The Modelling of Freezing Process in Saturated Soil Based on the Thermal-Hydro-Mechanical Multi-Physics Field Coupling Theory
Abstract
1. Introduction
- (1)
- The pores of soil are filled with water and ice during freezing, and the soil is regarded as isotropic and elastic mediums.
- (2)
- The pore ice is immobile relative to the soil skeleton.
- (3)
- The soil particles, pore ice, and water are incompressible.
- (4)
- A weighting algorithm is used to convert the soil of the three-phase system into a single-phase system for the calculation of heat transfer.
2. Theoretical Model of Soil Freezing
2.1. Heat Transfer
2.2. Mechanical Equilibrium
2.3. Water Migration
2.4. Ice Segregation
3. Model Validation and Numerical Analysis
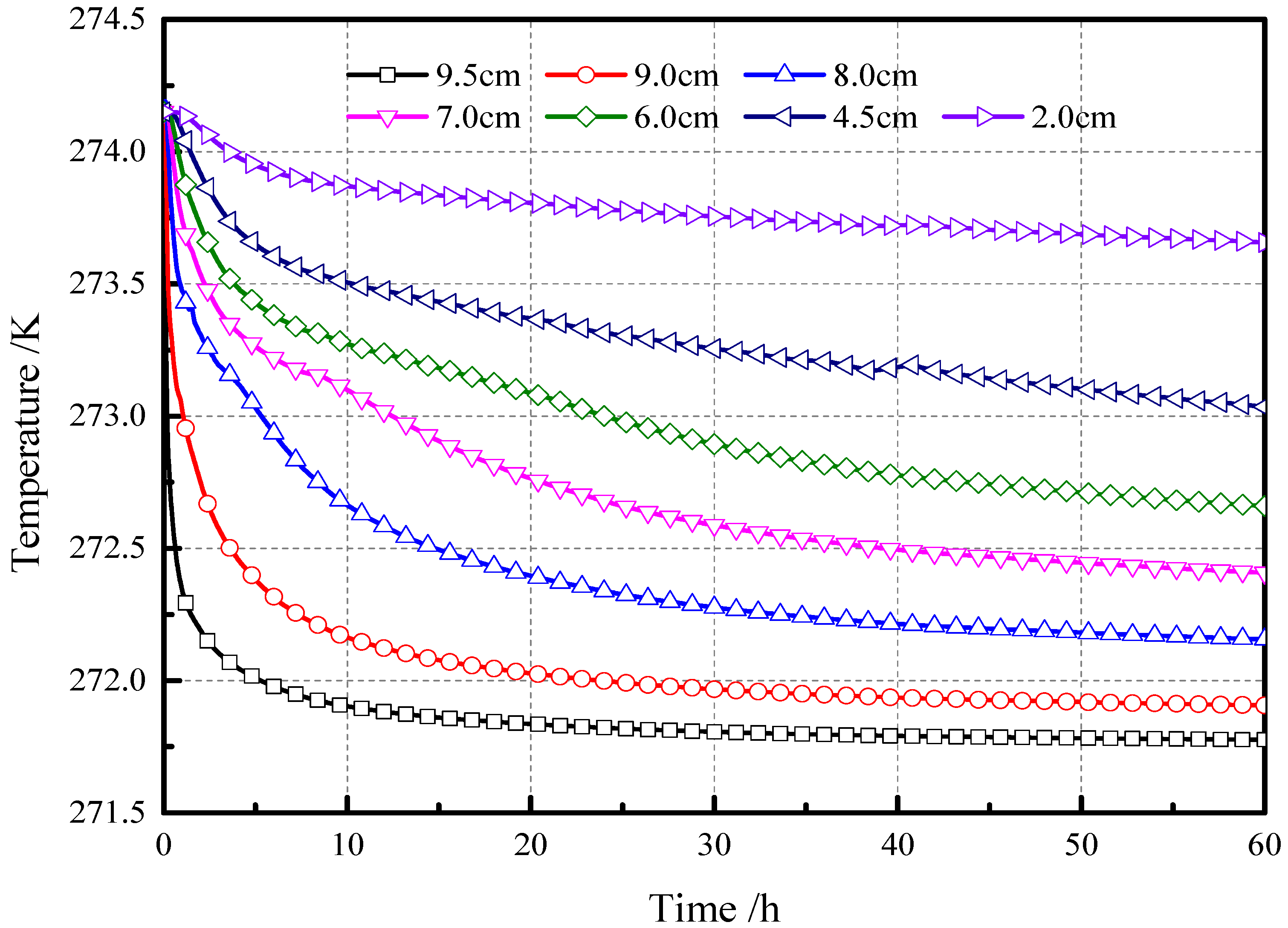
3.1. Model Validation
3.2. The Effect of Soil Parameters on the Soil Freezing Process
4. Conclusions and Discussion
Author Contributions
Funding
Acknowledgments
Conflicts of Interest
Abbreviations
| pore ratio | |
| porosity | |
| pore pressure, Pa | |
| time, s | |
| temperature, K | |
| total stress tensor and effective stress tensor, Pa | |
| normal stress in vertical direction, Pa | |
| strain tensor | |
| normal strain Constants and symbols | |
| specific heat capacities of solid particles, pore water and pore ice, respectively, J·kg−1·K−1 | |
| unit volume element of soils, m3 | |
| initial porosity ratio | |
| compressive modulus, Pa | |
| body force in the ith direction, Pa·m−1 | |
| gravitational acceleration, m·s−2 | |
| height of soil model, cm | |
| volumetric heat capacity of the soils, J·K−1·m−3 | |
| frost heave, m | |
| the bulk modulus of dry soil and soil particles, respectively, Pa | |
| hydraulic conductivity of freezing soils and unfrozen soils, respectively, m·s−1 | |
| latent heat of fusion for water, J·kg−1 | |
| mass of pore water and ice in the unit volume of soils, kg·m−3 | |
| , | ice and water pressures, respectively, Pa |
| cryogenic suction due to the ice/water interface tension, Pa | |
| overburden pressure, Pa | |
| volume percentage of ice in pores | |
| freezing point temperature of water in pore, K | |
| reference temperature, K | |
| seepage velocity of pore water, m·s−1 | |
| parameter depending on the size of pore | |
| Biot coefficient | |
| parameter dependent on the size and structure of pore | |
| heat content of soil per unit volume, J·m−3 | |
| thermal conductivity of freezing soils, J·m−1·s−1·K−1 | |
| thermal conductivity of soil particles, water and ice, respectively, J·m−1·s−1·K−1 | |
| density of soil particles, water and ice, respectively, kg·m−3 | |
| unit weight of soil, kg·m−2·s−2 | |
| unit weight of water, kg·m−2·s−2 | |
| separation strength of the freezing soil, Pa | |
| initial normal stress in vertical direction, Pa | |
| Lame constant | |
| Poisson’s ratio of soil | |
| Hamiltonian operator | |
| differential operator | |
| driving force that causes seepage | |
| weighting coefficient | |
