From Highs to Lows: Changes in Dissolved Organic Carbon in a Peatland Catchment and Lake Following Extreme Flow Events
Abstract
1. Introduction
2. Materials and Methods
2.1. Site Description
2.2. In Situ Monitoring of CDOM Fluorescence
2.3. Data Processing Including Conversion of CDOM to Estimated DOC
2.4. Stream Discharge and Meteorological Data
2.5. Change in DOC Concentration during Extreme Discharge Events
2.6. Statistical Analysis
3. Results
3.1. Meteorological and Hydrological Conditions
3.2. Change in DOC Concentration during Extreme Discharge Events
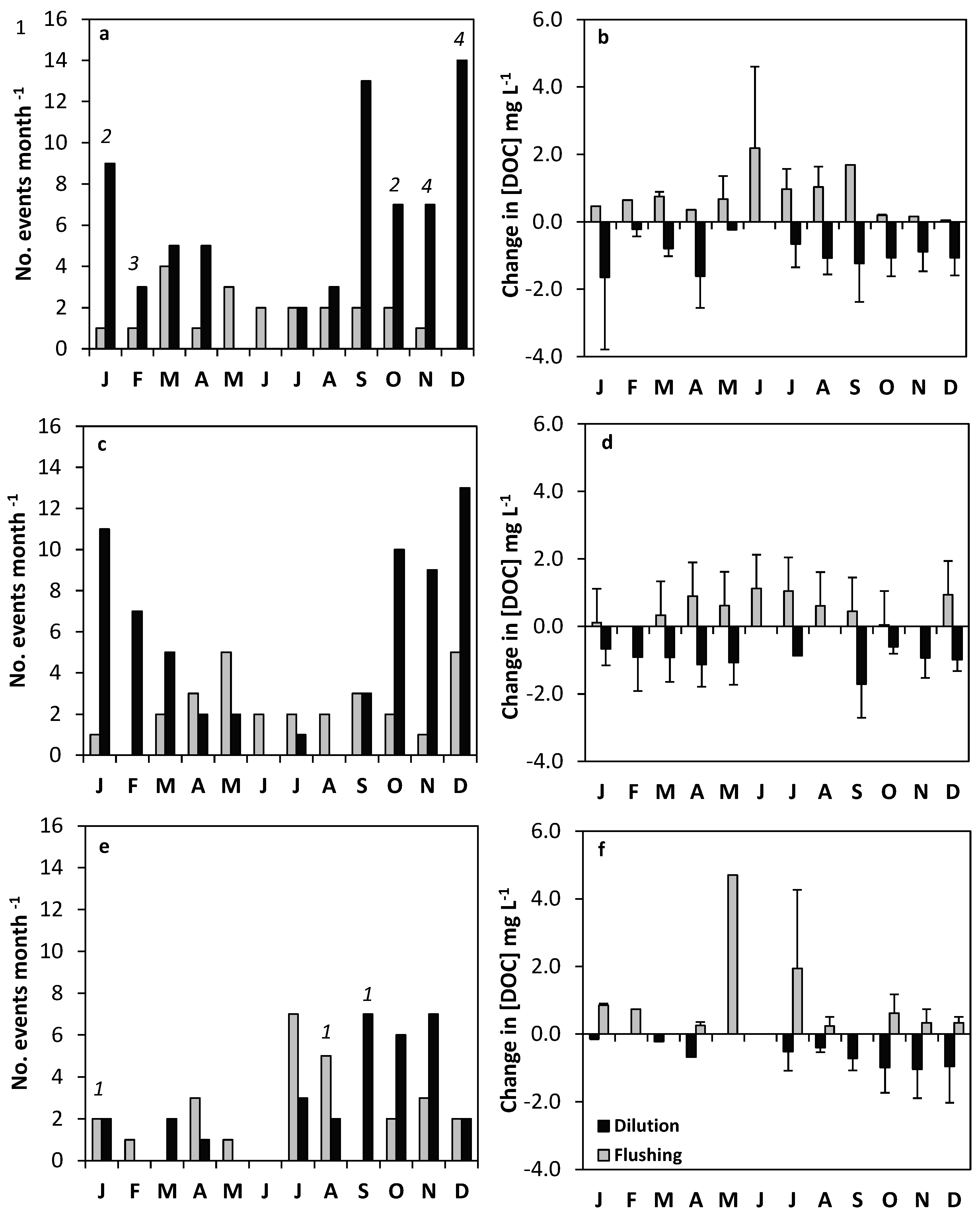
3.3. Distribution of Flushing Versus Dilution Events
3.4. DOC Loading and DOC Concentration in Lough Feeagh
4. Discussion
5. Conclusions
Author Contributions
Funding
Acknowledgments
Conflicts of Interest
References
- Worrall, F.; Burt, T.P. Trends in DOC concentration in Great Britain. J. Hydrol. 2007, 346, 81–92. [Google Scholar] [CrossRef]
- Monteith, D.T.; Stoddard, J.L.; Evans, C.D.; De Wit, H.A.; Forsius, M.; Høgåsen, T.; Wilander, A.; Skjelkvåle, B.L.; Jeffries, D.S.; Vuorenmaa, J.; et al. Dissolved organic carbon trends resulting from changes in atmospheric deposition chemistry. Nature 2007, 450, 537. [Google Scholar] [CrossRef] [PubMed]
- Argerich, A.; Haggerty, R.; Johnson, S.L.; Wondzell, S.M.; Dosch, N.; Corson-Rikert, H.; Ashkenas, L.R.; Pennington, R.; Thomas, C.K. Comprehensive multiyear carbon budget of a temperate headwater stream. J. Geophys. Res. Biogeosci. 2016, 121, 1306–1315. [Google Scholar] [CrossRef]
- Jennings, E.; Allott, N.; Arvola, L.; Jarvinen, M.; Moore, K.; Naden, P.; Nic Aongusa, C.; Noges, T.; Weyhermeyer, G. Impacts of climate on the flux of dissolved organic carbon from catchments. In The Impact of Climate Change on European Lakes; George, D.G., Ed.; Springer: Dordrecht, The Netherlands, 2010. [Google Scholar]
- Scharlemann, J.P.; Tanner, E.V.; Hiederer, R.; Kapos, V. Global soil carbon: Understanding and managing the largest terrestrial carbon pool. Carbon Manag. 2014, 5, 81–91. [Google Scholar] [CrossRef]
- Ward, N.D.; Bianchi, T.S.; Medeiros, P.M.; Seidel, M.; Richey, J.E.; Keil, R.G.; Sawakuchi, H.O. Where carbon goes when water flows: Carbon cycling across the aquatic continuum. Front. Marine Sci. 2017, 4, 7. [Google Scholar] [CrossRef]
- Sillanpää, M.; Ncibi, M.C.; Matilainen, A.; Vepsäläinen, M. Removal of natural organic matter in drinking water treatment by coagulation: A comprehensive review. Chemosphere 2018, 190, 54–71. [Google Scholar] [CrossRef]
- Monteith, D.T.; Henrys, P.A.; Evans, C.D.; Malcolm, I.; Shilland, E.M.; Pereira, M.G. Spatial controls on dissolved organic carbon in upland waters inferred from a simple statistical model. Biogeochemistry 2015, 123, 363–377. [Google Scholar] [CrossRef]
