Change in Extreme Precipitation over North Korea Using Multiple Climate Change Scenarios
Abstract
:1. Introduction
2. Materials and Methods
2.1. Overview of Procedure
2.2. Study Area
2.3. Climate Change Scenarios
2.4. Generalized Extreme Value
3. Results
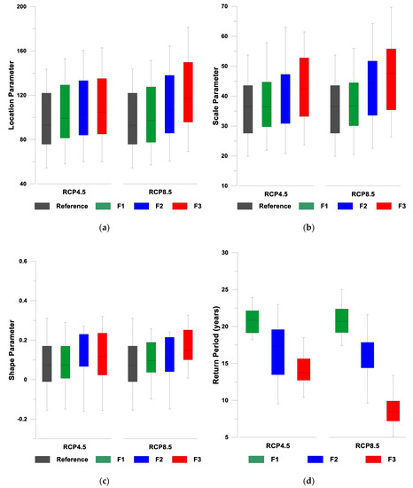
3.1. Change in Extreme Precipitation Amount in the Future Period
3.2. Change in Probability Distribution in the Future Period
3.3. Change in Extreme Precipitation at Shared River Basin
4. Discussion
Author Contributions
Funding
Conflicts of Interest
Abbreviations
| Reference period | 1980–2005 |
| F1 | Future1 (2011–2040) |
| F2 | Future2 (2041–2070) |
| F3 | Future3 (2071–2100) |
| RCP | Representative concentration pathway |
| AMDP | Annual maximum daily precipitation |
| DQM | Detrended quantile mapping |
| QDM | Quantile delta mapping |
| SD-QDM | Spatial disaggregation/quantile delta mapping |
| MMEs | Multimodel ensembles |
| NARCCAP | North American regional climate change assessment program |
| CORDEX | Coordinated regional climate downscaling experiment |
| CMIP | Coupled model intercomparison project |
| MLD | Military demarcation line |
| IPCC | Intergovernmental panel on climate change |
| CV | Coefficient of variation |
References
- Lee, D.-K.; Cha, D.-H.; Kang, H.-S. Regional climate simulation of the 1998 summer flood over East Asia. J. Meteorol. Soc. Jpn. 2004, 82, 1735–1753. [Google Scholar] [CrossRef]
- Kang, H.-S.; Cha, D.-H.; Lee, D.-K. Evaluation of the mesoscale model/land surface model (MM5/LSM) coupled model for East Asian summer monsoon simulations. J. Geophys. Res. 2005, 110, D10105. [Google Scholar] [CrossRef]
- Hong, S.-Y.; Lee, J.-W. Assessment of the WRF model in reproducing a flash-flood heavy rainfall event over Korea. Atmos. Res. 2009, 93, 818–831. [Google Scholar] [CrossRef]
- Kim, Y.; Kang, B.; Adams, J.M. Opposite trends in summer precipitation in South and North Korea. Int. J. Climatol. 2011, 32, 2311–2319. [Google Scholar] [CrossRef]
- Sung, J.H.; Chung, E.-S.; Kim, Y.; Lee, B.-R. Meteorological hazard assessment based on trends and abrupt changes in rainfall characteristics on the Korean peninsula. Theor. Appl. Climatol. 2017, 127, 305–326. [Google Scholar] [CrossRef]
- Cha, D.-H.; Lee, D.-K.; Jin, C.-S.; Kim, G.; Choi, Y.; Suh, M.-S.; Ahn, J.-B.; Hong, S.-Y.; Min, S.-K.; Park, S.-C.; et al. Future changes in summer precipitation in regional climate simulations over the Korean Peninsula forced by multi-RCP scenarios of HadGEM2-AO. Asia-Pac. J. Atmos. Sci. 2016, 52, 139–149. [Google Scholar] [CrossRef]
- Boo, K.-O.; Kwon, W.-T.; Baek, H.-J. Change of extreme events of temperature and precipitation over Korea using regional projection of future climate change. Geophys. Res. Lett. 2006, 33, L01701. [Google Scholar] [CrossRef]
- Hong, J.Y.; Ahn, J.-B. Changes of early summer precipitation in the Korean Peninsula and nearby regions based on RCP simulations. J. Clim. 2015, 28, 3557–3578. [Google Scholar] [CrossRef]
- Räisänen, J.; Palmer, T.N. A probability and decision-model analysis of a multimodel ensemble of climate change simulations. J. Clim. 2001, 14, 3212–3226. [Google Scholar] [CrossRef]
- Rajagopalan, B.; Lall, U.; Zebiak, S.E. Categorical climate forecasts through regularization and optimal combination of multiple GCM ensembles. Mon. Weather Rev. 2002, 130, 1792–1811. [Google Scholar] [CrossRef]
