Numerical Studies on the Suitable Position of Artificial Upwelling in a Semi-Enclosed Bay
Abstract
1. Introduction
2. Methods
2.1. Design of Numerical Experiments
2.2. Field Measurements
3. Results
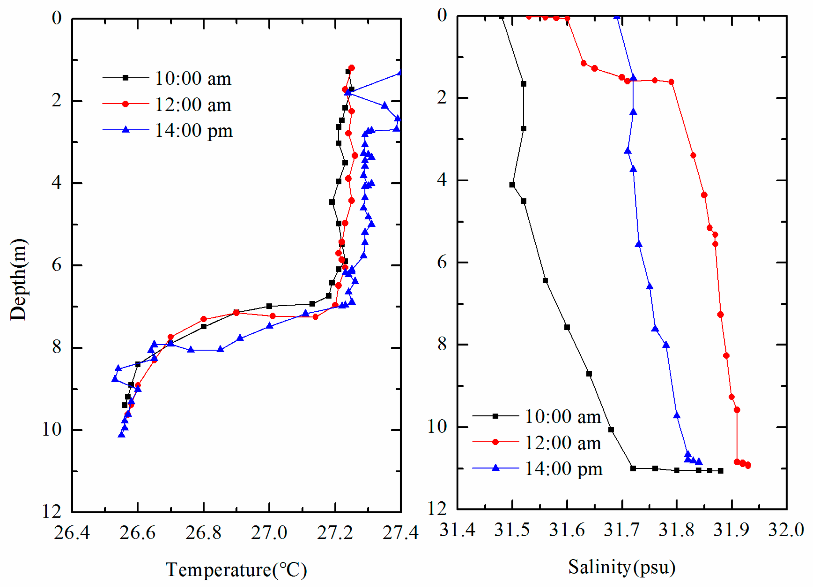
3.1. Model Verification
3.2. The Effect of Tidal and Residual Current to Artificial Upwelling
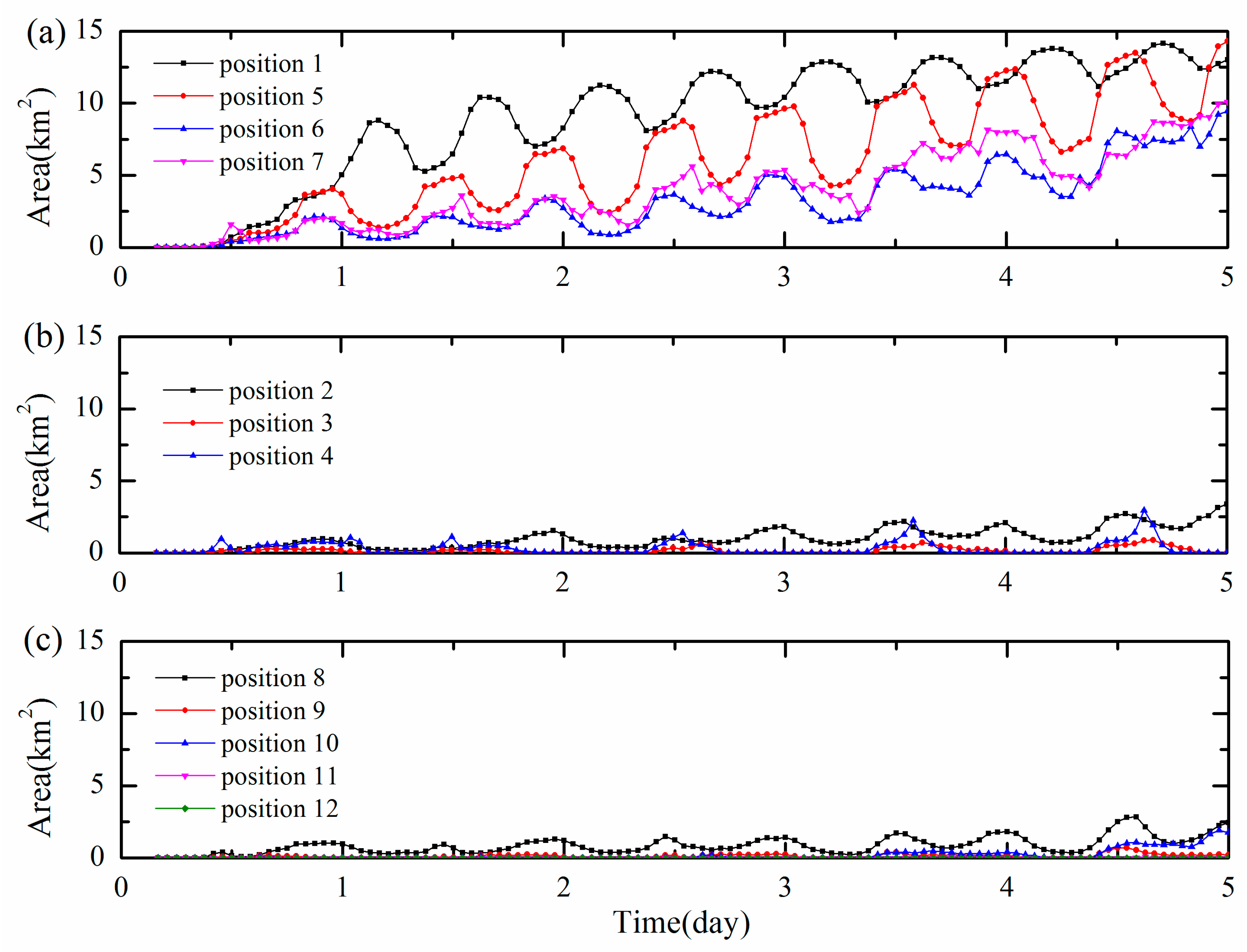
3.3. The Optimal Artificial Upwelling Positions for Ecological Engineering
3.4. The Performance of Artificial Upwelling in Increasing Nutrient Concentration
3.5. The Comparison of Two Representative Conditions in the Semi-Closed Bay
3.6. Discussion of the Limitations of this Study
4. Conclusions
Author Contributions
Funding
Conflicts of Interest
References
- Heisler, J.; Glibert, P.M.; Burkholder, J.M.; Anderson, D.M.; Cochlan, W.; Dennison, W.C.; Dortch, Q.; Gobler, C.J.; Heil, C.A.; Humphries, E. Eutrophication and harmful algal blooms: A scientific consensus. Harmful Algae 2008, 8, 3–13. [Google Scholar] [CrossRef] [PubMed]
- Anderson, D.M. Turning back the harmful red tide. Nature 1997, 388, 513. [Google Scholar] [CrossRef]
- Anderson, D.M. Approaches to monitoring, control and management of harmful algal blooms (HABs). Ocean Coast. Manag. 2009, 52, 342–347. [Google Scholar] [CrossRef]
- Shi, H.; Zheng, W.; Zhang, X.; Zhu, M.; Ding, D. Ecological–economic assessment of monoculture and integrated multi-trophic aquaculture in Sanggou Bay of China. Aquaculture 2013, 410, 172–178. [Google Scholar] [CrossRef]
- Jiang, Z.J.; Fang, J.G.; Mao, Y.Z.; Wang, W. Eutrophication assessment and bioremediation strategy in a marine fish cage culture area in Nansha Bay, China. J. Appl. Phycol. 2010, 22, 421–426. [Google Scholar] [CrossRef]
- Fei, X. Solving the coastal eutrophication problem by large scale seaweed cultivation. In Asian Pacific Phycology in the 21st Century: Prospects and Challenges; Springer: Berlin/Heidelberg, Germany, 2004; pp. 145–151. [Google Scholar]
- Xiao, X.; Agusti, S.; Lin, F.; Li, K.; Pan, Y.; Yu, Y.; Zheng, Y.; Wu, J.; Duarte, C.M. Nutrient removal from Chinese coastal waters by large-scale seaweed aquaculture. Sci. Rep. 2017, 7, 46613. [Google Scholar] [CrossRef] [PubMed]
