Water Footprints and Virtual Water Flows Embodied in the Power Supply Chain
Abstract
1. Introduction
2. Water Footprint and Virtual Water of Power Supply Chains
2.1. Water Footprint of Power Supply
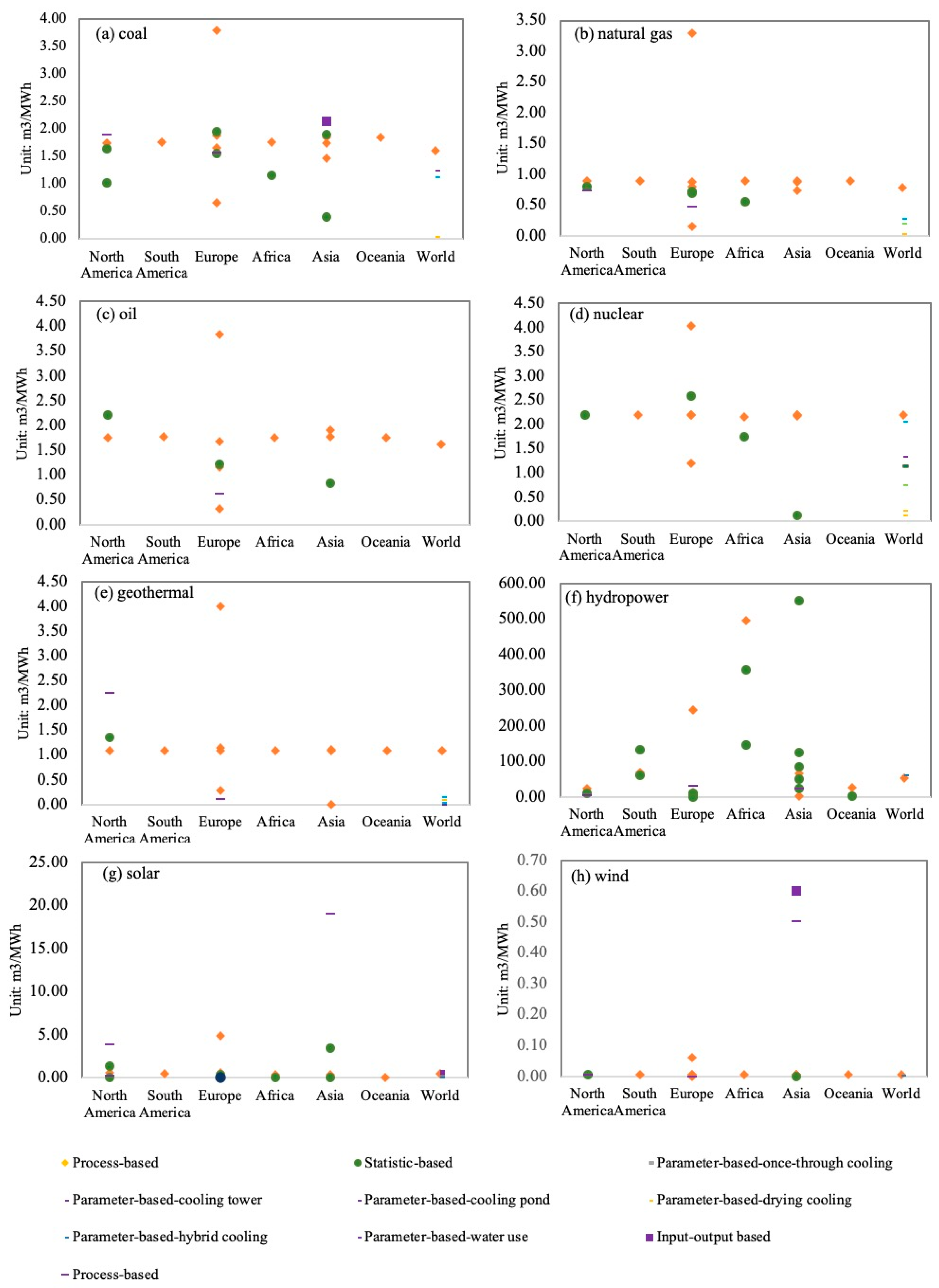
2.1.1. Comparison of Water Footprints of Different Power Types
2.1.2. Comparison of Different Methods
2.2. Virtual Water Transfers of Power Trade
2.2.1. Virtual Water Transfers of Power Trade in Different Countries
2.2.2. Comparison of Different Methods
- Assessment of regional water scarcity using the water stress index (WSI): the virtual scarce water footprint per unit of power consumption is used to value the potential impact of the purchasing power of end-users on water resources. It is suggested that water-stressed regions would be mitigated by using imported power generated in the water-abundant region [68].
