Impacts of Climate Change and Land-Use Change on Hydrological Extremes in the Jinsha River Basin
Abstract
:1. Introduction
2. Study Area and Materials
2.1. Study Area
2.2. Materials
3. Methodology
3.1. Hydrological Modeling
3.2. Trend Detection of Hydro-Meteorological Series
3.3. Indicators of Hydrologic Alteration
3.4. Separating the Impacts of Climate Change and Land-Use Change
3.5. Downscaled CMIP5 (Coupled Model Inter-Comparison Project Phase 5) Simulations
4. Results and Discussion
4.1. Trend Analysis of Historical Data
4.1.1. Hydro-Meteorological Data
4.1.2. Land-Use Data
4.2. Evaluation of Runoff Simulation Effects
4.2.1. Simulation Effects of Soil and Water Assessment Tool (SWAT) Model
4.2.2. Performance of General Circulation Model (GCM) Data in Runoff Simulation
4.3. Quantitative Assessment of the Impacts of Climate Change and Land-Use Change on Runoff Extremes
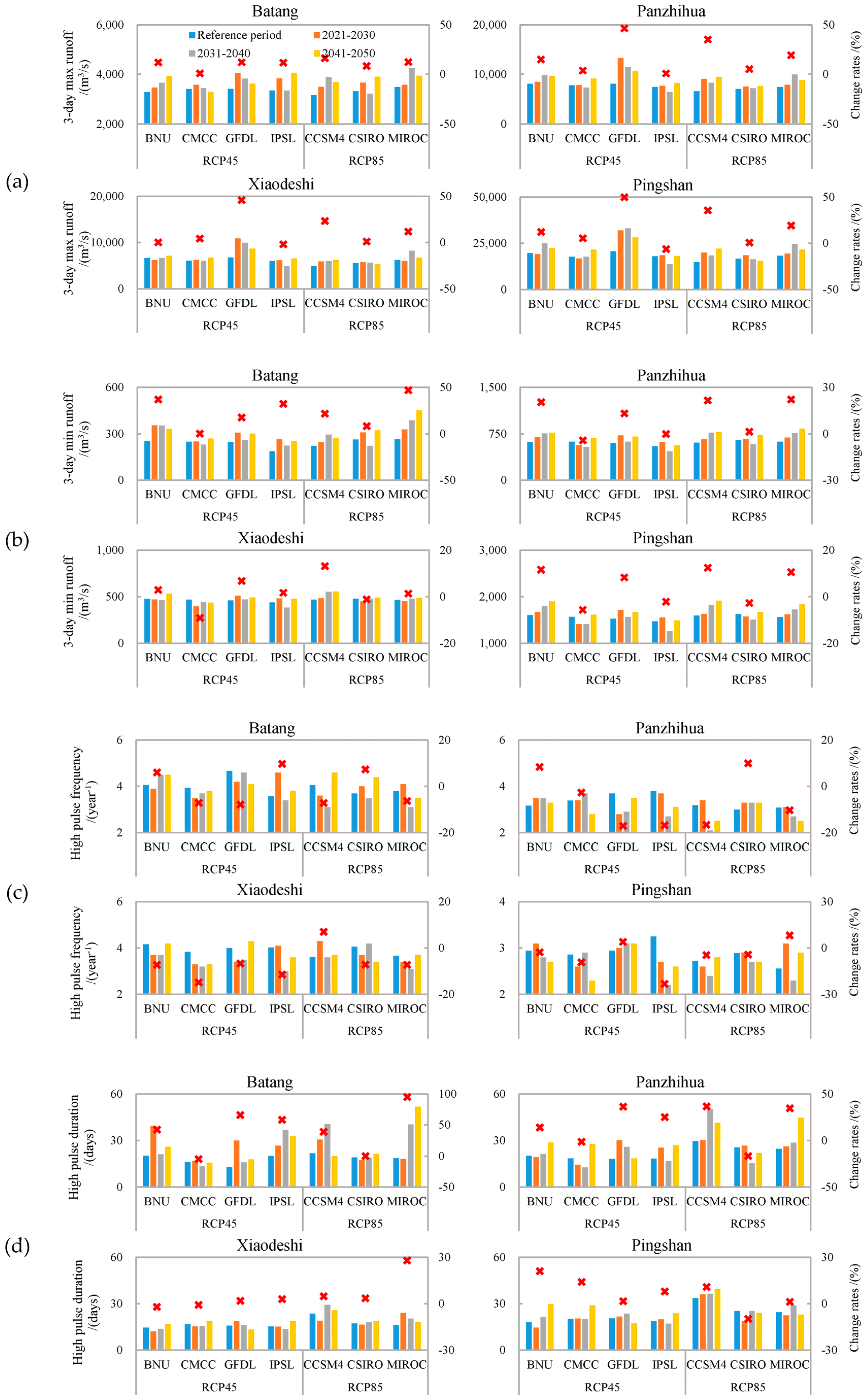
4.4. The Evolution of Hydrological Extremes from a Future Perspective
5. Conclusions
- During the period of 1960–2017, generally insignificant rising trends in the intensity and frequency of extreme precipitation, statistically significant increasing trends in temperature, and the respectively insignificant rising and declining trends in the indicators of flood days (DH) and dry days (DK), have been identified in the Jinsha River Basin using the Mann–Kendall and CSD trend test methods. The above results reflect a fact that the risk of floods has generally increased, while the risk of droughts has declined in this period. As for the land-use data, the areas of building land and water body in the basin have changed greatly during 1980–2015. However, they occupy a very small proportion of the whole basin area.
