A Comparison Study of Runoff Characteristics of Non-Point Source Pollution from Three Watersheds in South Korea
Abstract
1. Introduction
2. Materials and Methods
2.1. Watershed Characteristics
2.2. Multivariate Statistical Analysis
2.3. Monitoring Method
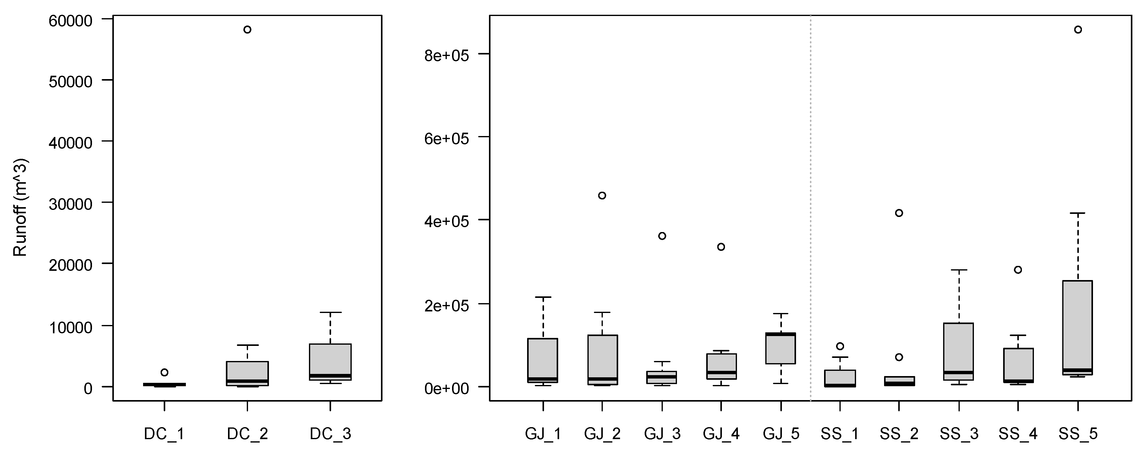
3. Results
3.1. Rainfall Analysis
3.2. Water Quality and First Flush Analysis
3.2.1. Water Quality
3.2.2. First Flush
3.3. Multivariate Statistical Analyses
3.3.1. Correlation Analysis
3.3.2. Factor Analysis
3.3.3. Cluster Analysis
4. Conclusions
- The mean of water quality characteristics during dry days was the highest in Seolseongcheon. EMC during rainy days showed that BOD concentration was 4.74–5.67 mg/L on the mean in Dochoncheon, which was higher than that in the other watersheds. The TN concentration was high in Gongjicheon, and COD, SS, TOC, and TP concentrations were high in the upper stream of Seolseongcheon. Thus, it is necessary to manage BOD in the urban watershed and other water quality characteristics in complex and agricultural watersheds.
- The first flush analysis revealed that SS had the strongest effect among the water quality factors in most monitoring sites, and TN had a low effect on the first flush. BOD showed the strongest effect on the first flush in Dochoncheon (urban watershed), and most of the factors, except for BOD, generally exhibited a strong effect on the first flush in Gongjicheon. The first flush effect was low in Seolseongcheon.
- Analyses of the correlation between floodgate and water quality factors showed that the rainfall intensity during rainy days was strongly correlated with SS in Gongjicheon and Seolseongcheon. In Dochoncheon, the higher the number of ADD was, the higher the BOD concentration was. COD, SS, and TOC were strongly correlated in all three watersheds. There was some correlation between organic matters during dry days, but it was generally weak.
- Organic matter including COD and TOC showed a high factor loading in Factor 1 in all three watersheds during dry and rainy days. These were consequently classified as organic matter–related factors. Nutrients including TN and TP were the second factor in Dochoncheon during dry days, but the second factor was SS and TP during rainy days. TP and TN were separately classified in Gongjicheon and Seolseongcheon during dry days but were the second factor during dry days. Thus, we confirmed the differences between watersheds in terms of the non-point pollution source.
- The cluster analysis results for grouping non-point source pollution monitoring sites and site specificity showed that the monitoring sites in Dochoncheon and Gongjicheon were similar. Furthermore, sites DC_1 and DC_2, SS_1 and SS_2 and GJ_1 and GJ_2 could be respectively combined to one site.
