The Scale Effect of Double-Ring Infiltration and Soil Infiltration Zoning in a Semi-Arid Steppe
Abstract
1. Introduction
2. Materials and Methods
2.1. Experimental Sites
2.2. Experimental Design and Data Acquisition
2.3. Infiltration Models and Data Analysis
2.3.1. Infiltration Models
2.3.2. Model Evaluation and Data Analysis
3. Results and Discussion
3.1. Infiltration Process
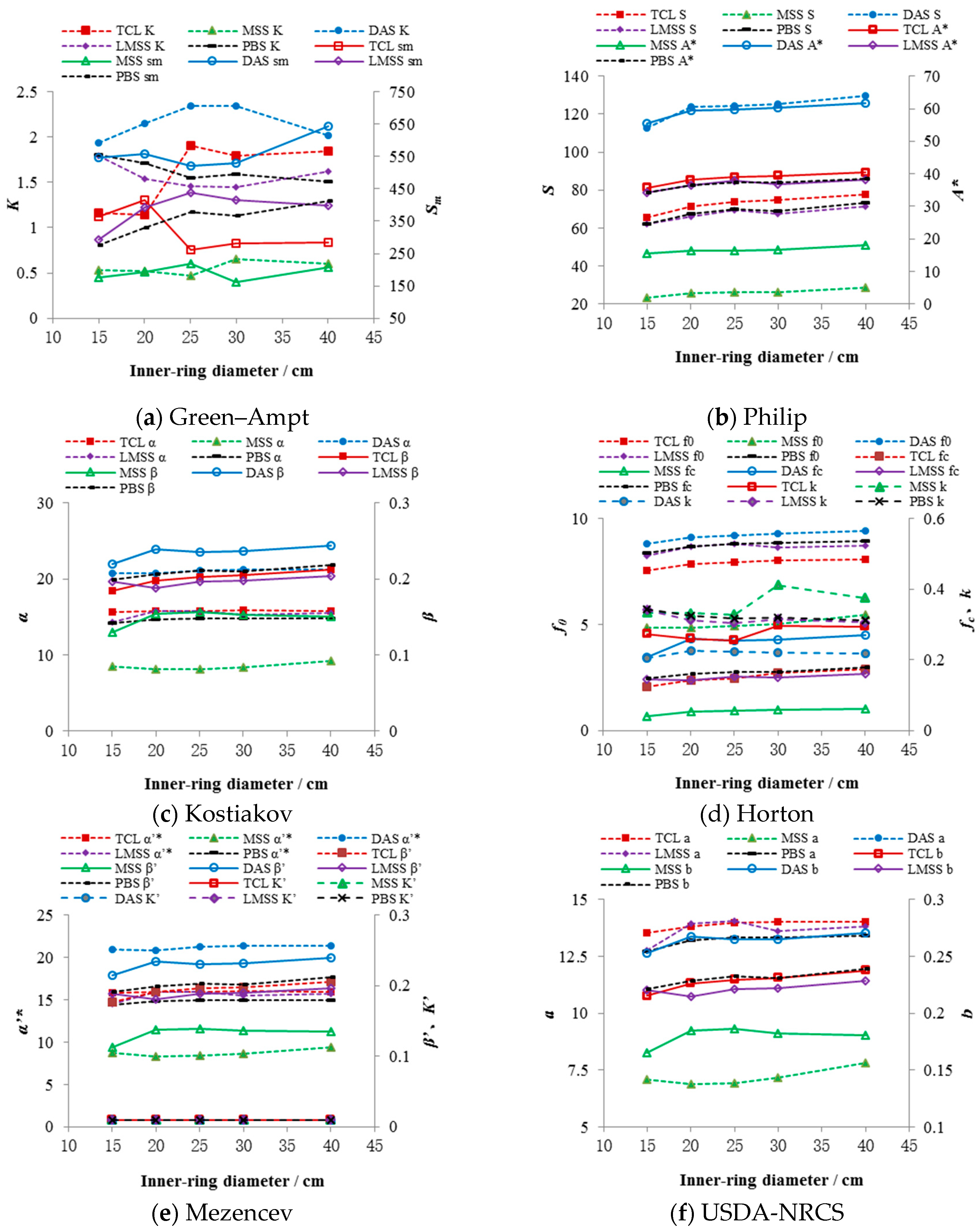
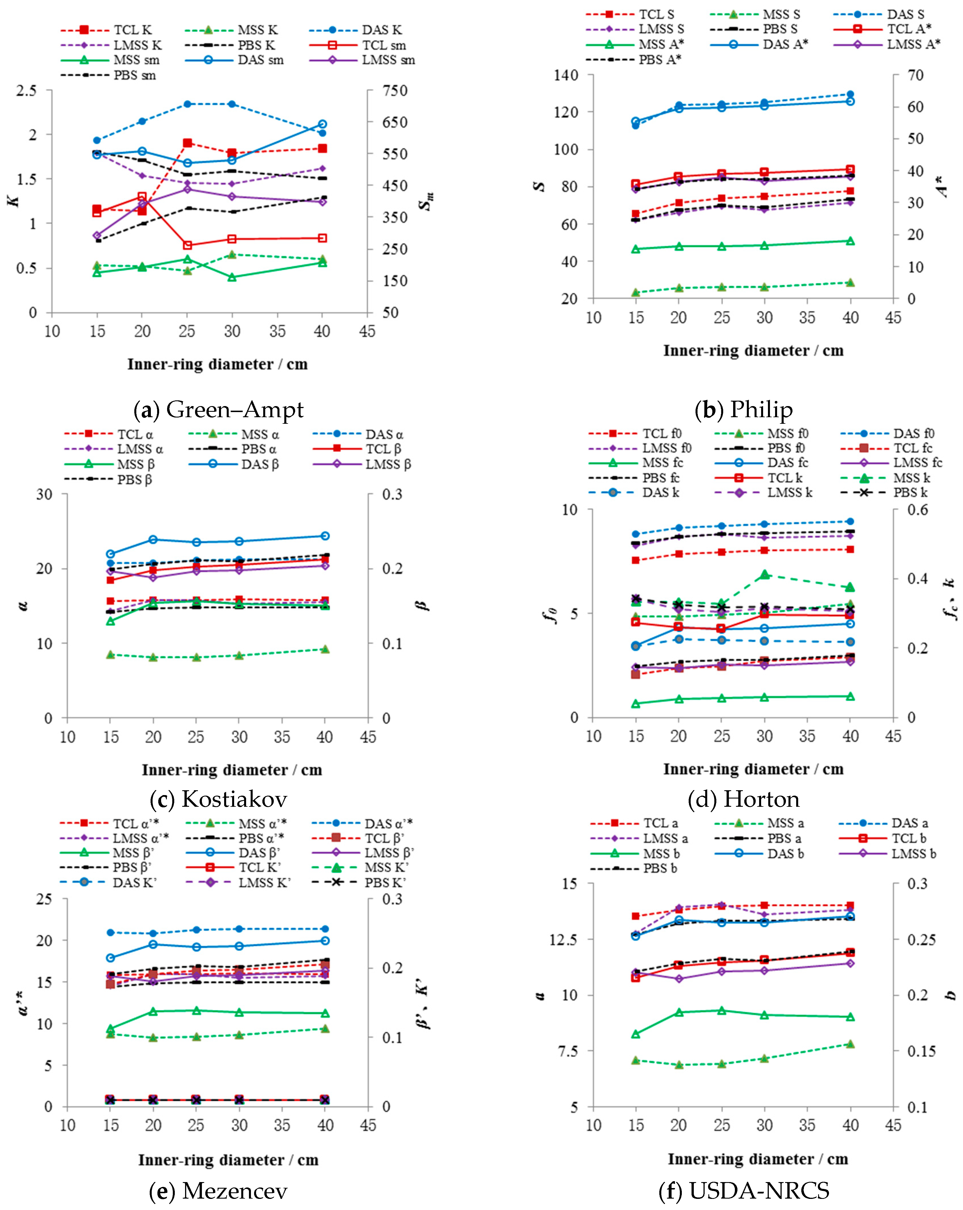
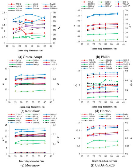
3.2. Model Parameters and Performance
3.3. Difference Analysis of Soil Type and Soil Infiltration Process
3.4. Soil Infiltration Map with Affecting Factors
4. Conclusions
- (1)
- Double-ring infiltration has a scale effect, which decreased with the increase of the inner-ring diameter. The infiltrometer with an inner-ring diameter of 40 cm could not completely overcome the scale effect.
