River Water Salinity Prediction Using Hybrid Machine Learning Models
Abstract
1. Introduction
2. Materials and Methods
2.1. Study Area
2.2. Methodology
2.2.1. Data Collection and Preparation
2.2.2. Selection of Input Combinations
2.2.3. Identification of Optimum Values of Operators
2.2.4. Models Development
M5P Algorithm
Random Forest (RF)
Bagging
Random Subspace (RS)
Random Committee (RC)
Additive Regression (AR)
2.2.5. Model Evaluation Criteria
3. Results
3.1. Best Determinant Combination of EC
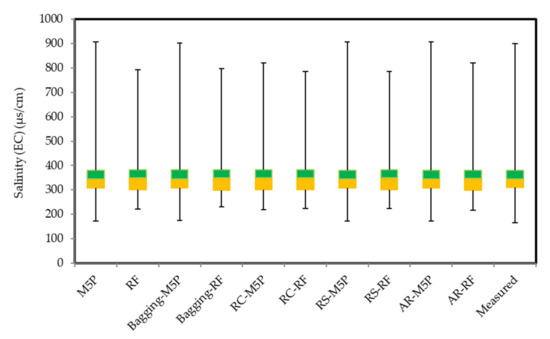
3.2. Models’ Performances and Validation
4. Discussion
5. Conclusions
Author Contributions
Funding
Acknowledgments
Conflicts of Interest
References
- Adamowski, J.J.; Sun, K. Development of a coupled wavelet transform and neural network method for flow forecasting of non-perennial rivers in semi-arid watersheds. J. Hydrol. 2014, 390, 85–91. [Google Scholar] [CrossRef]
- Liou, S.M.M.; Lo, S.L.L.; Wang, S.H. A generalized water quality index for Taiwan. Environ. Monit. Assess. 2004, 96, 32–35. [Google Scholar] [CrossRef] [PubMed]
- Khalil, B.B.; Ouarda, T.B.M.J.J.; St-Hilaire, A. Estimation of water quality characteristics at ungauged sites using artificial neural networks and canonical correlation analysis. J. Hydrol. 2011, 405, 277–287. [Google Scholar] [CrossRef]
- Najah, A.A.; Elshafie, A.A.; Karim, O.A.A.; Jaffar, O. Prediction of Johor River water quality parameters using artificial neural networks. Eur. J. Sci. Res. 2009, 28, 422–435. [Google Scholar]
- Tiwari, M.K.K.; Adamowski, J.F. Medium-term urban water demand forecasting with limited data using an ensemble wavelet–bootstrap machine-learning approach. J. Water Resour. Plan. Manag. 2015, 141, 04014053. [Google Scholar] [CrossRef]
- Tiwari, M.K.K.; Adamowski, J.F. An ensemble wavelet bootstrap machine learning approach to water demand forecasting: A case study in the city of Calgary, Canada. Urban Water J. 2015, 14, 185–201. [Google Scholar] [CrossRef]
- Liu, S.; Tai, H.; Ding, Q.; Li, D.; Xu, L.; Wei, Y. A hybrid approach of support vector regression with genetic algorithm optimization for aquaculture water quality prediction. Math. Comput. Model. 2013, 58, 458–465. [Google Scholar] [CrossRef]
- Kisi, O.O.; Dailr, A.H.H.; Cimen, M.M.; Shiri, J. Suspended sediment modeling using genetic programming and soft computing techniques. J. Hydrol. 2012, 450, 48–58. [Google Scholar] [CrossRef]
- Khosravi, K.; Mao, L.; Kisi, O.; Yaseen, Z.; Shahid, S. Quantifying hourly suspended sediment load using data mining models: Case study of a glacierized Andean catchment in Chile. J. Hydrol. 2018, 567, 165–179. [Google Scholar] [CrossRef]
- Yaseen, Z.M.; Jaafar, O.; Deo, R.; Kisi, O.; Adamowski, J.; Quilty, J. Stream-flow forecasting using extreme learning machines: A case study in a semi-arid region in Iraq. J. Hydrol. 2016, 542, 603–614. [Google Scholar] [CrossRef]
- Aguilera, P.A.; Frenich, A.G.; Torres, J.A.; Castro, H.; Vidal, J.M.; Canton, M. Application of the Kohonen neural network in coastal water management: Methodological development for the assessment and prediction of water quality. Water Res. 2001, 35, 4053–4062. [Google Scholar] [CrossRef]
- Zhang, Y.; Pulliainen, J.; Koponen, S.; Hallikainen, M. Application of an empirical neural network to surface water quality estimation in the Gulf of Finland using combined optical data and microwave data. Remote Sens. Environ. 2002, 812, 327–336. [Google Scholar] [CrossRef]
- Zou, R.; Lung, W.S.; Guo, H. Neural network embedded Monte Carlo approach for water quality modeling under input information uncertainty. J. Comput. Civ. Eng. 2002, 162, 135–142. [Google Scholar] [CrossRef]
- Ha, H.; Stenstrom, M.K. Identification of land use with water quality data in stormwater using a neural network. Water Res. 2003, 37, 4222–4230. [Google Scholar] [CrossRef]