- Forchino, A.; Borja, A.; Brambilla, F.; Rodríguez, J.G.; Muxika, I.; Terova, G.; Saroglia, M. Evaluating the influence of off-shore cage aquaculture on the benthic ecosystem in Alghero Bay (Sardinia, Italy) using AMBI and M-AMBI. Ecol. Indic. 2011, 11, 1112–1122. [Google Scholar] [CrossRef]
- Ni, Z.; Zhang, L.; Yu, S.; Jiang, Z.; Zhang, J.; Wu, Y.; Zhao, C.; Liu, S.; Zhou, C.; Huang, X. The porewater nutrient and heavy metal characteristics in sediment cores and their benthic fluxes in Daya Bay, South China. Mar. Pollut. Bull. 2017, 124, 547–554. [Google Scholar] [CrossRef]
- Wang, W.W.; Li, D.J.; Zhou, J.L.; Gao, L. Nutrient dynamics in pore water of tidal marshes near the Yangtze Estuary and Hangzhou Bay, China. Environ. Earth Sci. 2011, 63, 1067–1077. [Google Scholar] [CrossRef]
- Shi, J.; Wei, H. Simulation of hydrodynamic structures in a semi-enclosed bay with dense raft-culture. Period. Ocean Univ. China Chin. 2009, 39, 1181–1187. [Google Scholar]
- Williamson, P.; Wallace, D.W.R.; Law, C.S.; Boyd, P.W.; Collos, Y.; Croot, P.; Denman, K.; Riebesell, U.; Takeda, S.; Vivian, C. Ocean fertilization for geoengineering: A review of effectiveness, environmental impacts and emerging governance. Process Saf. Environ. Prot. 2012, 90, 475–488. [Google Scholar] [CrossRef]
- Lovelock, J.E.; Rapley, C.G. Ocean pipes could help the Earth to cure itself. Nature 2007, 449, 403. [Google Scholar] [CrossRef] [PubMed]
- Aure, J.; Strand, Ø.; Erga, S.R.; Strohmeier, T. Primary production enhancement by artificial upwelling in a western Norwegian fjord. Res. Vet. Sci. 2007, 34, 77–81. [Google Scholar] [CrossRef]
- Sato, K.; Sato, T. A study on bubble plume behavior in stratified water. J. Mar. Sci. Technol. 2001, 6, 59–69. [Google Scholar] [CrossRef]
- White, A.; Björkman, K.; Grabowski, E.; Letelier, R.; Poulos, S.; Watkins, B.; Karl, D. An Open Ocean Trial of Controlled Upwelling Using Wave Pump Technology. J. Atmos. Ocean. Technol. 2010, 27, 385–396. [Google Scholar] [CrossRef]
- Ouchi, K.; Otsuka, K.; Omura, H. In recent advances of ocean nutrient enhancer “TAKUMI” project. In Proceedings of the Sixth ISOPE Ocean Mining Symposium, Changsha, China, 9–13 October 2005; International Society of Offshore and Polar Engineers: Mountain View, CA, USA, 2005. [Google Scholar]
