Confluence Dynamics in a Modelled Large Sand-Bed Braided River
Abstract
1. Introduction
2. Materials and Methods
2.1. Numerical Model and Solutions
2.2. Model Settings and Boundary Conditions
3. Results and Discussion
3.1. Channel Confluences
3.1.1. General Processes
3.1.2. Geometry and Controlling Factors
3.1.3. Morphology and Evolution Process
3.2. Morphodynamic Processes at a Typical Confluence
3.2.1. Evolution and Geometry
3.2.2. Flow Field and Morphology
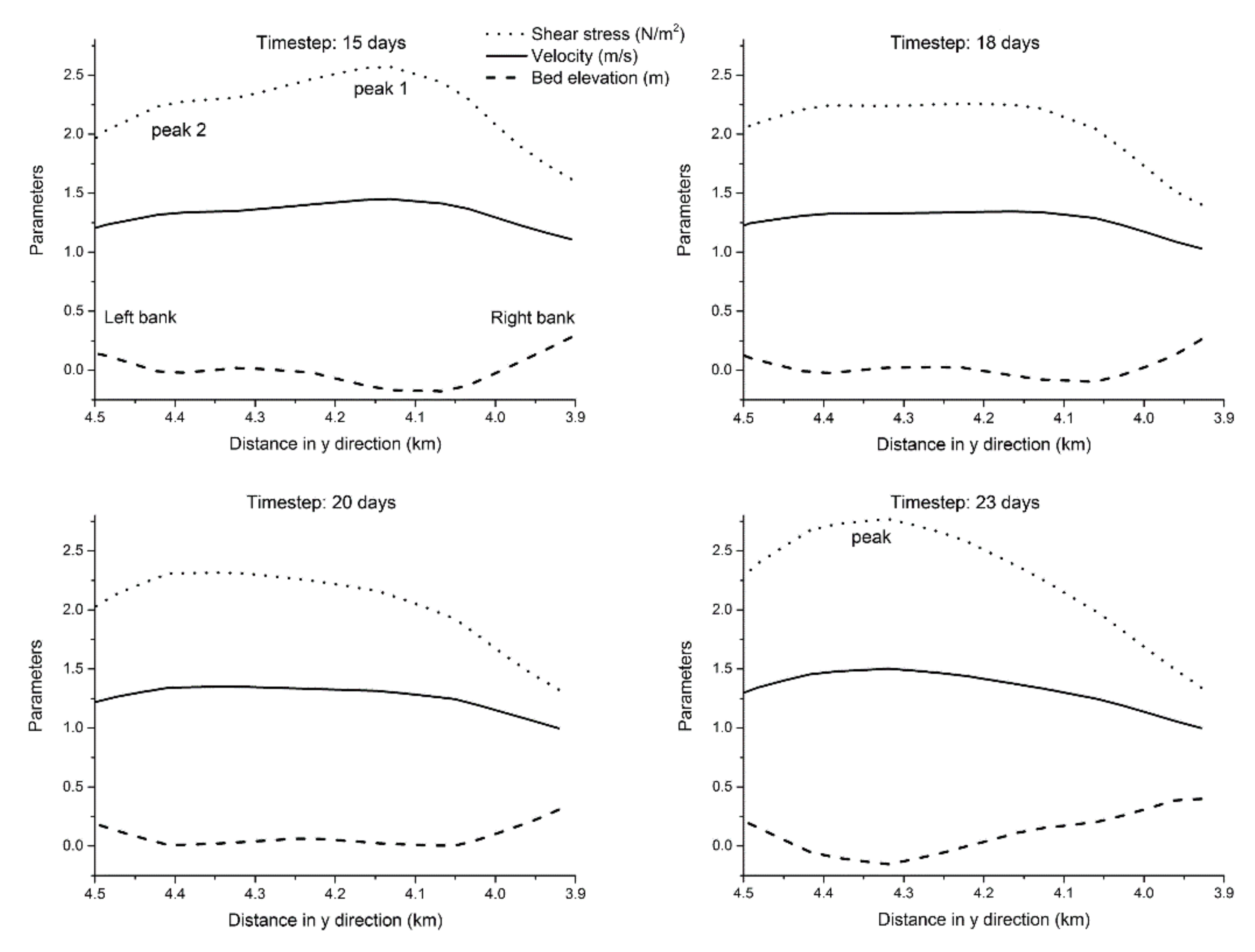
3.2.3. Relationships Between Flow Velocity, Shear Stress and Bed Elevation
3.3. Discussion
4. Conclusions
- In a braided river, a major change in the braiding pattern can control the overall evolution process of the confluences downstream, e.g., confluence generation and enlargement, or decline and disappearance. Locally, flow from neighboring upstream channels often plays a key role in influencing the dynamics and geometry of a confluence.