Author Contributions
Funding
Conflicts of Interest
References
- Choi, G.C.; Lee, J.H.; Yu, J.C.; Ju, D.J.; Park, J.J. Laboratory assessment of biofilm process and its microbial characteristics for treating nonpoint source pollution. Korean J. Chem. Eng. 2011, 28, 1207–1213. [Google Scholar] [CrossRef]
- Liu, R.M.; Wang, J.W.; Shi, J.H.; Chen, Y.X.; Sun, C.C.; Zhang, P.P.; Shen, Z.Y. Runoff characteristics and nutrient loss mechanism from plain farmland under simulated rainfall conditions. Sci. Total. Environ. 2014, 468, 1069–1077. [Google Scholar] [CrossRef]
- Arnold, C.L.; Gibbons, C.J. Impervious Surface Coverage: The Emergence of a Key Environmental Indicator. JAPA 1996, 62, 243–258. [Google Scholar] [CrossRef]
- Xiang, C.; Wang, Y.; Liu, H. A scientometrics review on nonpoint source pollution research. Ecol. Eng. 2017, 99, 400–408. [Google Scholar]
- Ribaudo, M.O.; Heimlich, R.; Claassen, R.; Peters, M. Least-cost management of nonpoint source pollution: Source reduction versus interception strategies for controlling nitrogen loss in the Mississippi Basin. Ecol. Econ. 2001, 37, 183–197. [Google Scholar] [CrossRef]
- Grismer, M.E.; O’Geen, A.T.; Lewis, D. Vegetative Filter Strips for Nonpoint Source Pollution Control in Agriculture; ANR Publication 8195; University of California, Division of Agricultural and Natural Resources: St Davis, CA, USA, 2006. [Google Scholar]
- Kaushal, S.S.; Groffman, P.M.; Band, L.E.; Elliott, E.M.; Shields, C.A.; Kendall, C. Tracking nonpoint source nitrogen pollution in human-impacted watersheds. Environ. Sci. Technol. 2011, 45, 8225–8232. [Google Scholar] [CrossRef]
- Liu, J.; Fu, B.; Wang, Y.K.; Xu, P. Estimation and evaluation of non-point source pollutants loads in mountainous area of Sichuan. Trans. Chin. Soc. Agric. Eng. 2016, 32, 218–225. [Google Scholar]
- Zhang, W.Q.; Jin, X.; Liu, D.; Lang, C.; Shan, B.Q. Temporal and spatial variation of nitrogen and phosphorus and eutrophication assessment for a typical arid river—Fuyang River in northern China. J. Environ. Sci. 2017, 55, 41–48. [Google Scholar] [CrossRef]
- Adu, J.T.; Kumarasamy, M.V. Assessing non-point source pollution models: A review. Pol. J. Environ. Stud. 2018, 27, 1913–1922. [Google Scholar] [CrossRef]
- Borah, D.K.; Bera, M. Watershed-scale hydrologic and nonpoint-source pollution models: Review of mathematical bases. Trans ASAE 2003, 46, 1553–1566. [Google Scholar] [CrossRef]
- Ongley, E.D.; Xiaolan, Z.; Tao, Y. Current status of agricultural and rural non-point source pollution assessment in China. Environ. Pollut. 2010, 158, 1159–1168. [Google Scholar] [CrossRef]
- Long, H.L.; Liu, Y.S. Rural restructuring in China. J. Rural Stud. 2016, 47, 387–391. [Google Scholar] [CrossRef]
- National Institute of Environmental Research. Technical Guideline for TMDLs in Korea; National Institute of Environmental Research: Incheon, Korea, 2014. [Google Scholar]
- Shrestha, S.; Kazama, F. Assessment of surface water quality using multivariate statistical techniques: A case study of the Fuji river basin, Japan. Environ. Model. Softw. 2007, 22, 464–475. [Google Scholar] [CrossRef]
- Varekar, V.; Karmakar, S.; Jha, R.; Ghosh, N.C. Design of sampling locations for river water quality monitoring considering seasonal variation of point and diffuse pollution loads. Environ. Monit. Assess. 2015, 187, 376. [Google Scholar] [CrossRef]
- Barakat, A.; El Baghdadi, M.; Meddah, R.; Rais, J.; Nadem, S.; Afdali, M. Evaluation of water quality in open channels flowing through Beni-Mellal City (Morocco). J. Water Land Dev. 2013, 19, 3–11. [Google Scholar] [CrossRef]
- Khan, M.Y.A.; Gani, K.M.; Chakrapani, G.J. Assessment of surface water quality and its spatial variation. A case study of Ramganga River, Ganga Basin, India. Arab. J. Geosci. 2016, 9, 28. [Google Scholar] [CrossRef]
- Ministry of the Environment. Environmental geographic information system. Available online: https://egis.me.go.kr (accessed on 7 May 2019).