- Diamantopoulou, M.J.; Antonopoulos, V.Z.; Papamichail, D.M. Cascade correlation artificial neural networks for estimating missing monthly values of water quality parameters in rivers. Water Resour. Manag. 2007, 21, 649–662. [Google Scholar] [CrossRef]
- Diamantopoulou, M.J.; Papamichail, D.M.; Antonopoulos, V.Z. The use of a neural network technique for the prediction of water quality parameters. Oper. Res. 2005, 5, 115–125. [Google Scholar] [CrossRef]
- Schmid, B.H.; Koskiaho, J. Artificial neural network modeling of dissolved oxygen in a wetland pond: The case of Hovi, Finland. J. Hydrol. Eng. 2006, 11, 188–192. [Google Scholar] [CrossRef]
- Zhao, Y.; Nan, J.; Cui, F.Y.; Guo, L. Water quality forecast through application of BP neural network at Yuqiao reservoir. J. Zhejiang Univ. Sci. A 2007, 8, 1482–1487. [Google Scholar] [CrossRef]
- Dogan, E.; Sengorur, B.; Koklu, R. Modeling biological oxygen demand of the Melen River in Turkey using an artificial neural network technique. J. Environ. Manag. 2009, 90, 1229–1235. [Google Scholar] [CrossRef]
- Najah, A.; El-Shafie, A.; Karim, O.A.; El-Shafie, A.H. Performance of ANFIS versus MLP-NN dissolved oxygen prediction models in water quality monitoring. Environ. Sci. Pollut. Res. 2014, 21, 1658–1670. [Google Scholar] [CrossRef]
- Singh, K.P.; Basant, N.; Gupta, S. Support vector machines in water quality management. Anal. Chim. Acta 2011, 703, 152–162. [Google Scholar] [CrossRef]
- Ay, M.; Kisi, O. Modeling of dissolved oxygen concentration using different neural network techniques in Foundation Creek, El Paso County, Colorado. J. Environ. Eng. 2011, 138, 654–662. [Google Scholar] [CrossRef]
- Ay, M.; Kisi, O. Modelling of chemical oxygen demand by using ANNs, ANFIS and k-means clustering techniques. J. Hydrol. 2014, 511, 279–289. [Google Scholar] [CrossRef]
- Chen, D.; Lu, J.; Shen, Y. Artificial neural network modelling of concentrations of nitrogen, phosphorus and dissolved oxygen in a non-point source polluted river in Zhejiang Province, southeast China. Hydrol. Process. 2010, 24, 290–299. [Google Scholar] [CrossRef]
- Patel, R.M.; Prasher, S.O.; God, P.K.; Bassi, R. Soil salinity prediction using artificial neural networks. JAWRA J. Am. Water Resour. Assoc. 2002, 38, 91–100. [Google Scholar] [CrossRef]
- Zou, P.; Yang, J.; Fu, J.; Liu, G.; Li, D. Artificial neural network and time series models for predicting soil salt and water content. Agric. Water Manag. 2010, 97, 2009–2019. [Google Scholar] [CrossRef]
- Dai, X.; Huo, Z.; Wang, H. Simulation for response of crop yield to soil moisture and salinity with artificial neural network. Field Crop. Res. 2011, 121, 441–449. [Google Scholar] [CrossRef]
- Akramkhanov, A.; Vlek, P.L. The assessment of spatial distribution of soil salinity risk using neural network. Environ. Monit. Assess. 2012, 184, 2475–2485. [Google Scholar] [CrossRef]
- Banerjee, P.; Singh, V.S.; Chatttopadhyay, K.; Chandra, P.C.; Singh, B. Artificial neural network model as a potential alternative for groundwater salinity forecasting. J. Hydrol. 2011, 398, 212–220. [Google Scholar] [CrossRef]
- Seyam, M.; Mogheir, Y. Application of artificial neural networks model as analytical tool for groundwater salinity. J. Environ. Prot. 2011, 2, 56. [Google Scholar] [CrossRef]
- Nasr, M.; Zahran, H.F. Using of pH as a tool to predict salinity of groundwater for irrigation purpose using artificial neural network. Egypt. J. Aquat. Res. 2014, 40, 111–115. [Google Scholar] [CrossRef]
- Barzegar, R.; Asghari Moghaddam, A.; Adamowski, J.F. Multi-step water quality forecasting using a boosting ensemble multi-wavelet extreme learning machine model. Stoch. Environ. Res. Risk Assess. 2016, 22, 799–813. [Google Scholar] [CrossRef]
- DeSilet, L.; Golden, B.; Wang, Q.; Kumar, R. Predicting salinity in the Chesapeake Bay using backpropagation. Comput. Oper. Res. 1992, 19, 277–285. [Google Scholar] [CrossRef]
