in the Ipoltica River basin. The analysis of the precipitation data revealed an upward trend in annual totals in both river basins. The largest variance within the year was recorded in the summer months. A comparison of the two periods before and after the calamity, as well as after the calamity and the whole period, showed lower total precipitation in April and October (in both river basins). The expected rising trend of temperatures was also found in this case (the increase in temperature is reflected in the greater evaporation, which indirectly affects the condition of the surface). An interesting finding was that the increase in the average monthly temperature was reflected in all the months except July, and the most significant difference compared to the two periods was in April. This probably also results in an increase in runoff from the river basin in the spring, especially in April. The cause of this behavior may be the earlier snow-melting of the river basin. Earlier snowmelt was also demonstrated in the study by Hríbik et al. [54] on unforested areas in central Slovakia. The direct relationship between the increase or decrease in total precipitation per runoff regime did not occur in any of the river basins.
Despite the fact that deforestation due to wind calamities in both river basins had no clear response in terms of changes in the measured discharge data in a monthly time step, the effect of deforestation became evident in the extreme discharges. The design values of the rainfalls from the actual observations of the analysed climatological stations and the Corine Land Cover land use map for 1990 and 2018 were used as inputs for the calculation of the changes in the design floods. The design floods (QN) were estimated for return periods (N) of 10, 20, 50 and 100 years, using the Soil Conservation Service—Curve Number method, ArcGIS software, and raster tools. From the results we can conclude that the effects of the changes in land use have considerably influenced the values of the design floods. In both river basins, the increase in the design flood was mostly caused because of changes in land use, more specifically by deforestation. In the Boca River basin, the forests have decreased by 36% since 1990, while in the Ipoltica River basin, the forests decreased by 9%. When the results from the calculations of the design floods using the actual design values of the rainfall intensities and the design values of the rainfall intensities from the future scenarios are compared, it can be concluded that the results predict even more increased values of design floods. In the Boca River basin, the estimated design floods increased by 59%, and in the Ipoltica River basin by 172% in the case of the 100-year return period. From the results we can conclude that the impact of climate change increases with the return periods. All the results presented can be used for water management planning and flood protection measures proposed in the basins studied.
Author Contributions
Conceptualization: M.D., G.F., M.M.L., S.K., K.H.; methodology, M.D., G.F., M.M.L., S.K., K.H.; formal analysis, M.D., G.F., M.M.L.; investigation, M.D., G.F., M.M.L.; writing-original draft preparation, M.D., G.F., M.M.L.; writing-review and editing S.K., K.H.; visualization, G.F., M.D. All authors have read and agreed to the published version of the manuscript.
Funding
This work was supported by the Slovak Research and Development Agency under Contracts No. APVV-19-0340, APVV-18-0347, the VEGA Grant Agency No. 1/0632/19. The authors thank the Agencies for the research support.
Conflicts of Interest
The authors declare no conflict of interest.
References
- Rogger, M.; Agnoletti, M.; Alaoui, A.; Bathurst, J.C.; Bodner, G.; Borga, M.; Chaplot, V.; Gallart, F.; Glatzel, G.; Hall, J.; et al. Land use change impacts on floods at the catchment scale: Challenges and opportunities for future research. Water Resour. Res. 2017, 53, 5209–5219. [Google Scholar] [CrossRef]