- Future water scarcity in the main water-exporting regions is likely to increase further due to socioeconomic and technical factors. For example, the water scarcity in north-western regions would be serious, with many ongoing long-distance power transmission projects in China [69].
2.3. Effects of Power Supply Chains on Water Scarcity
3. Challenges and the Way Forward
4. Conclusions
Author Contributions
Funding
Acknowledgments
Conflicts of Interest
Abbreviations
| WSI | Water Stress Index |
| LCA | Life Cycle Assessment |
| CHP | Combined Heat and Power |
| MRIO | Multi-Regional Input-Output (model) |
| MUIO | Mixed-Unit Input-Output |
| WF | Water Footprint |
| DW | Direct Water (withdrawal) |
| A | Intermediate consumption matrix, the measurement unit varies from different application |
| C | Upstream or downstream cut-off flows in the system. |
| y | Matrix of final consumption |
| UN | United Nations |
| SDGs | Sustainable Development Goals |
| EFR | Environmental Flow Requirements |
| IWMI | International Water Management Indicator |
| QQE | Quantity-Quality-Environmental flow requirement |
| EWERCI | Embodied Water Export Risk and Crisis Indexes |
| VWSR | Virtual Water Scarcity Risk |
References
- Liu, Y.; Chen, B.; Wei, W.; Shao, L.; Li, Z.; Jiang, W.; Chen, G. Global water use associated with energy supply, demand and international trade of China. Appl. Energy 2020, 257, 113992. [Google Scholar] [CrossRef]
- McBean, E. Removal of Emerging Contaminants: The Next Water Revolution. J. Environ. Inform. Let. 2019, 1, 1–7. [Google Scholar] [CrossRef]
- Spang, E.S.; Moomaw, W.R.; Gallagher, K.S.; Kirshen, P.H.; Marks, D.H. The water consumption of energy production: An international comparison. Environ. Res. Lett. 2014, 9, 105002. [Google Scholar] [CrossRef]
- Ramaswami, A.; Boyer, D.; Nagpure, A.S.; Fang, A.; Bogra, S.; Bakshi, B.; Cohen, E.; Rao-Ghorpade, A. An urban systems framework to assess the trans-boundary food-energy-water nexus: Implementation in Delhi, India. Environ. Res. Lett. 2017, 12, 025008. [Google Scholar] [CrossRef]
- IEA. World Energy Outlook. 2019. Available online: https://www.iea.org/reports/world-energy-outlook-2019/electricity#abstract (accessed on 31 May 2020).
- IEA. Electricity Information. 2018. Available online: https://www.iea.org/statistics/relateddatabases/electricity information/ (accessed on 31 May 2020).