- Sreekanth, J.; Datta, B. Multi-objective management of saltwater intrusion in coastal aquifers using genetic programming and modular neural network based surrogate models. J. Hydrol. 2010, 393, 245–256. [Google Scholar] [CrossRef]
- Maier, H.R.; Dandy, G.C. Empirical comparison of various methods for training feed-Forward neural networks for salinity forecasting. Water Resour. Res. 1999, 35, 2591–2596. [Google Scholar] [CrossRef]
- Huang, W.; Foo, S. Neural network modeling of salinity variation in Apalachicola River. Water Res. 2002, 36, 356–362. [Google Scholar] [CrossRef]
- Bowden, G.J.; Maier, H.R.; Dandy, G.C. Input determination for neural network models in water resources applications. Part 2. Case study: Forecasting salinity in a river. J. Hydrol. 2005, 301, 93–107. [Google Scholar] [CrossRef]
- Melesse, A.M.; Ahmad, S.; McClain, M.E.; Wang, X.; Lim, Y. Suspended sediment load prediction of river systems: An artificial neural network approach. Agric. Water Manag. 2011, 98, 855–866. [Google Scholar] [CrossRef]
- Zhu, J.; Wang, X.; Chen, M.; Wu, P.; Kim, M.J. Integration of BIM and GIS: IFC geometry transformation to shapefile using enhanced open-source approach. Autom. Constr. 2019, 106, 102859. [Google Scholar] [CrossRef]
- Sun, G.; Yang, B.; Yang, Z.; Xu, G. An adaptive differential evolution with combined strategy for global numerical optimization. Soft Comput. 2020, 24, 6277–6296. [Google Scholar] [CrossRef]
- Xie, J.; Wen, D.; Liang, L.; Jia, Y.; Gao, L.; Lei, J. Evaluating the Validity of Current Mainstream Wearable Devices in Fitness Tracking Under Various Physical Activities: Comparative Study. JMIR mHealth uHealth 2018, 6, e94. [Google Scholar] [CrossRef] [PubMed]
- Wen, D.; Zhang, X.; Liu, X.; Lei, J. Evaluating the Consistency of Current Mainstream Wearable Devices in Health Monitoring: A Comparison under Free-Living Conditions. J. Med. Internet Res. 2017, 19, e68. [Google Scholar] [CrossRef] [PubMed]
- Khosravi, K.; Panahi, M.; Bui, D. Spatial prediction of groundwater spring potential mapping based on an adaptive neuro-fuzzy inference system and metaheuristic optimization. Hydrol. Earth Syst. Sci. 2018, 22, 4771–4792. [Google Scholar] [CrossRef]
- Termeh, S.V.; Khosravi, K.; Sartaj, M.; Keesstra, S.D.; Tsai, F.; Dijksma, R.; Pham, B. Optimization of an adaptive neuro-fuzzy inference system for groundwater potential mapping. Hydrogeol. J. 2019, 27, 2511–2534. [Google Scholar] [CrossRef]
- Barzegar, R.; Adamowski, J.; Asghari Moghaddam, A. Application of wavelet-artificial intelligence hybrid models for water quality prediction: A case study in Aji-Chay River, Iran. Stoch Environ. Res. Risk Assess. 2016, 30, 1797–1819. [Google Scholar] [CrossRef]
- Khosravi, K.; Pham, B.; Chapi, K.; Shirzadi, A.; Shahabi, H.; Revhaug, I.; Bui, D. A comparative assessment of decision trees algorithms for flash flood susceptibility modeling at Haraz watershed, northern Iran. Sci. Total Environ. 2018, 627, 744–755. [Google Scholar] [CrossRef]
- Khosravi, K.; Shahabi, H.; Pham, B.T.; Adamowski, J.; Shirzadi, A.; Pradhan, B.; Dou, J.; Ly, H.-B.; Gróf, G.; Ho, H.L.; et al. A comparative assessment of flood susceptibility modeling using Multi-Criteria Decision-Making Analysis and Machine Learning Methods. J. Hydrol. 2019, 573, 311–323. [Google Scholar] [CrossRef]
- Khosravi, K.; Sartaj, M.; Tsai, F.T.C.; Singh, V.; Kazakis, N.; Melesse, A.; Pham, B. A comparison study of DRASTIC methods with various objective methods for groundwater vulnerability assessment. Sci. Total Environ. 2018, 642, 1032–1049. [Google Scholar] [CrossRef]
- Pham, B.; Prakhsh, I.; Khosravi, K.; Chapi, K.; Trinh, P.; Ngo, T.; Hesseini, S.V. A comparison of Support Vector Machines and Bayesian algorithms for landslide susceptibility modelling. Geocarto Int. 2018, 34, 1385–1407. [Google Scholar] [CrossRef]
