Evaluation of Permeable Brick Pavement on the Reduction of Stormwater Runoff Using a Coupled Hydrological Model
Abstract
1. Introduction
2. Materials and Methods
2.1. Study Area
2.2. Coupled Model (SWMM/HYDRUS-1D)
2.3. Calibration and Validation
2.4. Development of Different Scenarios
2.4.1. PBP Implementation Scenarios
2.4.2. Design Rainstorm Events
3. Results and Discussion
3.1. Model Performance Evaluation
3.2. Rainstorm Runoff Depth and Infiltration Rate
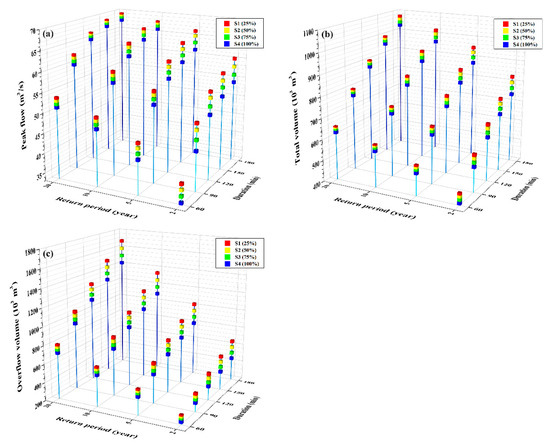
3.3. Effect of PBP on Outfall Flow and Drainage Overflow
3.4. Comparison of Potential Runoff Reduction
3.5. Study Limitations and Future Designed Strategies
4. Conclusions
- (1)
- An SIR of 15.6 mm/h was identified for urban areas covered with a five-layer PBP in Xinyang FDC watershed. The temporal distribution of IR played an important role in surface runoff generation. In addition, the initial IR, MIR, and time to stability were affected by the duration and RP of rainstorms.
- (2)
- A PBP with a paving percentage of over 25% (S1–S4) showed a significant effect on reducing outfall runoff and drainage nodes overflow. Furthermore, PF, TV, and OV were reduced by increasing the PBP percentage of available areas as much as possible.
- (3)
- The greatest reduction occurred in scenario (S4) with 100% PBP. Furthermore, PF, TV, and OV decreased with rainstorm RP, and the mitigation effect of OV (15.4–30.6%) was mostly higher than that of PF (4.2–13.5%) and TV (4.2–10.5%).
- (4)
- Infiltration based infrastructure related to the SPC strategy could potentially have a positive impact on stormwater runoff. Results from our watershed-scale hydrological model indicate that the implementation of PBP can decrease stormwater runoff PF and volume, especially under small magnitude and short duration rainstorm conditions, thereby reducing the risk of urban flooding.
Author Contributions
Funding
Acknowledgments
Conflicts of Interest
References
- Booth, D.B.; Jackson, C.R. Urbanization of aquatic systems: Degradation thresholds, stormwater detection, and the limits of mitigation. J. Am. Water Resour. Assoc. 1997, 33, 1077–1090. [Google Scholar] [CrossRef]
- Liu, J.; Shao, W.; Xiang, C.; Mei, C.; Li, Z. Uncertainties of urban flood modeling: Influence of parameters for different underlying surfaces. Environ. Res. 2020, 182, 1–8. [Google Scholar] [CrossRef]
- Wang, H.; Mei, C.; Liu, J.; Shao, W. A new strategy for integrated urban water management in China: Sponge city. Sci. China Technol. Sci. 2018, 61, 317–329. [Google Scholar] [CrossRef]
- Xia, J.; Zhang, Y.; Xiong, L.; He, S.; Wang, L.; Yu, Z. Opportunities and challenges of the Sponge City construction related to urban water issues in China. Sci. China Earth Sci. 2017, 60, 652–658. [Google Scholar] [CrossRef]
- Silva, C.D.M.; Barbosa, G. Cumulative effect of the disconnection of impervious areas within residential lots on runoff generation and temporal patterns in a small urban area. J. Environ. Manag. 2020, 253, 1–12. [Google Scholar] [CrossRef]
- Westra, S.; Fowler, H.J.; Evans, J.P.; Alexander, L.V.; Berg, P.; Johnson, F.; Kendon, E.J.; Lenderink, G.; Roberts, N.M. Future changes to the intensity and frequency of short-duration extreme rainfall. Water Resour. Res. 2014, 52, 522–555. [Google Scholar] [CrossRef]
- Brattebo, B.O.; Booth, D.B. Long-term stormwater quantity and quality performance of permeable pavement systems. Water Res. 2003, 37, 4369–4376. [Google Scholar] [CrossRef]
- Brunetti, G.; Šimůnek, J.; Piro, P. A comprehensive numerical analysis of the hydraulic behavior of a permeable pavement. J. Hydrol. 2016, 540, 1146–1161. [Google Scholar] [CrossRef]
