Metal Distribution and Sediment Quality Variation across Sediment Depths of a Subtropical Ramsar Declared Wetland
Abstract
1. Introduction
2. Materials and Methods
2.1. Study Area
2.2. Sediment Collection and Processing
2.3. Sediment Analysis
2.4. Data Analysis
3. Results
3.1. Metal and Nutrient Vertical Distribution Profiles
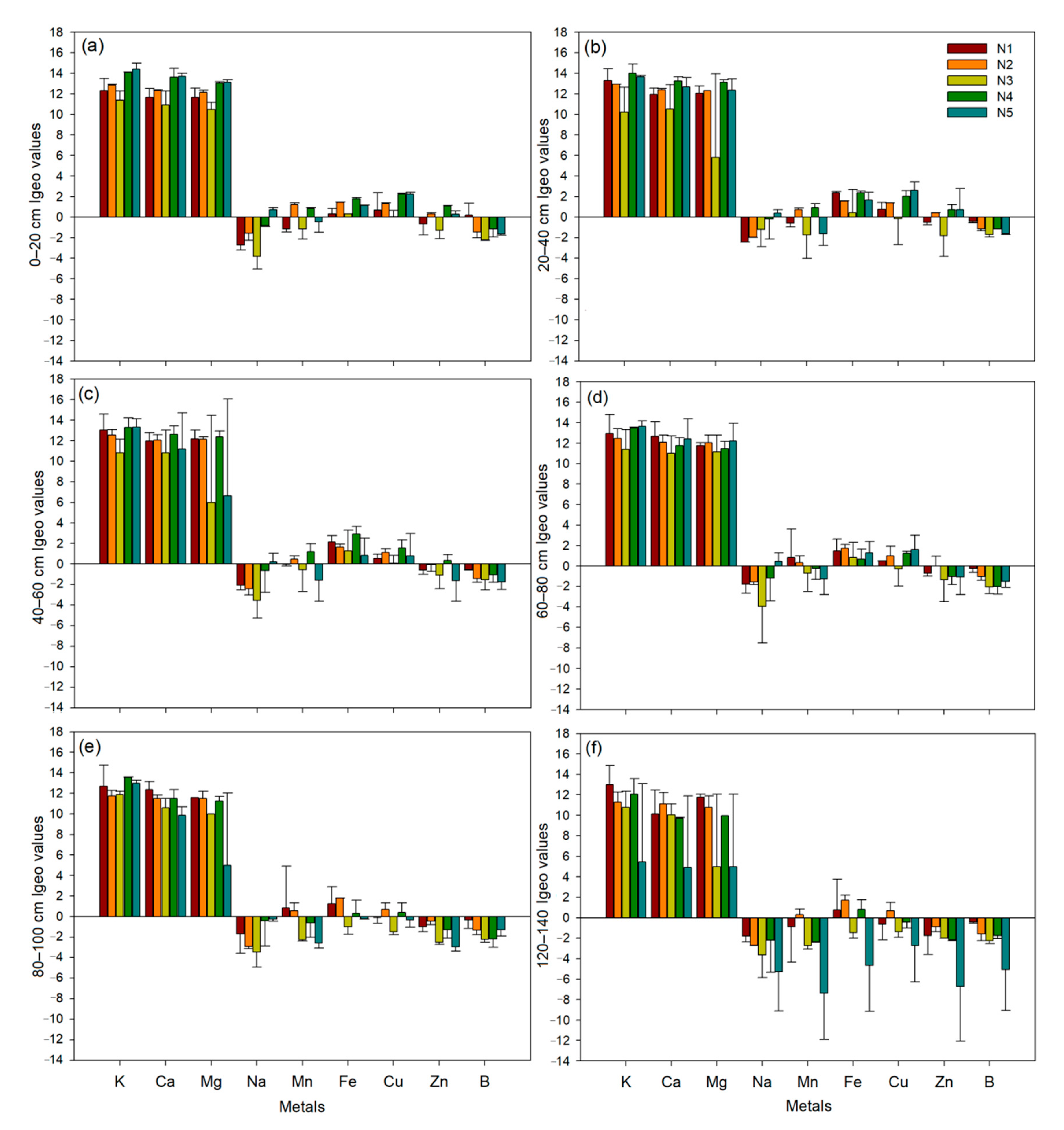
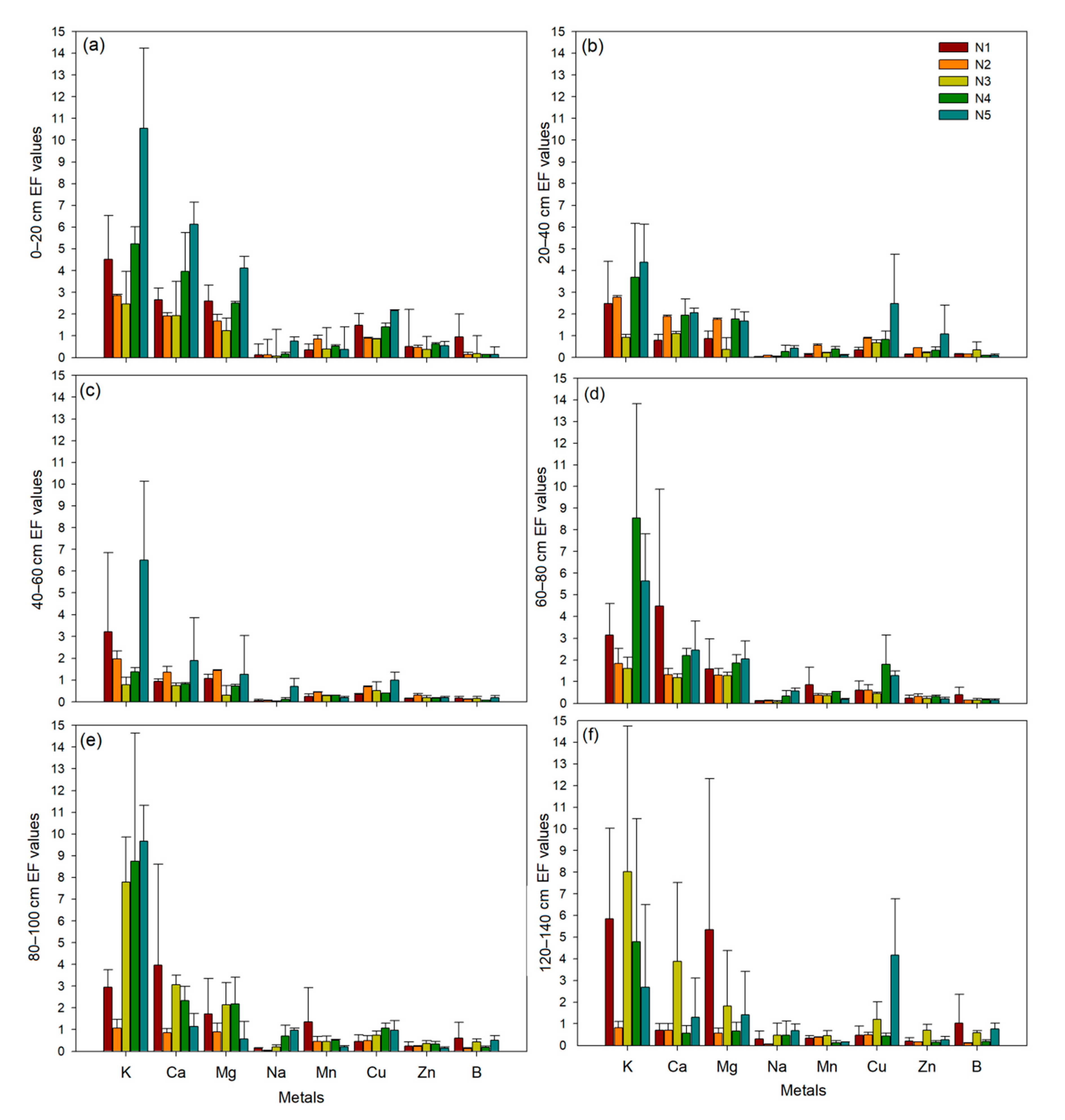
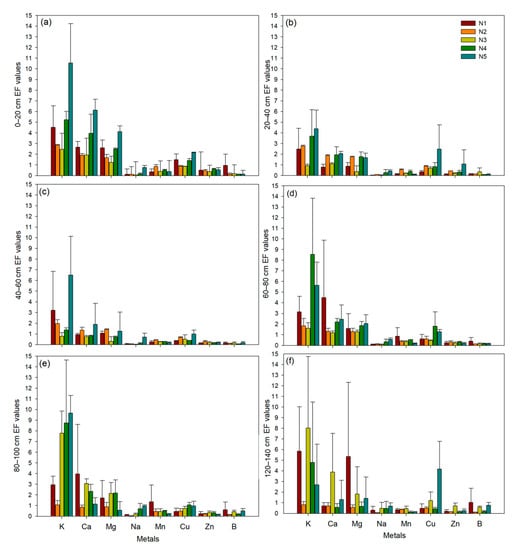
3.2. Sediment Quality Guidelines
3.3. Assessing the Relationship Between the Measured Metal Variables
4. Discussion
5. Conclusions
Supplementary Materials
Author Contributions
Funding
Acknowledgments
Conflicts of Interest
References
- Cherry, J.A. Ecology of Wetland Ecosystems: Water, Substrate, and Life. Nat. Educ. Knowl. 2011, 3, 16. [Google Scholar]
- Dalu, T.; Wasserman, R.J.; Dalu, M.T.B. Agricultural intensification and drought frequency increases may have landscape-level consequences for ephemeral ecosystems. Glob. Chang. Biol. 2017, 23, 983–985. [Google Scholar] [CrossRef] [PubMed]
- Bai, J.; Zhao, Q.; Wang, W.; Wang, X.; Jia, J.; Cui, B.; Liu, X. Arsenic and heavy metals pollution along a salinity gradient in drained coastal wetland soils: Depth distributions, sources and toxic risks. Ecol. Indic. 2019, 96, 91–98. [Google Scholar] [CrossRef]
- Bird, M.S.; Mlambo, M.C.; Wasserman, R.J.; Dalu, T.; Holland, A.J.; Day, J.A.; Villet, M.H.; Bilton, D.T.; Barber-James, H.M.; Brendonck, L. Deeper knowledge of shallow waters: Reviewing the invertebrate fauna of southern African temporary wetlands. Hydrobiologia 2019, 827, 89–121. [Google Scholar] [CrossRef]
- Astle, J.H.; Boss, J. Your wetlands are not a wasteland: Developing natural areas for program use. Camping Mag. 2000, 73, 34–37. [Google Scholar]
- Tennant-Wood, R. From wasteland to wetland: Creating a community ecological resource from waste water in regional New South Wales. Local Environ. 2004, 9, 527–539. [Google Scholar] [CrossRef]
- Reddy, K.R.; DeLaune, R.D. Biogeochemistry of Wetlands: Science and Application; CRC Press: Boca Raton, FL, USA, 2008. [Google Scholar]
- Zhao, Q.; Bai, J.; Huang, L.; Gu, B.; Lu, Q.; Gao, Z. A review of methodologies and success indicators for coastal wetland restoration. Ecol. Indic. 2016, 60, 442–452. [Google Scholar] [CrossRef]
- Cui, B.; He, Q.; Gu, B.; Bai, J.; Liu, X. China’s coastal wetlands: Understanding environmental changes and human impacts for management and conservation. Wetlands 2016, 36, 1–9. [Google Scholar] [CrossRef]
