Investigation of Low- and High-Flow Characteristics of Karst Catchments under Climate Change
Abstract
:1. Introduction
2. Materials and Methods
2.1. Ljubljanica River Catchment and Data Used
2.2. Hydrological Model
2.3. Climate Change Models
2.4. Low-Flow Indices
2.5. Flood Frequency Analysis
3. Results and Discussion
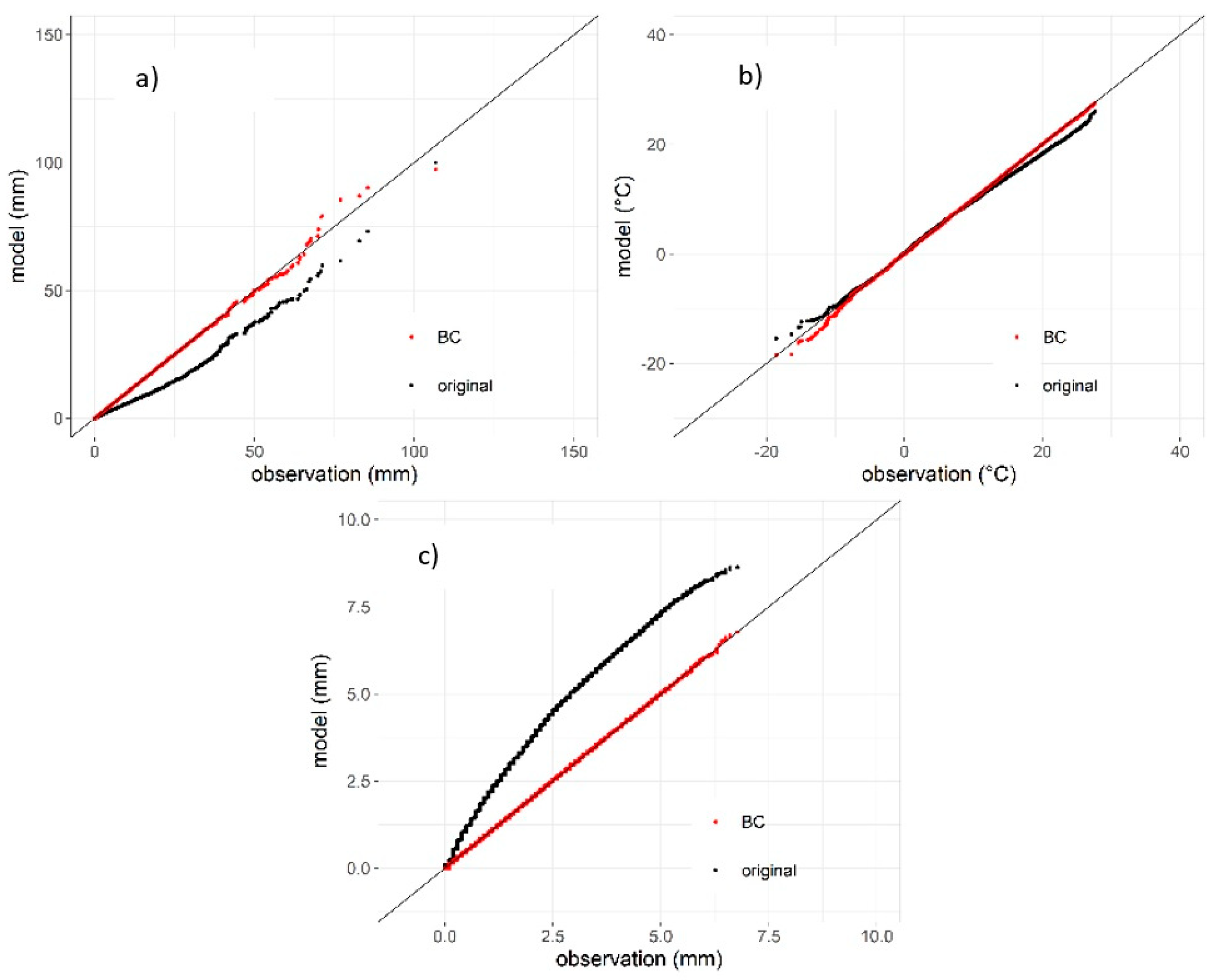
3.1. Model Calibration
3.2. Climate Change Models
3.2.1. Ljubljanica River (Vrhnika station)
3.2.2. Nanoščica River (Mali Otok Station)
4. Conclusions
- A summer precipitation decrease (i.e., 2011–2040 and 2041–2070) could result in lower summer discharge values, which is in our analysis confirmed with the investigation of the MAM7, MAM30, and Q95 indices. This could mean that the vulnerability of karst rivers will increase in the future, which could, for example, impact groundwater availability in this area or ecosystem services that a stream channel can provide. Therefore, special emphasis should be given to the water resource management in karst areas in the future due to the potential climate change impact. This applies for both the small and large catchments that were investigated in this study.