- Palla, A.; Gnecco, I. Hydrologic modeling of low impact development systems at the urban catchment scale. J. Hydrol. 2015, 528, 361–368. [Google Scholar] [CrossRef]
- Her, Y.; Jeong, J.; Arnold, J.; Gosselink, L.; Glick, R.; Jaber, F. A new framework for modeling decentralized low impact developments using soil and water assessment tool. Environ. Model. Softw. 2017, 96, 305–322. [Google Scholar] [CrossRef]
- Palermo, S.A.; Talarico, V.C.; Turco, M. On the LID systems effectiveness for urban stormwater management: Case study in Southern Italy. IOP Conf. Ser. Earth Environ. Sci. 2020, 410. [Google Scholar] [CrossRef]
- Luo, P.; Zhou, M.; Deng, H.; Lyu, J.; Cao, W.; Takara, K.; Nover, D.; Schladow, S.G. Impact of forest maintenance on water shortages: Hydrologic modeling and effects of climate change. Sci. Total Environ. 2018, 615, 1355–1363. [Google Scholar] [CrossRef] [PubMed]
- Ahiablame, L.; Shakya, R. Modeling flood reduction effects of low impact development at a watershed scale. J. Environ. Manag. 2016, 171, 81–91. [Google Scholar] [CrossRef] [PubMed]
- Ren, X.; Hong, N.; Li, L.; Kang, J.; Jiejie, L. Effect of infiltration rate changes in urban soils on stormwater runoff process. Geoderma 2020, 363, 114158. [Google Scholar] [CrossRef]
- Brunetti, G.; Šimůnek, J.; Turco, M.; Piro, P. On the use of surrogate-based modeling for the numerical analysis of low impact development techniques. J. Hydrol. 2017, 548, 263–277. [Google Scholar] [CrossRef]
- Ebrahimian, A.; Sample-Lord, K.; Wadzuk, B.; Traver, R. Temporal and spatial variation of infiltration in urban green infrastructure. Hydrol. Process. 2020, 34, 1016–1034. [Google Scholar] [CrossRef]
- Luan, B.; Yin, R.; Xu, P.; Wang, X.; Yang, X.; Zhang, L.; Tang, X. Evaluating green stormwater infrastructure strategies efficiencies in a rapidly urbanizing catchment using SWMM-based TOPSIS. J. Clean. Prod. 2019, 223, 680–691. [Google Scholar] [CrossRef]
- Vogeler, I.; Carrick, S.; Cichota, R.; Lilburne, L. Estimation of soil subsurface hydraulic conductivity based on inverse modelling and soil morphology. J. Hydrol. 2019, 574, 373–382. [Google Scholar] [CrossRef]
- Horton, R.E. The Rôle of infiltration in the hydrologic cycle. EOS Trans. Am. Geophys. Union 1933, 14, 446–460. [Google Scholar] [CrossRef]
- Meng, H.; Green, T.R.; Salas, J.D.; Ahuja, L.R. Development and testing of a terrain-based hydrologic model for spatial hortonian infiltration and runoff/on. Environ. Model. Softw. 2008, 23, 794–812. [Google Scholar] [CrossRef]
- Rossman, L.A. Storm Water Management Model User’s Manual Version 5.1; United States Environmental Protection Agency: Westlake, OH, USA, 2015. [Google Scholar]
- Taufiqul, A.; Ahmed, M.; Kim, D.J.; Juan César, B.-C.; Javier, G. A comparison of three types of permeable pavements for urban runoff mitigation in the semi-arid south Texas, U.S.A. Water 2019, 11, 1–23. [Google Scholar]
- Hilten, R.N.; Lawrence, T.M.; Tollner, E.W. Modeling stormwater runoff from green roofs with HYDRUS-1D. J. Hydrol. 2008, 358, 288–293. [Google Scholar] [CrossRef]
- Chen, W.; Huang, G.; Zhang, H.; Wang, W. Urban inundation response to rainstorm patterns with a coupled hydrodynamic model: A case study in Haidian Island, China. J. Hydrol. 2018, 564, 1022–1035. [Google Scholar] [CrossRef]
- Baek, S.S.; Ligaray, M.; Pachepsky, Y.; Chun, J.A.; Yoon, K.S.; Park, Y.; Cho, K.H. Assessment of a green roof practice using the coupled SWMM and HYDRUS models. J. Environ. Manage. 2020, 261, 109920. [Google Scholar] [CrossRef] [PubMed]
- Van Genuchten, M.T. A closed-form equation for predicting the hydraulic conductivity of unsaturated soils. Soil Sci. Soc. Am. J. 1980, 44, 892–898. [Google Scholar] [CrossRef]