- Hinton, M.J.; Schiff, S.L.; English, M.C. The significance of storms for the concentration and export of dissolved organic carbon from two Precambrian Shield catchments. Biogeochemistry 1997, 36, 67–88. [Google Scholar] [CrossRef]
- Raymond, P.A.; Saiers, J.E. Event controlled DOC export from forested watersheds. Biogeochemistry 2010, 100, 197–209. [Google Scholar] [CrossRef]
- Vaughan, M.C.; Bowden, W.B.; Shanley, J.B.; Vermilyea, A.; Sleeper, R.; Gold, A.J.; Pradhanang, S.M.; Inamdar, S.P.; Levia, D.F.; Andres, A.S.; et al. High-frequency dissolved organic carbon and nitrate measurements reveal differences in storm hysteresis and loading in relation to land cover and seasonality. Water Resour. Res. 2017, 53, 5345–5363. [Google Scholar] [CrossRef]
- Koenig, L.E.; Shattuck, M.D.; Snyder, L.E.; Potter, J.D.; McDowell, W.H. Deconstructing the Effects of Flow on DOC, Nitrate, and Major Ion Interactions Using a High-Frequency Aquatic Sensor Network. Water Resour. Res. 2017, 53, 10655–10673. [Google Scholar] [CrossRef]
- Clark, J.M.; Lane, S.N.; Chapman, P.J.; Adamson, J.K. Export of dissolved organic carbon from an upland peatland during storm events: Implications for flux estimates. J. Hydrol. 2007, 347, 438–447. [Google Scholar] [CrossRef]
- Clark, J.M.; Lane, S.N.; Chapman, P.J.; Adamson, J.K. Link between DOC in near surface peat and stream water in an upland catchment. Sci. Total Environ. 2008, 404, 308–315. [Google Scholar] [CrossRef] [PubMed]
- Holden, J.; Smart, R.P.; Dinsmore, K.J.; Baird, A.J.; Billett, M.F.; Chapman, P.J. Natural pipes in blanket peatlands: Major point sources for the release of carbon to the aquatic system. Glob. Chang. Biol. 2012, 18, 3568–3580. [Google Scholar] [CrossRef]
- Austnes, K.; Evans, C.D.; Eliot-Laize, C.; Naden, P.S.; Old, G.H. Effects of storm events on mobilisation and in-stream processing of dissolved organic matter (DOM) in a Welsh peatland catchment. Biogeochemistry 2010, 99, 157–173. [Google Scholar] [CrossRef]
- Tunaley, C.; Tetzlaff, D.; Soulsby, C. Scaling effects of riparian peatlands on stable isotopes in runoff and DOC mobilisation. J. Hydrol. 2017, 549, 220–235. [Google Scholar] [CrossRef]
- Koehler, A.K.; Murphy, K.; Kiely, G.; Sottocornola, M. Seasonal variation of DOC concentration and annual loss of DOC from an Atlantic blanket bog in South Western Ireland. Biogeochemistry 2009, 95, 231–242. [Google Scholar] [CrossRef]
- Ryder, E.; de Eyto, E.; Dillane, M.; Poole, R.; Jennings, E. Identifying the role of environmental drivers in organic carbon export from a forested peat catchment. Sci. Total Environ. 2014, 490, 28–36. [Google Scholar] [CrossRef]