- Rural Development Administration. Korean soil information system. Available online: https://soil.rda.go.kr/ (accessed on 7 May 2019).
- Hair, J.F.; Bush, R.P.; Ortinau, D.J. Studyguide for Marketing Research within a Changing Information Environment, 2nd ed.; McGraw-Hill: New York, NY, USA, 2002; p. 567. ISBN 0-07-246757-6. [Google Scholar]
- Rokach, L.; Maimon, O. Clustering methods. In Data Mining and Knowledge Discovery Handbook; Maimon, O., Rokach, L., Eds.; Springer: Boston, MA, USA, 2005; pp. 321–352. ISBN 978-0-387-24435-8. [Google Scholar]
- Ward, J.H., Jr. Hierarchical grouping to optimize an objective function. J. Am. Stat. Assoc. 1963, 58, 236–244. [Google Scholar] [CrossRef]
- Johnson, R.A.; Wichern, D.W. Applied Multivariate Statistical Analysis, 6th ed.; Pearson Prentice Hall: London, UK, 2007; pp. 488–490. ISBN 978-0131877153. [Google Scholar]
- National Institute of Environmental Research. Survey Method of Rainfall Runoff; National Institute of Environmental Research: Incheon, Korea, 2012.
- Huber, W.C. Contaminant transport in surface water. In Handbook of Hydrology; Maidment, D.R., Ed.; McGraw-Hill: New York, NY, USA, 1993; pp. 14.11–14.50. ISBN 978-0070397323. [Google Scholar]
- Mallin, M.A.; Johnson, V.L.; Ensign, S.H. Comparative impacts of stormwater runoff on water quality of an urban, a suburban, and a rural stream. Environ. Monit. Assess. 2009, 159, 475–491. [Google Scholar] [CrossRef]
- Gupta, K.; Saul, A.J. Specific relationships for the first flush load in combined sewer flows. Water Resour. 1996, 30, 1244–1252. [Google Scholar] [CrossRef]
- Deletic, A. The first flush load of urban surface runoff. Water Res. 1998, 32, 2462–2470. [Google Scholar] [CrossRef]
- Maniquiz, M.C.; Choi, J.Y.; Lee, S.Y.; Cho, H.J.; Kim, L.H. Appropriate methods in determining the event mean concentration and pollutant removal efficiency of a best management practice. Environ. Eng. Res. 2010, 15, 215–223. [Google Scholar] [CrossRef]
- Geiger, W. Flushing effects in combined sewer systems. In Proceedings of the 4th International Conference Urban Drainage, Lausanne, Switzerland, 31 August–4 September 1987; pp. 40–46. [Google Scholar]
- Saget, A.; Chebbo, G.; Bertrand-Krajewski, J.L. The first flush in sewer systems. Water Sci. Technol. 1996, 33, 101–108. [Google Scholar] [CrossRef]
- Bertrand-Krajewski, J.L.; Chebbo, G.; Saget, A. Distribution of pollutant mass vs volume in stormwater discharges and the first flush phenomenon. Water Res. 1998, 32, 2341–2356. [Google Scholar] [CrossRef]
- Larsen, T.; Broch, K.; Andersen, M.R. First flush effects in an urban catchment area in Aalborg. Water Sci. Technol. 1998, 37, 251–257. [Google Scholar] [CrossRef]
- Barco, J.; Papiri, S.; Stenstrom, M.K. First flush in a combined sewer system. Chemosphere 2008, 71, 827–833. [Google Scholar] [CrossRef]