- The good performance of SWAT model is confirmed with the multi-stations averaged NS values achieving 0.85 and PBIAS within 10% both in the calibration and verification period. Regarding the runoff extremes, the SWAT model has a better simulation effect on high flows compared with low flows.
- Seven typical GCMs are selected and the performance of GCM data in runoff simulations is evaluated by comparing SWAT simulations using historical downscaled GCM data with the SWAT simulations using climate observations in 1970–2005. Results show that the downscaled GCM data can well simulate the mean values of runoff, and acceptable simulation effects are achieved for the other extreme runoff indicators except for the frequency and duration of floods and extreme low flows.
- In this research, four extreme runoff indicators (3-day max and min runoff, high pulse frequency and duration) at four hydrological stations (Batang, Panzhihua, Xiaodeshi and Pingshan) are adopted to analyze the hydrological extremes in the Jinsha River Basin. The attribution analysis leads to the conclusion that the land-use change exerts little impact on runoff extremes during 1970–2017, possibly due to the relatively small extent of changes in land use. In contrast, the climate change is one of the dominant factors contributing to changes in hydrological extremes.
- By integrating the downscaled GCM data with the SWAT model, the trends and variations of hydrological extremes during 2021–2050 are predicted, with 1970–2005 used as reference period. Results indicate that both the indicators of 3-day max and 3-day min runoff will probably increase, and the high pulse events will occur less frequently but last longer in the near future.
Author Contributions
Funding
Acknowledgments
Conflicts of Interest
References
- Zhang, M.; Liu, N.; Harper, R.; Li, Q.; Liu, K.; Wei, X.; Ning, D.; Hou, Y.; Liu, S. A global review on hydrological responses to forest change across multiple spatial scales: Importance of scale, climate, forest type and hydrological regime. J. Hydrol. 2017, 546, 44–59. [Google Scholar] [CrossRef]
- Gao, G.; Fu, B.; Wang, S.; Liang, W.; Jiang, X. Determining the hydrological responses to climate variability and land use/cover change in the Loess Plateau with the Budyko framework. Sci. Total Environ. 2016, 557, 331–342. [Google Scholar] [CrossRef] [PubMed]
- Jarsjö, J.; Asokan, S.M.; Prieto, C.; Bring, A.; Destouni, G. Hydrological responses to climate change conditioned by historic alterations of land-use and water-use. Hydrol. Earth Syst. Sci. 2012, 16, 1335–1347. [Google Scholar] [CrossRef] [Green Version]
- Li, Z.; Liu, W.-Z.; Zhang, X.-C.; Zheng, F.-L. Impacts of land use change and climate variability on hydrology in an agricultural catchment on the Loess Plateau of China. J. Hydrol. 2009, 377, 35–42. [Google Scholar] [CrossRef]
- Liu, Z.; Yao, Z.; Huang, H.; Wu, S.; Liu, G. Land use and climate changes and their impacts on runoff in the Yarlung Zangbo river basin, China. Land Degrad. Dev. 2014, 25, 203–215. [Google Scholar] [CrossRef]
- Pan, S.; Liu, D.; Wang, Z.; Zhao, Q.; Zou, H.; Hou, Y.; Liu, P.; Xiong, L. Runoff responses to climate and land use/cover changes under future scenarios. Water 2017, 9, 475. [Google Scholar] [CrossRef]
- Yin, J.; He, F.; Xiong, Y.J.; Qiu, G.Y. Effects of land use/land cover and climate changes on surface runoff in a semi-humid and semi-arid transition zone in northwest China. Hydrol. Earth Syst. Sci. 2017, 21, 183–196. [Google Scholar] [CrossRef] [Green Version]