- Cuthbert, R.N.; Weyl, O.L.F.; Wasserman, R.J.; Dick, J.T.; Froneman, P.W.; Callaghan, A.; Dalu, T. Combined impacts of warming and salinisation on trophic interactions and mortality of a specialist ephemeral wetland predator. Freshw. Biol. 2019, 64, 1584–1592. [Google Scholar] [CrossRef]
- Chen, H.; Zhang, W.; Gao, H.; Nie, N. Climate change and anthropogenic impacts on wetland and agriculture in the Songnen and Sanjiang Plain, Northeast China. Remote Sens. 2018, 10, 356. [Google Scholar] [CrossRef]
- Gopal, B. Perspectives on wetland science, application and policy. Hydrobiologia 2003, 490, 1–10. [Google Scholar] [CrossRef]
- Bai, J.; Xiao, R.; Zhao, Q.; Lu, Q.; Wang, J.; Reddy, K.R. Seasonal dynamics of heavy elements in tidal salt marsh soils as affected by the flow-sediment regulation regime. PLoS ONE 2014, 9, e107738. [Google Scholar] [CrossRef] [PubMed]
- Khaledian, Y.; Pereira, P.; Brevik, E.C.; Pundyte, N.; Paliulis, D. The influence of organic carbon and pH on heavy metals, potassium, and magnesium levels in Lithuanian Podzols. Land Degrad. Dev. 2017, 28, 345–354. [Google Scholar] [CrossRef]
- Leroy, M.C.; Marcotte, S.; Legras, M.; Moncond’huy, V.; Le Derf, F.; Portet-Koltalo, F. Influence of the vegetative cover on the fate of trace metals in retention systems simulating roadside infiltration swales. Sci. Total Environ. 2017, 580, 482–490. [Google Scholar] [CrossRef]
- De Paula Filho, F.J.; Marins, R.V.; de Lacerda, L.D.; Aguiar, J.E.; Peres, T.F. Background values for evaluation of heavy metal contamination in sediments in the Parnaíba River Delta estuary, NE Brazil. Mar. Pollut. Bull. 2015, 91, 424–428. [Google Scholar] [CrossRef] [PubMed]
- Bere, T.; Dalu, T.; Mwedzi, T. Detecting the impact of heavy metal contaminated sediment on benthic macroinvertebrate communities in tropical streams. Sci. Total Environ. 2016, 572, 147–156. [Google Scholar] [CrossRef] [PubMed]
- Dalu, T.; Wasserman, R.J.; Tonkin, J.D.; Mwedzi, T.; Magoro, M.L.; Weyl, O.L.F. Water or sediment? Partitioning the role of water column and sediment chemistry as drivers of macroinvertebrate communities in an austral South African stream. Sci. Total Environ. 2017, 607, 317–325. [Google Scholar] [CrossRef]
- Pal, S.; Chattopadhyay, B.; Datta, S.; Mukhopadhyay, S.K. Potential of wetland macrophytes to sequester carbon and assessment of seasonal carbon input into the East Kolkata Wetland Ecosystem. Wetlands 2017, 37, 497–512. [Google Scholar] [CrossRef]
- Pal, S.; Chakraborty, S.; Datta, S.; Mukhopadhyay, S.K. Spatio-temporal variations in total carbon content in contaminated surface waters at East Kolkata Wetland Ecosystem, a Ramsar Site. Ecol. Eng. 2018, 110, 146–157. [Google Scholar] [CrossRef]