- Doyle, B.C.; de Eyto, E.; Dillane, M.; Poole, R.; McCarthy, V.; Ryder, E.; Jennings, E. Synchrony in catchment stream colour levels is driven by both local and regional climate. Biogeosciences 2019, 16, 1053–1071. [Google Scholar] [CrossRef]
- Worrall, F.; Burt, T.P.; Jaeban, R.Y.; Warburton, J.; Shedden, R. Release of dissolved organic carbon from upland peat. Hydrol. Process. 2002, 16, 3487–3504. [Google Scholar] [CrossRef]
- Birkel, C.; Broder, T.; Biester, H. Nonlinear and threshold-dominated runoff generation controls DOC export in a small peat catchment. J. Geophys. Res. Biogeosci. 2017, 122, 498–513. [Google Scholar] [CrossRef]
- Knorr, K.H. DOC-dynamics in a small headwater catchment as driven by redox fluctuations and hydrological flow paths–Are DOC exports mediated by iron reduction/oxidation cycles? Biogeosciences 2013, 10, 891–904. [Google Scholar] [CrossRef]
- de Eyto, E.; Jennings, E.; Ryder, E.; Sparber, K.; Dillane, M.; Dalton, C.; Poole, R. Response of a humic lake ecosystem to an extreme precipitation event: Physical, chemical, and biological implications. Inland Waters 2016, 6, 483–498. [Google Scholar] [CrossRef]
- Watras, C.J.; Hanson, P.C.; Stacy, T.L.; Morrison, K.M.; Mather, J.; Hu, Y.H.; Milewski, P. A temperature compensation method for CDOM fluorescence sensors in freshwater. Limnol. Oceanogr. Methods 2011, 9, 296–301. [Google Scholar] [CrossRef]
- Ryder, E.; Jennings, E.; de Eyto, E.; Dillane, M.; NicAonghusa, C.; Pierson, D.C.; Moore, K.; Rouen, M.; Poole, R. Temperature quenching of CDOM fluorescence sensors: Temporal and spatial variability in the temperature response and a recommended temperature correction equation. Limnol. Oceanogr. Methods 2012, 10, 1004–1010. [Google Scholar] [CrossRef]
- Downing, B.D.; Pellerin, B.A.; Bergamaschi, B.A.; Saraceno, J.F.; Kraus, T.E. Seeing the light: The effects of particles, dissolved materials, and temperature on in situ measurements of DOM fluorescence in rivers and streams. Limnol. Oceanogr. Methods 2012, 10, 767–775. [Google Scholar] [CrossRef]
- Arnold, J.G.; Allen, P.M. Automated methods for estimating baseflow and ground water recharge from streamflow records 1. JAWRA J. Am. Water Resour. Assoc. 1998, 35, 411–424. [Google Scholar] [CrossRef]
- Gustard, A.; Bullock, A.; Dixon, J.M. Low Flow Estimation in the United Kingdom; (IH Report No.108); Institute of Hydrology: Wallingford, UK, 1992; p. 88. [Google Scholar]
- Lloyd, C.E.M.; Freer, J.E.; Johnes, P.J.; Collins, A.L. Using hysteresis analysis of high-resolution water quality monitoring data, including uncertainty, to infer controls on nutrient and sediment transfer in catchments. Sci. Total Environ. 2016, 543, 388–404. [Google Scholar] [CrossRef] [PubMed]
