Encounter Probability and Risk of Flood and Drought under Future Climate Change in the Two Tributaries of the Rao River Basin, China
Abstract
1. Introduction
2. Materials and Methods
2.1. Study Area and Data
2.2. SDSM Method
2.3. The Xin’anjiang Model
2.4. Encounter Probability Model
3. Results and Discussion
3.1. Predictions of Future Precipitation and Temperature
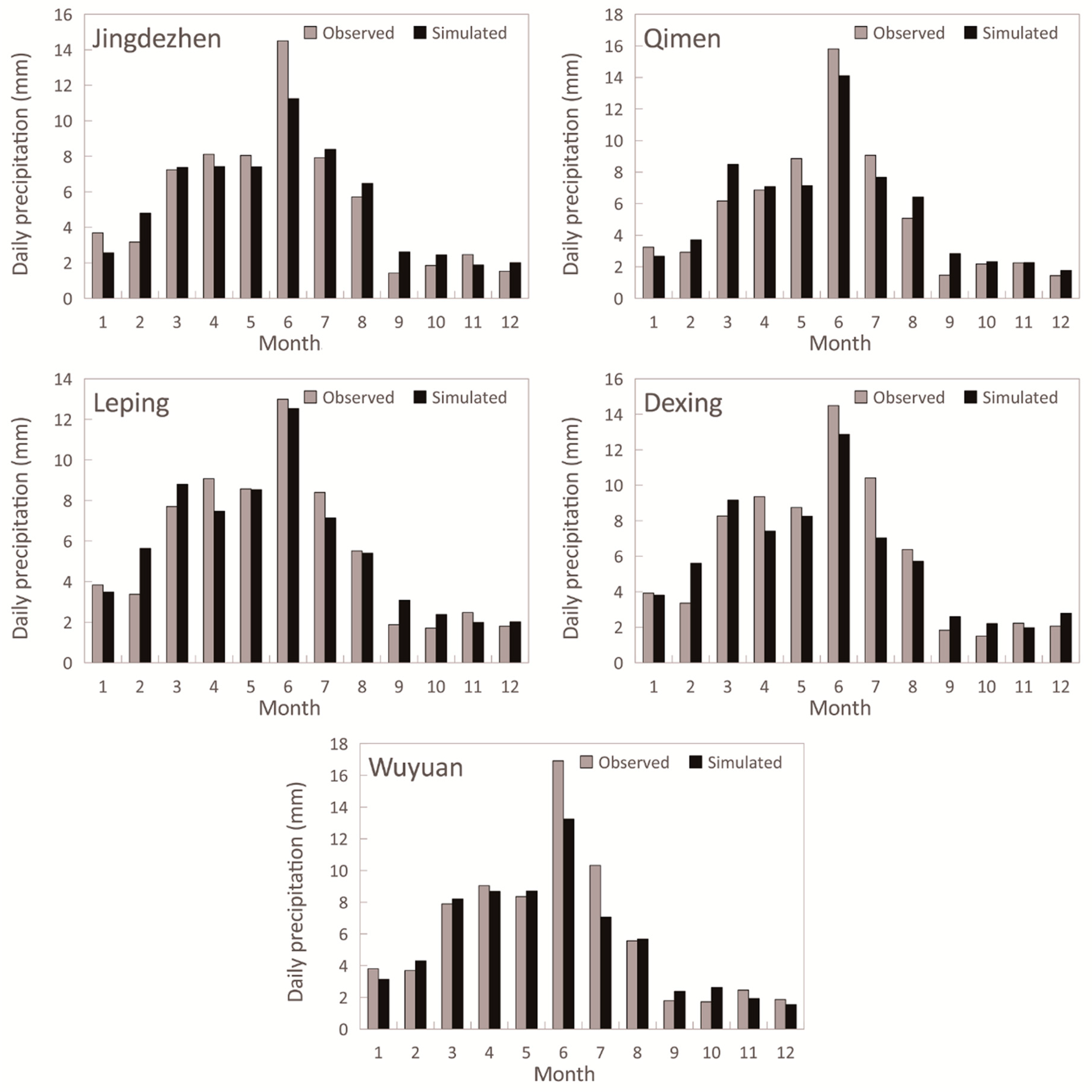
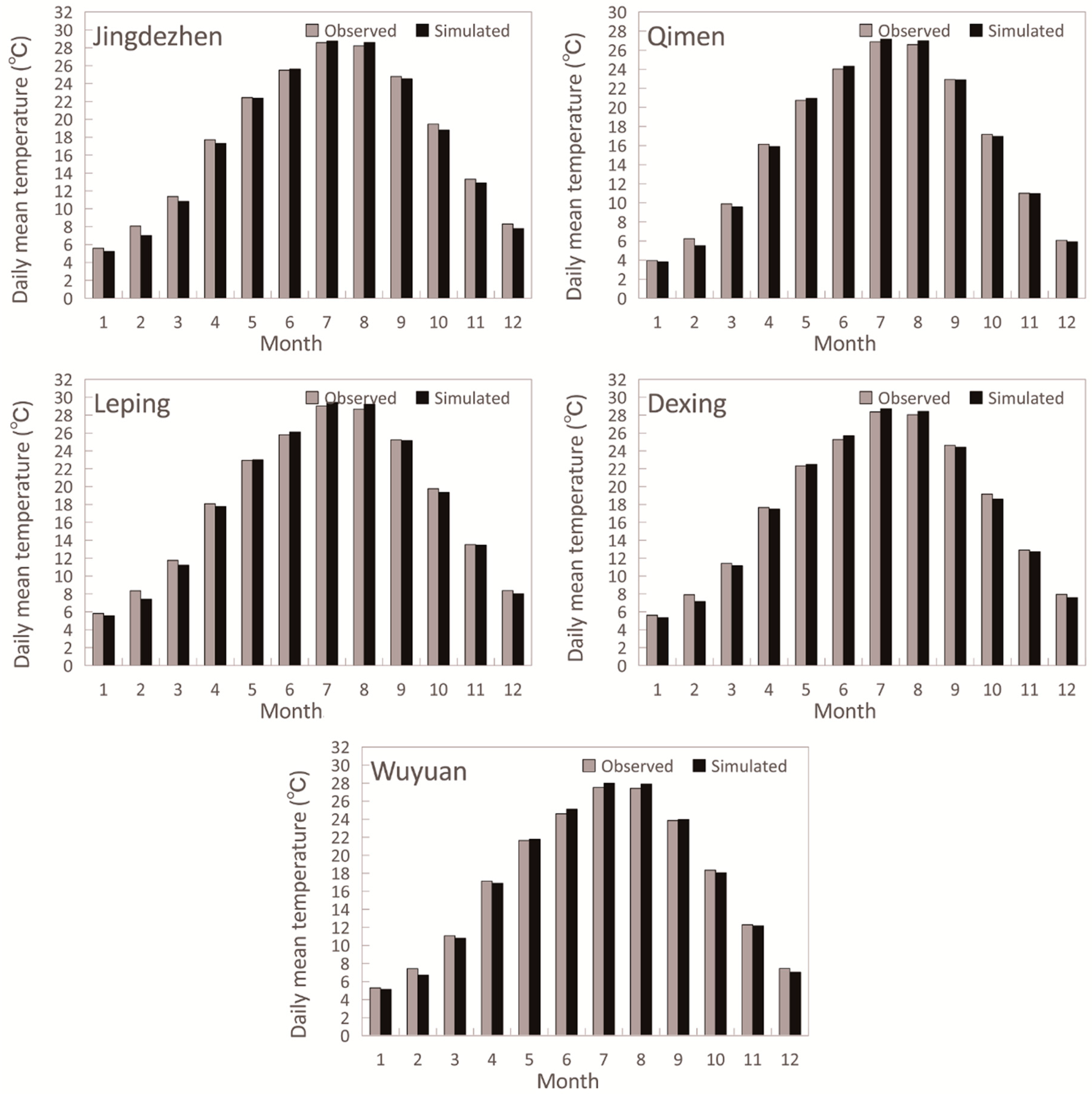
3.1.1. Calibration and Validation of SDSM
3.1.2. Predictions of Future Precipitation and Temperature
3.2. Predictions of Future Runoff
3.2.1. Calibration and Validation of the Xin’anjiang Model
3.2.2. Predictions of Future Runoff
3.3. Probability Analysis of Future Flood Encounters
3.3.1. Establishment of the Marginal Distribution
3.3.2. Establishment of the Joint Distribution
3.3.3. Flood Encounter Analysis
3.4. Probability Analysis of a Future Drought Encounter
4. Conclusions
Author Contributions
Funding
Conflicts of Interest
References
- Aalst, M.K.V. The impacts of climate change on the risk of natural disaster. Disasters 2006, 30, 5–18. [Google Scholar] [CrossRef]
- Stott, P. How climate change affects extreme weather events. Science 2016, 352, 1517–1518. [Google Scholar] [CrossRef]
- Toonen, W.H.J.; Middelkoop, H.; Konijnendijk, T.Y.M.; Macklin, M.G.; Cohen, K.M. The influence of hydroclimatic variability on flood frequency in the Lower Rhine. Earth Surf. Process. Landf. 2016, 41, 1266–1275. [Google Scholar] [CrossRef]
- Forestieri, A.; Conti, F.L.; Blenkinsop, S.; Cannarozzo, M.; Fowler, H.J.; Noto, L.V. Regional frequency analysis of extreme rainfall in Sicily (Italy). Int. J. Climatol. 2018, 38, 698–716. [Google Scholar] [CrossRef]
- Salvadori, G.; De Michele, C. Frequency analysis via copulas: Theoretical aspects and applications to hydrological events. Water Resour. Res. 2004, 40, 229–244. [Google Scholar] [CrossRef]