- Burn, D.H.; Sharif, M.; Zhang, K. Detection of trends in hydrological extremes for Canadian watersheds. Hydrol. Process. 2010, 24, 1781–1790. [Google Scholar] [CrossRef]
- Taye, M.T.; Ntegeka, V.; Ogiramoi, N.; Willems, P. Assessment of climate change impact on hydrological extremes in two source regions of the Nile River Basin. Hydrol. Earth Syst. Sci. 2011, 15, 209–222. [Google Scholar] [CrossRef] [Green Version]
- Hoang, L.P.; Lauri, H.; Kummu, M.; Koponen, J.; van Vliet, M.; Supit, I.; Leemans, R.; Kabat, P.; Ludwig, F. Mekong River flow and hydrological extremes under climate change. Hydrol. Earth Syst. Sci. 2016, 20, 3027–3041. [Google Scholar] [CrossRef] [Green Version]
- Wu, P.; Christidis, N.; Stott, P. Anthropogenic impact on Earth’s hydrological cycle. Nat. Clim. Chang. 2013, 3, 807. [Google Scholar] [CrossRef]
- Allen, M.R.; Ingram, W.J. Constraints on future changes in climate and the hydrologic cycle. Nature 2002, 419, 224. [Google Scholar] [CrossRef] [PubMed]
- Donat, M.G.; Lowry, A.L.; Alexander, L.V.; O’Gorman, P.A.; Maher, N. More extreme precipitation in the world’s dry and wet regions. Nat. Clim. Chang. 2016, 6, 508. [Google Scholar] [CrossRef]
- Trenberth, K.E. Changes in precipitation with climate change. Clim. Res. 2011, 47, 123–138. [Google Scholar] [CrossRef] [Green Version]
- Alexander, L.; Zhang, X.; Peterson, T.; Caesar, J.; Gleason, B.; Klein Tank, A.; Haylock, M.; Collins, D.; Trewin, B.; Rahimzadeh, F. Global observed changes in daily climate extremes of temperature and precipitation. J. Geophys. Res. Atmos. 2006, 111. [Google Scholar] [CrossRef] [Green Version]
- Westra, S.; Alexander, L.V.; Zwiers, F.W. Global increasing trends in annual maximum daily precipitation. J. Clim. 2013, 26, 3904–3918. [Google Scholar] [CrossRef]
- Min, S.-K.; Zhang, X.; Zwiers, F.W.; Hegerl, G.C. Human contribution to more-intense precipitation extremes. Nature 2011, 470, 378. [Google Scholar] [CrossRef] [PubMed]
- Kharin, V.V.; Zwiers, F.; Zhang, X.; Wehner, M. Changes in temperature and precipitation extremes in the CMIP5 ensemble. Clim. Chang. 2013, 119, 345–357. [Google Scholar] [CrossRef]
- Sillmann, J.; Kharin, V.; Zwiers, F.; Zhang, X.; Bronaugh, D. Climate extremes indices in the CMIP5 multimodel ensemble: Part 2. Future climate projections. J. Geophys. Res. Atmos. 2013, 118, 2473–2493. [Google Scholar] [CrossRef]
- Field, C.B.; Barros, V.; Stocker, T.; Qin, D.; Dokken, D.; Ebi, K.; Mastrandrea, M.; Mach, K.; Plattner, G.; Allen, S. IPCC, 2012: Managing the Risks of Extreme Events and Disasters to Advance Climate Change Adaptation. A Special Report of Working Groups I and II of the Intergovernmental Panel on Climate Change; Cambridge University Press: Cambridge, UK; New York, NY, USA, 2012; Volume 30, pp. 7575–7613. [Google Scholar]
- Madsen, H.; Lawrence, D.; Lang, M.; Martinkova, M.; Kjeldsen, T. Review of trend analysis and climate change projections of extreme precipitation and floods in Europe. J. Hydrol. 2014, 519, 3634–3650. [Google Scholar] [CrossRef] [Green Version]
- Welde, K.; Gebremariam, B. Effect of land use land cover dynamics on hydrological response of watershed: Case study of Tekeze Dam watershed, northern Ethiopia. Int. Soil Water Conserv. Res. 2017, 5, 1–16. [Google Scholar] [CrossRef]
- Wang, H.; Sun, F.; Xia, J.; Liu, W. Impact of LUCC on streamflow based on the SWAT model over the Wei River basin on the Loess Plateau in China. Hydrol. Earth Syst. Sci. 2017, 21, 1929. [Google Scholar] [CrossRef]
