Effect of Dissolved Silicon on the Removal of Heavy Metals from Aqueous Solution by Aquatic Macrophyte Eleocharis acicularis
Abstract
1. Introduction
2. Materials and Methods
2.1. Plant and Solution Preparation
2.2. Sampling and Analysis
2.3. Bioconcentration Factor
2.4. Statistical Analysis
3. Results
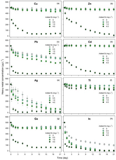
3.1. Kinetic Removal of Heavy Metals from Aqueous Solutions
3.2. Accumulation of Si and Heavy Metals in E. acicularis
3.3. Relation of Metal Removal by PCA Analysis
4. Discussion
4.1. Combined Effects of E. acicularis and Dissolved Si on the Removal of Heavy Metals
4.2. Suggestions for Suitable Practices for Phytoremediation and Phytomining
5. Conclusions
Author Contributions
Funding
Conflicts of Interest
References
- Epstein, E. The anomaly of silicon in plant biology. Proc. Natl. Acad. Sci. USA 1994, 91, 11–17. [Google Scholar] [CrossRef] [PubMed]
- Luyckx, M.; Hausman, J.F.; Lutts, S.; Guerriero, G. Impact of Silicon in Plant Biomass Production: Focus on Bast Fibres, Hypotheses, and Perspectives. Plants 2017, 6, 37. [Google Scholar] [CrossRef]
- Epstein, E.; A. Bloom, J. Mineral Nutrition of Plants: Principles and Perspectives; John Wiley & Sons: New York, NY, USA, 2003. [Google Scholar]
- Parr, J.F.; Sullivan, L.A. Soil carbon sequestration in phytoliths. Soil Biol. Biochem. 2005, 37, 117–124. [Google Scholar] [CrossRef]
- Chen, W.; Yao, X.; Cai, K.; Chen, J. Silicon alleviates drought stress of rice plants by improving plant water status, photosynthesis and mineral nutrient absorption. Biol. Trace Elem. Res. 2011, 142, 67–76. [Google Scholar] [CrossRef] [PubMed]
- Beerling, D.J.; Leake, J.R.; Long, S.P.; Scholes, J.D.; Ton, J.; Nelson, P.N.; Bird, M.; Kantzas, E.; Taylor, L.L.; Sarkar, B.; et al. Farming with crops and rocks to address global climate, food and soil security. Nat. Plants 2018, 4, 138–147. [Google Scholar] [CrossRef] [PubMed]
- Haag-Kerwer, A.; Schäfer, H.J.; Heiss, S.; Walter, C.; Rausch, T. Cadmium exposure in Brassica juncea causes a decline in transpiration rate and leaf expansion without effect on photosynthesis. J. Exp. Bot. 1999, 341, 1827–1835. [Google Scholar]
- Liang, Y.C.; J. Wong, W.C.; Long, W. Silicon-mediated enhancement of cadmium tolerance in maize (Zea mays L.) grown in cadmium contaminated soil. Chemosphere 2005, 58, 475–483. [Google Scholar] [CrossRef] [PubMed]
- He, C.; Wang, L.; Liu, J.; Liu, X.; Li, X.; Ma, J.; Lin, Y.; Xu, F. Evidence for ‘silicon’ within the cell walls of suspension-cultured rice cells. New Phytol. 2013, 200, 700–709. [Google Scholar] [CrossRef]
- van der Ent, A.; Baker, A.J.; Reeves, R.D.; Chaney, R.L.; Anderson, C.W.; Meech, J.A.; Erskine, P.D.; Simonnot, M.O.; Vaughan, J.; Morel, J.L.; et al. Agromining: Farming for metals in the future? Environ. Sci. Technol. 2015, 49, 4773–4780. [Google Scholar] [CrossRef]
- Garbisu, C.; Alkorta, I. Phytoextraction: a cost-effective plant based technology for the removal of metals from the environment. Biores. Technol. 2001, 77, 229–236. [Google Scholar] [CrossRef]