- Chebana, F.; Ouarda, T.B.M.J. Multivariate quantiles in hydrological frequency analysis. Environmetrics 2011, 22, 63–78. [Google Scholar] [CrossRef]
- IPCC. Climate Change 2014: Impacts Adaptation and Vulnerability and Climate Change 2014: Mitigation of Climate Change; Cambridge University Press: New York, NY, USA, 2014. [Google Scholar]
- Wigley, T.M.L.; Jones, P.D.; Briffa, K.R.; Smith, G. Obtaining sub-grid-scale information from coarse-resolution general circulation model output. J. Geophys. Res. 1990, 95, 1943–1953. [Google Scholar] [CrossRef]
- Robock, A.; Turco, R.P.; Harwell, M.A.; Ackerman, T.P.; Andressen, R.; Chang, H.S.; Sivakumar, M.V.K. Use of general circulation model output in the creation of climate change scenarios for impact analysis. Clim. Chang. 1993, 23, 293–335. [Google Scholar] [CrossRef]
- Chen, J.; Brissette, F.P.; Leconte, R. Uncertainty of downscaling method in quantifying the impact of climate change on hydrology. J. Hydrol. 2011, 401, 190–202. [Google Scholar] [CrossRef]
- Hellström, C.; Chen, D.L.; Achberger, C.; Räisänen, J. Comparison of climate change scenarios for sweden based on statistical and dynamical downscaling of monthly precipitation. Clim. Res. 2001, 19, 45–55. [Google Scholar] [CrossRef]
- Murphy, J. An Evaluation of Statistical and Dynamical Techniques for Downscaling Local Climate. J. Clim. 1999, 12, 2256–2284. [Google Scholar] [CrossRef]
- Wilby, R.L.; Dawson, C.W.; Barrow, E.M. SDSM—A decision support tool for the assessment of regional climate change impacts. Environ. Model. Softw. 2002, 17, 145–157. [Google Scholar] [CrossRef]
- Shen, M.; Chen, J.; Zhuan, M.; Chen, H.; Xu, C.Y.; Xiong, L. Estimating uncertainty and its temporal variation related to global climate models in quantifying climate change impacts on hydrology. J. Hydrol. 2018, 556, 10–24. [Google Scholar] [CrossRef]