- Hand, A.; Mcclimans, T.A.; Reitan, K.I.; Knutsen, Ø.; Tangen, K.; Olsen, Y. Artificial upwelling to stimulate growth of non-toxic algae in a habitat for mussel farming. Aquac. Res. 2015, 45, 1798–1809. [Google Scholar] [CrossRef]
- Maruyama, S.; Yabuki, T.; Sato, T. Evidences of increasing primary production in the ocean by Stommel’s perpetual salt fountain. Deep Sea Res. Part I 2012, 58, 567–574. [Google Scholar] [CrossRef]
- Ouchi, K.; Yamatogi, T.; Kobayashi, K.; Nakamura, M. Research and Development of Density Current Generator. J. Jpn. Soc. Nav. Archit. Ocean Eng. 2009, 1998, 281–289. [Google Scholar] [CrossRef][Green Version]
- Sato, T.; Tonoki, K.; Yoshikawa, T.; Tsuchiya, Y. Numerical and hydraulic simulations of the effect of Density Current Generator in a semi-enclosed tidal bay. Coast. Eng. 2006, 53, 49–64. [Google Scholar] [CrossRef]
- Jun, C.J.-F.Z. Distribution and variation of hydrographic factors in the Aoshan Bay. Mar. Fish. Res. 2004, 2, 66–72. [Google Scholar]
- Lin, T.; Fan, W.; Xiao, C.; Yao, Z.; Zhang, Z.; Zhao, R.; Pan, Y.; Chen, Y. Energy Management and Operational Planning of an Ecological Engineering for Carbon Sequestration in Coastal Mariculture Environments in China. Sustainability 2019, 11, 3162. [Google Scholar] [CrossRef]
- Chen, C.; Liu, H.; Beardsley, R.C. An unstructured grid, finite-volume, three-dimensional, primitive equations ocean model: Application to coastal ocean and estuaries. J. Atmos. Ocean. Technol. 2003, 20, 159–186. [Google Scholar] [CrossRef]
- Mellor, G.L.; Yamada, T. Development of a turbulence closure model for geophysical fluid problems. Rev. Geophys. 1982, 20, 851–875. [Google Scholar] [CrossRef]
- Smagorinsky, J. General circulation experiments with the primitive equations: I. The basic experiment. Mon. Weather Rev. 1963, 91, 99–164. [Google Scholar] [CrossRef]
- Chen, C.; Cowles, G.; Beardsley, R.C. An Unstructured Grid, Finite-Volume Coastal Ocean Model: FVCOM User Manual; UMASSD Technical Report-06-0602; SMAST: New Bedford, MA, USA, 2006. [Google Scholar]
















| Model Parameter | Value |
|---|---|
| External Timestep (s) | 1 |
| Internal time split (s) | 10 |
| Horizontal diffusion | Smagorinsky scheme |
| Vertical eddy viscosity | M-Y 2.5 turbulent closure |