- Liu, Z. (Ed.) Chapter 4—Supply and Demand of Global Energy and Electricity. In Global Energy Interconnection; Academic Press: Boston, MA, USA, 2015; pp. 101–182. [Google Scholar]
- Hoekstra, A.Y. Human appropriation of natural capital: A comparison of ecological footprint and water footprint analysis. Ecol. Econ. 2009, 68, 1963–1974. [Google Scholar] [CrossRef]
- Klemeš, J.J. Industrial Water Recycle/Reuse. Curr. Opin. Chem. Eng. 2012, 1, 238–245. [Google Scholar] [CrossRef]
- Čuček, L.; Klemeš, J.J.; Kravanja, Z. A Review of Footprint analysis tools for monitoring impacts on sustainability. J. Clean. Prod. 2012, 34, 9–20. [Google Scholar] [CrossRef]
- Hoekstra, A.Y.; Chapagain, A.K.; Aldaya, M.M.; Mekonnen, M.M. The Water Footprint Assessment Manual: Setting the Global Standard; Earthscan: London, UK, 2011; ISBN 978-1-84971-279-8. [Google Scholar]
- Hoekstra, A.Y. The Water Footprint of Industry. In Assessing and Measuring Environmental Impact and Sustainability; Klemeš, J.J., Ed.; Butterworth-Heinemann, Elsevier: Waltham, MA, USA, 2015; Chapter 7; pp. 221–254. [Google Scholar]
- Liu, X.; Klemeš, J.J.; Varbanov, P.S.; Čuček, L.; Qian, Y. Virtual carbon and water flows embodied in international trade: A review on consumption-based analysis. J. Clean Prod. 2017, 146, 20–28. [Google Scholar] [CrossRef]
- Allan, J.A. Virtual water: A strategic resource global solutions to regional deficits. Ground Water 1998, 36, 545–546. [Google Scholar] [CrossRef]
- Liu, W.; Antonelli, M.; Kummu, M.; Zhao, X.; Wu, P.; Liu, J.; Zhuo, L.; Yang, H. Savings and losses of global water resources in food-related virtual water trade. Wiley Interdiscip. Rev. Water 2018, 6, e1320. [Google Scholar] [CrossRef]
- Liao, X.W.; Hall, J.W.; Eyre, N. Water use in China’s thermoelectric power sector. Glob. Environ. Chang. 2016, 41, 142–152. [Google Scholar] [CrossRef]
- Eldardiry, H.; Habib, E. Carbon capture and sequestration in power generation: Review of impacts and opportunities for water sustainability. Energy Sustain. Soc. 2018, 8, 6. [Google Scholar] [CrossRef]
- Ristic, B.; Mahlooji, M.; Gaudard, L.; Madani, K. The relative aggregate footprint of electricity generation technologies in the European Union (EU): A system of systems approach. Resour. Conserv. Recycl. 2019, 143, 282–290. [Google Scholar] [CrossRef]
- Enerata. Global Energy Statistical Yearbook. 2019. Available online: https://yearbook.enerdata.net/electricity/electricity-balance-trade.html (accessed on 6 July 2020).
- Zhang, Y.; Fang, J.; Wang, S.; Yao, H. Energy-water nexus in electricity trade network: A case study of interprovincial electricity trade in China. Appl. Energy 2020, 257, 113685. [Google Scholar] [CrossRef]
- Jia, X.; Klemeš, J.J.; Wan Alwi, S.R.; Varbanov, P.S. Regional Water Resources Assessment using Water Scarcity Pinch Analysis. Resour. Conserv. Recycl. 2020, 157, 104749. [Google Scholar] [CrossRef]
- Cai, B.M.; Zhang, W.; Hubacek, K.; Feng, K.S.; Li, Z.L.; Liu, Y.W.; Liu, Y. Drivers of virtual water flows on regional water scarcity in China. J. Clean. Prod. 2019, 207, 1112–1122. [Google Scholar] [CrossRef]
- Meldrum, J.; Nettles-Anderson, S.; Heath, G.; Macknick, J. Life cycle water use for electricity generation: A review and harmonisation of literature estimates. Environ. Res. Lett. 2013, 8. [Google Scholar] [CrossRef]
- Gao, J.J.; Zhao, P.; Zhang, H.W.; Mao, G.Z.; Wang, Y. Operational Water Withdrawal and Consumption Factors for Electricity Generation Technology in China-A Literature Review. Sustainability 2018, 10, 1181. [Google Scholar] [CrossRef]
- Jin, Y.; Behrens, P.; Tukker, A.; Scherer, L. Water use of electricity technologies: A global meta-analysis. Renew. Sustain. Energy Rev. 2019, 115, 109391. [Google Scholar] [CrossRef]
- Wang, C.Y.; Lin, L.; Olsson, G.; Liu, Y.; Xu, M. The scope and understanding of the water-electricity nexus. Resour. Conserv. Recycl. 2019, 150, 104453. [Google Scholar] [CrossRef]
- Dai, J.Y.; Wu, S.Q.; Han, G.Y.; Weinberg, J.; Xie, X.H.; Wu, X.F.; Song, X.Q.; Jia, B.Y.; Xue, W.Y.; Yang, Q.Q. Water-energy nexus: A review of methods and tools for macro-assessment. Appl. Energy 2018, 210, 393–408. [Google Scholar] [CrossRef]
- Pfister, S.; Koehler, A.; Hellweg, S. Assessing the Environmental Impacts of Freshwater Consumption in LCA. Environ. Sci. Technol. 2009, 43, 4098–4104. [Google Scholar] [CrossRef]
- UN. UN Comtrade Database. 2018. Available online: https://comtrade.un.org/Data/ (accessed on 6 July 2020).