- (2)
- The model performance showed that the Kostiakov, Horton, Kostiakov-Lewis, and USDA-NRCS models were able to fit the infiltration process well in the semi-arid steppe.
- (3)
- PCA analysis showed that the natural sandy meadow land in the study area was mainly affected by two factors: soil physical properties related to soil compactness and pore distribution, and external environmental components related to the kinetic energy potential of the infiltrating liquid.
- (4)
- Rezoning based on infiltration characteristics could simplify the original soil type zoning and provide corresponding guiding suggestions for ecological restoration from the perspective of the soil.
Author Contributions
Funding
Conflicts of Interest
References
- Hannart, A.; Naveau, P. Probabilities of Causation of Climate Changes. J. Clim. 2018, 31, 5507–5524. [Google Scholar] [CrossRef]
- Li, W.; Duan, L.; Luo, Y.; Liu, T.; Scharaw, B. Spatiotemporal Characteristics of Extreme Precipitation Regimes in the Eastern Inland River Basin of Inner Mongolian Plateau, China. Water 2018, 10, 35. [Google Scholar] [CrossRef]
- Adamson, G.C.; Hannaford, M.J.; Rohland, E.J. Re-thinking the present: The role of a historical focus in climate change adaptation research. Glob. Environ. Chang. 2018, 48, 195–205. [Google Scholar] [CrossRef]
- Mukherjee, J.; Karan, S.; Chakrabarty, M.; Banerjee, A.; Rakshit, N.; Ray, S. An approach towards quantification of ecosystem trophic status and health through ecological network analysis applied in Hooghly-Matla estuarine system, India. Ecol. Indic. 2019, 100, 55–68. [Google Scholar] [CrossRef]
- Zhang, A.; Zheng, C.; Wang, S.; Yao, Y. Analysis of streamflow variations in the Heihe River Basin, northwest China: Trends, abrupt changes, driving factors and ecological influences. J. Hydrol. Reg. Stud. 2015, 3, 106–124. [Google Scholar] [CrossRef]
- Wu, J.K.; Ding, Y.J.; Ye, B.S.; Yang, Q.Y.; Hou, D.J.; Xue, L.Y. Stable isotopes in precipitation in Xilin River Basin, northern China and their implications. Chin. Geogr. Sci. 2012, 22, 531–540. [Google Scholar] [CrossRef]
- Han, F.; Zhang, Q.; Buyantuev, A.; Niu, J.M.; Liu, P.T.; Li, X.H.; Kang, S.; Zhang, J.; Chang, C.; Li, Y.P. Effects of climate change on phenology and primary productivity in the desert steppe of Inner Mongolia. J. Arid Land 2015, 7, 251–263. [Google Scholar] [CrossRef]
- Meng, Z.; Dang, X.; Gao, Y.; Ren, X.; Ding, Y.; Wang, M. Interactive effects of wind speed, vegetation coverage and soil moisture in controlling wind erosion in a temperate desert steppe, Inner Mongolia of China. J. Arid. Land 2018, 10, 534–547. [Google Scholar] [CrossRef]
- Pacini, N.; Hesslerová, P.; Pokorný, J.; Mwinami, T.; Morrison, E.H.; Cook, A.A.; Zhang, S.; Harper, D.M. Papyrus as an ecohydrological tool for restoring ecosystem services in Afrotropical wetlands. Ecohydrol. Hydrobiol. 2018, 18, 142–154. [Google Scholar] [CrossRef]
- Abrol, V.; Ben-Hur, M.; Verheijen, F.G.A.; Keizer, J.J.; Martins, M.A.S.; Tenaw, H.; Tchehansky, L.; Graber, E.R.; Keizer, J.J. Biochar effects on soil water infiltration and erosion under seal formation conditions: Rainfall simulation experiment. J. Soils Sediments 2016, 16, 2709–2719. [Google Scholar] [CrossRef]
- Muñoz-Rojas, M.; Erickson, T.E.; Dixon, K.W.; Merritt, D.J. Soil quality indicators to assess functionality of restored soils in degraded semiarid ecosystems. Restor. Ecol. 2016, 24, 43–52. [Google Scholar] [CrossRef]