- Investigation of the seasonality characteristics indicates that a slightly changed low-flow seasonal pattern. However, the strength of seasonality is not expected to either significantly decrease or increase.
- Q50 and Qmean could increase in the future, which means that the magnitude of extreme events could also increase since the low flows are expected to decrease. This was also confirmed with the FFA results for both investigated case studies. Similarly, as in other EU countries, climate change adjustment factors should be used in engineering practice when designing different hydro-technical structures, such as dams or levees, taking into account climate change impacts. This conclusion is valid for small and large catchments with no clear and significant difference between two investigated cases.
- Related to the use of different climate models and projections, there is an inevitable high uncertainty in the climate change projections. Consequently, there is huge variability among the five investigated climate models for the RCP4.5 scenario for both high and low-flows. Despite the fact that the above mentioned conclusions were drawn based on the median value of five models, there is undoubtedly still a high uncertainty present and future situations could be different than the calculated situation based on the median value. Thus, further investigation is needed in order to investigate the future climate situation and its impact on the hydrological conditions in karst areas.
Author Contributions
Funding
Acknowledgments
Conflicts of Interest
References
- Blöschl, G.; Hall, J.; Parajka, J.; Perdigão, R.A.; Merz, B.; Arheimer, B.; Aronica, G.T.; Bilibashi, A.; Bonacci, O.; Borga, M.; et al. Changing climate shifts timing of European floods. Science 2017, 357, 588–590. [Google Scholar] [CrossRef]
- Bonacci, O. Karst hydrogeology/hydrology of dinaric chain and isles. Environ. Earth Sci. 2015, 74, 37–55. [Google Scholar] [CrossRef]
- Bezak, N.; Brilly, M.; Šraj, M. Flood frequency analyses, statistical trends and seasonality analyses of discharge data: A case study of the Litija station on the Sava River. J. Flood Risk Manag. 2016, 9, 154–168. [Google Scholar] [CrossRef]
- Bormann, H.; Pinter, N.; Elfert, S. Hydrological signatures of flood trends on German rivers: Flood frequencies, flood heights and specific stages. J. Hydrol. 2011, 404, 50–66. [Google Scholar] [CrossRef]
- Madsen, H.; Lawrence, D.; Lang, M.; Martinkova, M.; Kjeldsen, T.R. Review of trend analysis and climate change projections of extreme precipitation and floods in Europe. J. Hydrol. 2014, 519, 3635–3650. [Google Scholar] [CrossRef]
- Šraj, M.; Menih, M.; Bezak, N. Climate variability impact assessment on the flood risk in Slovenia. Phys. Geogr. 2016, 37, 73–87. [Google Scholar] [CrossRef]
- Villarini, G.; Smith, J.A.; Serinaldi, F.; Ntelekos, A.A.; Schwarz, U. Analyses of extreme flooding in Austria over the period 1951–2006. Int. J. Climatol. 2012, 32, 1178–1192. [Google Scholar] [CrossRef]
- Hall, J.; Arheimer, B.; Borga, M.; Brázdil, R.; Claps, P.; Kiss, A.; Kjeldsen, T.R.; Kriaučiūnienė, J.; Kundzewicz, Z.W.; Lang, M.; et al. Understanding flood regime changes in Europe: A state-of-the-art assessment. Hydrol. Earth Syst. Sci. 2014, 18, 2735–2772. [Google Scholar] [CrossRef]
- Do, H.; Westra, S.; Leonard, M. A global-scale investigation of trends in annual maximum streamflow. J. Hydrol. 2017, 552, 28–43. [Google Scholar] [CrossRef]
- Nakićenović, N.; Alcamo, J.; Davis, G.; de Vries, B.; Fenhann, J.; Gaffin, S.; Gregory, K.; Grübler, A.; Jung, T.Y.; Kram, T.; et al. IPCC Special Report on Emissions Scenarios; Cambridge University Press: Cambridge, UK; New York, NY, USA, 2000; 599p. [Google Scholar]