- Lin, B.; Chen, X.; Yao, H.; Chen, Y.; Liu, M.; Gao, L.; James, A. Analyses of landuse change impacts on catchment runoff using different time indicators based on SWAT model. Ecol. Indic. 2015, 58, 55–63. [Google Scholar] [CrossRef]
- Nie, W.; Yuan, Y.; Kepner, W.; Nash, M.S.; Jackson, M.; Erickson, C. Assessing impacts of Landuse and Landcover changes on hydrology for the upper San Pedro watershed. J. Hydrol. 2011, 407, 105–114. [Google Scholar] [CrossRef]
- Sanyal, J.; Densmore, A.L.; Carbonneau, P. Analysing the effect of land-use/cover changes at sub-catchment levels on downstream flood peaks: A semi-distributed modelling approach with sparse data. Catena 2014, 118, 28–40. [Google Scholar] [CrossRef] [Green Version]
- Wan, R.; Yang, G. Influence of land use/cover change on storm runoff—A case study of Xitiaoxi River Basin in upstream of Taihu Lake Watershed. Chin. Geogr. Sci. 2007, 17, 349–356. (in Chinese). [Google Scholar] [CrossRef]
- O’Donnell, G.; Ewen, J.; O’Connell, P. Sensitivity maps for impacts of land management on an extreme flood in the Hodder catchment, UK. Phys. Chem. Earth Parts A/B/C 2011, 36, 630–637. [Google Scholar] [CrossRef]
- Chen, Y.; Xu, Y.; Yin, Y. Impacts of land use change scenarios on storm-runoff generation in Xitiaoxi basin, China. Quat. Int. 2009, 208, 121–128. [Google Scholar] [CrossRef]
- Ali, M.; Khan, S.J.; Aslam, I.; Khan, Z. Simulation of the impacts of land-use change on surface runoff of Lai Nullah Basin in Islamabad, Pakistan. Landsc. Urban Plan. 2011, 102, 271–279. [Google Scholar] [CrossRef]
- El-Khoury, A.; Seidou, O.; Lapen, D.; Que, Z.; Mohammadian, M.; Sunohara, M.; Bahram, D. Combined impacts of future climate and land use changes on discharge, nitrogen and phosphorus loads for a Canadian river basin. J. Environ. Manag. 2015, 151, 76–86. [Google Scholar] [CrossRef] [Green Version]
- Zhang, L.; Karthikeyan, R.; Bai, Z.; Srinivasan, R. Analysis of streamflow responses to climate variability and land use change in the Loess Plateau region of China. Catena 2017, 154, 1–11. [Google Scholar] [CrossRef]
- Tan, M.L.; Ibrahim, A.L.; Yusop, Z.; Duan, Z.; Ling, L. Impacts of land-use and climate variability on hydrological components in the Johor River basin, Malaysia. Hydrol. Sci. J. 2015, 60, 873–889. [Google Scholar] [CrossRef]
- Zhang, X.; Zhang, L.; Zhao, J.; Rustomji, P.; Hairsine, P. Responses of streamflow to changes in climate and land use/cover in the Loess Plateau, China. Water Resour. Res. 2008, 44. [Google Scholar] [CrossRef]
- Leng, G.; Tang, Q.; Rayburg, S. Climate change impacts on meteorological, agricultural and hydrological droughts in China. Glob. Planet. Chang. 2015, 126, 23–34. [Google Scholar] [CrossRef]
- Apurv, T.; Mehrotra, R.; Sharma, A.; Goyal, M.K.; Dutta, S. Impact of climate change on floods in the Brahmaputra basin using CMIP5 decadal predictions. J. Hydrol. 2015, 527, 281–291. [Google Scholar] [CrossRef]
- Wu, C.; Huang, G.; Yu, H. Prediction of extreme floods based on CMIP5 climate models: A case study in the Beijiang River basin, South China. Hydrol. Earth Syst. Sci. 2015, 19, 1385–1399. [Google Scholar] [CrossRef]
- Romanowicz, R.J.; Bogdanowicz, E.; Debele, S.E.; Doroszkiewicz, J.; Hisdal, H.; Lawrence, D.; Meresa, H.K.; Napiórkowski, J.J.; Osuch, M.; Strupczewski, W.G. Climate change impact on hydrological extremes: Preliminary results from the Polish-Norwegian Project. Acta Geophys. 2016, 64, 477–509. [Google Scholar] [CrossRef]
- Jia, H.J.; Wan, R.R. Simulating the impacts of land use/cover change on storm-runoff for a mesoscale watershed in east China. Adv. Mater. Res. 2011, 347–353, 3856–3862. [Google Scholar] [CrossRef]