- Pejman, A.; Bidhendi, G.N.; Ardestani, M.; Saeedi, M.; Baghvand, R. A new index for assessing heavy metals contamination in sediments: A case study. Ecol. Indic. 2015, 58, 365–373. [Google Scholar] [CrossRef]
- Kifayatullah, K.; Lu, Y.; Khan, H.; Zakir, S.; Ihsanullah, J.; Khan, S. Health risk associated with heavy metal in the drinking water of Swat, northern Pakistan. J. Environ. Sci. 2013, 25, 2003–2013. [Google Scholar]
- Clark, J.H.A.; Tredoux, M.; van Huyssteen, C.W. Heavy metals in the soils of Bloemfontein, South Africa: Concentration levels and possible sources. Environ. Monit. Assess. 2015, 187, 439–449. [Google Scholar] [CrossRef] [PubMed]
- Ramachandra, T.V.; Sudarshan, P.B.; Mahesh, M.K.; Vinay, S. Spatial patterns of heavy metal accumulation in sediments and macrophytes of Bellandur wetland, Bangalore. J. Environ. Manag. 2018, 206, 1204–1210. [Google Scholar] [CrossRef]
- Greenfield, R.; van Vuren, J.H.J.; Wepener, V. Determination of sediment quality in the Nyl River system, Limpopo province, South Africa. Water SA 2007, 33, 693–700. [Google Scholar] [CrossRef]
- Dahms, S.; Baker, N.J.; Greenfield, R. Ecological risk assessment of trace elements in sediment: A case study from Limpopo, South Africa. Ecotoxicol. Environ. Saf. 2017, 135, 106–114. [Google Scholar] [CrossRef]
- Binda, G.; Pozzi, A.; Livio, F. An integrated interdisciplinary approach to evaluate potentially toxic element sources in a mountainous watershed. Environ. Geochem. Health 2019, 42, 1255–1272. [Google Scholar] [CrossRef]
- Dalu, T.; Wasserman, R.J.; Magoro, M.L.; Froneman, P.W.; Weyl, O.L.F. River nutrient water and sediment measurements inform on nutrient retention, with implications for eutrophication. Sci. Total Environ. 2019, 684, 296–302. [Google Scholar] [CrossRef]
- Vu, C.T.; Lin, C.; Shern, C.C.; Yeh, G.; Tran, H.T. Contamination, ecological risk and source apportionment of heavy metals in sediments and water of a contaminated river in Taiwan. Ecol. Indic. 2017, 82, 32–42. [Google Scholar] [CrossRef]
- Wall, F.; Rollat, A.; Pell, R.S. Responsible sourcing of critical metals. Elements 2017, 13, 313–318. [Google Scholar] [CrossRef]
- Wang, S.; Wang, W.; Chen, J.; Zhao, L.; Zhang, B.; Jiang, X. Geochemical baseline establishment and pollution source determination of heavy metals in lake sediments: A case study in Lihu Lake, China. Sci. Total Environ. 2019, 657, 978–986. [Google Scholar] [CrossRef]