- Averyt, K.; Macknick, J.; Rogers, J.; Madden, N.; Fisher, J.; Meldrum, J.; Newmark, R. Water use for electricity in the United States: An analysis of reported and calculated water use information for 2008. Environ. Res. Lett. 2013, 8, 015001. [Google Scholar] [CrossRef]
- Huang, W.L.; Ma, D.; Chen, W.Y. Connecting water and energy: Assessing the impacts of carbon and water constraints on China’s power sector. Appl. Energy 2017, 185, 1497–1505. [Google Scholar] [CrossRef]
- Mekonnen, M.M.; Gerbens-Leenes, P.W.; Hoekstra, A.Y. Future electricity: The challenge of reducing both carbon and water footprint. Sci. Total Environ. 2016, 569, 1282–1288. [Google Scholar] [CrossRef]
- Vanham, D.; Medarac, H.; Schyns, J.F.; Hogeboom, R.J.; Magagna, D. The consumptive water footprint of the European Union energy sector. Environ. Res. Lett. 2019, 14, 104016. [Google Scholar] [CrossRef]
- Mekonnen, M.M.; Gerbens-Leenes, P.W.; Hoekstra, A.Y. The consumptive water footprint of electricity and heat: A global assessment. Environ. Sci. Wat. Res. Technol. 2015, 1, 285–297. [Google Scholar] [CrossRef]
- Wu, X.D.; Chen, G.Q. Energy and water nexus in power generation: The surprisingly high amount of industrial water use induced by solar power infrastructure in China. Appl. Energy 2017, 195, 125–136. [Google Scholar] [CrossRef]
- Kumar, A.; Schei, T.; Ahenkorah, A.; Rodriguez, R.; Devernay, J.-M.; Freitas, M.; Hall, D.; Killingtveit, Å.; Liu, Z. Hydropower. In Renewable Energy Sources and Climate Change Mitigation; Special Report of the Intergovernmental Panel on Climate Change; Matschoss, P., Kadner, S., Zwickel, T., Eickemeier, P., Hansen, G., Schloemer, S., von Stechow, C., Eds.; Cambridge University Press: Cambridge, UK, 2012; pp. 437–496. [Google Scholar]
- Hogeboom, R.J.; Knook, L.; Hoekstra, A.Y. The blue water footprint of the world’s artificial reservoirs for hydroelectricity, irrigation, residential and industrial water supply, flood protection, fishing and recreation. Adv. Water Resour. 2018, 113, 285–294. [Google Scholar] [CrossRef]
- Robescu, L.D.; Bondrea, D.A. The water footprint from hydroelectricity: A case study for a hydropower plant in Romania. Sustain. Solut. Energy Environ. 2019, 85, 06012. [Google Scholar] [CrossRef]
- Ali, B.; Kumar, A. Development of life cycle water footprints for gas-fired power generation technologies. Energy Convers. Manag. 2016, 110, 386–396. [Google Scholar] [CrossRef]
- Ali, B.; Kumar, A. Development of water demand coefficients for power generation from renewable energy technologies. Energy Convers. Manag. 2017, 143, 470–481. [Google Scholar] [CrossRef]
- Ali, B.; Kumar, A. Development of life cycle water-demand coefficients for coal-based power generation technologies. Energy Convers. Manag. 2015, 90, 247–260. [Google Scholar] [CrossRef]
- Chai, L.; Liao, X.W.; Yang, L.; Yan, X.L. Assessing life cycle water use and pollution of coal-fired power generation in China using input-output analysis. Appl. Energy 2018, 231, 951–958. [Google Scholar] [CrossRef]
- Li, X.; Feng, K.; Siu, Y.L.; Hubacek, K. Energy-water nexus of wind power in China: The balancing act between CO2 emissions and water consumption. Energy Policy 2012, 45, 440–448. [Google Scholar] [CrossRef]
- Fulton, J.; Cooley, H. The Water Footprint of California’s Energy System, 1990–2012. Environ. Sci. Technol. 2015, 49, 3314–3321. [Google Scholar] [CrossRef]
- UN. Standard Country or Area Codes for Statistical Use (Rev. 3); Series M: Miscellaneous Statistical Papers, No. 49; UN: New York, NY, USA, 1996; Available online: ST/ESA/STAT/SER.M/49/Rev.3 (accessed on 6 August 2020).