- Van Der Bij, A.; Weijters, M.; Bobbink, R.; Harris, J.; Pawlett, M.; Ritz, K.; Benetková, P.; Moradi, J.; Frouz, J.; Van Diggelen, R. Facilitating ecosystem assembly: Plant-soil interactions as a restoration tool. Boil. Conserv. 2018, 220, 272–279. [Google Scholar] [CrossRef]
- Ma, Z.L.; Chen, H.Y.H. Effects of species diversity on fine root productivity in diverse ecosystems: A global meta-analysis. Glob. Ecol. Biogeogr. 2016, 25, 1387–1396. [Google Scholar] [CrossRef]
- Berendse, F.; Van Ruijven, J.; Jongejans, E.; Keesstra, S. Loss of Plant Species Diversity Reduces Soil Erosion Resistance. Ecosystem 2015, 18, 881–888. [Google Scholar] [CrossRef]
- Faucon, M.-P.; Houben, D.; Lambers, H. Plant Functional Traits: Soil and Ecosystem Services. Trends Plant Sci. 2017, 22, 385–394. [Google Scholar] [CrossRef] [PubMed]
- Yao, J.Z.; Liu, T.X.; Wang, T.S.; Tong, X. Development and evaluation of pedo-transfer functions of soil water characteristic curves in Horqin sandy land. Trans. Chin. Soc. Agric. Eng. 2014, 30, 98–108. [Google Scholar] [CrossRef]
- Ibrahim, A.; Mukhlisin, M.; Jaafar, O. Effect of rainfall infiltration into unsaturated soil using soil column. AIP Conf. Proc. 2018, 1930, 20–22. [Google Scholar] [CrossRef]
- Chowdary, V.; Rao, M.D.; Jaiswal, C. Study of infiltration process under different experimental conditions. Agric. Water Manag. 2006, 83, 69–78. [Google Scholar] [CrossRef]
- Wu, L.; Pan, L.; Roberson, M.J.; Shouse, P.J. Numerical Evaluation of Ring-Infiltrometers Under Various Soil Conditions. Soil Sci. 1997, 162, 771–777. [Google Scholar] [CrossRef]
- Wuest, S.B. Bias in Ponded Infiltration Estimates Due to Sample Volume and Shape. Vadose Zone J. 2005, 4, 1183–1190. [Google Scholar] [CrossRef]
- Lai, J.; Luo, Y.; Ren, L. Buffer Index Effects on Hydraulic Conductivity Measurements Using Numerical Simulations of Double-Ring Infiltration. Soil Sci. Soc. Am. J. 2010, 74, 1526–1536. [Google Scholar] [CrossRef]
- Tong, C.; Wu, J.; Yong, S.; Yang, J.; Yong, W. A landscape-scale assessment of steppe degradation in the Xilin River Basin, Inner Mongolia, China. J. Arid. Environ. 2004, 59, 133–149. [Google Scholar] [CrossRef]
- Barthold, F.; Wiesmeier, M.; Breuer, L.; Frede, H.-G.; Wu, J.; Blank, F. Land use and climate control the spatial distribution of soil types in the grasslands of Inner Mongolia. J. Arid. Environ. 2013, 88, 194–205. [Google Scholar] [CrossRef]
- Bruland, G.L.; Grunwald, S.; Osborne, T.Z.; Reddy, K.R.; Newman, S. Spatial Distribution of Soil Properties in Water Conservation Area 3 of the Everglades. Soil Sci. Soc. Am. J. 2006, 70, 1662. [Google Scholar] [CrossRef]
- Chen, Q.; Wang, Z.-L.; Zou, C.B.; Fan, Y.; Dittert, K.; Lin, S. Legacy effects of historical grazing affect the response of vegetation dynamics to water and nitrogen addition in semi-arid steppe. Appl. Veg. Sci. 2018, 21, 229–239. [Google Scholar] [CrossRef]
- Liu, X.R.; Dong, Y.S.; Ren, J.Q.; Li, S.G. Drivers of soil net nitrogen mineralization in the temperate grasslands in Inner Mongolia, China. Nutr. Cycl. Agroecosys 2010, 87, 59–69. [Google Scholar] [CrossRef]
- US Department of Agriculture, Natural Resources and Conservation Service. National Engineering Handbook; Section 15, Border Irrigation; National Technical Information Service: Washington, DC, USA, 1974.