- A steep bed slope similar to avalanche face in small-scale confluence can develop at the mouth of the confluent branches. When one branch has a fully dominating discharge, avalanche face only occurs at the mouth of the secondary branch; when the two branches have similar discharges, avalanche faces occur at the mouths of both branches.
- The confluence scour hole is normally located close to the downstream bank of the secondary branch, which often has a steeper bank slope. Downstream migration of a scour hole is common due to sediment deposition at its head and erosion at its tail, with maximum flow velocity occurring behind the hole center with deepest flow.
- Generally, the discharge ratio between the two branches of a confluence indicates its flow direction, shape, depth and orientation. As the discharge ratio decreases, the scour angle between the two branches is enlarged and the scour hole deepens. The confluence flow direction and scour axis usually tends to be parallel to the dominant branch. However, an opposite situation occurs for some confluences due to the influence from upstream flow conditions.
- Increased shear stress and flow velocity may cause local erosion and scour deepening when there is a time lag before thalweg location coincides with flow peaks.
Author Contributions
Funding
Acknowledgments
Conflicts of Interest
References
- Da Silva, A.M.F.; Yalin, M.S. Fluvial Processes; CRC Press: London, UK, 2017; pp. 133–162. [Google Scholar]
- Rhoads, B.L.; Kenworthy, S.T. Flow structure at an asymmetrical stream confluence. Geomorphology 1995, 11, 273–293. [Google Scholar] [CrossRef]
- Riley, J.D.; Rhoads, B.L.; Parsons, D.R.; Johnson, K.K. Influence of junction angle on three-dimensional flow structure and bed morphology at confluent meander bends during different hydrological conditions. Earth Surf. Proc. Land. 2015, 40, 252–271. [Google Scholar] [CrossRef]
- Ribeiro, M.L.; Blanckaert, K.; Roy, A.G.; Schleiss, A.J. Flow and sediment dynamics in channel confluences. J. Geophys. Res. Earth 2012, 117. [Google Scholar] [CrossRef]
- Guillen-Ludena, S.; Franca, M.J.; Cardoso, A.H.; Schleiss, A.J. Evolution of the hydromorphodynamics of mountain river confluences for varying discharge ratios and junction angles. Geomorphology 2016, 255, 1–15. [Google Scholar] [CrossRef]
- Szupiany, R.N.; Amsler, M.L.; Parsons, D.R.; Best, J.L. Morphology, flow structure, and suspended bed sediment transport at two large braid-bar confluences. Water Resour. Res. 2009, 45, W05415. [Google Scholar] [CrossRef]
- Gualtieri, C.; Filizola, N.; de Oliveira, M.; Santos, A.M.; Ianniruberto, M. A field study of the confluence between Negro and Solimoes Rivers. Part 1: Hydrodynamics and sediment transport. Comptes Rendus Geosci. 2018, 350, 31–42. [Google Scholar] [CrossRef]
- Ferguson, R.I.; Ashmore, P.E.; Ashworth, P.J.; Paola, C.; Prestegaard, K.L. Measurements in a Braided River chute and lobe: 1. Flow pattern, sediment transport and channel change. Water Resour. Res. 1992, 28, 1877–1886. [Google Scholar] [CrossRef]
- Rhoads, B.L.; Riley, J.D.; Mayer, D.R. Response of bed morphology and bed material texture to hydrological conditions at an asymmetrical stream confluence. Geomorphology 2009, 109, 161–173. [Google Scholar] [CrossRef]
- Rhoads, B.L.; Kenworthy, S.T. Time-averaged flow structure in the central region of a stream confluence. Earth Surf. Proc. Land. 1998, 23, 171–191. [Google Scholar] [CrossRef]