- Brown, E.A.; Zhang, L.; McMahon, A.T.; Western, W.A.; Vertessy, A.R. A review of paired catchment studies for determining changes in water yield resulting from alterations in vegetation. J. Hydrol. 2005, 310, 28–61. [Google Scholar] [CrossRef]
- Vose, J.M.; Sun, G.; Ford, C.R.; Bredemeier, M.; Otsuki, K.; Wei, X.; Zhang, Z.; Zhang, L. Forest ecohydrological research in the 21st century: What are the critical needs? Ecohydrology 2011, 4, 146–158. [Google Scholar] [CrossRef]
- Hlásny, T.; Kočický, D.; Maretta, M.; Sitková, Z.; Barka, I.; Konôpka, M.; Hlavatá, H. Effect of deforestation on watershed water balance: Hydrological modelling-based approach. Lesn. Cas. For. J. 2015, 61, 89–100. [Google Scholar]
- Andreassian, V. Waters and forests: From historical controversy to scientific debate. J. Hydrol. 2004, 291, 1–27. [Google Scholar] [CrossRef]
- Zhang, T.; Zhang, X.; Xia, D.; Liu, Y. An Analysis of land use dynamics and its impacts in hydrological processes in the Jialing River Basin. Water 2014, 6, 3758–3782. [Google Scholar] [CrossRef]
- Suryatmojo, H. Rainfall-runoff investigation of pine forest plantation in the upstream area of Gajah Mungkur reservoir. Procedia Environ. Sci. 2014, 28, 307–314. [Google Scholar] [CrossRef]
- Danáčová, M.; Hlavčová, K.; Labat, M.M. Možnosť posúdenia zmien využitia krajiny na odtokový režim v povodí toku Boca. Czech J. Civil Eng. 2019, 5, 40–46. [Google Scholar]
- Váňová, V.; Langhammer, J. Modelling the impact of land cover changes on flood mitigation in the upper Lužnice basin. Hydrol. Hydromech. 2011, 59, 262–274. [Google Scholar] [CrossRef]
- Dwarakish, G.; Ganasri, B. Impact of land use change on hydrological systems: A review of current modeling approaches. Cogent Geosci. 2015, 1, 1115691. [Google Scholar] [CrossRef]
- Intergovernmental Panel on Climate Change. Climate Change 2013. The Physical Science Basis. Contribution of Working Group I to the Fifth Assessment Report of the Intergovernmental Panel on Climate Change; Cambridge University Press: Cambridge, UK; New York, NY, USA, 2013; ISBN 9781107661820. [Google Scholar]
- Westra, S.J.; Fowler, H.J.; Evans, J.P.; Alexander, L.V.; Berg, P.; Johnson, F.R.; Kendon, E.J.; Lenderink, G.; Roberts, N.M. Future changes to the intensity and frequency of short-duration extreme rainfall. Rev. Geophys. 2014, 52, 522–555. [Google Scholar] [CrossRef]
- Tebaldi, C.; Hayhoe, K.; Arblaster, J.M.; Meehl, G.A. Going to the Extremes. Clim. Chang. 2006, 79, 185–211. [Google Scholar] [CrossRef]
- Koutsoyiannis, D.; Efstratiadis, A.; Mamassis, N.; Christofides, A. On the credibility of climate predictions. Hydrol. Sci. J. 2008, 53, 671–684. [Google Scholar] [CrossRef]
- Kyselý, J.; Gaál, L.; Beranova, R. Projected Changes in Flood-Generating Precipitation Extremes Over the Czech Republic in High-Resolution Regional Climate Models. J. Hydrol. Hydromech. 2011, 59, 217–227. [Google Scholar] [CrossRef]
- Engen-Skaugen, T.; Førland, E.J. Future changes in extreme precipitation estimated in Norwegian catchments. Met Rep. 2011, 1, 1–28. [Google Scholar]
- Lapin, M.; Bašták-Ďurán, I.; Gera, M.; Hrvoľ, J.; Kremler, M.; Melo, M. New climate change scenarios for Slovakia based on global and regional general circulation models. Acta Met. Univ. Comen. 2012, 37, 25–74. [Google Scholar]
- Wang, D.; Hagen, S.C.; Alizad, K. Climate change impact and uncertainty analysis of extreme rainfall events in the Apalachicola River basin, Florida. J. Hydrol. 2013, 480, 125–135. [Google Scholar] [CrossRef]
- Gaál, L.; Beranová, R.; Hlavčová, K.; Kyselý, J. Climate Change Scenarios of Precipitation Extremes in the Carpathian Region Based on an Ensemble of Regional Climate Models. Adv. Meteorol. 2014, 2014, 1–14. [Google Scholar] [CrossRef]
- Pascale, S.; Lucarini, V.; Feng, X.; Porporato, A.; Hasson, S.U. Projected changes of rainfall seasonality and dry spells in a high greenhouse gas emissions scenario. Clim. Dyn. 2015, 46, 1331–1350. [Google Scholar] [CrossRef]
