Scarcity of Drinking Water in Taihu Lake Basin, China: A Case Study of Yixing City
Abstract
:1. Introduction
1.1. Climate-Related Water Scarcity
1.2. Quality-Related Water Scarcity
2. Methods and Data
3. Conflict between Water Demand and Available Drinking Water in Taihu Lake Basin
4. A Case Study in Yixing City, Taihu Lake Basin
4.1. Drought Event in 2011
4.2. Coping Measures
5. Conclusions
- Optimal regulation on water resource under the joint operation of both water quantity and quality. In water-rich regions where have plenty water, the optimal regulation on water resource should be based on the water quantity for reasonable demand of the local water users and the water quality to ensure the water supply security. It is an economic and efficient method to alleviate the shortage of drinking water and protect the water environment.
- Strict protection on the current water source area, such as controlling pollution emitted into water considering water environmental capacity and the quality standard of water function zone, use of the remote monitor and control system in water resources management, enforcing laws and regulations for water protection.
- Promoting water purification technology and advocating water recycling.
- Seeking new drinking water sources with good quality water.
Author Contributions
Funding
Acknowledgments
Conflicts of Interest
References
- Tao, T.; Xin, K. Public health: A sustainable plan for China’s drinking water. Nat. Comment 2014, 511, 527–528. [Google Scholar] [CrossRef] [PubMed]
- WWAP (United Nations World Water Assessment Programme. The United Nations World Water Development Report 2017: Wastewater, The Untapped Resource; United Nations Educational, Scientific and Cultural Organization (UNESCO): Paris, France, 2017. [Google Scholar]
- Vorosmarty, C.J.; McIntyre, P.B.; Gessner, M.O.; Dudgeon, D.; Prusevich, A.; Green, P.; Glidden, S.; Bunn, S.E.; Sullivan, C.A.; Liermann, C.R.; et al. Global threats to human water security and river biodiversity. Nature 2010, 467, 555–561. [Google Scholar] [CrossRef] [PubMed]
- Water Resource Institute. 2016. Available online: https://www.wri.org/our-work/topics/water (accessed on 8 November 2017).
- Organisation for Economic Cooperation and Development (OECD). OECD Environmental Outlook to 2050-The Consequences of Inaction; OECD Publishing: Paris, France, 2012. [Google Scholar] [CrossRef]
- Rijsberman, F.R. Water scarcity: Fact or fiction? Agric. Water Manag. 2006, 80, 5–22. [Google Scholar] [CrossRef]
- Safriel, U.; Adeel, Z.; Niemeijer, D.; Puigdefabregas, J.; White, R.; Lal, R.; Winslow, M.; Ziedler, J.; Prince, S.; Archer, E.; et al. Dryland Systems. Millennium Ecosystem Assessment: Ecosystems and Human Well-Being: Current State and Trends; Hassan, R.M., Scholes, R., Ash, N., Eds.; Island Press: Washington, DC, USA, 2005; Volume 1, pp. 623–662. [Google Scholar]
- WWDR3. Water in a Changing World. World Water Development Report. 2009. Available online: http://www.unesco.org/new/en/natural-sciences/environment/water/wwap/wwdr/wwdr3-2009/ (accessed on 8 November 2017).
- Wallace, J.S. Increasing agricultural water efficiency to meet future food production. Agric. Ecosyst. Environ. 2000, 82, 105–119. [Google Scholar] [CrossRef]
- Arenas-Sanchez, A.; Rico, A.; Vighi, M. Effects of water scarcity and chemical pollution in aquatic ecosystems: State of the art. Sci. Total Environ. 2016, 572, 390–403. [Google Scholar] [CrossRef] [PubMed]
- Molinos-Senante, M.; Donoso, G. Water scarcity and affordability in urbanwater pricing: A case study of Chile. Util. Policy 2016, 43, 107–116. [Google Scholar] [CrossRef]
- European Union. Water Scarcity and Drought in the European Union. 2010. Available online: http://ec.europa.eu/environment/water/quantity/pdf/brochure.pdf (accessed on 8 November 2017).