- Tzimas, E.; Georgakaki, A.; Peteves, E. Future Fossil Fuel Electricity Generation in Europe: Options and Consequences; European Commission: Brussels, Belgium, 2009. [Google Scholar] [CrossRef]
- Ding, N.; Liu, J.R.; Yang, J.X.; Lu, B. Water footprints of energy sources in China: Exploring options to improve water efficiency. J. Clean. Prod. 2018, 174, 1021–1031. [Google Scholar] [CrossRef]
- Bakken, T.H.; Modahl, I.S.; Engeland, K.; Raadal, H.L.; Arnoy, S. The life-cycle water footprint of two hydropower projects in Norway. J. Clean. Prod. 2016, 113, 241–250. [Google Scholar] [CrossRef]
- Feng, K.; Hubacek, K.; Siu, Y.L.; Li, X. The energy and water nexus in Chinese electricity production: A hybrid life cycle analysis. Renew. Sustain. Energy Rev. 2014, 39, 342–355. [Google Scholar] [CrossRef]
- Weinzettel, J.; Steen-Olsen, K.; Hertwich, E.G.; Borucke, M.; Galli, A. Ecological footprint of nations: Comparison of process analysis, and standard and hybrid multiregional input-output analysis. Ecol. Econ. 2014, 101, 115–126. [Google Scholar] [CrossRef]
- Acquaye, A.; Feng, K.; Oppon, E.; Salhi, S.; Ibn-Mohammed, T.; Genovese, A.; Hubacek, K. Measuring the environmental sustainability performance of global supply chains: A multi-regional input-output analysis for carbon, sulphur oxide and water footprints. J. Environ. Manag. 2017, 187, 571–585. [Google Scholar] [CrossRef] [PubMed]
- Pomponi, F.; Lenzen, M. Hybrid life cycle assessment (LCA) will likely yield more accurate results than process-based LCA. J. Clean. Prod. 2018, 176, 210–215. [Google Scholar] [CrossRef]
- Talati, S.; Zhai, H.; Kyle, G.P.; Morgan, M.G.; Patel, P.; Liu, L. Consumptive Water Use from Electricity Generation in the Southwest under Alternative Climate, Technology, and Policy Futures. Environ. Sci. Technol. 2016, 50, 12095–12104. [Google Scholar] [CrossRef] [PubMed]
- Larsen, M.A.D.; Drews, M. Water use in electricity generation for water-energy nexus analyses: The European case. Sci. Total Environ. 2019, 651, 2044–2058. [Google Scholar] [CrossRef]
- Liu, J.; Zhao, D.; Gerbens-Leenes, P.W.; Guan, D. China’s rising hydropower demand challenges water sector. Sci. Rep. 2015, 5, 11446. [Google Scholar] [CrossRef]
- Grubert, E.A. Water consumption from hydroelectricity in the United States. Adv. Water Resour. 2016, 96, 88–94. [Google Scholar] [CrossRef]
- Bakken, T.H.; Killingtveit, A.; Engeland, K.; Alfredsen, K.; Harby, A. Water consumption from hydropower plants—Review of published estimates and an assessment of the concept. Hydrol. Earth Syst. Sci. 2013, 17, 3983–4000. [Google Scholar] [CrossRef]
- Bakken, T.H.; Killingtveit, A.; Alfredsen, K. The Water Footprint of Hydropower Production-State of the Art and Methodological Challenges. Glob. Chall. 2017, 1, 1600018. [Google Scholar] [CrossRef]
- Ziesemer, T. Renewable electricity supply, infrastructure, and gains from international trade in electric current. Appl. Econ. Lett. 2019, 26, 1439–1443. [Google Scholar] [CrossRef]
- Gao, X.R.; Zhao, Y.; Lu, S.B.; Chen, Q.Y.; An, T.L.; Han, X.X.Q.; Zhuo, L. Impact of coal power production on sustainable water resources management in the coal-fired power energy bases of Northern China. Appl. Energy 2019, 250, 821–833. [Google Scholar] [CrossRef]