- Ha, N.T.H.; Sakakibara, M.; Sano, S. Accumulation of Indium and other heavy metals by Eleocharis acicularis: An option for phytoremediation and phytomining. Biores. Technol. 2011, 102, 2228–2234. [Google Scholar] [CrossRef]
- Brooks, R.R.; Chambers, M.F.; Nicks, L.J.; Robinson, B.H. Phytomining. Perspectives 1998, 3, 359–361. [Google Scholar] [CrossRef]
- Boominathan, R.; Saha-Chaudhury, N.M.; Sahajwalla, V.; Doran, P.M. Production of nickel bio-ore from hyperaccumulator plant biomass: Applications in phytomining. Biotechnol. Bioeng. 2004, 86, 243–250. [Google Scholar] [CrossRef]
- Shah, K.; Nongkynrih, J.M. Metal hyperaccumulation and bioremediation. Biol. Plant. 2007, 51, 618–634. [Google Scholar] [CrossRef]
- Rai, P.K. Heavy metal phytoremediation from aquatic ecosystems with special reference to macrophytes. Crit. Rev. Environ. Sci. Technol. 2009, 39, 697–753. [Google Scholar] [CrossRef]
- Sheoran, V.A.; Sheoran, S.; Poonia, P. Phytomining: A review. Miner. Eng. 2009, 22, 1007–1019. [Google Scholar] [CrossRef]
- Hodson, M.J.; White, P.J.; Mead, A.; Broadley, M.R. Phylogenetic variation in the silicon composition of plants. Ann. Bot. 2005, 96, 1027–1046. [Google Scholar] [CrossRef] [PubMed]
- Holm, L.; Doll, J.; Holm, E.; Pancho, J.V.; Herberger, J. World Weeds: Natural Histories and Distribution; John Wiley & Sons: New York, NY, USA, 1997. [Google Scholar]
- Ha, N.T.H.; Sakakibara, M.; Sano, S.; Hori, R.S.; Sera, K. The potential of Eleocharis acicularis for phytoremediation: case study at an abandoned mine site. Clean-Soil Air Water 2009, 37, 203–208. [Google Scholar]
- Ha, N.T.H.; Sakakibara, M.; Sano, S. Phytoremediation of Sb, As, Cu, and Zn from contaminated water by the aquatic macrophyte Eleocharis acicularis. Clean-Soil Air Water 2009, 37, 720–725. [Google Scholar] [CrossRef]
- Sakakibara, S.; Ohmori, Y.; Ha, N.T.H.; Sano, S.; Sera, K. Phytoremediation of heavy metal-contaminated water and sediment by aquatic macrophyte Eleocharis acicularis. Clean-Soil Air Water 2011, 39, 735–741. [Google Scholar] [CrossRef]
- Sakakibara, M.; Sugawara, M.; Sano, S.; Sera, K. Phytoremediation of heavy metal-contaminated river water by aquatic macrophyte Eleocharis acicularis in a mine site, southwestern Japan. NMCC Annu. Rep. 2013, 20, 226–233. [Google Scholar]
- Sato, Y.; Goto, S.; Teraoka, S.; Takagaki, K.; Takehara, A.; Sano, S.; Sakakibara, M. Establishment of an aseptic culture system and analysis of the effective growth conditions for Eleocharis acicularis ramets for use in phytoremediation. Environments 2017, 4, 40. [Google Scholar] [CrossRef]
- Nurfitri, A.G.; Masayuki, S.; Koichiro, S. Phytoremediation of heavy metal polluted mine drainage by Eleocharis acicularis. Environ. Sci. Ind. J. 2017, 13, 131. [Google Scholar]
- Yamazaki, S.; Okazaki, K.; Kurahashi, T.; Sakakibara, M. Phytoremediation of arsenic- and molybdenum-contaminated alkaline wastewater by Eleocharis acicularis in winter in Japan. IOP Conf. Ser. Earth Environ. Sci. 2017, 71, 012018. [Google Scholar] [CrossRef]
- Kuramoto, S.; Sakakibara, M. Effects of clinker ash as Si fertilizer on phytoremediation for heavy metal contaminated water using Eleocharis acicularis. In Proceedings of the 1st International Seminar of Environmental Geoscience in Asia (ISEGA I), Bandung, Indonesia, 5–6 October 2013. [Google Scholar]