- MMA (Ministerio de Medio Ambiente. Informe Evaluación Preliminar General de los Impactos en España por Efectos del Cambio Climático; Ministerio de Medio Ambiente: Madrid, Spain, 2005.
- Kahil, M.T.; Dinar, A.; Albiac, J. Cooperative water management and ecosystem protection under scarcity and drought in arid and semiarid regions. Water Resour. Econ. 2016, 13, 60–74. [Google Scholar] [CrossRef]
- DeNicola, E.; Aburizaiza, O.S.; Siddique, A.; Khwaja, H.; Carpenter, D.O. Climate Change and Water Scarcity: The Case of Saudi Arabia. Ann. Glob. Health 2015, 81, 342–353. [Google Scholar] [CrossRef] [PubMed]
- Hadadin, N.; Qaqish, M.; Akawwi, E.; Bdour, A. Water shortage in Jordan-Sustainable solutions. Desalination 2010, 250, 197–202. [Google Scholar] [CrossRef]
- Li, S.T. Urban Water Pollution Issues. China Youth, 2006. Available online: http://news.xinhuanet.com/environment/2006-09/13/content_5084123.htm (accessed on 8 November 2017).
- MWR (Ministry of Water Resources P.R. China). The 11th Five-Year Plan of National Water Resources Development; Gazette of the Ministry of Water Resources of the P.R. China: Beijing, China, 2007; pp. 34–48.
- Jiang, Y. China’s water security: Current status, emerging challenges and future prospects. Environ. Sci. Policy 2015, 54, 106–125. [Google Scholar] [CrossRef]
- Pradhan, N.S.; Su, Y.; Fu, Y.; Zhang, L.; Yang, Y. Analyzing the Effectiveness of Policy Implementation at the Local Level: A Case Study of Management of the 2009–2010 Drought in Yunnan Province. China. Int. J. Disaster Risk Sci. 2017, 8, 64–77. [Google Scholar] [CrossRef]
- Ludwig, R.; Roson, R.; Zografos, C.; Kallis, G. Towards an inter-disciplinary research agenda on climate change, water and security in Southern Europe and neighboring countries. Environ. Sci. Policy 2011, 14, 794–803. [Google Scholar] [CrossRef]
- Sjerps, R.M.A.; Laak, T.L.; Zwolsman, G.J.J.G. Projected impact of climate change and chemical emissions on the water quality of the European rivers Rhine and Meuse: A drinking water perspective. Sci. Total Environ. 2017, 601–602, 1682–1694. [Google Scholar] [CrossRef] [PubMed]
- RIWA-Meuse. The Quality of Meuse Water in 2015; Association of River Water Companies: Rotterdam, Netherlands, 2016. [Google Scholar]
- European Environment Agency (EEA). Chemical Status of Rivers and Lakes; EEA: Copenhagen, Denmark, 2012. [Google Scholar]
- Internationale Arbeitsgemeinschaft der Wasserwerke im Rheineinzugsgebiet (IAWR). Memorandum Regarding the Protection of European Rivers and Watercourses in Order to Protect the Provision of Drinking Water; IAWR: Karlsruhe, Germany, 2013; p. 28. [Google Scholar]
- Rahman, M.T.U.; Rasheduzzaman, M.; Habib, M.A.; Ahmed, A.; Tareq, S.M.; Muniruzzaman, S.M. Assessment of fresh water security in coastal Bangladesh: An insight from salinity, community perception and adaptation. Ocean Coast. Manag. 2016, 137, 68–81. [Google Scholar] [CrossRef]
- Abedin, M.A.; Shaw, R. Constraints and coping measures of coastal community toward safe drinking water scarcity in Southwestern Bangladesh. In Science and Technology in Disaster Risk Reduction in Asia, Potentials and Challenges; Elsevier: Amsterdam, The Netherlands, 2018; pp. 431–452. [Google Scholar]
- Hoque, R.M. Access to Safe Drinking Water in Rural Bangladesh: Water Governance by DPHE; Institute of Governance Studies, BRAC University: Dhaka, Bangladesh, 2009. [Google Scholar]
- Environmental Quality Standard for Surface Water, GB3838-2002; Ministry of Environmental Protection of the People’s Republic of China: Beijing, China, 2002. (In Chinese)
- MWR (Ministry of Water Resources P.R. China). Bulletin of Water Resource in China 2015; Ministry of Water Resources: Beijing, China, 2015.