| Kronecker symbol |
References
- Monrabal-Martinez, C.; Scibilia, E.; Maus, S.; Muthanna, T.M. Infiltration response of adsorbent amended filters for stormwater management under freezing/thawing conditions. Water 2019, 11, 2619. [Google Scholar] [CrossRef]
- Steelman, C.M.; Endres, A.L.; Kruk, J.V.D. Field observations of shallow freeze and thaw processes using high-frequency ground-penetrating radar. Hydrol. Process. 2010, 24, 2022–2033. [Google Scholar] [CrossRef]
- Rivas, T.; Alvarez, E.; Mosquera, M.J.; Alejano, L.; Taboada, J. Crystallization modifiers applied in granite desalination: The role of the stone pore structure. Constr. Build. Mater. 2010, 24, 766–776. [Google Scholar] [CrossRef]
- Hu, W.L.; Liu, Z.Q.; Pei, M. Effect of air entraining agent on sulfate crystallization distress on sulphoaluminate cement concrete. Mater. Rep. 2019, 33, 239–243. [Google Scholar]
- Chen, P.; Luo, H.; Liu, E. Moisture Transfer and Formation of Separate Ice in the Freezing Process of Saturated Soils. Water 2020, 12, 1044. [Google Scholar] [CrossRef]
- Taber, S. The mechanics of frost heaving. J. Geol. 1930, 38, 303–317. [Google Scholar] [CrossRef]
- Everett, D.H. The thermodynamics of frost damage to porous solids. Trans. Faraday Soc. 1961, 57, 1541–1551. [Google Scholar] [CrossRef]
- Harlan, R.L. Analysis of coupled heat-fluid transport in partially frozen soil. Water Resour. Res. 1973, 9, 1314–1323. [Google Scholar] [CrossRef]
- Mageau, D.W.; Morgenstern, N.R. Observations on moisture migration in frozen soils. Can. Geotech. J. 1980, 17, 54–60. [Google Scholar] [CrossRef]
- Kay, B.D.; Groenevelt, P.H. On the interaction of water and heat transport in frozen and unfrozen soils: I. Basic theory; the vapor phase 1. Soil Sci. Soc. Am. J. 1974, 38, 395–400. [Google Scholar] [CrossRef]
- Miller, R.D. Freezing and heaving of saturated and unsaturated soils. Highw. Res. Rec. 1972, 393, 1–11. [Google Scholar]
- Gilpin, R.R. A model for the prediction of ice lensing and frost heave in soils. Water Resour. Res. 1980, 16, 918–930. [Google Scholar] [CrossRef]
- Konrad, J.M.; Morgenstern, N.R. A mechanistic theory of ice lens formation in fine-grained soils. Can. Geotech. J. 1980, 17, 473–486. [Google Scholar] [CrossRef]
- Nishimura, S.; Gens, A.; Olivella, S.; Jardine, R.J. THM-coupled finite element analysis of frozen soil: Formulation and application. Geotechnique 2009, 59, 159–171. [Google Scholar] [CrossRef]
- Tan, X.; Chen, W.; Tian, H.F.; Cao, J. Water flow and heat transport including ice/water phase change in porous media: Numerical simulation and application. Cold Reg. Sci. Technol. 2011, 68, 74–84. [Google Scholar] [CrossRef]
- Wu, D.; Lai, Y.; Zhang, M. Heat and mass transfer effects of ice growth mechanisms in a fully saturated soil. Int. J. Heat Mass Transf. 2015, 86, 699–709. [Google Scholar] [CrossRef]