- Meinshausen, M.; Smith, S.J.; Calvin, K.V.; Daniel, J.S.; Kainuma, M.; Lamarque, J.F.; Matsumoto, K.; Montzka, K.A.; Raper, S.C.B.; Riahi, K.; et al. The RCP greenhouse gas concentrations and their extension from 1765 to 2300. Clim. Chang. 2011, 109, 213–241. [Google Scholar] [CrossRef]
- Arnell, N.W.; Gosling, S.N. The impacts of climate change on river flood risk at the global scale. Clim. Chang. 2016, 134, 387–401. [Google Scholar] [CrossRef]
- Dankers, R.; Feyen, L. Flood hazard in Europe in an ensemble of regional climate scenarios. J. Geophys. Res. Atmos. 2009, 114, D16108. [Google Scholar] [CrossRef]
- Feyen, L.; Dankers, R.; Bodis, K.; Salamon, P.; Barredo, J.I. Fluvial flood risk in Europe in present and future climates. Clim. Chang. 2012, 112, 47–62. [Google Scholar] [CrossRef]
- Hirabayashi, Y.; Mahendran, R.; Koirala, S.; Konoshima, L.; Yamazaki, D.; Watanabe, S.; Kim, H.; Kanae, S. Global flood risk under climate change. Nat. Clim. Chang. 2013, 3, 816–821. [Google Scholar] [CrossRef]
- Maurer, E.P.; Kayser, G.; Doyle, L.; Wood, A.W. Adjusting Flood Peak Frequency Changes to Account for Climate Change Impacts in the Western United States. J. Water Resour. Plan. Manag. 2018, 144, 05017025. [Google Scholar] [CrossRef]
- Arnell, N.W.; Gosling, S.N. The impacts of climate change on river flow regimes at the global scale. J. Hydrol. 2013, 486, 351–364. [Google Scholar] [CrossRef]
- Yan, D.; Werners, S.E.; Ludwig, F.; Huang, H.Q. Hydrological response to climate change: The Pearl River, China under different RCP scenarios. J. Hydrol. Reg. Stud. 2015, 4, 228–245. [Google Scholar] [CrossRef]
- Bonacci, O. Karst hydrology and water resources—Past, present and future. In Water for the Future: Hydrology in Perspective, Proceedings of the Rome Symposium, Rome, Italy, 27–29 April 1987; IAHS Publication: Wallingford, UK, 1987; pp. 205–213. [Google Scholar]
- Ford, D.C.; Williams, P.W. Karst Hydrogeology and Geomorphology; Wiley: Chichester, UK, 2007. [Google Scholar]
- Hartmann, A.; Goldscheider, N.; Wagener, T.; Lange, J.; Weiler, M. Karst water resources in a changing world: Review of hydrological modelling approach. Rev. Geophys. 2014, 52, 218–242. [Google Scholar] [CrossRef]
- Pellicer-Martínez, F.; Martínez-Paz, J.M. Climate change effects on the hydrology of the headwaters of the Tagus River: Implications for the management of the Tagus-Segura transfer. Hydrol. Earth Syst. Sci. 2018, 22, 6473–6491. [Google Scholar] [CrossRef]
- Cooperation in Science and Technology (COST). COST 65: Hydrogeological Aspects of Groundwater Protection in Karstic Areas; Final Report (COST Action 65) Rep.; COST: Brussels, Belgium, 1995; 446p. [Google Scholar]
- Bezak, N.; Brilly, M.; Šraj, M. Comparison between the peaks-over-threshold method and the annual maximum method for flood frequency analysis. Hydrol. Sci. J. 2014, 59, 959–977. [Google Scholar] [CrossRef]
- Lang, M.; Ouarda, T.B.M.J.; Bobee, B. Towards operational guidelines for over-threshold modelling. J. Hydrol. 1999, 225, 103–117. [Google Scholar] [CrossRef]
- Karmakar, S.; Simonovic, S.P. Bivariate flood frequency analysis: Part 1. Determination of marginals by parametric and nonparametric techniques. J. Flood Risk Manag. 2008, 1, 190–200. [Google Scholar] [CrossRef]
- Defra. Flood and Coastal Defence Appraisal Guidance (FCDPAG3), Economic Appraisal Supplementary Note to Operating Authorities—Climate Change Impacts; Department for Environment, Food and Rural Affairs: London, UK, 2006; 9p. [Google Scholar]
- Boukhris, O.; Willems, P. Climate change impact on hydrological extremes along rivers in Belgium. In Risk Management: Research and Practice, Proceedings of FloodRisk 2008 Conference, Oxford, UK, 30 September–2 October 2008; Samuels, P., Huntington, S., Allsop, W., Harrop, J., Eds.; Flood Taylor & Francis Group: London, UK, 2008; pp. 1083–1091. [Google Scholar]