- Gao, J.; Christensen, P.; Li, W. Application of the WEAP model in strategic environmental assessment: Experiences from a case study in an arid/semi-arid area in China. J. Environ. Manag. 2017, 198, 363–371. [Google Scholar] [CrossRef] [PubMed]
- Yue, W.; Liu, X.; Wang, T.; Chen, X. Impacts of water saving on groundwater balance in a large-scale arid irrigation district, Northwest China. Irrig. Sci. 2016, 34, 297–312. [Google Scholar] [CrossRef]
- Zhang, J.; Ding, Z.; Luo, M. Risk analysis of water scarcity in artificial woodlands of semi-arid andarid China. Land Use Policy 2017, 63, 324–330. [Google Scholar] [CrossRef]
- Zhang, J.; Yang, J.; An, P.; Ren, W.; Pan, Z.; Dong, Z.; Han, G.; Pan, Y.; Pan, S.; Tian, H. Enhancing soil drought induced by climate change and agricultural practices: Observational and experimental evidence from the semiarid area of northern China. Agric. For. Meteorol. 2017, 243, 74–83. [Google Scholar] [CrossRef]
- Qin, B.; Zhu, G.; Gao, G.; Zhang, Y.; Li, W.; Paerl, H.W.; Carmichael, W.W. A Drinking Water Crisis in Lake Taihu, China: Linkage to Climatic Variability and Lake Management. Environ. Manag. 2010, 45, 105–112. [Google Scholar] [CrossRef] [PubMed]
- Taihu Lake Basin WATER Resources Protection Bureau. Taihu Lake Basin and Southeast Rivers Water Quality Bulletin; Taihu Lake Basin WATER Resources Protection Bureau: Shanghai, China, 2007; pp. 2011–2015.
- Oki, T.; Kanae, S. Global hydrological cycles and world water resources. Science 2006, 313, 1068–1072. [Google Scholar] [CrossRef] [PubMed]
- McKee, T.B.; Doesken, N.J.; Kliest, J. The relationship of drought frequency and duration to time scales. In Proceedings of the 8th Conference of Applied Climatology, Anaheim, CA, USA, 17–22 January 1993; American Meteorological Society: Boston, MA, USA, 1993; pp. 179–184. [Google Scholar]
- He, J.; Yang, X.; Li, Z.; Zhang, X.; Tang, Q. Spatiotemporal Variations of Meteorological Droughts in China During 1961–2014: An Investigation Based on Multi-Threshold Identification. Int. J. Disaster Risk Sci. 2016, 7, 63–76. [Google Scholar] [CrossRef]
- Kharraz, J.E.; El-Sadek, A.; Ghaffour, N.; Mino, E. Water scarcity and drought in WANA countries. Procedia Eng. 2012, 33, 14–29. [Google Scholar] [CrossRef]
- Koudahe, K.; Kayode, A.J.; Samson, A.O.; Adebola, A.A.; Djaman, K. Trend Analysis in Standardized Precipitation Index and Standardized Anomaly Index in the Context of Climate Change in Southern Togo. Atmos. Clim. Sci. 2017, 7, 401–423. [Google Scholar] [CrossRef]
- Opiyo, F.; Wasonga, O.; Nyangito, M.; Schilling, J.; Munang, R. Drought Adaptation and Coping Strategies Among the Turkana Pastoralists of Northern Kenya. Int. J. Disaster Risk Sci. 2015, 6, 295–309. [Google Scholar] [CrossRef]
- Deng, X.; Xu, Y.; Han, L.; Yang, M.; Yang, L.; Song, S.; Li, G.; Wang, Y. Spatial-temporal evolution of the distribution pattern of river systems in the plain river network region of the Taihu Basin, China. Q. Int. 2016, 392, 178–186. [Google Scholar] [CrossRef]
- Bureau of Taihu Lake Basin. Taihu Lake Basin and Southeast Rivers Water Resource Bulletin; Bureau of Taihu Lake Basin: Shanghai, China, 2003–2016.