- Best, J.L.; Rhoads, B.L. Sediment transport, bed morphology and the sedimentology of river channel confluences. In River Confluences, Branches and the Fluvial Network; Rice, S.P., Roy, A., Rhoads, B.L., Eds.; Wiley-Interscience: Hoboken, NJ, USA, 2008; pp. 45–72. [Google Scholar]
- Ashmore, P.; Parker, G. Confluence scour in coarse braided streams. Water Resour. Res. 1983, 19, 392–402. [Google Scholar] [CrossRef]
- Best, J.L. The morphology of river channel confluences. Prog. Phys. Geog. 1986, 10, 157–174. [Google Scholar] [CrossRef]
- Best, J.L. Sediment transport and bed morphology at river channel confluences. Sedimentology 1988, 35, 481–498. [Google Scholar] [CrossRef]
- Parsons, D.R.; Best, J.L.; Lane, S.N.; Kostaschuk, R.A.; Hardy, R.J.; Orfeo, O.; Amsler, M.L.; Szupiany, R.N. Large river channel confluences. In River Confluences, Tributaries and the Fluvial Network; Rice, S.P., Roy, A.G., Rhoads, B.L., Eds.; John Wiley & Sons, Ltd.: Chichester, UK, 2008; pp. 73–91. [Google Scholar]
- Best, J.L.; Ashworth, P.J. Scour in large braided rivers and the recognition of sequence stratigraphic boundaries. Nature 1997, 387, 275–277. [Google Scholar] [CrossRef]
- Schuurman, F.; Marra, W.A.; Kleinhans, M.G. Physics-based modeling of large braided sand-bed rivers: Bar pattern formation, dynamics, and sensitivity. J. Geophys. Res. Earth 2013, 118, 2509–2527. [Google Scholar] [CrossRef]
- Schuurman, F.; Kleinhans, M.G. Bar dynamics and bifurcation evolution in a modelled braided sand-bed river. Earth Surf. Proc. Land. 2015, 40, 1318–1333. [Google Scholar] [CrossRef]
- Nicholas, A.P. Modelling the continuum of river channel patterns. Earth Surf. Proc. Land. 2013, 38, 1187–1196. [Google Scholar] [CrossRef]
- Jang, C.L.; Shimizu, Y. Numerical simulations of the behavior of alternate bars with different bank strengths. J. Hydrol. Res. 2005, 43, 596–612. [Google Scholar] [CrossRef]
- Jang, C.L.; Shimizu, Y. Numerical simulation of relatively wide, shallow channels with erodible banks. J. Hydrol. Eng. 2005, 131, 565–575. [Google Scholar] [CrossRef]
- Yang, H.; Lin, B.; Zhou, J. Physics-based numerical modelling of large braided rivers dominated by suspended sediment. Hydrol. Process. 2015, 29, 1925–1941. [Google Scholar] [CrossRef]
- Yang, H. Development of a Physics-based Morphodynamic Model and its Application to Braided Rivers. Ph.D. Thesis, Cardiff University, Cardiff, Wales, 2013. [Google Scholar]
- Lin, B.L.; Falconer, R.A. Hydrological and Environmental Modeling of Transport Processes in Rivers and Estuaries. Encycl. Hydrol. Sci. 2006, 1, 271–284. [Google Scholar]
- van Rijn, L.C. Sediment transport, part II: Suspended load transport. J. Hydrol. Eng. 1984, 110, 1613–1641. [Google Scholar] [CrossRef]
- Preston, R.W. The Representation of Dispersion in Two-Dimensional Shallow Water Flow; Report No. TPRD/U278333/N84; Central Electricity Research Laboratories: Richmond, UK, 1985; 13p. [Google Scholar]
- Lin, B.L.; Falconer, R.A. Tidal flow and transport modeling using ULTIMATE QUICKEST scheme. J. Hydrol. Eng. 1997, 123, 303–314. [Google Scholar] [CrossRef]
- Zhou, J.; Lin, B. Flow and Sediment Modelling; China Hydropower Press: Beijing, China, 2006. [Google Scholar]
- Zhou, J.; Lin, B.; Lin, B. Rational Basis for Suspended Sediment Modeling. Int. J. Sediment Res. 2003, 18, 177–195. [Google Scholar]
- Zhao, Y.; Zhou, W.; Fei, X.; Hu, C.; Shen, G.; Chen, J. Principles of Channel Evolution in the Lower Yellow River; Yellow River Water Conservancy Press: Zhengzhou, China, 1998. [Google Scholar]
- Wu, W. Computational River Dynamics; Taylor & Francis Group: London, UK, 2007; pp. 241–287. [Google Scholar]