- Chen, W.; Pradhan, B.; Li, S.; Shahabi, H.; Rizeei, H.M.; Hou, E.; Wang, S. Novel Hybrid Integration Approach of Bagging-Based Fisher’s Linear Discriminant Function for Groundwater Potential Analysis. Nat. Resour. Res. 2019, 28, 1239–1258. [Google Scholar] [CrossRef]
- Khozani, Z.; Khosravi, K.; Pham, B.; Kløve, B.; Mohtar, W.; Yaseen, Z. Determination of compound channel apparent shear stress: Application of novel data mining models. J. Hydroinform. 2019, 21, 798–811. [Google Scholar] [CrossRef]
- Heddam, S.; Kisi, O. Modelling daily dissolved oxygen concentration using least square support vector machine, multivariate adaptive regression splines and M5 model tree. J. Hydrol. 2018, 559, 499–509. [Google Scholar] [CrossRef]
- Sharafati, A.; Khosravi, K.; Khosravinia, P.; Ahmed, K.; Salman, S.A.; Yaseen, Z.M. The potential of novel data mining models for global solar radiation prediction. Int. J. Environ. Sci. Technol. 2019, 16, 7147–7164. [Google Scholar] [CrossRef]
- Eilbeigy, M.; Jamour, R. Investigating the Factors Affecting the Salinity of the Ghezelozan River Water. J. Environ. Water Eng. 2019, 5, 120–136. [Google Scholar]
- Liu, J.; Wu, C.; Wu, G.; Wang, X. A novel differential search algorithm and applications for structure design. Appl. Math. Comput. 2015, 268, 246–269. [Google Scholar] [CrossRef]
- Singh, V.; Gu, N.; Wang, X. A theoretical framework of a BIM-based multi-disciplinary collaboration platform. Autom. Constr. 2011, 20, 134–144. [Google Scholar] [CrossRef]
- Zhu, J.; Shi, Q.; Wu, P.; Sheng, Z.; Wang, X. Complexity Analysis of Prefabrication Contractors’ Dynamic Price Competition in Mega Projects with Different Competition Strategies. Complexity 2018, 2018, 5928235. [Google Scholar] [CrossRef]
- Long, Q.; Wu, C.; Wang, X. A system of nonsmooth equations solver based upon subgradient method. Appl. Math. Comput. 2015, 251, 284–299. [Google Scholar] [CrossRef]
- Zhu, J.; Wang, X.; Wang, P.; Wu, Z.; Kim, M.J. Integration of BIM and GIS: Geometry from IFC to shapefile using open-source technology. Autom. Constr. 2019, 102, 105–119. [Google Scholar] [CrossRef]
- Mosavi, A.; Shirzadi, A.; Choubin, B.; Taromideh, F.; Hosseini, F.S.; Borji, M.; Shahabi, H.; Salvati, A.; Dineva, A.A. Towards an Ensemble Machine Learning Model of Random Subspace Based Functional Tree Classifier for Snow Avalanche Susceptibility Mapping. IEEE Access 2020, 8, 145968–145983. [Google Scholar] [CrossRef]
- Shi, K.; Wang, J.; Tang, Y.; Zhong, S. Reliable asynchronous sampled-data filtering of T–S fuzzy uncertain delayed neural networks with stochastic switched topologies. Fuzzy Sets Syst. 2020, 381, 1–25. [Google Scholar] [CrossRef]
- Shi, K.; Wang, J.; Zhong, S.; Tang, Y.; Cheng, J. Hybrid-driven finite-time H∞ sampling synchronization control for coupling memory complex networks with stochastic cyber-attacks. Neurocomputing 2020, 387, 241–254. [Google Scholar] [CrossRef]
- Shi, K.; Wang, J.; Zhong, S.; Tang, Y.; Cheng, J. Non-fragile memory filtering of T-S fuzzy delayed neural networks based on switched fuzzy sampled-data control. Fuzzy Sets Syst. 2019, 394, 40–64. [Google Scholar] [CrossRef]
- Shi, K.; Tang, Y.; Zhong, S.; Yin, C.; Huang, X.; Wang, W. Nonfragile asynchronous control for uncertain chaotic Lurie network systems with Bernoulli stochastic process. Int. J. Robust Nonlinear Control 2018, 28, 1693–1714. [Google Scholar] [CrossRef]
- Quinlan, J.R. Learning with continuous classes. In 5th Australian Joint Conference on Artificial Intelligence; World Scientific: Singapore, 1992; Volume 92, pp. 343–348. [Google Scholar]
- Mosavi, A.; Hosseini, F.S.; Choubin, B.; Goodarzi, M.; Dineva, A.A. Groundwater Salinity Susceptibility Mapping Using Classifier Ensemble and Bayesian Machine Learning Models. IEEE Access 2020, 8, 145564–145576. [Google Scholar] [CrossRef]