- Miller, J.D.; Hess, T. Urbanisation impacts on storm runoff along a rural-urban gradient. J. Hydrol. 2017, 552, 474–489. [Google Scholar] [CrossRef]
- Schilling, K.E.; Gassman, P.W.; Kling, C.L.; Campbell, T.; Jha, M.K.; Wolter, C.F.; Arnold, J.G. The potential for agricultural land use change to reduce flood risk in a large watershed. Hydrol. Process. 2014, 28, 3314–3325. [Google Scholar] [CrossRef]
- Jothityangkoon, C.; Hirunteeyakul, C.; Boonrawd, K.; Sivapalan, M. Assessing the impact of climate and land use changes on extreme floods in a large tropical catchment. J. Hydrol. 2013, 490, 88–105. [Google Scholar] [CrossRef]
- Graham, W.J. Should dams be modified for the probable maximum flood? J. Am. Water Resour. Assoc. 2000, 36, 953–963. [Google Scholar] [CrossRef]
- Najafi, M.R.; Moradkhani, H. Multi-model ensemble analysis of runoff extremes for climate change impact assessments. J. Hydrol. 2015, 525, 352–361. [Google Scholar] [CrossRef] [Green Version]
- Chiew, F.; Teng, J.; Vaze, J.; Post, D.; Perraud, J.; Kirono, D.; Viney, N. Estimating climate change impact on runoff across southeast Australia: Method, results, and implications of the modeling method. Water Resour. Res. 2009, 45. [Google Scholar] [CrossRef]
- Najafi, M.; Moradkhani, H. A hierarchical Bayesian approach for the analysis of climate change impact on runoff extremes. Hydrol. Process. 2014, 28, 6292–6308. [Google Scholar] [CrossRef]
- Liu, X.; Peng, D.; Xu, Z. Identification of the Impacts of Climate Changes and Human Activities on Runoff in the Jinsha River Basin, China. Adv. Meteorol. 2017, 2017, 9. [Google Scholar] [CrossRef]
- Abbaspour, K.C.; Yang, J.; Maximov, I.; Siber, R.; Bogner, K.; Mieleitner, J.; Zobrist, J.; Srinivasan, R. Modelling hydrology and water quality in the pre-alpine/alpine Thur watershed using SWAT. J. Hydrol. 2007, 333, 413–430. [Google Scholar] [CrossRef]
- Meng, X.; Wang, H.; Lei, X.; Cai, S.; Wu, H.; Ji, X.; Wang, J. Hydrological modeling in the Manas River Basin using soil and water assessment tool driven by CMADS. Teh. Vjesn. 2017, 24, 525–534. [Google Scholar]
- Martínez-Casasnovas, J.A.; Ramos, M.C.; Benites, G. Soil and Water Assessment Tool Soil Loss Simulation at the Sub-Basin Scale in the Alt Penedès–Anoia Vineyard Region (Ne Spain) in the 2000s. Land Degrad. Dev. 2016, 27, 160–170. [Google Scholar] [CrossRef]
- Teshager, A.D.; Gassman, P.W.; Secchi, S.; Schoof, J.T.; Misgna, G. Modeling agricultural watersheds with the soil and water assessment tool (swat): Calibration and validation with a novel procedure for spatially explicit hrus. Environ. Manag. 2016, 57, 894–911. [Google Scholar] [CrossRef]
- Gassman, P.W.; Reyes, M.R.; Green, C.H.; Arnold, J.G. The soil and water assessment tool: Historical development, applications, and future research directions. Trans. ASABE 2007, 50, 1211–1250. [Google Scholar] [CrossRef]
- Neitsch, S.L.; Arnold, J.G.; Kiniry, J.R.; Williams, J.R. Soil and Water Assessment Tool Theoretical Documentation Version 2009; Texas Water Resources Institute: College Station, TX, USA, 2011. [Google Scholar]
- Penman, H.L. Natural evaporation from open water, bare soil and grass. Proc. R. Soc. Lond. Ser. A Math. Phys. Sci. 1948, 193, 120–145. [Google Scholar] [Green Version]
- Monteith, J.L. Evaporation and environment, in the state and movement of water in living organisms. Symp. Soc. Exp. Biol. 1965, 19, 205–234. [Google Scholar] [PubMed]
- USDA-SCS. National Engineering Hanbook, Section 4–Hydrology; US Government Printing Office: Washington, DC, USA, 1972.