- Šimůnek, J.; van Genuchten, M.T. Modeling nonequilibrium flow and transport processes using HYDRUS. Vadose Zo. J. 2008, 7, 782–797. [Google Scholar] [CrossRef]
- Rassam, D.; Šimůnek, J.; Mallants, D.; van Genuchten, M.T. The HYDRUS-1D Software Package for Simulating the Movement of Water, Heat, and Multiple Solutes in Variably Saturated Media: Tutorial; Version 1; CSIRO Land and Water: San Mateo, CA, USA, 2018; ISBN 978-1-4863-1001-2. [Google Scholar]
- Schaap, M.G.; Leij, F.J.; van Genuchten, M.T. Rosetta: A computer program for estimating soil hydraulic parameters with hierarchical pedotransfer functions. J. Hydrol. 2001, 251, 163–176. [Google Scholar] [CrossRef]
- Cheviron, B.; Coquet, Y. Sensitivity analysis of transient-MIM HYDRUS-1D: Case study related to pesticide fate in soils. Vadose Zo. J. 2009, 8, 1064–1079. [Google Scholar] [CrossRef]
- Nash, J.E.; Sutcliffe, J. V River flow forecasting through conceptual models part I—A discussion of principles. J. Hydrol. 1970, 10, 282–290. [Google Scholar] [CrossRef]
- MOHURD. Code for Design of Outdoor Wastewater Engineering (GB 50014-2006). Available online: http://www.mohurd.gov.cn/wjfb/201607/t20160712_228080.html (accessed on 3 October 2020).
- Piro, P.; Carbone, M.; Morimanno, F.; Palermo, S.A. Simple flowmeter device for LID systems: From laboratory procedure to full-scale implementation. Flow Meas. Instrum. 2019, 65, 240–249. [Google Scholar] [CrossRef]
- Hamouz, V.; Muthanna, T.M. Hydrological modelling of green and grey roofs in cold climate with the SWMM model. J. Environ. Manag. 2019, 249, 1–18. [Google Scholar] [CrossRef] [PubMed]
- Luan, Q.; Fu, X.; Song, C.; Wang, H.; Liu, J.; Wang, Y. Runoff effect evaluation of LID through SWMM in typical mountainous, low-lying urban areas: A case study in China. Water 2017, 9, 439. [Google Scholar] [CrossRef]
- Yao, L.; Wei, W.; Chen, L. How does imperviousness impact the urban rainfall-runoff process under various storm cases? Ecol. Indic. 2016, 60, 893–905. [Google Scholar] [CrossRef]
- Yang, J.; Zhang, G. Water infiltration in urban soils and its effects on the quantity and quality of runoff. J. Soils Sediments 2011, 11, 751–761. [Google Scholar] [CrossRef]
- Rezaei, M.; Seuntjens, P.; Joris, I.; Boënne, W.; Van Hoey, S.; Campling, P.; Cornelis, W.M. Sensitivity of water stress in a two-layered sandy grassland soil to variations in groundwater depth and soil hydraulic parameters. Hydrol. Earth Syst. Sci. 2016, 20, 487–503. [Google Scholar] [CrossRef]
- Chu, L.; Fwa, T.F. Evaluation of surface infiltration performance of permeable pavements. J. Environ. Manag. 2019, 238, 136–143. [Google Scholar] [CrossRef]
- Collins, K.A.; Hunt, W.F.; Hathaway, J.M. Hydrologic comparison of four types of permeable pavement and standard asphalt in eastern North Carolina. J. Hydrol. Eng. 2008, 13, 1146–1157. [Google Scholar] [CrossRef]
- Mei, C.; Liu, J.; Wang, H.; Li, Z.; Yang, Z.; Shao, W. Urban flood inundation and damage assessment based on numerical simulations of design rainstorms with different characteristics. Sci. China Technol. Sci. 2020, 63. [Google Scholar] [CrossRef]
- Hou, J.; Zhang, Y.; Tong, Y.; Guo, K.; Qi, W.; Reinhard, H. Experimental study for effects of terrain features and rainfall intensity on infiltration rate of modelled permeable pavement. J. Environ. Manag. 2019, 243, 177–186. [Google Scholar] [CrossRef]
- Tavakol-Davani, H.E.; Tavakol-Davani, H.; Burian, S.J.; McPherson, B.J.; Barber, M.E. Green infrastructure optimization to achieve pre-development conditions of a semiarid urban catchment. Environ. Sci. Water Res. Technol. 2019, 5, 1157–1171. [Google Scholar] [CrossRef]