- Corte-Real, J.; Quian, B.; Xu, H. Circulation patterns, daily precipitation in Portugal and implications for climate change simulated by the second Hadley centre GCM. Clim. Dyn. 1999, 15, 921–935. [Google Scholar] [CrossRef]
- Mendez, F.J. Downscaling of global climate change estimates to regional scales: An application to Ierian rainfall. J. Clim. 1993, 6, 1161–1171. [Google Scholar] [CrossRef]
- Wilks, D.S.; Wilby, R.L. The weather generation game: A review of stochastic weather models. Prog. Phys. Geogr. 1999, 23, 329–357. [Google Scholar] [CrossRef]
- Wilby, R.L.; Dawson, C.W. Statistical Downscaling Model (SDSM), Version 4.2; Department of Geography, Lancaster University: Lancaster, UK, 2007. [Google Scholar]
- Zhao, F.F.; Xu, Z.X. Statistical downscaling of future temperature change in source of the Yellow River Basin. Plateau Meteorol. 2008, 27, 153–161, (In Chinese with English abstract). [Google Scholar]
- Souvignet, M.; Gaese, H.; Ribbe, L.; Kretschmer, N.; Oyarzun, R. Statistical downscaling of precipitation and temperature in north-central Chile: An assessment of possible climate change impacts in an arid Andean watershed. Hydrol. Sci. J. 2010, 55, 41–57. [Google Scholar] [CrossRef]
- Gulacha, M.M.; Mulungu, D.M.M. Generation of climate change scenarios for precipitation and temperature at local scales using SDSM in Wami-Ruvu River Basin Tanzania. Phys. Chem. Earth 2017, 100, 62–72. [Google Scholar] [CrossRef]
- Xiao, T.G. Analysis on flood encounter of Jinsha river and Minjiang river. Yangtze River 2001, 32, 30–32, (In Chinese with English abstract). [Google Scholar] [CrossRef]
- Kim, G.; Silvapulle, M.J.; Silvapulle, P. Comparison of semiparametric and parametric methods for estimating copulas. Comput. Stat. Data Anal. 2007, 51, 2836–2850. [Google Scholar] [CrossRef]
- Guo, S.L.; Yan, B.W.; Xiao, Y. Multivariate Hydrological Analysis and Estimation. J. China Hydrol. 2008, 28, 1–7, (In Chinese with English abstract). [Google Scholar]