- World Meteorological Organization (WMO). Manual of Low-flow Estimation and Prediction; Operational Hydrology Report No. 50. (WMO-No. 1029); WMO: Geneva, Switzerland, 2009; 136p. [Google Scholar]
- Laaha, G.; Blöschl, G. Seasonality indices for regionalizing low flows. Hydrol. Process. 2006, 20, 3851–3878. [Google Scholar] [CrossRef]
- Kovačič, G.; Ravbar, N. Characterisation of selected karst springs in Slovenia by means of a time series analysis. In Karst without Boundaries; Stevanović, Z., Krešič, N., Kukurić, N., Eds.; CRC Press: Boca Raton, FL, USA, 2016. [Google Scholar]
- Ravbar, N.; Barberá, J.A.; Petric, M.; Kogovsek, J.; Andreo, B. The study of hydrodynamic behaviour of a complex karst system under low-flow conditions using natural and artificial tracers (the catchment of the Unica River, SW Slovenia). Environ. Earth Sci. 2012, 65, 2259–2272. [Google Scholar] [CrossRef]
- Maček, U.; Bezak, N.; Šraj, M. Reference evapotranspiration changes in Slovenia, Europe. Agric. For. Meteorol. 2018, 260–261, 183–192. [Google Scholar] [CrossRef]
- Habič, P.; Kos, V. Reference Karst. In The Encyclopedia of Slovenia; Mladinska Knjiga: Ljubljana, Slovenia, 1987. [Google Scholar]
- Perrin, C.; Michel, C.; Andreassian, V. Improvement of a parsimonious model for streamflow simulation. J. Hydrol. 2003, 279, 275–289. [Google Scholar] [CrossRef]
- Pushpalatha, R.; Perrin, C.; Le Moine, N.; Mathevet, T.; Andreassian, V. A downward structural sensitivity analysis of hydrological models to improve low-flow simulation. J. Hydrol. 2011, 411, 66–76. [Google Scholar] [CrossRef]
- Valery, A.; Andreassian, V.; Perrin, C. As simple as possible but not simpler: What is useful in a temperature-based snow-accounting routine? Part 1—Comparison of six snow accounting routines on 380 catchments. J. Hydrol. 2014, 517, 1166–1175. [Google Scholar] [CrossRef]
- Valery, A.; Andreassian, V.; Perrin, C. As simple as possible but not simpler: What is useful in a temperature-based snow-accounting routine? Part 2—Sensitivity analysis of the cemaneige snow accounting routine on 380 catchments. J. Hydrol. 2014, 517, 1176–1187. [Google Scholar] [CrossRef]
- Coron, L.; Perrin, C.; Michel, C. airGR: Suite of GR Hydrological Models for Precipitation-Runoff Modelling. R Package Version 1.0.9.64. 2017. Available online: https://webgr.irstea.fr/en/airGR/ (accessed on 17 April 2019).
- Coron, L.; Thirel, G.; Delaigue, O.; Perrin, C.; Andreassian, V. The suite of lumped gr hydrological models in an R package. Environ. Model. Softw. 2017, 94, 166–171. [Google Scholar] [CrossRef]
- Sezen, C.; Bezak, N.; Šraj, M. Hydrological modelling of the karst Ljubljanica River catchment using lumped conceptual model. Acta Hydrotech. 2018, 31, 87–100. [Google Scholar] [CrossRef]
- Krysanova, V.; Donnelly, C.; Gelfan, A.; Gerten, D.; Arheimer, B.; Hattermann, F.; Kundzewicz, Z.W. How the performance of hydrological models relates to credibility of projections under climate change. Hydrol. Sci. J. 2018, 63, 696–720. [Google Scholar] [CrossRef]
- Michel, C. Hydrologie appliquée aux petits bassins ruraux. In Hydrology Handbook; Cemagref: Antony, France, 1991. (In French) [Google Scholar]
- Nash, J.E.; Sutcliffe, J.V. River flow forecasting through conceptual models part I—A discussion of principles. J. Hydrol. 1970, 10, 282–290. [Google Scholar] [CrossRef]
- Bertalanič, R.; Dolinar, M.; Draksler, A.; Honzak, L.; Kobold, M.; Kozjek, K.; Lokošek, N.; Medved, A.; Vertačnik, G.; Vlahovič, Ž.; et al. Assessment of Climate Change in Slovenia Until the End of the 21st Century. Synthesis Report, Part 1; Slovenian Environment Agency: Ljubljana, Slovenia, 2018; 156p, (In Slovenian). Available online: http://www.meteo.si/uploads/probase/www/climate/text/sl/publications/OPS21_Porocilo.pdf (accessed on 17 April 2019).