- Chow, V.T. Handbook of Applied Hydrology; McGraw-Hill Book Company: New York, NY, USA, 1964. [Google Scholar]
- Mann, H.B. Nonparametric Tests Against Trend; The Econometric Society: Cleveland, OH, USA, 1945; pp. 245–259. [Google Scholar]
- Kendall, M.G. Rank Correlation Methods, 4th ed.; Charles Griffin: London, UK, 1975. [Google Scholar]
- Hirsch, R.M.; Slack, J.R. A nonparametric trend test for seasonal data with serial dependence. Water Resour. Res. 1984, 20, 727–732. [Google Scholar] [CrossRef]
- Onyutha, C. Identification of sub-trends from hydro-meteorological series. Stoch. Environ. Res. Risk Assess. 2016, 30, 189–205. [Google Scholar] [CrossRef]
- Onyutha, C. On rigorous drought assessment using daily time scale: Non-stationary frequency analyses, revisited concepts, and a new method to yield non-parametric indices. Hydrology 2017, 4, 48. [Google Scholar] [CrossRef]
- Onyutha, C. Statistical uncertainty in hydrometeorological trend analyses. Adv. Meteorol. 2016, 2016, 26. [Google Scholar] [CrossRef]
- Onyutha, C. Statistical analyses of potential evapotranspiration changes over the period 1930–2012 in the Nile River riparian countries. Agric. For. Meteorol. 2016, 226, 80–95. [Google Scholar] [CrossRef]
- Richter, B.; Thomas, G. Restoring environmental flows by modifying dam operations. Ecol. Soc. 2007, 12, 12. [Google Scholar] [CrossRef]
- Richter, B.D.; Mathews, R.; Harrison, D.L.; Wigington, R. Ecologically sustainable water management: Managing river flows for ecological integrity. Ecol. Appl. 2003, 13, 206–224. [Google Scholar] [CrossRef]
- Richter, B.D.; Baumgartner, J.V.; Powell, J.; Braun, D.P. A method for assessing hydrologic alteration within ecosystems. Conserv. Biol. 1996, 10, 1163–1174. [Google Scholar] [CrossRef]
- Conservancy, N. Indicators of Hydrologic Alteration Version 7.1: User’s Manual; The Nature Conservancy: Arlington County, VA, USA, 2009. [Google Scholar]
- Kusangaya, S.; Toucher, M.L.W.; van Garderen, E.A. Evaluation of uncertainty in capturing the spatial variability and magnitudes of extreme hydrological events for the uMngeni catchment, South Africa. J. Hydrol. 2018, 557, 931–946. [Google Scholar] [CrossRef]
- Saraiva Okello, A.; Masih, I.; Uhlenbrook, S.; Jewitt, G.; Van der Zaag, P.; Riddell, E. Drivers of spatial and temporal variability of streamflow in the Incomati River basin. Hydrol. Earth Syst. Sci. 2015, 19, 657–673. [Google Scholar] [CrossRef] [Green Version]
- Gao, Y.; Vogel, R.M.; Kroll, C.N.; Poff, N.L.; Olden, J.D. Development of representative indicators of hydrologic alteration. J. Hydrol. 2009, 374, 136–147. [Google Scholar] [CrossRef]
- Yang, T.; Zhang, Q.; Chen, Y.D.; Tao, X.; Xu, C.Y.; Chen, X. A spatial assessment of hydrologic alteration caused by dam construction in the middle and lower Yellow River, China. Hydrol. Process. Int. J. 2008, 22, 3829–3843. [Google Scholar] [CrossRef]
- Chen, J.; Brissette, F.P.; Chaumont, D.; Braun, M. Performance and uncertainty evaluation of empirical downscaling methods in quantifying the climate change impacts on hydrology over two North American river basins. J. Hydrol. 2013, 479, 200–214. [Google Scholar] [CrossRef]
- Chen, J.; Brissette, F.P.; Leconte, R. Uncertainty of downscaling method in quantifying the impact of climate change on hydrology. J. Hydrol. 2011, 401, 190–202. [Google Scholar] [CrossRef]
- Shahbeik, S.; Afzal, P.; Moarefvand, P.; Qumarsy, M. Comparison between ordinary kriging (OK) and inverse distance weighted (IDW) based on estimation error. Case study: Dardevey iron ore deposit, NE Iran. Arab. J. Geosci. 2014, 7, 3693–3704. [Google Scholar] [CrossRef]
- Chen, F.-W.; Liu, C.-W. Estimation of the spatial rainfall distribution using inverse distance weighting (IDW) in the middle of Taiwan. Paddy Water Environ. 2012, 10, 209–222. [Google Scholar] [CrossRef]