- Salvadori, G.; Michele, C.D.; Durante, F. Multivariate design via copulas. Hydrol. Earth Syst. Sci. Discuss. 2011, 8, 5523–5558. [Google Scholar] [CrossRef]
- Michele, C.D.; Salvadori, G. A Generalized Pareto intensity-duration model of storm rainfall exploiting 2-Copulas. J. Geophys. Res. 2003, 108, 4067. [Google Scholar] [CrossRef]
- Zhang, L.; Singh, V.P. Bivariate rainfall frequency distributions using archimedean copulas. J. Hydrol. 2007, 332, 109. [Google Scholar] [CrossRef]
- Yan, B.W.; Guo, S.L.; Chen, L.; Liu, P. Flood encountering risk analysis for the Yangtze River and Qingjiang River. J. Hydraul. Eng. 2010, 39, 553–559, (In Chinese with English abstract). [Google Scholar] [CrossRef]
- Bing, J.P.; Deng, P.X.; Zhang, X.; Lv, S.Y.; Marani, M.; Xiao, Y. Flood coincidence analysis of Poyang Lake and Yangtze River: risk and influencing factors. Stoch. Environ. Res. Risk Assess. 2018, 32, 879–891. [Google Scholar] [CrossRef]
- Das, T.; Dettinger, M.D.; Cayan, D.R.; Hidalgo, H.G. Potential increase in floods in California’s Sierra Nevada under future climate projections. Clim. Chang. 2011, 109 (Suppl. 1), 71–94. [Google Scholar] [CrossRef]
- Ryu, J.H.; Lee, J.H.; Jeong, S.; Park, S.K.; Han, K. The impacts of climate change on local hydrology and drought frequency in the Geum River Basin, Korea. Hydrol. Process. 2011, 25, 3437–3447. [Google Scholar] [CrossRef]
- Tofiq, F.A.; Guven, A. Prediction of design flood discharge by statistical downscaling and General Circulation Models. J. Hydrol. 2014, 517, 1145–1153. [Google Scholar] [CrossRef]
- Meaurio, M.; Zabaleta, A.; Boithias, L.; Epelde, A.M.; Sauvage, S.; Sánchez-Pérez, J.M.; Srinivasan, R.; Antiguedad, I. Assessing the hydrological response from an ensemble of CMIP5 climate projections in the transition zone of the Atlantic region (Bay of Biscay). J. Hydrol. 2017, 548, 46–62. [Google Scholar] [CrossRef]