- Song, W.; Zhang, Y.; Li, B.; Fan, X. A lattice Boltzmann model for heat and mass transfer phenomena with phase transformations in unsaturated soil during freezing process. Int. J. Heat Mass Transf. 2016, 94, 29–38. [Google Scholar] [CrossRef]
- Xu, F.; Zhang, Y.; Liang, S.; Li, B.; Hu, Y. Model development for infiltration of unfrozen water in saturated frozen soil using lattice Boltzmann method. Int. J. Heat Mass Transf. 2019, 141, 748–756. [Google Scholar] [CrossRef]
- Hongzhang, C. Research on Fields Coupling in Saturated Granular Soil Freezing Process; Institute of Engineering Thermophysics, Chinese Academy of Sciences: Beijing, China, 2016. [Google Scholar]
- Nixon, J.F. Discrete ice lens theory for frost heave in soils. Can. Geotech. J. 1991, 28, 843–859. [Google Scholar] [CrossRef]
- Thomas, H.R.; Cleall, P.J.; Li, Y.; Harris, C.; Kern-Luetschg, M. Modelling of cryogenic processes in permafrost and seasonally frozen soils. Geotechnique 2009, 59, 173–184. [Google Scholar] [CrossRef]
- Zhou, J.; Li, D. Numerical analysis of coupled water, heat and stress in saturated freezing soil. Cold Reg. Sci. Technol. 2012, 72, 43–49. [Google Scholar] [CrossRef]
- Hongzhang, C.; Shi, L. One dimension simulation of the rigid ice model of saturated freezing granular soil. J. Glaciol. Geocryol. 2007, 29, 32–38. [Google Scholar]
- Anderson, D.M.; Hoekstra, P. Crystallization of clay-adsorbed water. Science 1965, 149, 318–319. [Google Scholar] [CrossRef]
- Tice, A.R.; Anderson, D.M.; Banin, A. The Prediction of Unfrozen Water Contents in Frozen Soils from Liquid Limit Determinations; Cold Regions Research and Engineering Lab Hanover: Hanover, NH, USA, 1976. [Google Scholar]
- Lai, Y.; Pei, W.; Zhang, M.; Zhou, J. Study on theory model of hydro-thermal-mechanical interaction process in saturated freezing silty soil. Int. J. Heat Mass Transf. 2014, 78, 805–819. [Google Scholar] [CrossRef]
- Yin, X.; Liu, E.; Song, B.; Zhang, D. Numerical analysis of coupled liquid water, vapor, stress and heat transport in unsaturated freezing soil. Cold Reg. Sci. Technol. 2018, 155, 20–28. [Google Scholar] [CrossRef]
- Biot, M.A.; Willis, D.G. The Elastic Coefficients of the Theory of Consolidation. J. Appl. Mech. 1957, 24, 594–601. [Google Scholar]
- Nakano, Y. Quasi-steady problems in freezing soils: I. Analysis on the steady growth of an ice layer. Cold Reg. Sci. Technol. 1990, 17, 207–226. [Google Scholar] [CrossRef]
- Miller, R.D. Lens initiation in secondary heaving. In Proceedings of the International Symposium on Frost Action in Soils, Lulea, Sweden, 16–18 February 1977; pp. 68–74. [Google Scholar]
- O’Neill, K.; Miller, R.D. Exploration of a rigid ice model of frost heave. Water Resour. Res. 1985, 21, 281–296. [Google Scholar] [CrossRef]
- Sheng, D.; Zhang, S.; Yu, Z.; Zhang, J. Assessing frost susceptibility of soils using PCHeave. Cold Reg. Sci. Technol. 2013, 95, 27–38. [Google Scholar] [CrossRef]













| Parameter | Value |
|---|---|
| Density of solid particles, (kg/m3) | 2360 |