- Bai, J.; Xiao, R.; Cui, B.; Zhang, K.; Wang, Q.; Liu, X.; Gao, H.; Huang, L. Assessment of heavy metal pollution in wetland soils from the young and old reclaimed regions in the Pearl River Estuary, South China. Environ. Pollut. 2011, 59, 817–824. [Google Scholar] [CrossRef] [PubMed]
- Dalu, T.; Wasserman, R.J.; Wu, Q.; Froneman, W.P.; Weyl, O.L.F. River sediment metal and nutrient variations along an urban–agriculture gradient in an arid austral landscape: Implications for environmental health. Environ. Sci. Pollut. Res. 2018, 25, 2842–2852. [Google Scholar] [CrossRef] [PubMed]
- Förstner, U.; Wittmann, G.T. Metal Pollution in the Aquatic Environment; Springer Science and Business Media: Berlin, Germany, 2012. [Google Scholar]
- Chattopadhyay, B.; Chatterjee, A.; Mukhopadhyay, S.K. Bioaccumulation of metals in the East Calcutta wetland ecosystem. Aquat. Ecosyst. Health Manag. 2002, 5, 191–203. [Google Scholar] [CrossRef]
- Lau, S.S.S.; Chu, L.M. The significance of sediment contamination in a coastal wetland, Hong Kong, China. Water Res. 2000, 34, 379–386. [Google Scholar] [CrossRef]
- Chatterjee, S.; Chetia, M.; Singh, L.; Chattopadhyay, B.; Datta, S.; Mukhopadhyay, S.K. A study on the phytoaccumulation of waste elements in wetland plants of a Ramsar site in India. Environ. Monit. Assess. 2011, 178, 361–371. [Google Scholar] [CrossRef]
- Zhang, M.; Cui, L.; Sheng, L.; Wang, Y. Distribution and enrichment of heavy metals among sediments, water body and plants in Hengshuihu Wetland of Northern China. Ecol. Eng. 2009, 35, 563–569. [Google Scholar] [CrossRef]
- Greenfield, R.; van Vuren, J.H.J.; Wepener, V. Heavy metal concentrations in the water of the Nyl river system, South Africa. Afr. J. Aquat. Sci. 2012, 37, 219–224. [Google Scholar] [CrossRef]
- Wang, X.C.; Feng, H.; Ma, H.Q. Assessment of metal contamination in surface sediments of Jiaozhou Bay, Qingdao, China. Clean Soil Air Water 2007, 35, 62–70. [Google Scholar] [CrossRef]
- Akele, M.L.; Kelderman, P.; Koning, C.W.; Irvine, K. Heavy metal distributions in the sediments of the Little Akaki River, Addis Ababa. Ethiopia. Environ. Monit. Assess. 2016, 188, 1–13. [Google Scholar] [CrossRef]
- Coxon, T.M.; Odhiambo, B.K.; Giancarlo, L.C. The impact of urban expansion and agricultural legacies on trace metal accumulation in fluvial and lacustrine sediments of the lower Chesapeake Bay basin, USA. Sci. Total Environ. 2016, 568, 402–414. [Google Scholar] [CrossRef]
- Bellasi, A.; Binda, G.; Pozzi, A.; Galafassi, S.; Volta, P.; Bettinetti, R. Microplastic Contamination in Freshwater Environments: A Review, Focusing on Interactions with Sediments and Benthic Organisms. Environments 2020, 7, 30. [Google Scholar] [CrossRef]