- Green, W.H.; Ampt, G. Studies in soil physics: I. The flow of air and water through soils. J. Agric. Sci. 1911, 4, 1–24. [Google Scholar] [CrossRef]
- Philip, J.R. The theory of infiltration: The infiltration equation and its solution. Soil Sci. 1957, 83, 345–358. [Google Scholar] [CrossRef]
- Kostiakov, A.N. On the dynamics of the coefficient of water percolation in soils and on the necessity of studying it from a dynamic point of view for purpose of amelioration. Transactions of 6th Congress of International Soil Science Society. Trans. Sixth Comm. Int. Soc. Soil Sci. 1932, 1, 17–21. [Google Scholar]
- Horton, R.E. The Rôle of infiltration in the hydrologic cycle. Trans. Am. Geophys. Union 1933, 14, 446. [Google Scholar] [CrossRef]
- Mezencev, V.J. Theory of formation of the surface runoff. Meteorol. I Gidrol. 1948, 3, 33–46. [Google Scholar]
- Wang, T.; Stewart, C.E.; Ma, J.; Zheng, J.; Zhang, X. Applicability of five models to simulate water infiltration into soil with added biochar. J. Arid. Land 2017, 9, 701–711. [Google Scholar] [CrossRef]
- Nash, J.E.; Sutcliffe, J.E. River flow forecasting through conceptual models. Part 1 - A discussion of principles. J. Hydrol. 1970, 10, 282–290. [Google Scholar] [CrossRef]
- Risse, L.M.; Nearing, M.A.; Savabi, M.R. Determining the Green-Ampt Effective Hydraulic Conductivity from Rainfall-runoff Data for the WEPP Model. Trans. ASAE 1994, 37, 411–418. [Google Scholar] [CrossRef]
- Liu, X.P.; He, Y.H.; Zhao, X.Y.; Zhang, T.H.; Zhang, L.M.; Ma, Y.H.; Yao, S.X.; Wang, S.K.; Wei, S.L. Characteristics of deep drainage and soil water in the mobile sandy lands of Inner Mongolia, northern China. J. Arid Land 2015, 7, 238–250. [Google Scholar] [CrossRef]
- Parchami-Araghi, F.; Mirlatifi, S.M.; Dashtaki, S.G.; Mahdian, M.H. Point estimation of soil water infiltration process using Artificial Neural Networks for some calcareous soils. J. Hydrol. 2013, 481, 35–47. [Google Scholar] [CrossRef]
- Dikbas, F.; Firat, M.; Koc, A.C.; Gungor, M. Defining Homogeneous Regions for Streamflow Processes in Turkey Using a K-Means Clustering Method. Arab. J. Sci. Eng. 2013, 38, 1313–1319. [Google Scholar] [CrossRef]
- Shukla, M.K.; Lal, R.; Unkefer, P. Experimental Evaluation of Infiltration Models for Different Land Use and Soil Management Systems. Soil Sci. 2003, 168, 178–191. [Google Scholar] [CrossRef]
- Touma, J. Comparison of the soil hydraulic conductivity predicted from its water retention expressed by the equation of Van Genuchten and different capillary models. Eur. J. Soil Sci. 2009, 60, 671–680. [Google Scholar] [CrossRef]
- Razzaghi, S.; Khodaverdiloo, H.; Dashtaki, S.G. Effects of long-term wastewater irrigation on soil physical properties and performance of selected infiltration models in a semi-arid region. Hydrol. Sci. J. 2016, 61, 1778–1790. [Google Scholar] [CrossRef]