- Jin, K.; Zhang, X.; Liang, Z.; You, Z. Influence of water division from the Yangtze River on the relief of drought event in Taihu Lake Basin. China Flood Drought Manag. 2014, 24, 20–23. (In Chinese) [Google Scholar]
- Geng, Y.; Zhu, W.; Wang, T. Water Quality Assessment and Shortage Analysis Caused by Pollution in the Taihu Basin. J. Lake Sci. 2003, 15, 255–260. (In Chinese) [Google Scholar]
- Wang, C. Shortage of Clean Water in Shanghai and the Main Cause. Special Topic Report. 2012. Available online: http://www.doc88.com/p-9052357077446.html (accessed on 4 December 2017). (In Chinese).
- Zhu, W. Water Scarcity Caused by Pollution in the Taihu Basin. J. Lake Sci. 2003, 5, 133–138. (In Chinese) [Google Scholar]
- Zhu, W.; Geng, Y. Problems, configuration, and protection countermeasures in the development and use of water resource in the Taihu Basin. In Proceedings of the Advanced Forum about the Taihu Basin, Shanghai, China, December 2004; pp. 151–155. (In Chinese). [Google Scholar]
- Ye, S. Current status of water resource in the Taihu Basin. In Proceedings of the advanced forum about the Taihu Basin, Shanghai, China, December 2004; pp. 119–124. (In Chinese). [Google Scholar]