- Zhang, G.; Bai, J.; Zhao, Q.; Jia, J.; Wen, X. Heavy metals pollution in soil profiles from seasonal-flooding riparian wetlands in a Chinese delta: Levels, distributions and toxic risks. Phys. Chem. Earth ABC 2017, 97, 54–61. [Google Scholar] [CrossRef]
- Tshimomola, T. The population biology of Sclerocarya birrea at Nylsvley Nature Reserve, Limpopo Province, South Africa. Ph.D. Thesis, University of Venda, Thohoyandou, South Africa, 2017. [Google Scholar]
- Walker, B.H. The Savannas: Biogeography and Geobotany. J. Ecol. 1987, 24, 1082–1083. [Google Scholar] [CrossRef]
- Baker, N.J.; Greenfield, R. Shift happens: Changes to diversity of riverine aquatic macroinvertebrate communities in response to sewage effluent runoff. Ecol. Indic. 2019, 102, 813–821. [Google Scholar] [CrossRef]
- Dalu, T.; Murudi, T.T.; Dondofema, F.; Wasserman, R.J.; Chari, L.D.; Murungweni, F.M.; Cuthbert, R.N. Balloon milkweed Gomphocarpus physocarpus distribution and drivers in an internationally protected wetland. Bioinvasions Rec. 2020, 9, 627–641. [Google Scholar] [CrossRef]
- Clesceri, L.S.; Greenberg, A.E.; Eaton, A.D. Standard Methods for the Examination of Water and Wastewater, 20th ed.; American Public Health Association: Washington, DC, USA, 1998. [Google Scholar]
- Bray, R.H.; Kurtz, L.T. Determination of total, organic, and available forms of phosphorus in soils. Soil Sci. 1945, 59, 39–45. [Google Scholar] [CrossRef]
- Agri Laboratory Association of Southern Africa (AgriLASA). Soil Handbook; Agri Laboratory Association of Southern Africa: Pretoria, South Africa, 2004. [Google Scholar]
- SPSS Inc. SPSS Release 16.0.0 for Windows; Polar Engineering and Consulting; SPSS Inc.: Chicago, IL, USA, 2007. [Google Scholar]
- Persaud, D.; Jaagumagi, R.; Hayton, A. Guidelines for the Protection and Management of Aquatic Sediment. Quality in Ontario; Ministry of the Environment and Energy: Sudbury, ON, Canada, 1993. [Google Scholar]
- Muller, G. Index of geoaccumulation in sediments of the Rhine River. J. Geol. 1969, 2, 108–118. [Google Scholar]
- Buat-Menard, P.; Chesselet, R. Variable influence of atmospheric flux on the heavy metal chemistry of oceanic suspended matter. Earth Planet. Sci. Lett. 1979, 42, 398–411. [Google Scholar] [CrossRef]
- Tomlinson, D.L.; Wilson, J.G.; Harris, C.R.; Jeffrey, D.W. Problems in the assessment of heavy-metal levels in estuaries and the formation of a pollution index. Helgol. Meeresunters. 1980, 33, 566–575. [Google Scholar] [CrossRef]