- Babaei, F.; Zolfaghari, A.A.; Yazdani, M.R.; Sadeghipour, A. Spatial analysis of infiltration in agricultural lands in arid areas of Iran. Catena 2018, 170, 25–35. [Google Scholar] [CrossRef]
- Clemmens, A.J.; Bautista, E. Toward Physically Based Estimation of Surface Irrigation Infiltration. J. Irrig. Drain. Eng. 2009, 135, 588–596. [Google Scholar] [CrossRef]
- Dashtaki, S.G.; Homaee, M.; Mahdian, M.H.; Kouchakzadeh, M. Site-Dependence Performance of Infiltration Models. Water Resour. Manag. 2009, 23, 2777–2790. [Google Scholar] [CrossRef]
- Wang, P.; Zheng, H.; Ren, Z.; Zhang, D.; Zhai, C.; Mao, Z.; Tang, Z.; He, X. Effects of Urbanization, Soil Property and Vegetation Configuration on Soil Infiltration of Urban Forest in Changchun, Northeast China. Chin. Geogr. Sci. 2018, 28, 482–494. [Google Scholar] [CrossRef]
- Bi, Y.; Zou, H.; Zhu, C. Dynamic monitoring of soil bulk density and infiltration rate during coal mining in sandy land with different vegetation. Int. J. Coal Sci. Technol. 2014, 1, 198–206. [Google Scholar] [CrossRef]
- Liu, Z.; Ma, D.; Hu, W.; Li, X. Land use dependent variation of soil water infiltration characteristics and their scale-specific controls. Soil Tillage Res. 2018, 178, 139–149. [Google Scholar] [CrossRef]
- Jaafar, R.; Likos, W.J. Pore-Scale Model for Estimating Saturated and Unsaturated Hydraulic Conductivity from Grain Size Distribution. J. Geotech. Geoenviron. Eng. 2014, 140, 4013012. [Google Scholar] [CrossRef]
- Laub, M.; Blagodatsky, S.; Lang, R.; Yang, X.; Cadisch, G. A mixed model for landscape soil organic carbon prediction across continuous profile depth in the mountainous subtropics. Geoderma 2018, 330, 177–192. [Google Scholar] [CrossRef]










| Soil Type | Sand (%) | Silt (%) | APS (μm) | BD (g cm−3) | OMC (g kg−1) | IMC (%) | UB (kg m−3) |
|---|---|---|---|---|---|---|---|
| TCL | 84.013 | 14.601 | 85.291 | 1.621 | 1.923 | 5.148 | 1.229 |
| MSS | 85.573 | 12.946 | 86.871 | 1.572 | 2.989 | 26.600 | 3.468 |
| DAS | 92.384 | 7.226 | 93.765 | 1.466 | 0.577 | 8.754 | 1.459 |
| LMSS | 77.310 | 20.909 | 78.511 | 1.607 | 2.318 | 17.542 | 1.975 |
| PBS | 82.356 | 16.568 | 83.615 | 1.556 | 1.708 | 4.218 | 1.766 |
| Model Type | Model Name | Equation | Parameters |
|---|---|---|---|
| Theoretical models | Green–Ampt (1911) [28] | K is the saturated hydraulic conductivity of the transmission zone (cm/min), Ha is the thickness of surface water (cm), sm is the average potential suction of the wetting front (cm), and z is forward distance of the wetting front (cm). | |
| Philip (1954) [29] | S is the sorptivity (cm·min−0.5) and A is the transmissivity factor (cm/min). | ||
| Empirical models | Kostiakov (1932) [30] | α > 0 and 0 < β < 1 are dimensionless empirical constants. | |
| Horton (1940) [31] | f0 and fc are the presumed initial and final infiltration rates; k is a constant that determines the rate at which f0 approaches fc. | ||