- Xu, X.; Yang, G.; Tan, Y.; Zhuang, Q.; Li, H.; Wan, R.; Su, W.; Zhang, J. Ecological risk assessment of ecosystem services in Taihu Lake Basin of China from 1985 to 2020. Sci. Total Environ. 2016, 554–555, 7–16. [Google Scholar] [CrossRef] [PubMed]
- Zhu, L.; Jia, X.; Xu, X.; Qin, J. Analysis of dead water level in Henshang Reservoir. Water Conserv. Sci. Technol. Econ 2015, 21, 26–27. (In Chinese) [Google Scholar]











| SPI Class | Interpretation |
|---|---|
| ≥2.0 | Extremely wet |
| 1.5 to 1.99 | Severely wet |
| 1.0 to 1.49 | Moderately wet |
| 0.99 to −0.99 | Near normal |
| −1.0 to −1.49 | Moderately dry |
| −1.5 to −1.99 | Severely dry |
| ≤−2.0 | Extremely dry |
| Year | Total Water Resource (108 m3) | Worse than Class-III Standards River Water Rate * | Drinking Water Demand (108 m3) | Quality Standard Reaching Rate of Water Function Zone |
|---|---|---|---|---|
| 2003 | 110.6 | 90.60% | 22.5 | - |
| 2004 | 125.9 | 93.50% | 23.5 | - |
| 2005 | 133.7 | 89.70% | 24.4 | a 50.0% |
| 2006 | 146.2 | 86.50% | 25.2 | a 62.5% |
| 2007 | 172.7 | 85.70% | 26.6 | a 28.6% |
| 2008 | 199.4 | 85.20% | 27.7 | - |
| 2009 | 248.1 | 88.20% | 28.5 | - |
| 2010 | 209.8 | 87.50% | 28.9 | b 5.1% |