- Abrahim, G.M.S.; Parker, R.J. Assessment of heavy metal enrichment factors and the degree of contamination in marine sediments from Tamaki Estuary, Auckland, New Zealand. Environ. Monit. Assess. 2008, 136, 227–238. [Google Scholar] [CrossRef]
- McCune, B.; Grace, J.B. Analysis of Ecological Communities; MjM Software: Gleneden Beach, OR, USA, 2002. [Google Scholar]
- Sutherland, R.A. Bed sediment-associated heavy metals in an urban stream, Oahu, Hawaii. Environ. Geol. 2000, 39, 611–627. [Google Scholar] [CrossRef]
- Prusty, B.; Kumar, A.; Azeez, P.A. Vertical distribution of alkali and alkaline earth metals in the soil profile of a wetland-terrestrial ecosystem complex in India. Austal. J. Soil Res. 2007, 5, 533–542. [Google Scholar] [CrossRef]
- Zhang, Z.; Zheng, D.; Xue, Z.; Wu, H.; Jiang, M. Identification of anthropogenic contributions to heavy metals in wetland soils of the Karuola Glacier in the Qinghai-Tibetan Plateau. Ecol. Indic. 2019, 98, 678–685. [Google Scholar] [CrossRef]
- Pavlović, P.; Mitrović, M.; Đorđević, D.; Sakan, S.; Slobodnik, J.; Liška, I.; Csanyi, B.; Jarić, S.; Kostić, O.; Pavlović, D.; et al. Assessment of the contamination of riparian soil and vegetation by trace metals—A Danube River case study. Sci. Total Environ. 2016, 540, 396–409. [Google Scholar] [CrossRef] [PubMed]
- Wepener, V.; Vermeulen, L.A. A note on the concentrations and bioavailability of selected metals in sediments of Richards Bay Harbour, South Africa. Water SA 2005, 31, 589–596. [Google Scholar] [CrossRef]
- Acosta, J.A.; Jansen, B.; Kalbitz, K.; Faz, A.; Martínez-Martínez, S. Salinity increases mobility of heavy metals in soils. Chemosphere 2011, 85, 1318–1324. [Google Scholar] [CrossRef]
- Bai, J.; Huang, L.; Gao, H.; Jia, J.; Wang, X. Wetland biogeochemical processes and simulation modeling. Phys. Chem. Earth ABC 2018, 103, 1–2. [Google Scholar] [CrossRef]
- Xiao, H.; Shahab, A.; Li, J.; Xi, B.; Sun, X.; He, H.; Yu, G. Distribution, ecological risk assessment and source identification of heavy metals in surface sediments of Huixian karst wetland, China. Ecotoxicol. Environ. Saf. 2019, 185, 109700. [Google Scholar] [CrossRef]
- Skordas, K.; Kelepertzis, E.; Kosmidis, D.; Panagiotaki, P.; Vafidis, D. Assessment of nutrients and heavy metals in the surface sediments of the artificially lake water reservoir Karla, Thessaly, Greece. Environ. Earth Sci. 2015, 73, 4483–4493. [Google Scholar] [CrossRef]
- Gerber, R.; Smit, N.J.; van Vuren, J.H.; Nakayama, S.M.; Yohannes, Y.B.; Ikenaka, Y.; Ishizuka, M.; Wepener, V. Application of a sediment quality index for the assessment and monitoring of metals and organochlorines in a premier conservation area. Environ. Sci. Pollut. Res. 2015, 22, 19971–19989. [Google Scholar] [CrossRef]