- Zhang, J.C.; Zhong, R.; Zhao, P.; Zhang, H.W.; Wang, Y.; Mao, G.Z. International energy trade impacts on water resource crises: An embodied water flows perspective. Environ. Res. Lett. 2016, 11, 074023. [Google Scholar] [CrossRef]
- Chini, C.M.; Stillwell, A.S. The changing virtual water trade network of the European electric grid. Appl. Energy 2020, 260, 114151. [Google Scholar] [CrossRef]
- Chini, C.M.; Djehdian, L.A.; Lubega, W.N.; Stillwell, A.S. Virtual water transfers of the US electric grid. Nat. Energy 2018, 3, 1115–1123. [Google Scholar] [CrossRef]
- Zhang, Y.; Hou, S.; Liu, J.; Zheng, H.; Wang, J.; Zhang, C. Evolution of Virtual Water Transfers in China’s Provincial Grids and Its Driving Analysis. Energies 2020, 13, 328. [Google Scholar] [CrossRef]
- Zhang, C.; He, G.; Zhang, Q.; Liang, S.; Zipper, S.C.; Guo, R.; Zhao, X.; Zhong, L.; Wang, J. The evolution of virtual water flows in China’s electricity transmission network and its driving forces. J. Clean. Prod. 2020, 242, 118336. [Google Scholar] [CrossRef]
- Zhu, X.; Guo, R.; Chen, B.; Zhang, J.; Hayat, T.; Alsaedi, A. Embodiment of virtual water of power generation in the electric power system in China. Appl. Energy 2015, 151, 345–354. [Google Scholar] [CrossRef]
- Guo, R.; Zhu, X.; Chen, B.; Yue, Y. Ecological network analysis of the virtual water network within China’s electric power system during 2007–2012. Appl. Energy 2016, 168, 110–121. [Google Scholar] [CrossRef]
- Wang, R.R.; Zimmerman, J.B.; Wang, C.Y.; Vivanco, D.F.; Hertwich, E.G. Freshwater Vulnerability beyond Local Water Stress: Heterogeneous Effects of Water-Electricity Nexus Across the Continental United States. Environ. Sci. Technol. 2017, 51, 9899–9910. [Google Scholar] [CrossRef]
- Zhang, C.; Zhong, L.; Liang, S.; Sanders, K.T.; Jiao, W.; Ming, X. Virtual scarce water embodied in inter-provincial electricity transmission in China. Appl. Energy 2017, 187, 438–448. [Google Scholar] [CrossRef]
- Liao, X.W.; Zhao, X.; Hall, J.W.; Guan, D.B. Categorising virtual water transfers through China’s electric power sector. Appl. Energy 2018, 226, 252–260. [Google Scholar] [CrossRef]
- Wang, C.; Zhang, L.; Zhou, P.; Chang, Y.; Zhou, D.; Pang, M.; Yin, H. Assessing the environmental externalities for biomass- and coal-fired electricity generation in China: A supply chain perspective. J. Environ. Manag. 2019, 246, 758–767. [Google Scholar] [CrossRef] [PubMed]
- Chu, C.; Ritter, W.; Sun, X.H. Spatial variances of water-energy nexus in China and its implications for provincial resource interdependence. Energy Policy 2019, 125, 487–502. [Google Scholar] [CrossRef]
- Qu, S.; Wang, H.X.; Liang, S.; Shapiro, A.M.; Suh, S.W.; Sheldon, S.; Zik, O.; Fang, H.; Xu, M. A Quasi-Input-Output model to improve the estimation of emission factors for purchased electricity from interconnected grids. Appl. Energy 2017, 200, 249–259. [Google Scholar] [CrossRef]
- Qu, S.; Li, Y.; Liang, S.; Yuan, J.H.; Xu, M. Virtual CO2 Emission Flows in the Global Electricity Trade Network. Environ. Sci. Technol. 2018, 52, 6666–6675. [Google Scholar] [CrossRef] [PubMed]
- Zhao, D.D.; Hubacek, K.; Feng, K.S.; Sun, L.X.; Liu, J.G. Explaining virtual water trade: A spatial-temporal analysis of the comparative advantage of land, labor and water in China. Water Res. 2019, 153, 304–314. [Google Scholar] [CrossRef]
- UN. About the Sustainable Development Goals. 2015. Available online: https://www.un.org/sustainable development/ (accessed on 6 July 2020).