| 2011 | 195.0 | 83.40% | 29.7 | b 14.2% |
| 2012 | 233.3 | 81.30% | 30.4 | b 35.5% |
| 2013 | 160.5 | 80.10% | 31.7 | b 26.7% |
| 2014 | 228.9 | 75.70% | 30.9 | b 29.7% |
| 2015 | 342.4 | 79.70% | 31.1 | b 27.9% |
| 2016 | 439.2 | 71.80% | 32.0 | b 41.9% |
| SPI Class | Three Month SPI Values in Yixing City | Six Month SPI Values in Yixing City | Interpretation |
|---|---|---|---|
| ≥2.0 | 2.63% | 3.13% | Extremely wet |
| 1.5 to 1.99 | 3.59% | 4.58% | Severely wet |
| 1.0 to 1.49 | 10.05% | 9.88% | Moderately wet |
| 0.99 to −0.99 | 70.33% | 67.71% | Near normal |
| −1.0 to −1.49 | 6.46% | 7.95% | Moderately dry |
| −1.5 to −1.99 | 4.55% | 4.82% | Severely dry |
| ≤−2.0 | 2.39% | 1.93% | Extremely dry |
| Water Amount (m3) | Daily Maximum | Daily Minimum | Daily Average | Total Amount |
|---|---|---|---|---|
| Poor quality water | 216,321 | 40,898 | 121,666 | 14,234,906 |
| High quality water | 240,229 | 192,029 | 206,035 | 24,106,113 |
| Ratio | 0.90:1 | 0.21:1 | 0.59:1 | 0.59:1 |
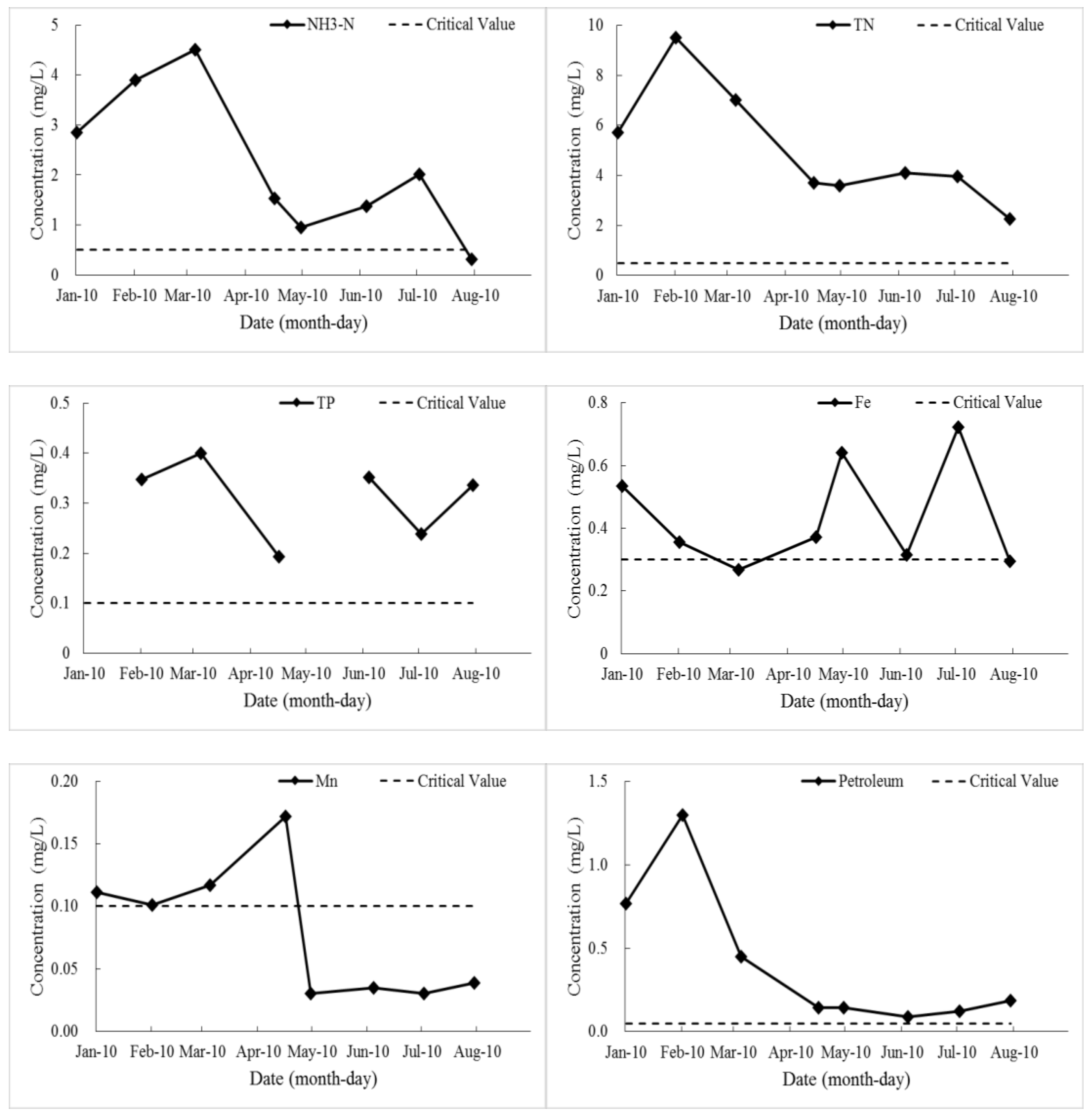
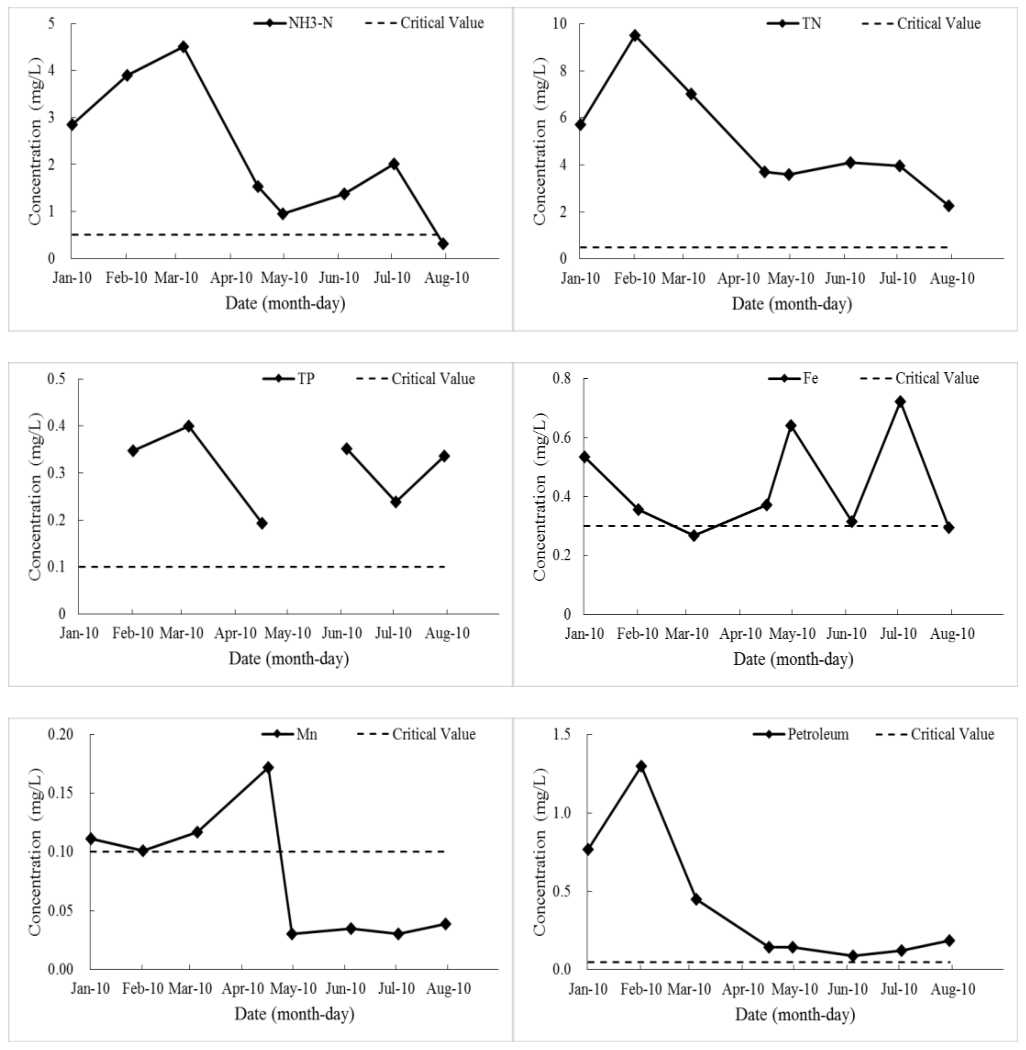
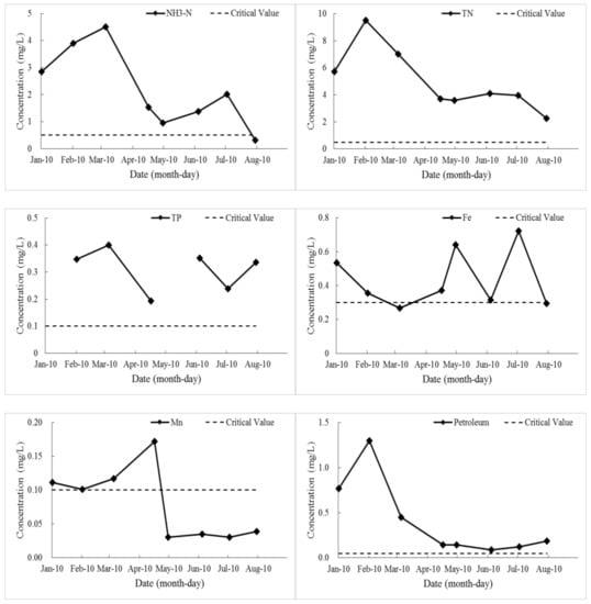
| Index | COD | BOD | NH3-N | TN | TP | Fe | Mn | Petroleum |