- Kalita, S.; Sarma, H.P.; Devi, A. Sediment characterisation and spatial distribution of heavy metals in the sediment of a tropical freshwater wetland of Indo-Burmese province. Environ. Pollut. 2019, 250, 969–980. [Google Scholar] [CrossRef] [PubMed]
- Pandey, M.; Pandey, A.K.; Mishra, A.; Tripathi, B.D. Assessment of metal species in river Ganga sediment at Varanasi, India using sequential extraction procedure and SEM–EDS. Chemosphere 2015, 134, 466–474. [Google Scholar] [CrossRef] [PubMed]
- Gregorauskiene, V.; Kadunas, V. Vertical distribution patterns of trace and major elements within soil profile in Lithuania. Geol. Q. 2006, 50, 229–237. [Google Scholar]






| Index | Value | Class | Designation of Sediment Quality |
|---|---|---|---|
| Igeo | <0 | 0 | no contamination |
| 0–1 | 1 | no to moderate contamination | |
| 1–2 | 2 | moderate contamination | |
| 2–3 | 3 | moderate to strong contamination | |
| 3–4 | 4 | strong contamination | |
| 4–5 | 5 | strong to extreme contamination | |
| >5 | 6 | extreme contamination | |
| EF | EF < 1 | background concentration | |
| 1–2 | low enrichment | ||
| 2–5 | moderate enrichment | ||
| 5–20 | significant enrichment | ||
| 20–40 | very high enrichment | ||
| EF > 40 | extremely high enrichment | ||
| PLI | <1 | no pollution/perfection | |
| 1 | background level pollution | ||
| >1 | deterioration of sediment quality |
| Variable | Metal and Nutrients | Geoaccumulation Index | Enrichment Factors | |||||||||
|---|---|---|---|---|---|---|---|---|---|---|---|---|
| Site | Depth | Site | Depth | |||||||||
| F | p | F | p | F | p | F | p | F | p | F | p | |
| N | 32.239 | <0.001 | 42.719 | <0.001 | ||||||||
| P | 19.991 | <0.001 | 12.791 | <0.001 | ||||||||
| K | 6.278 | 0.001 | 1.704 | 0.164 | 4.000 | 0.013 | 1.458 | 0.240 | 4.293 | 0.009 | 2.939 | 0.033 |
| Ca | 2.605 | 0.056 | 3.958 | 0.007 | 0.838 | 0.515 | 5.805 | 0.001 | 1.465 | 0.244 | 1.563 | 0.208 |
| Mg | 3.591 | 0.017 | 4.762 | 0.003 | 3.009 | 0.038 | 8.743 | <0.001 | 0.901 | 0.479 | 1.044 | 0.415 |
| Na | 8.324 | <0.001 | 0.752 | 0.591 | 5.364 | 0.003 | 0.398 | 0.845 | 10.100 | <0.001 | 2.859 | 0.037 |
| Mn | 1.945 | 0.129 | 0.461 | 0.802 | 3.413 | 0.024 | 2.344 | 0.072 | 1.098 | 0.380 | 0.966 | 0.458 |
| Fe | 2.801 | 0.043 | 3.11 | 0.022 | 2.415 | 0.077 | 6.139 | 0.001 | ||||
| Cu | 5.587 | 0.002 | 5.624 | 0.001 | 5.498 | 0.003 | 7.486 | <0.001 | 5.223 | 0.004 | 1.556 | 0.210 |
| Zn | 2.344 | 0.077 | 4.447 | 0.004 | 2.592 | 0.062 | 7.089 | <0.001 | 0.511 | 0.728 | 1.408 | 0.257 |