| Density of water, (kg/m3) | 1000 |
| Density of ice, (kg/m3) | 917 |
| thermal conductivity of water, (J·m−1·s−1·K−1) | 0.58 |
| thermal conductivity of ice, (J·m−1·s−1·K−1) | 2.22 |
| thermal conductivity of solid particles, (J·m−1·s−1·K−1) | 1.5 |
| Specific heat capacities of solid particles, (J·kg−1·K−1) | 2360 |
| Specific heat capacities of water, (J·kg−1·K−1) | 4180 |
| Specific heat capacities of ice, (J·kg−1·K−1) | 1874 |
| Gravitational acceleration, (m/s2) | 9.81 |
| Height of soil model, (cm) | 20 |
| Latent heat of fusion for water, (J/kg) | 334,560 |
| Parameter | Value |
|---|---|
| Density of solid particles, (kg/m3) | 2700 |
| Density of water, (kg/m3) | 1000 |
| Density of ice, (kg/m3) | 917 |
| Compressive modulus, E (MPa) | 0.8 |
| thermal conductivity of water, (J·m−1·s−1·K−1) | 0.58 |
| thermal conductivity of ice, (J·m−1·s−1·K−1) | 2.22 |
| Specific heat capacities of solid particles, (J·kg−1·K−1) | 2360 |
| Specific heat capacities of water, (J·kg−1·K−1) | 4180 |
| Specific heat capacities of ice, (J·kg−1·K−1) | 1874 |
| Gravitational acceleration, (m/s2) | 9.8 |
| Height of soil model, (cm) | 10 |
| Latent heat of fusion for water, (J/kg) | 334,000 |
| Overburden pressure, (kPa) | 200 |
| Case No. | Initial Void Ratio | Initial Hydraulic Conductivity (10−11m s−1) | Temperatures of Top and Lower Surfaces (K) | Thermal Conductivity of Soil Particles (W·m−1 K−1) |
|---|---|---|---|---|
| 1 | 0.4 | 1.0 | 271.65/274.15 | 0.70 |
| 2 | 0.6 | 1.0 | 271.65/274.15 | 0.70 |
| 3 | 0.8 | 1.0 | 271.65/274.15 | 0.70 |
| 4 | 0.4 | 1.5 | 271.65/274.15 | 0.70 |
| 5 | 0.4 | 2.0 | 271.65/274.15 | 0.70 |
| 6 | 0.4 | 2.0 | 271.65/274.15 | 1.20 |
| 7 | 0.4 | 2.0 | 271.65/274.15 | 1.70 |
© 2020 by the authors. Licensee MDPI, Basel, Switzerland. This article is an open access article distributed under the terms and conditions of the Creative Commons Attribution (CC BY) license (http://creativecommons.org/licenses/by/4.0/).
Share and Cite
Lei, D.; Yang, Y.; Cai, C.; Chen, Y.; Wang, S. The Modelling of Freezing Process in Saturated Soil Based on the Thermal-Hydro-Mechanical Multi-Physics Field Coupling Theory. Water 2020, 12, 2684. https://doi.org/10.3390/w12102684
Lei D, Yang Y, Cai C, Chen Y, Wang S. The Modelling of Freezing Process in Saturated Soil Based on the Thermal-Hydro-Mechanical Multi-Physics Field Coupling Theory. Water. 2020; 12(10):2684. https://doi.org/10.3390/w12102684
Chicago/Turabian StyleLei, Dawei, Yugui Yang, Chengzheng Cai, Yong Chen, and Songhe Wang. 2020. "The Modelling of Freezing Process in Saturated Soil Based on the Thermal-Hydro-Mechanical Multi-Physics Field Coupling Theory" Water 12, no. 10: 2684. https://doi.org/10.3390/w12102684
APA StyleLei, D., Yang, Y., Cai, C., Chen, Y., & Wang, S. (2020). The Modelling of Freezing Process in Saturated Soil Based on the Thermal-Hydro-Mechanical Multi-Physics Field Coupling Theory. Water, 12(10), 2684. https://doi.org/10.3390/w12102684