- Okazaki, K.; Yamazaki, S.; Kurahashi, T.; Sakakibara, M. An artificial channel experiment for purifying drainage water containing arsenic by using Eleocharis acicularis. IOP Conf. Ser. Earth Environ. Sci. 2017, 71, 012026. [Google Scholar] [CrossRef]
- Ma, J.F.; Yamaji, N. Silicon uptake and accumulation in higher plants. Trends Plant Sci. 2006, 11, 392–397. [Google Scholar] [CrossRef]
- Ma, J.F.; Yamaji, N.; Mitani, N.; Tamai, K.; Konishi, S.; Fujiwara, T.; Katsuhara, M.; Yano, M. An efflux transporter of silicon in rice. Nature 2007, 448, 209–212. [Google Scholar] [CrossRef]
- Yamaji, N.; Mitani, N.; Ma, J.F. A transporter regulating silicon distribution in rice shoots. Plant Cell 2008, 20, 1381–1389. [Google Scholar] [CrossRef]
- Nguyen, N.M.; Dultz, S.; Picardal, F.; Bui, T.K.A.; Pham, Q.V.J. Schieber, Release of potassium accompanying the dissolution of rice straw phytolith. Chemosphere 2015, 119, 371–376. [Google Scholar] [CrossRef]
- Luyckx, M.; Hausman, J.F.; Lutts, S.; Guerriero, G. Silicon and plants: current knowledge and technological perspectives. Front. Plant Sci. 2017, 8. [Google Scholar] [CrossRef]
- Etesamia, H.; Jeong, B.R. Silicon (Si): Review and future prospects on the action mechanisms in alleviating biotic and abiotic stresses in plants. Ecotoxicol. Environ. Saf. 2018, 147, 881–896. [Google Scholar] [CrossRef]
- Gu, H.H.; Qiu, H.; Tian, T.; Zhan, S.S.; Deng, T.H.; Chaney, R.L.; Wang, S.Z.; Tang, Y.T.; Morel, J.L.; Qiu, R.L. Mitigation effects of silicon rich amendments on heavy metal accumulation in rice (Oryza sativa L.) planted on multi-metal contaminated acidic soil. Chemosphere 2011, 83, 1234–1240. [Google Scholar] [CrossRef] [PubMed]
- Horst, W.J.; Marschner, H. Effect of silicon on manganese tolerance of bean plants (Phaseolus vulgaris L.). Plant Soil 1978, 50, 287–303. [Google Scholar] [CrossRef]
- Williams, D.E.; Vlamis, J. The effect of silicon on yield and manganese-54 uptake and distribution in the leaves of barley plants grown in culture solutions. Plant Physiol. 1957, 32, 404–409. [Google Scholar] [CrossRef] [PubMed]
- Sonobe, K.; Hattori, T.; An, P.; Tsuji, W.; Eneji, A.E.; Kobayashi, S.; Kawamura, Y.; Tanaka, K.; Inanaga, S. Effect of silicon application on sorghum root responses to water stress. J. Plant Nutr. 2010, 34, 71–82. [Google Scholar] [CrossRef]
- Hattori, T.; Sonobe, K.; Araki, H.; Inanaga, S.; An, P.; Morita, S. Silicon application by sorghum through the alleviation of stress-induced increase in hydraulic resistance. J. Plant Nutr. 2008, 31, 1482–1495. [Google Scholar] [CrossRef]
- Reeves, R.D.; Baker, A.J.M. Metal-accumulating plants. In Phytoremediation of Toxic Metals: Using Plants to Clean-up the Environment; Raskin, I., Ensley, B.D., Eds.; John Wiley and Sons: New York, NY, USA, 2000; pp. 193–230. [Google Scholar]
- Kabata-Pendias, A.; Pendias, H. Trace Elements in Soils and Plants, 2nd ed.; CRC Press: Boca Raton, FL, USA, 1992. [Google Scholar]


| Treatments | Si | In | Ga | Ag | Tl | Cu | Zn | Cd | Pb |
|---|---|---|---|---|---|---|---|---|---|
| Root | |||||||||