- Chen, Q.H.; Zhang, J.; Hou, Y.K.; Shen, M.X.; Chen, J.; Xu, C.Y. Impacts of climate change and LUCC on runoff of Jinsha River Basin in recent 60 years (in Chinese). Yangtze River 2018, 49, 47–53. [Google Scholar]
- Immerzeel, W.; Pellicciotti, F.; Bierkens, M. Rising river flows throughout the twenty-first century in two Himalayan glacierized watersheds. Nat. Geosci. 2013, 6, 742. [Google Scholar] [CrossRef]












| Data Type | Description | Origin |
|---|---|---|
| Digital Elevation Model (DEM) data | Spatial resolution of 200 m | Geospatial Data Cloud (http://www.gscloud.cn) |
| Land-use data | In year 1980, 1990, 2000, 2015 with spatial resolution of 1000 m | Resource and Environment Data Cloud Platform (http://www.resdc.cn) |
| Land soil data | China Soil Map Based on Harmonized World Soil Database (v1.1) with spatial resolution of 1000 m | Cold and Arid Regions Sciences Data Center at Lanzhou (http://westdc.westgis.ac.cn) |
| Daily runoff in 1960–2017 | 9 hydrological stations uniformly distributed in the basin, including Zhimenda, Batang, Shigu, Yajiang, Luning, Xioadeshi, Panzhihua, Huatan and Pingshan | Changjiang Water Resources Commission of the Ministry of Water Resources |
| Daily meteorological data in 1960–2017 | Daily precipitation, min/ max/average temperature, relative humidity, solar radiation and wind speed from 30 weather stations | National Meteorological Information Center (http://data.cma.cn) |
| General Circulation Models (GCMs) data | Daily precipitation and min/max temperature are used. Respectively 4 and 3 typical GCMs under representative concentration pathway (RCP) scenarios 4.5 and 8.5 are selected from over 20 GCMs. | Lawrence Livermore National Laboratory (https://esgf-node.llnl.gov) |
| Periods | P1 | P2 | P3 | P4 |
|---|---|---|---|---|
| Climate data | 1970–1984 | 1985–1994 | 1995–2004 | 2005–2017 |
| Land-use data | LU1980 | LU1990 | LU2000 | LU2015 |
| Scenarios | Climate Data | Land Use Data | Scenarios | Climate Data | Land Use Data |
|---|---|---|---|---|---|
| S1 | 1970–1984 | LU1980 | S9 | 1995–2004 | LU1980 |
| S2 | 1970–1984 | LU1990 | S10 | 1995–2004 | LU1990 |
| S3 | 1970–1984 | LU2000 | S11 | 1995–2004 | LU2000 |
| S4 | 1970–1984 | LU2015 | S12 | 1995–2004 | LU2015 |
| S5 | 1985–1994 | LU1980 | S13 | 2005–2017 | LU1980 |
| S6 | 1985–1994 | LU1990 | S14 | 2005–2017 | LU1990 |
| S7 | 1985–1994 | LU2000 | S15 | 2005–2017 | LU2000 |
| S8 | 1985–1994 | LU2015 | S16 | 2005–2017 | LU2015 |
| Location | Hydrological Stations | Notes |
|---|---|---|
| Upstream of Jinsha River | Zhimenda | The runoff is measured every 10 days in dry seasons of 2009–2016 |
| Batang | Missing runoff data in year 1969–1970, 1989–1991 and 2009–2010 | |
| Shigu | Missing runoff data in year 1969–1970 | |
| Yalong River | Yajiang | Missing runoff data in year 1969 and 2009–2017 |
| Luning | Missing runoff data in dry seasons of 2009–2017 | |
| Xiaodeshi | Missing runoff data in year 2011–2017; River cutoff during 4 to 7 May 1998 due to engineering reasons | |
| Middle and downstream of Jinsha River | Panzhihua | Missing runoff data from 1 January 1960 to 9 May 1965 |
| Huatan | Missing runoff data in year 1960–1976; The runoff data after 3 August 2015 is derived from Baihetan hydrological station; Sudden drops in runoff occurred in 9–10 December 2015 due to engineering reasons | |
| Pingshan | The runoff data in year 2012–2016 and 2017 respectively comes from Xiangjiaba hydrological station and the inflow of Xiangjiaba reservoir |
| Numbers of Hydrological Stations | Max_R | Min_R | DH | DK | ||||
|---|---|---|---|---|---|---|---|---|
| Positive | Negative | Positive | Negative | Positive | Negative | Positive | Negative | |
| M–K test | 5(1) | 4(1) | 4(1) | 5(2) | 8(2) | 1(0) | 2(1) | 7(3) |
| CSD test | 5(0) | 4(0) | 5(0) | 4(2) | 7(0) | 2(0) | 2(1) | 7(1) |