- Vanham, D.; Hoekstra, A.Y.; Wada, Y.; Bouraoui, F.; de Roo, A.; Mekonnen, M.M.; van de Bund, W.J.; Batelaan, O.; Pavelic, P.; Bastiaanssen, W.G.M.; et al. Physical water scarcity metrics for monitoring progress towards SDG target 6.4: An evaluation of indicator 6.4.2 “Level of water stress”. Sci. Total Environ. 2018, 613, 218–232. [Google Scholar] [CrossRef]
- Liu, J.G.; Yang, H.; Gosling, S.N.; Kummu, M.; Florke, M.; Pfister, S.; Hanasaki, N.; Wada, Y.; Zhang, X.X.; Zheng, C.M.; et al. Water scarcity assessments in the past, present, and future. Earths Future 2017, 5, 545–559. [Google Scholar] [CrossRef] [PubMed]
- Xie, X.; Jiang, X.; Zhang, T.; Huang, Z. Study on impact of electricity production on regional water resource in China by water footprint. Renew. Energy 2020, 152, 165–178. [Google Scholar]
- Zhao, H.; Qu, S.; Guo, S.; Zhao, H.; Liang, S.; Xu, M. Virtual water scarcity risk to global trade under climate change. J. Clean. Prod. 2019, 230, 1013–1026. [Google Scholar] [CrossRef]
- Qu, S.; Liang, S.; Konar, M.; Zhu, Z.Q.; Chiu, A.S.F.; Jia, X.P.; Xu, M. Virtual Water Scarcity Risk to the Global Trade System. Environ. Sci. Technol. 2018, 52, 673–683. [Google Scholar] [CrossRef]
- Pfister, S.; Saner, D.; Koehler, A. The environmental relevance of freshwater consumption in global power production. Int. J. Life Cycle Assess. 2011, 16, 580–591. [Google Scholar] [CrossRef]
- Hertwich, E.G.; Peters, G.P. Carbon Footprint of Nations: A Global, Trade-Linked Analysis. Environ. Sci. Technol. 2009, 43, 6414–6420. [Google Scholar] [CrossRef]
- Kodra, E.; Sheldon, S.; Dolen, R.; Zik, O. The North American Electric Grid as an Exchange Network: An Approach for Evaluating Energy Resource Composition and Greenhouse Gas Mitigation. Environ. Sci. Technol. 2015, 49, 13692–13698. [Google Scholar] [CrossRef] [PubMed]
- Zhang, Y.; Huang, K.; Yu, Y.; Yang, B. Mapping of water footprint research: A bibliometric analysis during 2006–2015. J. Clean. Prod. 2017, 149, 70–79. [Google Scholar] [CrossRef]






| Process-Based Method (Bottom-Up Approach) | Input-Output Based Method (Top-Down Approach) | ||||
|---|---|---|---|---|---|
| Process [41] | Hybrid [49] | Standard MRIO [50] | Hybrid MRIO [50] | MUIO [42] | |
| Data source | Measurement data or Empirical data | Input-Output Table and power statistics | Input-Output Table | Input-Output Table and power statistics | Input-Output Table and power statistics |
| Units in tracking production chain | Physical | Physical (for power processes) and monetary for all sectors | Monetary | Physical (for power sector) and monetary for all other sectors | Physical (for power sector) and monetary for all other sectors |
| Matrix Allocation | - | Economic value | Economic value | Economic value | Physical flows for the power sector; Economic value for all other sectors |
| Life cycle coverage | Dependent on selective life-cycle stages | Yes | Yes | Yes | Yes |
| Technology assumed | Specific case/country/regional/global average | Specific case | Average case/specific country | Average case/specific country | Average case/specific country |
| Cut-off error | Yes | Yes | No | No | No |
| WF of a single power technology | |||||
| Study | Method to Account for Power Trade | Geographic Coverage and Resolution | Time Frame-Work | The Source of Power | Main Results |
|---|---|---|---|---|---|
| Zhu et al. [66] | Direct trade-adjustment | China | 2010 | Thermal Hydropower | Interregional virtual water flows largely depend on the water stress index (WSI) and virtual scarce flow concept. The virtual water transmission pattern varies with the WSI. |
| Guo et al. [67] | Ecological network analysis | China | 2007–2012 | Thermal power | The northern and central grids were the most important import and export for virtual water during 2007–2012. |