- Benestad, R.; Haensler, A.; Hennemuth, B.; Illy, T.; Jacob, D.; Keup-Thiel, E.; Kotlarski, S.; Nikulin, G.; Otto, J.; Rechid, D.; et al. Guidance for EURO-CORDEX Climate Projections Data Use. 2018. Available online: https://www.euro-cordex.net/imperia/md/content/csc/cordex/euro-cordex-guidelines-version1.0-2017.08.pdf (accessed on 17 April 2019).
- Gudmundsson, L. Package “qmap”. 2016. Available online: https://cran.r-project.org/web/packages/qmap/qmap.pdf (accessed on 17 April 2019).
- Gudmundsson, L.; Bremnes, J.; Haugen, J.; Engen-Skaugen, T. Technical Note: Downscaling RCM precipitation to the station scale using statistical transformations—A comparison of methods. Hydrol. Earth Syst. Sci. 2012, 8, 3383–3390. [Google Scholar] [CrossRef]
- Cannon, A.J. Package “MBC”. 2018. Available online: https://cran.r-project.org/web/packages/MBC/MBC.pdf (accessed on 17 April 2019).
- ARSO. Assessment of Climate Change in Slovenia Until the End of the 21st Century; Slovenian Environment Agency: Ljubljana, Slovenia, 2017; (In Slovenian). Available online: http://meteo.arso.gov.si/uploads/probase/www/climate/text/sl/publications/povzetek-podnebnih-sprememb-temp-pad.pdf (accessed on 17 April 2019).
- Dolšak, D.; Bezak, N.; Šraj, M. Temporal characteristics of rainfall events under three climate types in Slovenia. J. Hydrol. 2016, 541, 1395–1405. [Google Scholar] [CrossRef]
- Smakhtin, V.U. Low flow hydrology—A review. J. Hydrol. 2001, 240, 147–186. [Google Scholar] [CrossRef]
- Koffler, D.; Gauster, T.; Laaha, G. lfstat: Calculation of Low Flow Statistics for Daily Stream Flow Data. R Package Version 0.9.4. 2016. Available online: https://CRAN.R-project.org/package=lfstat (accessed on 17 April 2019).
- R Core Team. R: A Language and Environment for Statistical Computing; R Foundation for Statistical Computing: Vienna, Austria, 2018; Available online: https://www.R-project.org/ (accessed on 17 April 2019).
- Burn, D.H. Catchment similarity for regional flood frequency analysis using seasonality measures. J. Hydrol. 1997, 202, 212–230. [Google Scholar] [CrossRef]
- Petek, M.; Kobold, M.; Šraj, M. Low-flow analysis of streamflows in Slovenia using R software and lfstat package. Acta Hydrotech. 2014, 27, 13–28. [Google Scholar]
- Gustard, A.; Bullock, A.; Dixon, J.M. Low Flow Estimation in the United Kingdom; IH Report No.108; Institute of Hydrology: Wallingford, UK, 1992; 88p. [Google Scholar]
- Bat, M.; Dolinar, M.; Frantar, P.; Hrvatin, M.; Kobold, M.; Kurnik, B.; Nadbath, M.; Ožura, V.; Uhan, J.; Ulaga, F. Water Balance of Slovenia 1971–2000; Slovenian Environment Agency: Ljubljana, Slovenia, 2008; 119p. [Google Scholar]
- Bormann, H.; Pinter, N. Trends in low flows of German rivers since 1950: Comparability of different low-flow indicators and their spatial patterns. River Res. Appl. 2017, 33, 1191–1204. [Google Scholar] [CrossRef]
- Hosking, J.R.M.; Wallis, J.R. Regional Frequency Analysis: An Approach Based on L-Moments; Cambridge University Press: Cambridge, UK, 2005; 224p. [Google Scholar]
- Salinas, J.L.; Castellarin, A.; Viglione, A.; Kohnová, S.; Kjeldsen, T.R. Regional parent flood frequency distributions in Europe—Part 1: Is the GEV model suitable as a pan-European parent? Hydrol. Earth Syst. Sci. 2014, 18, 4381–4389. [Google Scholar] [CrossRef]