| Initial | 12,700a | 0.022a | 0.791a | 0.387a | 0.191a | 17.0a | 57.9b | 1.30a | 3.94a |
| Final (0 mg Si L−1) | 12,800a | 1020c | 314b | 11.6b | 62.1c | 136b | 62.9c | 13.4b | 407b |
| Final (0.5 mg Si L−1) | 13,100a,b | 1030c | 348b | 19.3c | 39.3b | 138b | 44.2a | 14.3b | 419b |
| Final (1.0 mg Si L−1) | 13,800b | 1080c | 352b | 22.7c | 38.8b | 148b | 50.4a,b | 14.7b | 470c |
| Final (4.0 mg Si L−1) | 15,400c | 538b | 886c | 68.4d | 117d | 945c | 571d | 492c | 663d |
| Shoot | |||||||||
| Initial | 43,400a | 0.020a | 0.645a | 0.059a | 0.191a | 9.95a | 74.3b | 0.807a | 2.28a |
| Final (0 mg Si L−1) | 43,300a | 544c | 123b | 22.0c | 246c | 121b,c | 112c | 23.2c | 449b |
| Final (0.5 mg Si L−1) | 44,700b | 489c | 149b | 12.6b | 141b | 103b | 57.2a | 18.5b | 438b |
| Final (1.0 mg Si L−1) | 45,400c | 481c | 139b | 35.2d | 117b | 123c | 92.1b,c | 21.9c | 424b |
| Final (4.0 mg Si L−1) | 52,200d | 239b | 340c | 111e | 146b | 743d | 1010d | 849d | 937c |
| Heavy Metals | Initial Si Concentrations in Aqueous Solutions (mg L−1) | |||
|---|---|---|---|---|
| 0 | 0.5 | 1.0 | 4.0 | |
| Si | 3.39a | 3.40a | 3.29a | 3.39a |
| In | 0.54b | 0.48a | 0.45a | 0.44a |
| Ga | 0.39a | 0.38a | 0.40a | 0.38a |
| Ag | 1.90b | 0.79a | 1.55b | 1.62b |
| Tl | 3.96b | 2.85b | 3.01b | 1.25a |
| Cu | 0.89a | 0.75a | 0.83a | 0.79a |
| Zn | 1.77a | 1.67a | 1.83a | 1.77a |
| Cd | 1.73b | 1.30a | 1.49a,b | 1.73b |
| Pb | 1.11a | 0.92a | 0.90a | 1.41b |
| Heavy Metals | Initial Si Concentrations in Aqueous Solutions (mg L−1) | |||
|---|---|---|---|---|
| 0 | 0.5 | 1.0 | 4.0 | |
| In | 1560 b | 1520 b | 1560 b | 777 a |
| Ga | 437 a | 497 b | 491 b | 1230 c |
| Ag | 34 a | 32 a | 58 b | 179 c |
| Tl | 308 b | 181 a | 156 a | 264 b |
| Cu | 257 a,b | 241 a | 271 b | 1690 c |
| Zn | 174 c | 101 a | 142 b | 1580 d |
| Cd | 37 b | 33 a | 37 b | 1340 c |
| Pb | 856 a | 857 a | 894 a | 1600 b |
© 2019 by the authors. Licensee MDPI, Basel, Switzerland. This article is an open access article distributed under the terms and conditions of the Creative Commons Attribution (CC BY) license (http://creativecommons.org/licenses/by/4.0/).
Share and Cite
Nguyen, H.T.H.; Sakakibara, M.; Nguyen, M.N.; Mai, N.T.; Nguyen, V.T. Effect of Dissolved Silicon on the Removal of Heavy Metals from Aqueous Solution by Aquatic Macrophyte Eleocharis acicularis. Water 2019, 11, 940. https://doi.org/10.3390/w11050940
Nguyen HTH, Sakakibara M, Nguyen MN, Mai NT, Nguyen VT. Effect of Dissolved Silicon on the Removal of Heavy Metals from Aqueous Solution by Aquatic Macrophyte Eleocharis acicularis. Water. 2019; 11(5):940. https://doi.org/10.3390/w11050940
Chicago/Turabian StyleNguyen, Ha T.H., Masayuki Sakakibara, Minh N. Nguyen, Nhuan T. Mai, and Vinh T. Nguyen. 2019. "Effect of Dissolved Silicon on the Removal of Heavy Metals from Aqueous Solution by Aquatic Macrophyte Eleocharis acicularis" Water 11, no. 5: 940. https://doi.org/10.3390/w11050940
APA StyleNguyen, H. T. H., Sakakibara, M., Nguyen, M. N., Mai, N. T., & Nguyen, V. T. (2019). Effect of Dissolved Silicon on the Removal of Heavy Metals from Aqueous Solution by Aquatic Macrophyte Eleocharis acicularis. Water, 11(5), 940. https://doi.org/10.3390/w11050940