- Luo, H.B.; Luo, L.; Huang, G.; Liu, P.; Li, J.X.; Hu, S.; Wang, F.X.; Xu, R.; Huang, X.X. Total pollution effect of urban surface runoff. J. Environ. Sci. 2009, 21, 1186–1193. [Google Scholar] [CrossRef]
- Bach, P.M.; McCarthy, D.T.; Deletic, A. Redefining the stormwater first flush phenomenon. Water Res. 2010, 44, 2487–2498. [Google Scholar] [CrossRef]
- Chow, M.F.; Yusop, Z.; Mohamed, M. Quality and first flush analysis of stormwater runoff from a tropical commercial catchment. Water Sci. Technol. 2011, 63, 1211–1216. [Google Scholar] [CrossRef]
- Chow, M.F.; Yusop, Z. Storm runoff quality in a residential catchment in Malaysia. J. Environ. Hydrol. 2009, 17, 1–9. [Google Scholar]
- Horn, J.L. A rationale and test for the number of factors in factor analysis. Psychometrika 1965, 30, 179–185. [Google Scholar] [CrossRef]
- Franklin, S.B.; Gibson, D.J.; Robertson, P.A.; Pohlmann, J.T.; Fralish, J.S. Parallel analysis: A method for determining significant principal components. J. Veg. Sci. 1995, 6, 99–106. [Google Scholar] [CrossRef]
- Zhang, Q.Q.; Wang, X.O.; Hou, P.Q.; Wan, W.X.; Ren, Y.F.; Ouyang, Z.Y.; Yang, L. The temporal changes in road stormwater runoff quality and the implications to first flush control in Chongqing, China. Environ. Monit. Assess. 2013, 185, 9763–9775. [Google Scholar] [CrossRef]
- Simeonov, V.; Simeonova, P.; Tsakovski, S.; Lovchinov, V. Lake water monitoring data assessment by multivariate statistics. J. Water Res. Prot. 2010, 2, 353–361. [Google Scholar] [CrossRef][Green Version]











| Category | Dochoncheon | Gongjicheon | Seolseongcheon | |||||||||||
|---|---|---|---|---|---|---|---|---|---|---|---|---|---|---|
| Monitoring Site | DC_1 | DC_2 | DC_3 | GJ_1 | GJ_2 | GJ_3 | GJ_4 | GJ_5 | SS_1 | SS_2 | SS_3 | SS_4 | SS_5 | |
| Area (km2) | 0.5 | 1.3 | 1.9 | 11.4 | 14.3 | 3.9 | 7.7 | 45.1 | 2.8 | 5.2 | 16.5 | 14.9 | 37.5 | |
| Land cover (%) | Forest | 91.6 | 67.0 | 63.5 | 66.0 | 56.4 | 48.1 | 40.6 | 51.4 | 36.6 | 34.4 | 21.3 | 24.7 | 21.3 |
| Used area | 2.4 | 14.3 | 16.8 | 2.7 | 8.6 | 6.8 | 11.6 | 12.3 | 4.2 | 4.4 | 7.4 | 7.8 | 7.2 | |
| Agricultural land | 1.4 | 1.6 | 2.6 | 30.2 | 32.3 | 43.8 | 36.8 | 31.7 | 54.7 | 55.8 | 64.3 | 62.5 | 65.0 | |
| Grass | 2.9 | 12.4 | 12.2 | 0.2 | 1.2 | 0.8 | 10.6 | 2.8 | 1.7 | 1.4 | 3.4 | 1.6 | 2.8 | |
| Barren | 1.7 | 4.1 | 3.9 | 0.1 | 1.4 | 0.3 | 0.0 | 1.2 | 1.9 | 1.2 | 1.7 | 1.4 | 1.5 | |
| Water | 0.0 | 1.0 | 1.0 | 0.8 | 0.0 | 0.2 | 0.5 | 0.6 | 0.9 | 2.9 | 1.7 | 2.3 | 2.2 | |
| Average altitude (m) | 209.5 | 149.7 | 140.2 | 332.3 | 235.9 | 130.9 | 154.4 | 215.3 | 130.9 | 108.3 | 102.9 | 95.8 | 95.8 | |
| Average slope (%) | 50.1 | 36.1 | 33.9 | 34.2 | 30.9 | 17.9 | 21.4 | 25.6 | 24.3 | 16.7 | 12.3 | 11.9 | 11.5 | |