- Duan, K.; Mei, Y.; Zhang, L. Copula-based bivariate flood frequency analysis in a changing climate—A case study in the Huai River Basin, China. J. Earth Sci. 2016, 27, 37–46. [Google Scholar] [CrossRef]
- Yin, J.B.; Guo, S.L.; He, S.K.; Guo, J.L.; Hong, X.J.; Liu, Z.J. A copula-based analysis of projected climate changes to bivariate flood quantiles. J. Hydrol. 2018, 566, 23–42. [Google Scholar] [CrossRef]
- Kundzewicz, Z.W.; Robson, A. Detecting Trend and Other Changes in Hydrological Data World Climate Programme Data and Monitoring; WMO/TD-No. 1013; WMO: Geneva, The Netherlands, 2000. [Google Scholar]
- Xu, Y.; Ding, Y.H.; Zhao, Z.C. Detection and evaluation of effect of human activities on climatic change in east asia in recent 30 years. Q. J. Appl. Meteorl. 2002, 13, 513–525, (In Chinese with English abstract). [Google Scholar] [CrossRef]
- Zhao, R.J. The Xinanjiang model applied in China. J. Hydrol. 1992, 135, 371–381. [Google Scholar] [CrossRef]
- Ministry of Water Resources. Standard for Hydrological Information and Hydrological Forecasting; China Water and Power Press: Beijing, China, 2000; pp. 18–21.
- Lu, J.; Sun, G.; Mcnulty, S.G.; Amatya, D.M. A comparison of six potential evapotranspiration methods for regional use in the southeastern United States. JAWRA J. Am. Water Resour. Assoc. 2005, 41, 621–633. [Google Scholar] [CrossRef]
- Zhang, X.L.; Xiong, L.H.; Lin, L.; Long, H.F. Application of five potential evapotranspiration equations in hanjiang basin. Arid Land Geogr. 2012, 35, 229–237, (In Chinese with English abstract). [Google Scholar]
- Vörösmarty, C.J.; Federer, C.A.; Schloss, A.L. Potential evaporation functions compared on us watersheds: possible implications for global-scale water balance and terrestrial ecosystem modeling. J. Hydrol. 1998, 207, 147–169. [Google Scholar] [CrossRef]
- Ministry of Water Resources. Regulations for Calculating Design Flood of Water Resources and Hydropower Projects; China Water and Power Press: Beijing, China, 2006; pp. 13–16.