| Land Use | Annual Average Area (103 km2) | Proportion (%) | Change Rates (%) | ||
|---|---|---|---|---|---|
| 1980–1990 | 1990–2000 | 2000–2015 | |||
| Grassland | 234.3 | 52.53 | 0.17 | 0.10 | −0.19 |
| Forest land | 132.4 | 29.68 | −0.24 | −0.26 | 0.04 |
| Bare land | 41.9 | 9.40 | −0.10 | 0.22 | −0.03 |
| Farmland | 26.5 | 5.94 | −0.26 | −0.30 | −2.81 |
| wetland | 6.91 | 1.55 | 0.38 | −0.60 | −0.04 |
| Water body | 3.50 | 0.78 | −0.61 | 3.08 | 10.02 |
| Building land | 0.55 | 0.12 | 5.95 | 8.99 | 227.06 |
| Hydrological Stations | Calibration Period (1970–1990) | Verification Period (1991–2008) | |||
|---|---|---|---|---|---|
| NS | PBIAS (%) | NS | PBIAS (%) | ||
| Upstream of Jinsha River | Zhimenda | 0.68 | −3 | 0.67 | −17.6 |
| Batang | 0.82 | 0.1 | 0.86 | −7.1 | |
| Shigu | 0.85 | 11.4 | 0.89 | 4.7 | |
| Yalong River | Yajiang | 0.86 | −2.2 | 0.85 | 2 |
| Luning | 0.9 | −1.2 | 0.89 | 4.4 | |
| Xiaodeshi | 0.88 | 8.2 | 0.79 | 13.9 | |
| Middle & downstream of Jinsha River | Panzhihua | 0.89 | −4.1 | 0.9 | −8.7 |
| Huatan | 0.91 | −3.7 | 0.89 | 0.1 | |
| Pingshan | 0.89 | 2.2 | 0.88 | −0.5 | |
| Absolute average mean | 0.85 | 4 | 0.85 | 6.6 | |
| Climate Models | RCP4.5 | RCP8.5 | ||
|---|---|---|---|---|
| Typical GCMs | Spatial Resolution | Typical GCMs | Spatial Resolution | |
| Cold-dry | IPSL-CM5B-LR | 3.75° × 1.90° | CSIRO-Mk3-6-0 | 1.875° × 1.875° |
| Cold-wet | GFDL-ESM2M | 2.5° × 2.0° | CCSM4 | 1.25° × 0.94° |
| Warm-dry | CMCC-CM | 0.75° × 0.75° | CSIRO-Mk3-6-0 | 1.875° × 1.875° |
| Warm-wet | BNU-ESM | 2.8° × 2.8° | MIROC-ESM | 2.8° × 2.8° |
| DF Values | a | b | c | d | e | f | g | h | i |
|---|---|---|---|---|---|---|---|---|---|
| January | 12.3 | 6.9 | 6.3 | 3.8 | 4.0 | 4.6 | 6.6 | 6.5 | 7.3 |
| February | 12.3 | 7.1 | 6.5 | 3.9 | 4.3 | 4.8 | 7.0 | 6.6 | 7.2 |
| March | 12.3 | 6.5 | 5.8 | 3.9 | 4.6 | 5.2 | 6.8 | 6.6 | 7.1 |
| April | 14.5 | 5.9 | 6.6 | 3.4 | 4.6 | 5.6 | 9.4 | 8.8 | 9.6 |
| May | 4.8 | 3.2 | 2.6 | 9.2 | 5.0 | 4.4 | 3.6 | 1.4 | 2.9 |
| June | 13.1 | 9.5 | 8.6 | 7.7 | 6.2 | 6.0 | 5.5 | 5.0 | 4.3 |
| July | 11.6 | 5.7 | 4.4 | 4.4 | 3.4 | 4.2 | 5.6 | 5.7 | 6.0 |
| August | 16.4 | 8.4 | 6.3 | 4.6 | 3.6 | 3.6 | 5.3 | 3.5 | 3.1 |
| September | 13.4 | 7.3 | 6.2 | 5.2 | 4.7 | 5.0 | 6.7 | 6.3 | 6.2 |
| October | 11.7 | 8.0 | 8.6 | 8.6 | 9.2 | 9.3 | 9.0 | 9.3 | 9.4 |
| November | 12.3 | 7.8 | 6.6 | 3.7 | 3.8 | 4.2 | 6.6 | 5.4 | 6.0 |
| December | 12.4 | 8.7 | 7.9 | 4.1 | 4.3 | 4.7 | 7.9 | 6.9 | 7.5 |
| Attribution Proportions (%) | Batang | Panzhihua | Xiaodeshi | Pingshan | ||||
|---|---|---|---|---|---|---|---|---|
| Climate | LU | Climate | LU | Climate | LU | Climate | LU | |
| P1–P2 | 99.86 | 0.14 | 100.05 | −0.05 | 99.65 | 0.35 | 99.81 | 0.19 |
| P2–P3 | 99.83 | 0.17 | 99.96 | 0.04 | 99.54 | 0.46 | 99.80 | 0.20 |
| P3–P4 | 100.19 | −0.19 | 99.91 | 0.09 | 101.40 | −1.40 | 100.22 | −0.22 |
| Mean | 99.96 | 0.04 | 99.98 | 0.02 | 100.20 | −0.20 | 99.94 | 0.06 |
© 2019 by the authors. Licensee MDPI, Basel, Switzerland. This article is an open access article distributed under the terms and conditions of the Creative Commons Attribution (CC BY) license (http://creativecommons.org/licenses/by/4.0/).
Share and Cite
Chen, Q.; Chen, H.; Wang, J.; Zhao, Y.; Chen, J.; Xu, C. Impacts of Climate Change and Land-Use Change on Hydrological Extremes in the Jinsha River Basin. Water 2019, 11, 1398. https://doi.org/10.3390/w11071398
Chen Q, Chen H, Wang J, Zhao Y, Chen J, Xu C. Impacts of Climate Change and Land-Use Change on Hydrological Extremes in the Jinsha River Basin. Water. 2019; 11(7):1398. https://doi.org/10.3390/w11071398
Chicago/Turabian StyleChen, Qihui, Hua Chen, Jinxing Wang, Ying Zhao, Jie Chen, and Chongyu Xu. 2019. "Impacts of Climate Change and Land-Use Change on Hydrological Extremes in the Jinsha River Basin" Water 11, no. 7: 1398. https://doi.org/10.3390/w11071398