| Dry Days | Rainy Days | |||||
|---|---|---|---|---|---|---|
| Number | Rainfall (mm) | Event Number | Rainfall Intensity (mm/h) | Runoff (m3) | Runoff Ratio (%) | |
| Dochoncheon (3 sites) | 19–20 | 0–10 | 1–4 | 0.8–9.7 | 8.2–58,122.3 | 0.1–45.2 |
| 10–30 | 4–6 | |||||
| 30–50 | 3–4 | |||||
| 50< | 0–1 | |||||
| Total | 36 | |||||
| Gongjicheon (5 sites) | 25–26 | 0–10 | 1–2 | 1.1–6.5 | 1534.9–457,550.0 | 0.9–63.9 |
| 10–30 | 2–4 | |||||
| 30–50 | 1–2 | |||||
| 50< | 1–3 | |||||
| Total | 42 | |||||
| Seolseongcheon (5 sites) | 18–19 | 0–10 | 2–4 | 0.5–6.0 | 705.1–856,206.1 | 2.3–68.6 |
| 10–30 | 1–3 | |||||
| 30–50 | 0–1 | |||||
| 50< | 1–2 | |||||
| Total | 38 | |||||
| Watershed | Weather Station | Past | Monitoring | ||
|---|---|---|---|---|---|
| Period | Average Rainfall (mm) | Period | Average Rainfall (mm) | ||
| Dochoncheon | Seongnam AWS | 1997–2013 | 1350.5 | 2014–2017 | 880.5 |
| Gongjicheon | Chuncheon KMA | 1987–2014 | 1432.1 | 2015–2017 | 1102.6 |
| Seolseongcheon | Janghowon AWS | 1997–2015 | 1217.7 | 2016–2017 | 810.5 |
| Watershed | Site | BOD | COD | SS | TOC | TN | TP |
|---|---|---|---|---|---|---|---|
| Dochoncheon | DC_1 | 39.3 | 36.0 | 48.0 | 32.0 | 31.7 | 40.5 |
| DC_2 | 38.9 | 34.9 | 41.0 | 28.6 | 31.8 | 39.9 | |
| DC_3 | 36.7 | 34.9 | 35.0 | 31.8 | 31.1 | 34.4 | |
| Gongjicheon | GJ_1 | 35.5 | 37.1 | 44.9 | 33.3 | 33.2 | 38.1 |
| GJ_2 | 33.0 | 35.3 | 42.0 | 31.8 | 32.4 | 36.0 | |
| GJ_3 | 36.5 | 31.4 | 37.9 | 33.6 | 32.4 | 32.0 | |
| GJ_4 | 34.3 | 32.1 | 42.6 | 30.6 | 30.2 | 34.3 | |
| GJ_5 | 36.3 | 41.5 | 45.1 | 37.3 | 33.8 | 41.6 | |
| Seolseongcheon | SS_1 | 30.4 | 29.7 | 29.1 | 29.0 | 26.3 | 28.0 |
| SS_2 | 33.8 | 29.0 | 30.1 | 28.4 | 29.3 | 29.4 | |
| SS_3 | 31.4 | 27.8 | 30.9 | 30.2 | 29.3 | 29.0 | |
| SS_4 | 31.2 | 25.5 | 24.0 | 30.0 | 26.6 | 28.9 | |
| SS_5 | 28.6 | 29.5 | 29.9 | 28.4 | 29.6 | 29.9 |
| Watershed | Dry Days | Rainy Days | |||||
|---|---|---|---|---|---|---|---|
| Factors | 1 | 2 | 3 | 1 | 2 | 3 | |
| Dochoncheon | Eigenvalue | 2.394 | 1.517 | 1.054 | 3.082 | 1.322 | 1.029 |
| PA eigenvalue | 1.322 | 1.169 | 1.035 | 1.445 | 1.198 | 1.042 | |
| % Variance | 32.7 | 22.1 | 16.2 | 32.4 | 28.4 | 16.8 | |
| % Cumulative | 32.7 | 54.8 | 70.9 | 32.4 | 60.8 | 77.6 | |
| Gongjicheon | Eigenvalue | 2.681 | 1.269 | 1.195 | 3.126 | 1.323 | 1.013 |
| PA eigenvalue | 1.235 | 1.113 | 1.023 | 1.414 | 1.192 | 1.049 | |
| % Variance | 34.0 | 20.5 | 19.0 | 37.1 | 24.1 | 16.8 | |
| % Cumulative | 34.0 | 54.5 | 73.5 | 37.1 | 61.2 | 78.0 | |
| Seolseongcheon | Eigenvalue | 3.599 | 1.129 | 0.785 | 4.149 | 1.295 | 0.641 |
| PA eigenvalue | 1.268 | 1.162 | 1.036 | 1.476 | 1.213 | 1.033 | |
| % Variance | 45.3 | 17.2 | 16.2 | 39.1 | 25.6 | 22.2 | |
| % Cumulative | 45.3 | 62. 5 | 78.8 | 39.1 | 64.7 | 86.9 | |