- Nelsen, R.B. An Introduction to Copulas; Springer: New York, NY, USA, 2007; pp. 109–155. [Google Scholar]
- Yue, S. The Gumbel logistic model for representing a multivariate storm event. Adv. Water Resour. 2001, 24, 179–185. [Google Scholar] [CrossRef]
- Joe, H. Multivariate Models and Dependence Concepts; Chapman and Hall: New York, NY, USA, 1997; pp. 297–322. [Google Scholar]
- Liu, W.L.; Xiong, H.L.; Liu, L.N.; Zhu, S.N.; Chen, X. Estimate of the Climate Change in Ganjiang River Basin Using SDSM Method and CMIP5. Res. Soil Water Conserv. 2019, 26, 145–152, (In Chinese with English abstract). [Google Scholar]
- González-Rojí, S.J.; Wilby, R.L.; Sáenz, J.; Ibarra-Berastegi, G. Harmonized evaluation of daily precipitation downscaled using SDSM and WRF+WRFDA models over the Iberian Peninsula. Clim. Dyn. 2019, 53, 1413–1433. [Google Scholar] [CrossRef]
- Guan, Y.H. Extreme Climate Change and Its Trend Prediction in the Yangtze River Basin. Ph.D. Thesis, Northwest Agriculture and Forestry University, Shanxi, China, 2015. (In Chinese with English abstract). [Google Scholar]
- Bao, J.; Feng, J.; Wang, Y. Dynamical downscaling simulation and future projection of precipitation over China. J. Geophys. Res. Atmos. 2015, 120, 8227–8243. [Google Scholar] [CrossRef]
- Tian, D.; Guo, Y.; Dong, W. Future changes and uncertainties in temperature and precipitation over China based on CMIP5 models. Adv. Atmos. Sci. 2015, 32, 487–496. [Google Scholar] [CrossRef]
- Liu, W.; Zhang, X.N.; Fang, Y.H. Prediction and analysis of future water resources change in Raohe River Basin. J. Water Resour. Water Eng. 2017, 28, 15–19, (In Chinese with English abstract). [Google Scholar]
- Feng, X.; Porporato, A.; Rodriguez-Iturbe, I. Changes in rainfall seasonality in the tropics. Nat. Clim. Chang. 2013, 3, 1–5. [Google Scholar] [CrossRef]
- Pascale, S.; Lucarini, V.; Feng, X.; Porporato, A.; ul Hasson, S. Analysis of rainfall seasonality from observations and climate models. Clim. Dyn. 2015, 44, 3281–3301. [Google Scholar] [CrossRef]
- Yin, J.; Porporato, A. Diurnal cloud cycle biases in climate models. Nat. Commun. 2017, 8, 2269. [Google Scholar] [CrossRef]
- Arnell, N.W.; Gosling, S.N. The impacts of climate change on river flood risk at the global scale. Clim. Chang. 2016, 134, 387–401. [Google Scholar] [CrossRef]
- Sheffield, J.; Wood, E.F. Projected changes in drought occurrence under future global warming from multi-model, multi-scenario, IPCC AR4 simulations. Clim. Dyn. 2007, 31, 79–105. [Google Scholar] [CrossRef]
- Lehner, F.; Coats, S.; Stocker, T.F.; Pendergrass, A.G.; Sanderson, B.M.; Raible, C.C.; Smerdon, J.E. Projected drought risk in 1.5 °C and 2 °C warmer climates. Geophys. Res. Lett. 2017, 44, 7419–7428. [Google Scholar] [CrossRef]
- Hirabayashi, Y.; Mahendran, R.; Koirala, S.; Konoshima, L.; Yamazaki, D.; Watanabe, S.; Kim, H.; Kanae, S. Global flood risk under climate change. Nat. Clim. Chang. 2013, 3, 816–821. [Google Scholar] [CrossRef]















| Types | Copula Formula | The Relationship between θ and τ |
|---|---|---|
| Gumbel-Hougaard (GH) | ||
| Clayton | ||
| Frank |
| Predictands | Predictors | ||||
|---|---|---|---|---|---|
| Qimen | Jingdezhen | Leping | Dexing | Wuyuan | |
| Precipitation (mm) | p5_v, p500, p8_z, r850, rhum | p5_v, p5th, p8_z, r500, r850, rhum | p5_v, p8_v, p8_z, r500, r850, rhum | p5_v, p500, p5th, p8_z, r500, r850, rhum | p5_v, p5th, p8_z, r500, r850, rhum |