- Behnood, A.; Behnood, V.; Gharehveran, M.M.; Alyamac, K.E. Prediction of the compressive strength of normal and high-performance concretes using M5P model tree algorithm. Constr. Build. Mater. 2017, 142, 199–207. [Google Scholar] [CrossRef]
- Breiman, L. Random forests. Mach. Learn. 2001, 45, 5–32. [Google Scholar] [CrossRef]
- Hastie, T.; Tibshirani, R.; Friedman, J. Random forests. In The Elements of Statistical Learning; Springer: Berlin/Heidelberg, Germany, 2009; pp. 587–604. [Google Scholar]
- Bernard, S.; Adam, S.; Heutte, L. Dynamic random forests. Pattern Recognit. Lett. 2012, 33, 1580–1586. [Google Scholar] [CrossRef]
- Nosratabadi, S.; Mosavi, A.; Duan, P.; Ghamisi, P.; Filip, F.; Band, S.S.; Reuter, U.; Gama, J.; Gandomi, A.H. Data Science in Economics: Comprehensive Review of Advanced Machine Learning and Deep Learning Methods. Mathematics 2020, 8, 1799. [Google Scholar] [CrossRef]
- Shi, K.; Tang, Y.; Liu, X.; Zhong, S. Non-fragile sampled-data robust synchronization of uncertain delayed chaotic Lurie systems with randomly occurring controller gain fluctuation. ISA Trans. 2017, 66, 185–199. [Google Scholar] [CrossRef]
- Shi, K.; Tang, Y.; Liu, X.; Zhong, S. Secondary delay-partition approach on robust performance analysis for uncertain time-varying Lurie nonlinear control system. Optim. Control Appl. Methods 2017, 38, 1208–1226. [Google Scholar] [CrossRef]
- Zuo, C.; Chen, Q.; Tian, L.; Waller, L.; Asundi, A. Transport of intensity phase retrieval and computational imaging for partially coherent fields: The phase space perspective. Opt. Lasers Eng. 2015, 71, 20–32. [Google Scholar] [CrossRef]
- Zuo, C.; Sun, J.; Li, J.; Zhang, J.; Asundi, A.; Chen, Q. High-resolution transport-of-intensity quantitative phase microscopy with annular illumination. Sci. Rep. 2017, 7, 7622–7654. [Google Scholar] [CrossRef] [PubMed]
- Breiman, L. Bagging predictors. Mach. Learn. 1996, 24, 123–140. [Google Scholar] [CrossRef]
- Wang, J.; Zuo, R.; Xiong, Y. Mapping Mineral Prospectivity via Semi-supervised Random Forest. Nat. Resour. Res. 2020. [Google Scholar] [CrossRef]
- Zhang, S.; Xiao, K.; Carranza, E.J.M.; Yang, F. Maximum Entropy and Random Forest Modeling of Mineral Potential: Analysis of Gold Prospectivity in the Hezuo–Meiwu District, West Qinling Orogen, China. Nat. Resour. Res. 2019, 28, 645–664. [Google Scholar] [CrossRef]
- Anderson, G.; Pfahringer, B. Random Relational Rules. Ph.D. Thesis, University of Waikato, Hamilton, New Zealand, 2009. [Google Scholar]
- Nguyen, H.; Bui, X.-N. Predicting Blast-Induced Air Overpressure: A Robust Artificial Intelligence System Based on Artificial Neural Networks and Random Forest. Nat. Resour. Res. 2019, 28, 893–907. [Google Scholar] [CrossRef]
- Tao, D.; Tang, X.; Li, X.; Wu, X. Asymmetric bagging and random subspace for support vector machines-based relevance feedback in image retrieval. IEEE Trans. Pattern Anal. Mach. Intell. 2006, 28, 1088–1099. [Google Scholar]
- Skurichina, M.; Duin, R.P. Bagging, boosting and the random subspace method for linear classifiers. Pattern Anal. Appl. 2002, 5, 121–135. [Google Scholar] [CrossRef]
- Kuncheva, L.I.; Plumpton, C.O. Choosing parameters for random subspace ensembles for fMRI classification. In International Workshop on Multiple Classifier Systems; Springer: Berlin/Heidelberg, Germany, 2010; pp. 54–63. [Google Scholar]
- Kuncheva, L.I.; Rodríguez, J.J.; Plumpton, C.O.; Linden, D.E.; Johnston, S.J. Random subspace ensembles for fMRI classification. IEEE Trans. Med. Imaging 2010, 29, 531–542. [Google Scholar] [CrossRef]
- Qassim, Q.; Zin, A.M.; Ab Aziz, M.J. Anomalies Classification Approach for Network-based Intrusion Detection System. Int. J. Netw. Secur. 2016, 18, 1159–1172. [Google Scholar]
- Lira, M.M.; de Aquino, R.R.; Ferreira, A.A.; Carvalho, M.A.; Neto, O.N.; Santos, G.S. Combining multiple artificial neural networks using random committee to decide upon electrical disturbance classification. In 2007 International Joint Conference on Neural Networks; IEEE: Piscataway, NJ, USA, 2007; pp. 2863–2868. [Google Scholar]