| B | 12.858 | <0.001 | 0.770 | 0.579 | 14.235 | <0.001 | 1.588 | 0.202 | 3.190 | 0.031 | 1.665 | 0.181 |
| N | P | K | Ca | Mg | Na | Mn | Fe | Cu | Zn | B | |
|---|---|---|---|---|---|---|---|---|---|---|---|
| N | 1.00 | ||||||||||
| P | 0.45 ** | 1.00 | |||||||||
| K | 0.54 ** | 0.34 ** | 1.00 | ||||||||
| Ca | 0.66 ** | 0.62 ** | 0.59 ** | 1.00 | |||||||
| Mg | 0.62 ** | 0.66 ** | 0.63 ** | 0.89 ** | 1.00 | ||||||
| Na | 0.53 ** | 0.26 * | 0.68 ** | 0.55 ** | 0.57 ** | 1.00 | |||||
| Mn | −0.05 | 0.14 | 0.42 ** | 0.12 | 0.16 | 0.13 | 1.00 | ||||
| Fe | 0.06 | 0.58 ** | 0.45 ** | 0.42 ** | 0.56 ** | 0.28 * | 0.50 ** | 1.00 | |||
| Cu | 0.61 ** | 0.57 ** | 0.60 ** | 0.72 ** | 0.76 ** | 0.60 ** | 0.08 | 0.40 ** | 1.00 | ||
| Zn | 0.42 ** | 0.63 ** | 0.46 ** | 0.53 ** | 0.57 ** | 0.35 ** | 0.17 | 0.41 ** | 0.87 ** | 1.00 | |
| B | −0.13 | 0.10 | 0.16 | 0.27 * | 0.27 * | −0.05 | 0.14 | 0.27* | 0.13 | 0.14 | 1.00 |
| Variable | PC1 | PC2 |
|---|---|---|
| Eigen value | 5.01 | 1.71 |
| Variance (%) | 55.69 | 18.97 |
| Cumulative variance (%) | 55.69 | 74.66 |
| Metal | Factor loading | |
| K | 0.88 | −0.05 |
| Ca | 0.93 | −0.01 |
| Mg | 0.96 | −0.01 |
| Na | 0.70 | −0.44 |
| Mn | 0.28 | 0.76 |
| Fe | 0.58 | 0.48 |
| Cu | 0.90 | −0.27 |
| Zn | 0.83 | −0.04 |
| B | 0.20 | 0.79 |
© 2020 by the authors. Licensee MDPI, Basel, Switzerland. This article is an open access article distributed under the terms and conditions of the Creative Commons Attribution (CC BY) license (http://creativecommons.org/licenses/by/4.0/).
Share and Cite
Dalu, T.; Tshivhase, R.; Cuthbert, R.N.; Murungweni, F.M.; Wasserman, R.J. Metal Distribution and Sediment Quality Variation across Sediment Depths of a Subtropical Ramsar Declared Wetland. Water 2020, 12, 2779. https://doi.org/10.3390/w12102779
Dalu T, Tshivhase R, Cuthbert RN, Murungweni FM, Wasserman RJ. Metal Distribution and Sediment Quality Variation across Sediment Depths of a Subtropical Ramsar Declared Wetland. Water. 2020; 12(10):2779. https://doi.org/10.3390/w12102779
Chicago/Turabian StyleDalu, Tatenda, Rolindela Tshivhase, Ross N. Cuthbert, Florence M. Murungweni, and Ryan J. Wasserman. 2020. "Metal Distribution and Sediment Quality Variation across Sediment Depths of a Subtropical Ramsar Declared Wetland" Water 12, no. 10: 2779. https://doi.org/10.3390/w12102779
APA StyleDalu, T., Tshivhase, R., Cuthbert, R. N., Murungweni, F. M., & Wasserman, R. J. (2020). Metal Distribution and Sediment Quality Variation across Sediment Depths of a Subtropical Ramsar Declared Wetland. Water, 12(10), 2779. https://doi.org/10.3390/w12102779