- Al Mamoon, A.; Joergensen, N.E.; Rahman, A.; Qasem, H. Design rainfall in Qatar: Sensitivity to climate change scenarios. Nat. Hazards 2016, 81, 1797–1810. [Google Scholar] [CrossRef]
- Hanel, M.; Pavlásková, A.; Kysely, J. Trends in characteristics of sub-daily heavy precipitation and rainfall erosivity in the Czech Republic. Int. J. Clim. 2015, 36, 1833–1845. [Google Scholar] [CrossRef]
- Gera, M.; Damborská, I.; Lapin, M.; Melo, M. Climate Changes in Slovakia: Analysis of Past and Present Observations and Scenarios of Future Developments; Springer Science and Business Media LLC.: Berlin, Germany, 2017; pp. 21–47. [Google Scholar]
- Nepal, S. Impacts of climate change on the hydrological regime of the Koshi river basin in the Himalayan region. J. Hydro-Environ. Res. 2016, 10, 76–89. [Google Scholar] [CrossRef]
- Taibi, S.; Meddi, M.; Mahé, G.; Tramblay, Y.; Feddal, M.A. Monthly rainfall variability simulated by MED-Cordex regional climate models on Algiers coastal basin in past and future climate conditions. In Proceedings of the 6th International Conference on Sustainable Agriculture and Environment, Konya, Turkey, 3–5 October 2019; Mithat, D., Ed.; pp. 469–471, ISBN 9786051841946. [Google Scholar]
- Kostka, Z.; Holko, L. Role of forest in hydrological cycle—Forest and runoff. Meteorol. J. 2006, 9, 143–148. [Google Scholar]
- Hlavčová, K.; Szolgay, J.; Kohnová, S.; Horvát, O. The limitations of assessing impacts of land use changes on runoff with a distributed hydrological model: Case study of the Hron River. Biologia 2009, 64, 589–593. [Google Scholar] [CrossRef]
- Kohnová, S.; Rončák, P.; Hlavčová, K.; Szolgay, J.; Rutkowska, A. Future impacts of land use and climate change on extreme runoff values in selected catchments of Slovakia. Meteorol. Hydrol. Water Manag. 2019, 7, 47–55. [Google Scholar] [CrossRef]
- Kunca, A.; Galko, J.; Zúbrik, M. Significant calamities in the forests of Slovakia over the last 50 years (Významné kalamity v lesoch Slovenska za posledných 50 rokov). In Proceedings of the 2014 23rd International Conference, Nový Smokovec, Slovakia, 23–24 April 2014; pp. 25–31. [Google Scholar]
- Gubka, A.; Kunca, A.; Longauerová, V.; Maľová, M.; Vakula, J.; Galko, J.; Nikolov Ch Rell, S.; Zúbrik, M.; Leontovyč, R. Windstorm Žofia from 15. 5. 2014. Guidelines of the Forest Protection Service Banská Štiavnica (Vetrová kalamita žolfia z 15.5.2014. Usmernenie Lesníckej ochranárskej služby Banská Štiavnica); National Forestry Center: Zvolen, Slovakia, 2014; p. 8. (In Slovak) [Google Scholar]
- Druga, M.; Falťan, V.; Herichová, M. Proposal for modification of the CORINE Land Cover methodology for the purpose of mapping historical changes in landscape cover in Slovakia on a scale of 1:10 000—An example study of the historical cadastral area of Batizovce (Návrh modifikácie metodiky CORINE Land Cover pre účely mapovania historických zmien krajinnej pokrývky na území Slovenska v mierke 1:10 000–príkladová štúdia historického k.ú. Batizovce). Geo. Cassoviensis IX 2015, 1. (In Slovak) [Google Scholar]
- Koutsoyiannis, D.; Foufoula-Georgiou, E. A scaling model of a storm hyetograph. Water Resour. Res. 1993, 29, 2345–2361. [Google Scholar] [CrossRef]
- Koutsoyiannis, D.; Kozonis, D.; Manetas, A. A mathematical framework for studying rainfall intensity-duration-frequency relationships. J. Hydrol. 1998, 206, 118–135. [Google Scholar] [CrossRef]
- Gupta, V.K.; Waymire, E. Multiscaling properties of spatial rainfall and river flow distributions. J. Geophys. Res. Space Phys. 1990, 95, 1999–2009. [Google Scholar] [CrossRef]
- Menabde, M.; Seed, A.; Pegram, G. A simple scaling model for extreme rainfall. Water Resour. Res. 1999, 35, 335–339. [Google Scholar] [CrossRef]
- Yu, P.-S.; Yang, T.-C.; Lin, C.-S. Regional rainfall intensity formulas based on scaling property of rainfall. J. Hydrol. 2004, 295, 108–123. [Google Scholar] [CrossRef]
- CLM Community Land Model, Overview. Available online: http://www.cgd.ucar.edu/tss/clm/ (accessed on 15 December 2019).