| Temperature (℃) | mslp, p500, p850, shum, temp | mslp, p500, p850, shum, temp | mslp, p500, p850, shum, temp | mslp, p500, p850, shum, temp | mslp, p500, p850, shum, temp |
| Stations | Period | Precipitation (mm) | Temperature (°C) | ||
|---|---|---|---|---|---|
| R2 (%) | RMSE (mm) | R2 (%) | RMSE (°C) | ||
| Jingdezhen | calibration | 24.8 | 10.84 | 70.1 | 1.78 |
| validation | 28.1 | 12.64 | 73.7 | 1.76 | |
| Qimen | calibration | 38.1 | 11.1 | 71.8 | 1.66 |
| validation | 29 | 14.1 | 73.4 | 0.63 | |
| Leping | calibration | 26 | 11.21 | 70.9 | 1.78 |
| validation | 31 | 13.61 | 72.6 | 1.78 | |
| Dexing | calibration | 25.5 | 11.29 | 69.6 | 1.82 |
| validation | 35.8 | 13.62 | 68.2 | 1.85 | |
| Wuyuan | calibration | 26.7 | 11.23 | 69.1 | 1.78 |
| validation | 34.1 | 14.23 | 69.8 | 1.77 | |
| Outlet Stations | WM | WUM | WLM | KE | B | SM | EX | CI | CG | IMP | C | KI | KG | N | NK |
|---|---|---|---|---|---|---|---|---|---|---|---|---|---|---|---|
| Dufengkeng | 120 | 20 | 70 | 0.98 | 0.35 | 21 | 1.2 | 0.2 | 0.5 | 0.02 | 0.18 | 0.88 | 0.98 | 2 | 2.8 |
| Hushan | 120 | 20 | 70 | 0.85 | 0.40 | 25 | 1.2 | 0.2 | 0.5 | 0.02 | 0.18 | 0.90 | 0.98 | 2 | 2.8 |
| Stations | Mixed von Mises Distribution | Pearson Type III Distribution | ||||||
|---|---|---|---|---|---|---|---|---|
| Ρi | Κi | μi | RMSE | α | β | δ | RMSE | |
| Dufengkeng | 0.14 | 40.11 | 2.96 | 0.023 | 1.25 | 1478.44 | 1308.52 | 0.033 |
| 0.19 | 1.12 | 1.57 | ||||||
| 0.39 | 22.56 | 3.26 | ||||||
| 0.28 | 3.92 | 2.36 | ||||||
| Hushan | 0.21 | 12.92 | 0.5 | 0.029 | 20.55 | 329.16 | −2906.34 | 0.028 |
| 0.21 | 52.16 | 2.96 | ||||||
| 0.22 | 27.52 | 3.31 | ||||||
| 0.36 | 3.15 | 2.61 | ||||||
| Types | Occurrence Dates | Magnitudes | ||||
|---|---|---|---|---|---|---|
| θ | OLS | AIC | θ | OLS | AIC | |
| GH | 1.54 | 0.035 | −198.90 | 1.66 | 0.03 | −207.55 |
| Clayton | 1.09 | 0.046 | −182.31 | 1.32 | 0.046 | −182.31 |
| Frank | 3.54 | 0.038 | −194.28 | 4.12 | 0.038 | −194.28 |
© 2019 by the authors. Licensee MDPI, Basel, Switzerland. This article is an open access article distributed under the terms and conditions of the Creative Commons Attribution (CC BY) license (http://creativecommons.org/licenses/by/4.0/).
Share and Cite
Liu, M.; Yin, Y.; Ma, X.; Zhang, Z.; Wang, G.; Wang, S. Encounter Probability and Risk of Flood and Drought under Future Climate Change in the Two Tributaries of the Rao River Basin, China. Water 2020, 12, 104. https://doi.org/10.3390/w12010104
Liu M, Yin Y, Ma X, Zhang Z, Wang G, Wang S. Encounter Probability and Risk of Flood and Drought under Future Climate Change in the Two Tributaries of the Rao River Basin, China. Water. 2020; 12(1):104. https://doi.org/10.3390/w12010104
Chicago/Turabian StyleLiu, Mengyang, Yixing Yin, Xieyao Ma, Zengxin Zhang, Guojie Wang, and Shenmin Wang. 2020. "Encounter Probability and Risk of Flood and Drought under Future Climate Change in the Two Tributaries of the Rao River Basin, China" Water 12, no. 1: 104. https://doi.org/10.3390/w12010104
APA StyleLiu, M., Yin, Y., Ma, X., Zhang, Z., Wang, G., & Wang, S. (2020). Encounter Probability and Risk of Flood and Drought under Future Climate Change in the Two Tributaries of the Rao River Basin, China. Water, 12(1), 104. https://doi.org/10.3390/w12010104