| Watershed | Classification | Dry Days | Rainy Days | ||||
|---|---|---|---|---|---|---|---|
| Characteristic | Factor 1 | Factor 2 | Factor 3 | Factor 1 | Factor 2 | Factor 3 | |
| Dochoncheon | Flow | −0.100 | −0.050 | 0.896 | −0.090 | 0.134 | 0.850 |
| BOD | 0.765 | 0.238 | −0.050 | 0.880 | 0.243 | −0.010 | |
| COD | 0.803 | −0.186 | −0.157 | 0.774 | 0.491 | −0.060 | |
| SS | 0.811 | 0.228 | 0.169 | 0.184 | 0.924 | −0.090 | |
| TOC | 0.623 | −0.199 | −0.287 | 0.888 | 0.020 | 0.050 | |
| TN | 0.010 | 0.875 | 0.197 | −0.110 | 0.293 | −0.663 | |
| TP | 0.050 | 0.772 | −0.388 | 0.226 | 0.855 | −0.030 | |
| Gongjicheon | Flow | 0.090 | −0.090 | −0.877 | −0.010 | −0.040 | 0.939 |
| BOD | 0.799 | 0.147 | 0.010 | 0.430 | 0.785 | 0.194 | |
| COD | 0.798 | 0.189 | 0.163 | 0.869 | 0.122 | −0.030 | |
| SS | 0.187 | 0.830 | −0.157 | 0.749 | 0.196 | 0.299 | |
| TOC | 0.917 | 0.020 | 0.000 | 0.896 | 0.040 | −0.118 | |
| TN | 0.464 | −0.030 | 0.663 | −0.140 | 0.818 | −0.333 | |
| TP | 0.060 | 0.825 | 0.268 | 0.527 | 0.585 | 0.207 | |
| Seolseongcheon | Flow | 0.090 | 0.908 | 0.070 | 0.010 | −0.040 | 0.965 |
| BOD | 0.929 | −0.138 | 0.113 | 0.840 | 0.131 | 0.132 | |
| COD | 0.873 | −0.145 | 0.221 | 0.734 | 0.438 | 0.383 | |
| SS | 0.834 | 0.050 | 0.090 | 0.591 | 0.273 | 0.673 | |
| TOC | 0.783 | −0.010 | 0.250 | 0.879 | 0.366 | −0.020 | |
| TN | 0.222 | −0.020 | 0.954 | 0.199 | 0.936 | 0.040 | |
| TP | 0.428 | −0.580 | 0.299 | 0.576 | 0.707 | 0.050 | |
© 2019 by the authors. Licensee MDPI, Basel, Switzerland. This article is an open access article distributed under the terms and conditions of the Creative Commons Attribution (CC BY) license (http://creativecommons.org/licenses/by/4.0/).
Share and Cite
Park, M.; Choi, Y.S.; Shin, H.J.; Song, I.; Yoon, C.G.; Choi, J.D.; Yu, S.J. A Comparison Study of Runoff Characteristics of Non-Point Source Pollution from Three Watersheds in South Korea. Water 2019, 11, 966. https://doi.org/10.3390/w11050966
Park M, Choi YS, Shin HJ, Song I, Yoon CG, Choi JD, Yu SJ. A Comparison Study of Runoff Characteristics of Non-Point Source Pollution from Three Watersheds in South Korea. Water. 2019; 11(5):966. https://doi.org/10.3390/w11050966
Chicago/Turabian StylePark, Minji, Young Soon Choi, Hyung Jin Shin, Inhong Song, Chun Gyeong Yoon, Joong Dae Choi, and Soon Ju Yu. 2019. "A Comparison Study of Runoff Characteristics of Non-Point Source Pollution from Three Watersheds in South Korea" Water 11, no. 5: 966. https://doi.org/10.3390/w11050966
APA StylePark, M., Choi, Y. S., Shin, H. J., Song, I., Yoon, C. G., Choi, J. D., & Yu, S. J. (2019). A Comparison Study of Runoff Characteristics of Non-Point Source Pollution from Three Watersheds in South Korea. Water, 11(5), 966. https://doi.org/10.3390/w11050966