- Zhou, J. Numerical simulation of flow and sediment transport. In Advances in Sediment Research; Wang, G., Hu, C., Eds.; China Water Power Press: Beijing, China, 2007; Volume 5, pp. 173–278. [Google Scholar]
- Ashmore, P. Intensity and characteristic length of braided channel patterns. Can. J. Civil Eng. 2009, 36, 1656–1666. [Google Scholar] [CrossRef]
- Roy, N.; Sinha, R. Understanding confluence dynamics in the alluvial Ganga–Ramganga valley, India: An integrated approach using geomorphology and hydrology. Geomorphology 2007, 92, 182–197. [Google Scholar] [CrossRef]
- Mosley, M.P. An experimental study of channel confluences. J. Geol. 1976, 84, 535–562. [Google Scholar] [CrossRef]
- Mosselman, E. Modelling sediment transport and morphodynamics of gravel-bed rivers. In Gravel-Bed Rivers: Processes, Tools, Environments; Church, M., Biron, P.M., Roy, A.G., Eds.; Wiley: Chichester, UK, 2012; pp. 101–115. [Google Scholar]
- Iwasaki, T.; Shimizu, Y.; Kimura, I. Numerical simulation of bar and bank erosion in a vegetated floodplain: A case study in the Otofuke River. Adv. Water Resour. 2016, 93, 118–134. [Google Scholar] [CrossRef]
- Williams, R.; Measures, R.; Hicks, D.; Brasington, J. Assessment of a numerical model to reproduce event-scale erosion and deposition distributions in a braided river. Water Resour. Res. 2016, 52, 6621–6642. [Google Scholar] [CrossRef]
- Schuurman, F.; Ta, W.; Post, S.; Sokolewicz, M.; Busnelli, M.; Kleinhans, M. Response of braiding channel morphodynamics to peak discharge changes in the Upper Yellow River. Earth Surf. Proc. Land. 2018, 43, 1648–1662. [Google Scholar] [CrossRef]
- Harrison, L.R.; Dunne, T.; Fisher, G.B. Hydraulic and geomorphic processes in an overbank flood along a meandering, gravel-bed river: implications for chute formation. Earth Surf. Proc. Land. 2015, 40, 1239–1253. [Google Scholar] [CrossRef]









| No. | Maximum Scour Depth (m) | Water Depth (m) | Maximum Flow Velocity (m/s) | Discharge of Left Branch (m3/s) | Discharge of Right Branch (m3/s) | Discharge Ratio | Angle of Two Branches (°) | Angle to Left Branch (°) |
|---|---|---|---|---|---|---|---|---|
| A | −2.67 | 3.78 | 2.40 | 2133.1 | 652.4 | 3.27 | 34.22 | 8.10 |
| B | −2.24 | 3.37 | 1.96 | 1599.3 | 539.3 | 2.97 | 34.68 | 15.55 |
| C | −2.49 | 3.56 | 2.08 | 1385.0 | 1738.7 | 1.26 | 42.86 | 9.55 |
| D | −1.51 | 2.58 | 1.73 | 1916.1 | 826.7 | 2.32 | 36.17 | 13.59 |
| E | −3.10 | 3.99 | 2.12 | 1096.0 | 948.2 | 1.16 | 49.40 | 14.93 |
| F | −2.46 | 3.42 | 2.10 | 498.3 | 1333.9 | 2.68 | 50.24 | 29.89 |
| G | −2.31 | 3.27 | 2.08 | 1089.3 | 724.2 | 1.50 | 50.87 | 29.71 |
© 2019 by the authors. Licensee MDPI, Basel, Switzerland. This article is an open access article distributed under the terms and conditions of the Creative Commons Attribution (CC BY) license (http://creativecommons.org/licenses/by/4.0/).
Share and Cite
Yang, H.; Cong, P. Confluence Dynamics in a Modelled Large Sand-Bed Braided River. Water 2019, 11, 1829. https://doi.org/10.3390/w11091829
Yang H, Cong P. Confluence Dynamics in a Modelled Large Sand-Bed Braided River. Water. 2019; 11(9):1829. https://doi.org/10.3390/w11091829
Chicago/Turabian StyleYang, Haiyan, and Peitong Cong. 2019. "Confluence Dynamics in a Modelled Large Sand-Bed Braided River" Water 11, no. 9: 1829. https://doi.org/10.3390/w11091829
APA StyleYang, H., & Cong, P. (2019). Confluence Dynamics in a Modelled Large Sand-Bed Braided River. Water, 11(9), 1829. https://doi.org/10.3390/w11091829