- Butturini, A.; Alvarez, M.; Bernal, S.; Vazquez, E.; Sabater, F. Diversity and temporal sequences of forms of DOC and NO3-discharge responses in an intermittent stream: Predictable or random succession? J. Geophys. Res. Biogeosci. 2008, 113, G01016. [Google Scholar] [CrossRef]
- Wood, S.N. Stable and efficient multiple smoothing parameter estimation for generalized additive models. J. Am. Stat. Assoc. 2004, 99, 673–686. [Google Scholar] [CrossRef]
- R Core Team. R: A Language and Environment for Statistical Computing; R Foundation for Statistical Computing: Vienna, Austria, 2017; Available online: https://www.R-project.org/ (accessed on 21 September 2019).
- Zuur, A.F.; Ieno, E.N.; Walker, N. Mixed Effects Models and Extensions in Ecology with R; Springer: New York, NY, USA, 2008. [Google Scholar]
- Sekhon, J.S. Multivariate and Propensity Score Matching Software with Automated Balance Optimization: The Matching package for R. J. Stat. Softw. 2011, 42, 1–52. [Google Scholar] [CrossRef]
- Inamdar, S.P.; O’Leary, N.; Mitchell, M.J.; Riley, J.T. The impact of storm events on solute exports from a glaciated forested watershed in western New York, USA. Hydrol. Process. An Int. J. 2006, 20, 3423–3439. [Google Scholar] [CrossRef]
- Fenner, N.; Freeman, C. Drought-induced carbon loss in peatlands. Nat. Geosci. 2011, 4, 895–900. [Google Scholar] [CrossRef]
- Ritson, J.P.; Brazier, R.E.; Graham, N.J.; Freeman, C.; Templeton, M.R.; Clark, J.M. The effect of drought on dissolved organic carbon (DOC) release from peatland soil and vegetation sources. Biogeosciences 2017, 14, 2891–2902. [Google Scholar] [CrossRef]
- Guarch-Ribot, A.; Butturini, A. Hydrological conditions regulate dissolved organic matter quality in an intermittent headwater stream. From drought to storm analysis. Sci. Total Environ. 2016, 571, 1358–1369. [Google Scholar] [CrossRef]
- Rezanezhad, F.; Price, J.S.; Quinton, W.L.; Lennartz, B.; Milojevic, T.; Van Cappellen, P. Structure of peat soils and implications for water storage, flow and solute transport: A review update for geochemists. Chem. Geol. 2016, 429, 75–84. [Google Scholar] [CrossRef]
- Worrall, F.; Reed, M.; Warburton, J.; Burt, T. Carbon budget for a British upland peat catchment. Sci. Total Environ. 2003, 312, 133–146. [Google Scholar] [CrossRef]
- Sparber, K.; Dalton, C.; de Eyto, E.; Jennings, E.; Cassina, F. Contrasting pelagic plankton of temperate Irish lakes: The relative contribution of hetero-, mixo- and autotrophic components. Inland Waters 2015, 5, 295–310. [Google Scholar] [CrossRef]
- Bertilsson, S.; Tranvik, L.J. Photochemical transformation of dissolved organic matter in lakes. Limnol. Oceanogr. 2000, 45, 753–762. [Google Scholar] [CrossRef]