- Niranjan, A.; Nutan, D.; Nitish, A.; Shenoy, P.D.; Venugopal, K. ERCR TV: Ensemble of Random Committee and Random Tree for Efficient Anomaly Classification Using Voting. In Proceedings of the 2018 3rd International Conference for Convergence in Technology (I2CT), Pune, India, 6–8 April 2018; pp. 1–5. [Google Scholar]
- Niranjan, A.; Prakash, A.; Veenam, N.; Geetha, M.; Shenoy, P.D.; Venugopal, K. EBJRV: An Ensemble of Bagging, J48 and Random Committee by Voting for Efficient Classification of Intrusions. In Proceedings of the 2017 IEEE International WIE Conference on Electrical and Computer Engineering (WIECON-ECE), Dehradun, India, 18–19 December 2017; pp. 51–54. [Google Scholar]
- Breiman, L.; Friedman, J.H. Estimating optimal transformations for multiple regression and correlation. J. Am. Stat. Assoc. 1985, 80, 580–598. [Google Scholar] [CrossRef]
- Buja, A.; Hastie, T.; Tibshirani, R. Linear smoothers and additive models. Ann. Stat. 1989, 17, 453–510. [Google Scholar] [CrossRef]
- Quan, Q.; Zou, H.; Huang, X.; Lei, J. Research on water temperature prediction based on improved support vector regression. Neural Comput. Appl. 2020, 1–10. [Google Scholar] [CrossRef]
- Chao, L.; Zhang, K.; Li, Z.; Zhu, Y.; Wang, J.; Yu, Z. Geographically weighted regression based methods for merging satellite and gauge precipitation. J. Hydrol. 2018, 558, 275–289. [Google Scholar] [CrossRef]
- Zhang, K.; Ruben, G.B.; Li, X.; Li, Z.; Yu, Z.; Xia, J.; Dong, Z. A comprehensive assessment framework for quantifying climatic and anthropogenic contributions to streamflow changes: A case study in a typical semi-arid North China basin. Environ. Model. Softw. 2020, 128, 104704. [Google Scholar] [CrossRef]
- Wang, S.; Zhang, K.; van Beek, L.P.H.; Tian, X.; Bogaard, T.A. Physically-based landslide prediction over a large region: Scaling low-resolution hydrological model results for high-resolution slope stability assessment. Environ. Model. Softw. 2020, 124, 104607. [Google Scholar] [CrossRef]
- Zhang, K.; Wang, Q.; Chao, L.; Ye, J.; Li, Z.; Yu, Z.; Ju, Q. Ground observation-based analysis of soil moisture spatiotemporal variability across a humid to semi-humid transitional zone in China. J. Hydrol. 2019, 574, 903–914. [Google Scholar] [CrossRef]
- Jiang, Q.; Shao, F.; Gao, W.; Chen, Z.; Jiang, G.; Ho, Y. Unified No-Reference Quality Assessment of Singly and Multiply Distorted Stereoscopic Images. IEEE Trans. Image Process. 2019, 28, 1866–1881. [Google Scholar] [CrossRef]
- Taylor, K.E. Summarizing multiple aspects of model performance in a single diagram. J. Geophys. Res. Space Phys. 2001, 106, 7183–7192. [Google Scholar] [CrossRef]
- Williamson, D.F.; Parker, R.A.; Kendrick, J.S. The box plot: A simple visual method to interpret data. Ann. Intern. Med. 1989, 110, 916–921. [Google Scholar] [CrossRef]
- Khosravi, K.; Nohani, E.; Maroufinia, E.; Pourghasemi, H.R. A GIS-based flood susceptibility assessment and its mapping in Iran: A comparison between frequency ratio and weights-of-evidence bivariate statistical models with multi-criteria decision making techniques. Nat. Hazards 2016, 83, 947–987. [Google Scholar] [CrossRef]
- Khosravi, K.; Daggupati, P.; Alami, M.; Awadh, S.; Ghareb, M.; Panahi, M.; Pham, B.; Rezaei, F.; Chongchong, Q.; Yaseen, Z. Meteorological data mining and hybrid data-intelligence models for reference evaporation simulation: A case study in Iraq. Comput. Electron. Agric. 2019, 167, 105041. [Google Scholar] [CrossRef]
- Chang, F.J.; Hsu, K.; Chang, L.C. (Eds.) Flood Forecasting Using Machine Learning Methods; MDPI: Basel, Switzerland, 2019. [Google Scholar] [CrossRef]
- Chang, F.J.; Guo, S. Advances in hydrologic forecasts and water resources management. Water 2020, 12, 1819. [Google Scholar] [CrossRef]