| Wang et al. [68] | Direct trade-adjustment | Regional level | 2010–2014 | Thermal power | The water problem in water-stressed regions was mitigated by power imports from a water-abundant region. |
| Zhang et al. [69] | Network-based | China | 2011 | Thermal power | Water stress in north-western regions would be serious, resulting from long-distance power transmission projects. |
| Liao et al. [70] | MRIO model | China | 2000–2015 | Thermal Hydro- | Virtual water transfers across provinces accounted for 47.5% of the power sector’s water use. |
| Chini et al. [63] | Direct trade-adjustment | United States | 2010–2016 | Thermal power | Virtual water transfers in power transmission increased significantly. |
| Wang et al. [71] | Direct trade-adjustment | China | 2014 | Power | Interbasin power transmission would lead to a 12% increase in the water-stressed population, especially in the southern part of China. |
| Chu et al. [72] | Direct trade-adjustment | China | 2014 | Thermal, hydro, nuclear and other | Efforts should also be made to improve the provincial self-sufficiency through demand-side conservation and supply diversification. |
| Chini and Stillwell [62] | Direct trade-adjustment | Europe | 2010–2017 | Thermal power | The largest virtual water exporters are Germany and France. |
| Zhang et al. [65] | Network-based | China | 2006–2016 | Thermal power | Water stress in north-western China increased with virtual water exporters. The improvement of water efficiency was the main driver for decreasing virtual water transfers. |
| Zhang et al. [64] | Network-based | China | 2005–2014 | Thermal, hydro-, wind, and solar | Virtual water increase is mainly driven by the change of the power generation mix and power transmission. |
| Indicator Name | Measurement | Water Quantity | Water Quality | EFR |
|---|---|---|---|---|
| Falkenmark indicator (water shortage) | Per capita water availability | √ | ||
| Water stress index | The ratio of water use to availability | √ | √ | |
| International Water Management Indicator (IWMI) (physical and economic water scarcity) | The proportion of water supply that is water availability, accounting for water infrastructure | √ | ||
| Water Poverty Index | The weighted average of five components (water availability, access, capacity, use, and environment) | √ | √ | |
| Water Footprint-based assessment | The ratio of water footprint to water availability | √ | √ | |
| Cumulative abstraction-to-demand ratio | Cumulative abstraction-to-demand ratio | √ | ||
| The LCA-based water stress indicator | The ratio of water use of water footprint to availability | √ | √ | |
| Quantity-Quality-Environmental flow requirement (QQE) indicator | Incorporating water quantity, quality, and EFR | √ | √ | √ |
Publisher’s Note: MDPI stays neutral with regard to jurisdictional claims in published maps and institutional affiliations. |
© 2020 by the authors. Licensee MDPI, Basel, Switzerland. This article is an open access article distributed under the terms and conditions of the Creative Commons Attribution (CC BY) license (http://creativecommons.org/licenses/by/4.0/).
Share and Cite
Wang, L.; Fan, Y.V.; Varbanov, P.S.; Alwi, S.R.W.; Klemeš, J.J. Water Footprints and Virtual Water Flows Embodied in the Power Supply Chain. Water 2020, 12, 3006. https://doi.org/10.3390/w12113006
Wang L, Fan YV, Varbanov PS, Alwi SRW, Klemeš JJ. Water Footprints and Virtual Water Flows Embodied in the Power Supply Chain. Water. 2020; 12(11):3006. https://doi.org/10.3390/w12113006
Chicago/Turabian StyleWang, Like, Yee Van Fan, Petar Sabev Varbanov, Sharifah Rafidah Wan Alwi, and Jiří Jaromír Klemeš. 2020. "Water Footprints and Virtual Water Flows Embodied in the Power Supply Chain" Water 12, no. 11: 3006. https://doi.org/10.3390/w12113006
APA StyleWang, L., Fan, Y. V., Varbanov, P. S., Alwi, S. R. W., & Klemeš, J. J. (2020). Water Footprints and Virtual Water Flows Embodied in the Power Supply Chain. Water, 12(11), 3006. https://doi.org/10.3390/w12113006