- Maidment, D. Handbook of Hydrology; McGrow-Hill: New York, NY, USA, 1993; 1424p. [Google Scholar]
- Moriasi, D.N.; Arnold, J.G.; Van Liew, M.W.; Binger, R.L.; Harmel, R.D.; Veith, T. Model evaluation guidelines for systematic quantification of accuracy in watershed simulations. Trans. ASABE 2007, 50, 885–900. [Google Scholar] [CrossRef]
- Van Esse, W.R.; Perrin, C.; Booij, M.J.; Augustijn, D.C.M.; Fenecia, F.; Kavetski, D.; Lobligeois, F. The influence of conceptual model structure on model performance: A comparative study for 237 French catchments. Hydrol. Earth Syst. Sci. 2013, 17, 4227–4239. [Google Scholar] [CrossRef]
- Parajka, J.; Blaschke, A.P.; Blöschl, G.; Haslinger, K.; Hepp, G.; Laaha, G.; Schöner, W.; Trautvetter, H.; Viglione, A.; Zessner, M. Uncertainty contributions to low-flow projections in Austria. Hydrol. Earth Syst. Sci. 2016, 20, 2085–2101. [Google Scholar] [CrossRef]
- Blöschl, G.; Ardoin-Bardin, S.; Bonell, M.; Dorninger, M.; Goodrich, D.; Gutknecht, D.; Matamoros, D.; Shand, P.; Szolgay, J. At what scales do climate variability and land cover change impact on flooding and low flows? Hydrol. Process. 2007, 21, 1241–1247. [Google Scholar] [CrossRef]








| Gauging Station | Vrhnika | Mali Otok |
|---|---|---|
| River | Ljubljanica | Nanoščica |
| Catchment area (km2) | 1135 | 51 |
| Mean catchment elevation (m) | 715 | 579 |
| Karst type (defined by [34]) | Mostly dinaric karst | Mostly impermeable surface with underground through the karst edge |
| Calibration period | 1981–2010 | 2000–2010 |
| Q minimum (m3/s) | 1.0 | 0 |
| Q mean (m3/s) | 22.8 | 1.4 |
| Q maximum (m3/s) | 120.5 | 22.3 |
| Q standard deviation (m3/s) | 23.5 | 2.7 |
| Station Name | Elevation (m.a.s.l.) | Latitude | Longitude | Mean Annual Precipitation (mm) |
|---|---|---|---|---|
| Rovte | 700 | 45.9861 | 14.1734 | 1854 |
| Hotedrščica | 550 | 45.9314 | 14.1389 | 1834 |
| Logatec | 485 | 45.9077 | 14.2032 | 1782 |
| Pokojišče | 716 | 45.8915 | 14.3536 | 1480 |
| Nova vas | 720 | 45.7731 | 14.5094 | 1505 |
| Cerknica | 576 | 45.7956 | 14.3636 | 1627 |
| Postojna | 533 | 45.7661 | 14.1932 | 1542 |
| Hrušica | 872 | 45.8639 | 14.1120 | 1885 |
| Razdrto | 577 | 45.7564 | 14.0623 | 1528 |
| Hrib | 827 | 45.7038 | 14.5927 | 1426 |
| Juršče | 703 | 45.6656 | 14.2950 | 1488 |
© 2019 by the authors. Licensee MDPI, Basel, Switzerland. This article is an open access article distributed under the terms and conditions of the Creative Commons Attribution (CC BY) license (http://creativecommons.org/licenses/by/4.0/).
Share and Cite
Sapač, K.; Medved, A.; Rusjan, S.; Bezak, N. Investigation of Low- and High-Flow Characteristics of Karst Catchments under Climate Change. Water 2019, 11, 925. https://doi.org/10.3390/w11050925
Sapač K, Medved A, Rusjan S, Bezak N. Investigation of Low- and High-Flow Characteristics of Karst Catchments under Climate Change. Water. 2019; 11(5):925. https://doi.org/10.3390/w11050925
Chicago/Turabian StyleSapač, Klaudija, Anže Medved, Simon Rusjan, and Nejc Bezak. 2019. "Investigation of Low- and High-Flow Characteristics of Karst Catchments under Climate Change" Water 11, no. 5: 925. https://doi.org/10.3390/w11050925
APA StyleSapač, K., Medved, A., Rusjan, S., & Bezak, N. (2019). Investigation of Low- and High-Flow Characteristics of Karst Catchments under Climate Change. Water, 11(5), 925. https://doi.org/10.3390/w11050925