- Chang, L.C.; Chang, F.J.; Yang, S.N.; Tsai, F.H.; Chang, T.H.; Herricks, E.E. Self-organizing maps of typhoon tracks allow for flood forecasts up to two days in advance. Nat. Commun. 2020, 11, 1–13. [Google Scholar] [CrossRef] [PubMed]
- Zhou, Y.; Guo, S.; Chang, F.J. Explore an evolutionary recurrent ANFIS for modelling multi-step-ahead flood forecasts. J. Hydrol. 2019, 570, 343–355. [Google Scholar] [CrossRef]
- Kao, I.F.; Zhou, Y.; Chang, L.C.; Chang, F.J. Exploring a Long Short-Term Memory based Encoder-Decoder framework for multi-step-ahead flood forecasting. J. Hydrol. 2020, 583, 124631. [Google Scholar] [CrossRef]
- Hu, J.H.; Tsai, W.P.; Cheng, S.T.; Chang, F.J. Explore the relationship between fish community and environmental factors by machine learning techniques. Environ. Res. 2020, 184, 109262. [Google Scholar] [CrossRef]
- Kisi, O.; Heddam, S.; Yaseen, Z.M. The implementation of univariable scheme-based air temperature for solar radiation prediction: New development of dynamic evolving neural-fuzzy inference system model. Appl. Energy 2019, 241, 184–195. [Google Scholar] [CrossRef]
- Loh, W.-Y. Classification and regression trees. Wiley Interdiscip. Rev. Data Min. Knowl. Discov. 2011, 1, 14–23. [Google Scholar] [CrossRef]
- Choubin, B.; Darabi, H.; Rahmati, O.; Sajedi-Hosseini, F.; Kløve, B. River suspended sediment modelling using the CART model: A comparative study of machine learning techniques. Sci. Total Environ. 2018, 615, 272–281. [Google Scholar] [CrossRef] [PubMed]
- De’ath, G.; Fabricius, K.E. Classification and regression trees: A powerful yet simple technique for ecological data analysis. Ecology 2000, 81, 3178–3192. [Google Scholar] [CrossRef]
- Ghorbani, M.A.; Aalami, M.T.; Naghipour, L. Use of artificial neural networks for electrical conductivity modeling in Asi River. Appl. Water Sci. 2017, 7, 1761–1772. [Google Scholar] [CrossRef]
- Rohmer, J.; Brisset, N. Short-term forecasting of saltwater occurrence at La Comté River (French Guiana) using a kernel-based support vector machine. Environ. Earth Sci. 2017, 76, 246. [Google Scholar] [CrossRef]
- Ravansalar, M.; Rajaee, T. Evaluation of wavelet performance via an ANN-based electrical conductivity prediction model. Environ. Monit. Assess. 2015, 187, 366. [Google Scholar] [CrossRef]
- Azad, A.; Karami, H.; Farzin, S.; Mousavi, S.F.; Kisi, O. Modeling river water quality parameters using modified adaptive neuro fuzzy inference system. Water Sci. Eng. 2019, 12, 45–54. [Google Scholar] [CrossRef]
- Tutmez, B.; Hatipoglu, Z.; Kaymak, U. Modelling electrical conductivity of groundwater using an adaptive neuro-fuzzy inference system. Comput. Geosci. 2006, 32, 421–433. [Google Scholar] [CrossRef]
- Al-Mukhtar, M.; Al-Yaseen, F. Modeling water quality parameters using data-driven models, a case study Abu-Ziriq marsh in south of Iraq. Hydrology 2019, 6, 24. [Google Scholar] [CrossRef]







| Variables | Training Dataset | Testing Dataset | ||||||
|---|---|---|---|---|---|---|---|---|
| Min | Max | Mean | Std. Deviation | Min | Max | Mean | Std. Deviation | |
| Q (M3/s) | 0.01 | 80 | 5.49 | 6.16 | 0 | 138.533 | 6.32 | 13.21 |
| TDS (mg/L) | 143 | 900 | 268.90 | 88.31 | 109 | 595 | 227.32 | 69.42 |
| pH | 6.5 | 8.8 | 7.74 | 0.44 | 7.6 | 8.3 | 7.90 | 0.13 |
| HCO3− (mg/L) | 0.8 | 9.9 | 3.22 | 0.86 | 1.2 | 4.2 | 2.57 | 0.52 |
| Cl− (mg/L) | 0.1 | 8.6 | 0.50 | 0.67 | 0.1 | 2.5 | 0.31 | 0.30 |
| SO42− (mg/L) | 0.02 | 3.7 | 0.48 | 0.42 | 0.1 | 3.9 | 0.36 | 0.44 |
| Ca2+ (mg/L) | 0.55 | 4.5 | 2.22 | 0.59 | 0.8 | 4.5 | 1.66 | 0.42 |
| Mg2+ (mg/L) | 0.4 | 6.1 | 1.38 | 0.59 | 0.5 | 3.2 | 1.24 | 0.32 |
| Na+ (mg/L) | 0.1 | 7.1 | 0.63 | 0.64 | 0.1 | 3.6 | 0.45 | 0.46 |
| EC (μs/cm) | 220 | 1370 | 413.92 | 134.73 | 165 | 900 | 350.98 | 105.34 |
| Input Variables | Q | TDS | pH | HCO3− | Cl− | SO42− | Ca2+ | Mg2+ | Na+ |
|---|---|---|---|---|---|---|---|---|---|
| Correlation | −0.12 | 0.91 | −0.23 | 0.77 | 0.76 | 0.60 | 0.71 | 0.70 | 0.81 |