- CESM Community Earth System Model, Community Land Model. Available online: http://www.cesm.ucar.edu/models/clm/ (accessed on 15 December 2019).
- Böhm, U.; Kücken, M.; Ahrens, W.; Block, A.; Hauffe, D.; Keuler, K.; Rockel, B.; Will, A. CLM—The climate version of LM: Brief description and long-term applications. COSMO Newslett. 2006, 6, 225–235. [Google Scholar]
- Mishra, S.; Tyagi, J.; Singh, V.P.; Singh, R. SCS-CN-based modeling of sediment yield. J. Hydrol. 2006, 324, 301–322. [Google Scholar] [CrossRef]
- USDA-SCS. Estimation of Direct Runoff from Storm Rainfall. In National Engineering Handbook, Part 630—Hydrology; US Dept. of Agriculture—Soil Conservation Service: Washington, DC, USA, 1954. [Google Scholar]
- USDA-NRSA. Urban Hydrology for Small Watersheds. Technical Release 55; US Dept. of Agriculture—Natural Resources Conservation Service, Engineering Division: Washington, DC, USA, 1986; p. 164.
- Walega, A.; Salata, T. Influence of land cover data sources on estimation of direct runoff according to SCS-CN and modified SME methods. Catena 2019, 172, 232–242. [Google Scholar] [CrossRef]
- Labat, M.M.; Korbeľová, L.; Kohnová, S.; Hlavčová, K. Design of measures for soil erosion control and assessment of their effect on the reduction of peak flows. Pollack Period. 2018, 13, 209–219. [Google Scholar] [CrossRef]
- Labat, M.M.; Rattayová, V.; Hlavčová, K. The impact of changes in land use on reduction in peak floods. Acta Hydrol. Slovaca 2018, 1, 69–77. [Google Scholar]
- Boughton, W. A review of the USDA SCS curve number method. Soil Res. 1989, 27, 511–523. [Google Scholar] [CrossRef]
- Fan, F.; Deng, Y.; Hu, X.; Weng, Q. Estimating Composite Curve Number Using an Improved SCS-CN Method with Remotely Sensed Variables in Guangzhou, China. Remote. Sens. 2013, 5, 1425–1438. [Google Scholar] [CrossRef]
- Mishra, S.K.; Singh, V.P. Soil Conservation Service Curve Number (SCS-CN) Methodology; Springer Science and Business Media LLC.: Berlin, Germany, 2003; pp. 84–146. [Google Scholar]
- Burn, D.H. Catchment similarity for regional flood frequency analysis using seasonality measures. J. Hydrol. 1997, 202, 212–230. [Google Scholar] [CrossRef]
- Mann, H.B. Nonparametric Tests Against Trend. Econometrica 1945, 13, 245. [Google Scholar] [CrossRef]
- Kendall, M.G. Rank Correlation Methods; Griffin: London, UK, 1975. [Google Scholar]
- USDA-SCS. Engineering Hydrology Training Series. Module 104—Runoff Curve Number Computations; Study Guide. No. 2; US Dept. of Agriculture—Soil Conservation Service: Washington, DC, USA, 1989.
- Alena, F. Soil erosion protection on vineyards, Methodological aid, State Amelioration Report, Bratislava. Cuad. de Investig. Geogr. 1990, 43, 18–21. [Google Scholar]
- Hríbik, M.; Majlingová, A.; Škvarenina, J.; Kyselová, D. Winter Snow Supply in Small Mountain Watershed as a Potential Hazard of Spring Flood Formation. Bioclimatol. Nat. Hazards 2009, 119–128. [Google Scholar] [CrossRef]
Publisher’s Note: MDPI stays neutral with regard to jurisdictional claims in published maps and institutional affiliations. |
© 2020 by the authors. Licensee MDPI, Basel, Switzerland. This article is an open access article distributed under the terms and conditions of the Creative Commons Attribution (CC BY) license (http://creativecommons.org/licenses/by/4.0/).
