| Mezencev (1948) [32] | K′ > 0, α′ > 0, and 0 < β′ < 1 are dimensionless empirical constants. | ||
| USDA-NRCS (2003) [27] | a and b are dimensionless empirical constants. |
| Evaluation Index | Diameter (cm) | Green–Ampt | Philip | Kostiakov | Horton | Mezencev | USDA-NRCS |
|---|---|---|---|---|---|---|---|
| Adj-R2 | 15 | 0.894 * | 0.840 * | 0.894 * | 0.974 ** | 0.884 ** | 0.891 ** |
| 20 | 0.907 ** | 0.852 * | 0.907 ** | 0.975 ** | 0.899 ** | 0.904 ** | |
| 25 | 0.909 ** | 0.852 * | 0.909 ** | 0.975 ** | 0.903 ** | 0.907 ** | |
| 30 | 0.910 ** | 0.865 * | 0.910 ** | 0.976 ** | 0.902 ** | 0.907 ** | |
| 40 | 0.913 ** | 0.866 * | 0.913 ** | 0.976 ** | 0.907 ** | 0.911 ** | |
| NSE | 15 | −2.110 | 0.945 | 0.979 | 0.960 | 0.973 | 0.955 |
| 20 | −1.514 | 0.948 | 0.981 | 0.963 | 0.977 | 0.963 | |
| 25 | −1.455 | 0.950 | 0.981 | 0.964 | 0.978 | 0.965 | |
| 30 | −1.365 | 0.951 | 0.982 | 0.965 | 0.976 | 0.963 | |
| 40 | −1.248 | 0.960 | 0.982 | 0.966 | 0.979 | 0.967 | |
| Reduced Chi-Square | 15 | 1.031 | 0.034 | 0.004 | 0.004 | 0.004 | 0.005 |
| 20 | 1.027 | 0.030 | 0.004 | 0.003 | 0.004 | 0.005 | |
| 25 | 1.026 | 0.028 | 0.004 | 0.003 | 0.004 | 0.005 | |
| 30 | 1.027 | 0.028 | 0.004 | 0.003 | 0.004 | 0.005 | |
| 40 | 1.025 | 0.024 | 0.004 | 0.002 | 0.004 | 0.005 | |
| RMSE | 15 | 1.190 | 0.173 | 0.064 | 0.052 | 0.066 | 0.073 |
| 20 | 1.178 | 0.161 | 0.065 | 0.051 | 0.066 | 0.072 | |
| 25 | 1.174 | 0.160 | 0.064 | 0.051 | 0.066 | 0.072 | |
| 30 | 1.175 | 0.153 | 0.064 | 0.049 | 0.066 | 0.072 | |
| 40 | 1.171 | 0.148 | 0.064 | 0.048 | 0.066 | 0.071 |
© 2019 by the authors. Licensee MDPI, Basel, Switzerland. This article is an open access article distributed under the terms and conditions of the Creative Commons Attribution (CC BY) license (http://creativecommons.org/licenses/by/4.0/).
Share and Cite
Li, M.; Liu, T.; Duan, L.; Luo, Y.; Ma, L.; Zhang, J.; Zhou, Y.; Chen, Z. The Scale Effect of Double-Ring Infiltration and Soil Infiltration Zoning in a Semi-Arid Steppe. Water 2019, 11, 1457. https://doi.org/10.3390/w11071457
Li M, Liu T, Duan L, Luo Y, Ma L, Zhang J, Zhou Y, Chen Z. The Scale Effect of Double-Ring Infiltration and Soil Infiltration Zoning in a Semi-Arid Steppe. Water. 2019; 11(7):1457. https://doi.org/10.3390/w11071457
Chicago/Turabian StyleLi, Mingyang, Tingxi Liu, Limin Duan, Yanyun Luo, Long Ma, Junyi Zhang, Yajun Zhou, and Zexun Chen. 2019. "The Scale Effect of Double-Ring Infiltration and Soil Infiltration Zoning in a Semi-Arid Steppe" Water 11, no. 7: 1457. https://doi.org/10.3390/w11071457
APA StyleLi, M., Liu, T., Duan, L., Luo, Y., Ma, L., Zhang, J., Zhou, Y., & Chen, Z. (2019). The Scale Effect of Double-Ring Infiltration and Soil Infiltration Zoning in a Semi-Arid Steppe. Water, 11(7), 1457. https://doi.org/10.3390/w11071457