| NO | Different Input Combinations |
|---|---|
| 1 | TDS |
| 2 | TDS, Na+ |
| 3 | TDS, Na, HCO3− |
| 4 | TDS, Na, HCO3−, Cl− |
| 5 | TDS, Na, HCO3−, Cl−, Ca2+ |
| 6 | TDS, Na, HCO3−, Cl−, Ca2+, Mg2+ |
| 7 | TDS, Na, HCO3−, Cl−, Ca2+, Mg2+, SO42− |
| 8 | TDS, Na, HCO3−, Cl−, Ca2+, Mg2+, SO42−, pH |
| 9 | TDS, Na, HCO3−, Cl−, Ca2+, Mg2+, SO42−, pH, Q |
| Models | Phase | Input Combinations | ||||||||
|---|---|---|---|---|---|---|---|---|---|---|
| 1 | 2 | 3 | 4 | 5 | 6 | 7 | 8 | 9 | ||
| M5P | Training | 18.8 | 18.8 | 18.8 | 18.8 | 18.8 | 18.4 | 18.3 | 18.1 | 18.1 |
| Testing | 9 | 9 | 9 | 9 | 9 | 9.3 | 9.9 | 9.6 | 9.6 | |
| RF | Training | 13 | 9.6 | 11.3 | 10.9 | 12.3 | 14.3 | 13.9 | 14.7 | 16.1 |
| Testing | 18.5 | 20.6 | 22.1 | 18.9 | 21.4 | 23.5 | 19.3 | 20.5 | 21.3 | |
| Bagging-M5P | Training | 18 | 17.6 | 17.4 | 17.4 | 17.1 | 16.5 | 16.1 | 16.4 | 16.7 |
| Testing | 8.96 | 9.5 | 9.5 | 9.7 | 9.6 | 9.4 | 10.6 | 10.2 | 10.1 | |
| Bagging-RF | Training | 17 | 15.1 | 18.5 | 17.8 | 20.9 | 22.4 | 21.9 | 22.8 | 24.6 |
| Testing | 19.01 | 20.3 | 20.8 | 21.3 | 23.5 | 22.7 | 21.95 | 23.1 | 23.9 | |
| RS-M5P | Training | 18 | 42.5 | 22.2 | 22.6 | 27.3 | 28.9 | 21.6 | 24.3 | 21.7 |
| Testing | 9 | 36.8 | 11.3 | 16.4 | 17.5 | 21 | 13.8 | 16.4 | 13.8 | |
| RS-RF | Training | 13 | 38.1 | 19.6 | 17.7 | 19.3 | 17.8 | 14.2 | 17.1 | 16.2 |
| Testing | 19.3 | 46.2 | 34 | 28.5 | 32.3 | 23.6 | 19.9 | 25.2 | 23.9 | |
| RC-M5P | Training | 10 | 3.4 | 1.8 | 1.9 | 1.3 | 1.3 | 1.4 | 1.4 | 1.2 |
| Testing | 15.6 | 27.7 | 21.6 | 21.3 | 26.7 | 17.8 | 19.5 | 23.8 | 24.3 | |
| RC-RF | Training | 13 | 9.2 | 10.9 | 10.9 | 12.6 | 13.7 | 14 | 14.5 | 15 |
| Testing | 19.3 | 21.7 | 21.8 | 20.8 | 21.8 | 20.7 | 20 | 20.9 | 22.4 | |
| AR-M5P | Training | 18.8 | 18.8 | 18.8 | 18.8 | 18.8 | 18.4 | 18.3 | 18.1 | 18.2 |
| Testing | 9 | 9 | 9 | 9 | 9 | 9.3 | 9.9 | 9.6 | 9.7 | |
| AR-RF | Training | 13 | 13 | 0.02 | 0.019 | 0.02 | 0.019 | 0.02 | 0.02 | 0.02 |
| Testing | 18 | 18.6 | 18.6 | 19.6 | 20.1 | 18.3 | 17.4 | 18.4 | 20.7 | |
| Models | RMSE (μs/cm) | MAE (μs/cm) | NSE | PBIAS |
|---|---|---|---|---|
| M5P | 9.04 | 6.29 | 0.992 | −0.055 |
| RF | 18.50 | 10.18 | 0.968 | 0.488 |
| Bagging-M5P | 8.96 | 6.24 | 0.992 | −0.051 |
| Bagging-RF | 19.01 | 10.54 | 0.966 | 0.0233 |
| RS-M5P | 8.92 | 6.23 | 0.993 | −0.044 |
| RS-RF | 19.30 | 10.22 | 0.965 | 0.491 |
| RC-M5P | 15.60 | 9.59 | 0.977 | 0.386 |
| RC-RF | 19.30 | 10.2 | 0.965 | 0.49 |
| AR-M5P | 8.90 | 6.20 | 0.994 | −0.042 |
| AR-RF | 15.98 | 9.87 | 0.976 | 0.422 |
Publisher’s Note: MDPI stays neutral with regard to jurisdictional claims in published maps and institutional affiliations. |
© 2020 by the authors. Licensee MDPI, Basel, Switzerland. This article is an open access article distributed under the terms and conditions of the Creative Commons Attribution (CC BY) license (http://creativecommons.org/licenses/by/4.0/).
Share and Cite
Melesse, A.M.; Khosravi, K.; Tiefenbacher, J.P.; Heddam, S.; Kim, S.; Mosavi, A.; Pham, B.T. River Water Salinity Prediction Using Hybrid Machine Learning Models. Water 2020, 12, 2951. https://doi.org/10.3390/w12102951
Melesse AM, Khosravi K, Tiefenbacher JP, Heddam S, Kim S, Mosavi A, Pham BT. River Water Salinity Prediction Using Hybrid Machine Learning Models. Water. 2020; 12(10):2951. https://doi.org/10.3390/w12102951
Chicago/Turabian StyleMelesse, Assefa M., Khabat Khosravi, John P. Tiefenbacher, Salim Heddam, Sungwon Kim, Amir Mosavi, and Binh Thai Pham. 2020. "River Water Salinity Prediction Using Hybrid Machine Learning Models" Water 12, no. 10: 2951. https://doi.org/10.3390/w12102951
APA StyleMelesse, A. M., Khosravi, K., Tiefenbacher, J. P., Heddam, S., Kim, S., Mosavi, A., & Pham, B. T. (2020). River Water Salinity Prediction Using Hybrid Machine Learning Models. Water, 12(10), 2951. https://doi.org/10.3390/w12102951