- Huang, C.L.; Hsu, N.S.; Liu, H.J.; Huang, Y.H. Optimization of low impact development layout designs for megacity flood mitigation. J. Hydrol. 2018, 564, 542–558. [Google Scholar] [CrossRef]
- Mei, C.; Liu, J.; Wang, H.; Yang, Z.; Ding, X.; Shao, W. Integrated assessments of green infrastructure for flood mitigation to support robust decision-making for sponge city construction in an urbanized watershed. Sci. Total Environ. 2018, 639, 1394–1407. [Google Scholar] [CrossRef] [PubMed]









| Key Parameters | Description | Reference | Initial Value | Calibrated Value |
|---|---|---|---|---|
| Width (k value) | Flow width coefficient for sub-catchment | 0.2–5.0 | 2.0 | 2.5 |
| N-Imperv | Mannings N for impervious area | 0.011–0.024 | 0.011 | 0.011 |
| N-Perv | Mannings N for pervious area | 0.02–0.80 | 0.05 | 0.06 |
| Dstore-Imperv (mm) | Depression storage depth for impervious area | 1.3–2.5 | 2 | 2 |
| Dstore-Perv (mm) | Depression storage depth for pervious area | 2.5–10.2 | 5 | 6 |
| MaxRate (mm/h) | Horton’s maximum infiltration rate | 50–200 | 65 | 75 |
| MinRate (mm/h) | Horton’s minimum infiltration rate | 0–20 | 2.0 | 1.5 |
| Soil Layer | Thickness (mm) | θr (m3/m3) | θs (m3/m3) | α (1/mm) | n | Ks (mm/min) |
|---|---|---|---|---|---|---|
| Permeable brick | 60 | 0.049 | 0.256 | 0.003 | 4.11 | 3.94 |
| Coarse sand | 30 | 0.045 | 0.430 | 0.015 | 2.68 | 4.95 |
| Permeable concrete | 160 | 0.040 | 0.386 | 0.004 | 2.39 | 2.22 |
| Crushed stone | 100 | 0.053 | 0.366 | 0.003 | 4.63 | 10.10 |
| Plain fill | 650 | 0.078 | 0.43 | 0.004 | 1.56 | 0.17 |
| Period | Event Date | Total Rainfall (mm) | Duration (h) | Maximum Rainfall Intensity (mm/h) |
|---|---|---|---|---|
| Calibration | 20 July 2019 | 52.0 | 14 | 28.0 |
| 24 August 2019 | 89.4 | 20 | 38.7 | |
| Validation | 26 May 2019 | 52.4 | 17 | 18.7 |
| 24 June 2019 | 37.3 | 18 | 12.8 | |
| 22 July 2019 | 29.4 | 4 | 20.8 | |
| 17 August 2019 | 71.6 | 5 | 53.6 |
| Item | Scenarios | ||||
|---|---|---|---|---|---|
| S1 | S2 | S3 | S4 | ||
| % of Land–use Area | Residential | 6.5 | 13.0 | 19.5 | 26.0 |
| Industrial | 5.4 | 10.8 | 16.3 | 21.7 | |
| Commercial and Public Services | 10.8 | 21.7 | 32.5 | 43.4 | |
| Transportation | 9.8 | 19.5 | 29.3 | 39.1 | |
| Green Space | 3.3 | 6.5 | 9.8 | 13.0 | |
| PBP Area (km2) | 2.19 | 4.38 | 6.57 | 8.75 | |
| % of Total Area | 6.6 | 13.3 | 19.9 | 26.5 | |
| % of Paving Area | 25.0 | 50.0 | 75.0 | 100.0 | |
© 2020 by the authors. Licensee MDPI, Basel, Switzerland. This article is an open access article distributed under the terms and conditions of the Creative Commons Attribution (CC BY) license (http://creativecommons.org/licenses/by/4.0/).
Share and Cite
Fu, X.; Liu, J.; Shao, W.; Mei, C.; Wang, D.; Yan, W. Evaluation of Permeable Brick Pavement on the Reduction of Stormwater Runoff Using a Coupled Hydrological Model. Water 2020, 12, 2821. https://doi.org/10.3390/w12102821
Fu X, Liu J, Shao W, Mei C, Wang D, Yan W. Evaluation of Permeable Brick Pavement on the Reduction of Stormwater Runoff Using a Coupled Hydrological Model. Water. 2020; 12(10):2821. https://doi.org/10.3390/w12102821
Chicago/Turabian StyleFu, Xiaoran, Jiahong Liu, Weiwei Shao, Chao Mei, Dong Wang, and Wenchang Yan. 2020. "Evaluation of Permeable Brick Pavement on the Reduction of Stormwater Runoff Using a Coupled Hydrological Model" Water 12, no. 10: 2821. https://doi.org/10.3390/w12102821
APA StyleFu, X., Liu, J., Shao, W., Mei, C., Wang, D., & Yan, W. (2020). Evaluation of Permeable Brick Pavement on the Reduction of Stormwater Runoff Using a Coupled Hydrological Model. Water, 12(10), 2821. https://doi.org/10.3390/w12102821