|---|---|---|---|---|---|---|---|---|
| Measured Maximums | 40.4 | 5.3 | 4.51 | 9.51 | 0.4 | 0.72 | 0.17 | 1.30 |
| Critical Values | 15 | 3 | 0.5 | 0.5 | 0.1 | 0.3 | 0.1 | 0.05 |
© 2019 by the authors. Licensee MDPI, Basel, Switzerland. This article is an open access article distributed under the terms and conditions of the Creative Commons Attribution (CC BY) license (http://creativecommons.org/licenses/by/4.0/).
Share and Cite
Lou, S.; Huang, W.; Liu, S.; Zhong, G. Scarcity of Drinking Water in Taihu Lake Basin, China: A Case Study of Yixing City. Water 2019, 11, 362. https://doi.org/10.3390/w11020362
Lou S, Huang W, Liu S, Zhong G. Scarcity of Drinking Water in Taihu Lake Basin, China: A Case Study of Yixing City. Water. 2019; 11(2):362. https://doi.org/10.3390/w11020362
Chicago/Turabian StyleLou, Sha, Wenrui Huang, Shuguang Liu, and Guihui Zhong. 2019. "Scarcity of Drinking Water in Taihu Lake Basin, China: A Case Study of Yixing City" Water 11, no. 2: 362. https://doi.org/10.3390/w11020362
APA StyleLou, S., Huang, W., Liu, S., & Zhong, G. (2019). Scarcity of Drinking Water in Taihu Lake Basin, China: A Case Study of Yixing City. Water, 11(2), 362. https://doi.org/10.3390/w11020362