| Open boundary condition | TPXO |
| Nodes, elements, vertical layers | 4233, 8091, 10 uniform layer |
| Smagorinsky constant | 0.2 |
| Horizontal Prandtl number | 1 |
| Vertical Prandtl number | 1 |
| Vertical mixing coefficient | 10−6 |
| Minimum Bottom Roughness (m) | 0.0025 |
| Roughness length (m) | 0.001 |
| Initial sea surface temperature (°C) | 5.0 |
| Initial sea bottom temperature (°C) | 4.8 |
| Initial salinity value | 31.8 |
| Water discharged from artificial upwelling () | 1.2 |
| Running time of the system () | 2 (10:00–12:00 a.m.) |
| Site | 1 | 2 | 3 | 4 | 5 | 6 | 7 | 8 | 9 | 10 | 11 | Mean |
|---|---|---|---|---|---|---|---|---|---|---|---|---|
| 7.192 | 9.103 | 10.358 | 8.132 | 8.306 | 11.057 | 9.486 | 7.395 | 12.387 | 8.059 | 7.132 | 8.964 | |
| 0.131 | 0.162 | 0.27 | 0.482 | 0.301 | 0.396 | 0.278 | 0.199 | 0.403 | 0.256 | 0.306 | 0.289 |
| Site | 4 | 5 | 6 | Mean |
|---|---|---|---|---|
| 15.09 | 15.19 | 15.16 | 15.15 | |
| 0.87 | 0.86 | 0.88 | 0.87 |
© 2020 by the authors. Licensee MDPI, Basel, Switzerland. This article is an open access article distributed under the terms and conditions of the Creative Commons Attribution (CC BY) license (http://creativecommons.org/licenses/by/4.0/).
Share and Cite
Yao, Z.; Fan, W.; Xiao, C.; Lin, T.; Zhang, Y.; Zhang, Y.; Liu, J.; Zhang, Z.; Pan, Y.; Chen, Y. Numerical Studies on the Suitable Position of Artificial Upwelling in a Semi-Enclosed Bay. Water 2020, 12, 177. https://doi.org/10.3390/w12010177
Yao Z, Fan W, Xiao C, Lin T, Zhang Y, Zhang Y, Liu J, Zhang Z, Pan Y, Chen Y. Numerical Studies on the Suitable Position of Artificial Upwelling in a Semi-Enclosed Bay. Water. 2020; 12(1):177. https://doi.org/10.3390/w12010177
Chicago/Turabian StyleYao, Zhongzhi, Wei Fan, Canbo Xiao, Tiancheng Lin, Yao Zhang, Yongyu Zhang, Jihua Liu, Zhujun Zhang, Yiwen Pan, and Ying Chen. 2020. "Numerical Studies on the Suitable Position of Artificial Upwelling in a Semi-Enclosed Bay" Water 12, no. 1: 177. https://doi.org/10.3390/w12010177
APA StyleYao, Z., Fan, W., Xiao, C., Lin, T., Zhang, Y., Zhang, Y., Liu, J., Zhang, Z., Pan, Y., & Chen, Y. (2020). Numerical Studies on the Suitable Position of Artificial Upwelling in a Semi-Enclosed Bay. Water, 12(1), 177. https://doi.org/10.3390/w12010177