| Year | 2004 | 2006 | 2010 |
|---|---|---|---|
| Annual precipitation mm yr−1 | 2125 | 2108 | 1599 |
| Median daily Q m3 s−1 | 0.40 | 0.34 | 0.29 |
| Mean daily Q m3 s−1 | 0.77 | 0.91 | 0.67 |
| % hours as runoff | 42.3 | 35.4 | 32.7 |
| % hours as baseflow | 57.7 | 64.6 | 67.3 |
| Median DOC mg L−1 all hours 1 | 7.7 | 6.7 | 7.4 |
| Median DOC mg L−1 runoff hours 1 | 7.3 | 6.5 | 8.0 |
| Median DOC mg L−1 baseflow hours 1 | 8.0 | 6.8 | 7.4 |
| Total annual load t km−2 | 10.3 | 10.9 | 10.0 |
| % load runoff hours | 62.3 | 60.9 | 61.6 |
| % load baseflow hours | 37.7 | 39.1 | 38.4 |
| % load h in 10% of time | 43.4 | 49.0 | 54.8 |
| 2004 | 2006 | 2010 | ||||
|---|---|---|---|---|---|---|
| No. dilution events | 54 | 63 | 33 | |||
| No. flushing events | 19 | 28 | 25 | |||
| No. with missing DOC data | 15 | 0 | 3 | |||
| Total number of events | 88 | 91 | 62 | |||
| 1 Change in (DOC) mg L−1 | Dilut. | Flush. | Dilut. | Flush. | Dilut. | Flush. |
| Max | −6.60 | 3.89 | −3.45 | 2.96 | −2.54 | 5.89 |
| Mean | −1.12 | 0.83 | −0.89 | 0.65 | −0.84 | 0.89 |
| Median | −0.97 | 0.59 | −0.80 | 0.48 | −0.67 | 0.45 |
© 2020 by the authors. Licensee MDPI, Basel, Switzerland. This article is an open access article distributed under the terms and conditions of the Creative Commons Attribution (CC BY) license (http://creativecommons.org/licenses/by/4.0/).
Share and Cite
Jennings, E.; de Eyto, E.; Moore, T.; Dillane, M.; Ryder, E.; Allott, N.; Nic Aonghusa, C.; Rouen, M.; Poole, R.; Pierson, D.C. From Highs to Lows: Changes in Dissolved Organic Carbon in a Peatland Catchment and Lake Following Extreme Flow Events. Water 2020, 12, 2843. https://doi.org/10.3390/w12102843
Jennings E, de Eyto E, Moore T, Dillane M, Ryder E, Allott N, Nic Aonghusa C, Rouen M, Poole R, Pierson DC. From Highs to Lows: Changes in Dissolved Organic Carbon in a Peatland Catchment and Lake Following Extreme Flow Events. Water. 2020; 12(10):2843. https://doi.org/10.3390/w12102843
Chicago/Turabian StyleJennings, Eleanor, Elvira de Eyto, Tadhg Moore, Mary Dillane, Elizabeth Ryder, Norman Allott, Caitriona Nic Aonghusa, Martin Rouen, Russell Poole, and Donald C. Pierson. 2020. "From Highs to Lows: Changes in Dissolved Organic Carbon in a Peatland Catchment and Lake Following Extreme Flow Events" Water 12, no. 10: 2843. https://doi.org/10.3390/w12102843
APA StyleJennings, E., de Eyto, E., Moore, T., Dillane, M., Ryder, E., Allott, N., Nic Aonghusa, C., Rouen, M., Poole, R., & Pierson, D. C. (2020). From Highs to Lows: Changes in Dissolved Organic Carbon in a Peatland Catchment and Lake Following Extreme Flow Events. Water, 12(10), 2843. https://doi.org/10.3390/w12102843