- Raftery, A.E.; Gneiting, T.; Balabdaoui, F.; Polakowski, M. Using Bayesian model averaging to calibrate forecast ensembles. Mon. Weather Rev. 2005, 133, 1155–1174. [Google Scholar] [CrossRef]
- Sung, J.H.; Eum, H.-I.; Park, J.; Cho, J. Assessment of climate change impacts on extreme precipitation events: Applications of CMIP5 climate projections statistically downscaled over South Korea. Adv. Meteorol. 2018, 2018, 4720523. [Google Scholar] [CrossRef]
- Sung, J.H.; Chung, E.-S.; Shahid, S. Reliability–Resiliency–Vulnerability approach for drought analysis in South Korea using 28 GCMs. Sustainability 2018, 10, 3043. [Google Scholar] [CrossRef]
- Wood, A.W.; Leung, L.R.; Sridhar, V.; Lettenmaier, D.P. Hydrologic implications of dynamical and statistical approaches to downscaling climate model outputs. Clim. Chang. 2004, 62, 189–216. [Google Scholar] [CrossRef]
- Abatzoglou, J.T.; Brown, T.J. A comparison of statistical downscaling methods suited for wildfire applications. Int. J. Clim. 2012, 32, 772–780. [Google Scholar] [CrossRef]
- Bürger, G.; Sobie, S.R.; Cannon, A.J.; Werner, A.T.; Murdock, T.Q. Downscaling extremes: An intercomparison of multiple methods for future climate. J. Clim. 2013, 26, 3429–3449. [Google Scholar] [CrossRef]
- Cannon, A.J.; Sobie, S.R.; Murdock, T.Q. Bias correction of GCM precipitation by quantile mapping: How well do methods preserve changes in quantiles and extremes? J. Clim. 2015, 28, 6938–6959. [Google Scholar] [CrossRef]
- Eum, H.-I.; Cannon, A.J. Intercomparison of projected changes in climate extremes for South Korea: Application of trend preserving statistical downscaling methods to the CMIP5 ensemble. Int. J. Clim. 2017, 37, 3381–3397. [Google Scholar] [CrossRef]
- Mearns, L.O.; Arritt, R.; Biner, S.; Bukovsky, M.S.; McGinnis, S.; Sain, S.; Caya, D.; Correia, J., Jr.; Flory, D.; Gutowski, W.; et al. The North American regional climate change assessment program: Overview of phase I results. Bull. Am. Meteorol. Soc. 2012, 93, 1337–1362. [Google Scholar] [CrossRef]
- Whitehall, K.; Mattmann, C.; Waliser, D.; Kim, J.; Goodale, C.; Hart, A.; Ramirez, P.; Zimdars, P.; Crichton, D.; Jenkins, G.; et al. Building Model Evaluation and Decision Support Capacity for CORDEX. WMO Bull. 2012, 61, 29–34. [Google Scholar]
- Sillmann, J.; Kharin, V.V.; Zhang, X.; Zwiers, F.W.; Bronaugh, D. Climate extremes indices in the CMIP5 multimodel ensemble: Part 1. Model evaluation in the present climate. J. Geophys. Res. Atmos. 2013, 118, 1716–1733. [Google Scholar] [CrossRef]
- Mizuta, R.; Oouchi, K.; Yoshimura, H.; Noda, A.; Katayama, K.; Yukimoto, S.; Hosaka, M.; Kusunoki, S.; Kawai, H.; Nakagawa, M. 20-km-mesh global climate simulations using JMA-GSM model-Mean climate states. J. Meteorol. Soc. Jpn. 2006, 84, 165–185. [Google Scholar] [CrossRef]
- Hristensen, J.H.; Carter, T.; Rummukainen, M.; Amanatidis, G. Evaluating the performance and utility of regional climate models in climate change research: Reducing uncertainties in climate change projections—The PRUDENCE approach. J. Clim. Chang. 2007, 81 (Suppl. 1), 1–6. [Google Scholar] [CrossRef]
- Déqué, M.; Rowell, D.P.; Lüthi, D.; Giorgi, F.; Christensen, J.H.; Rockel, B.; Jacob, D.; Kjellström, E.; de Castro, M.; van den Hurk, B. An intercomparison of regional climate simulations for Europe: Assessing uncertainties in model projections. Clim. Chang. 2007, 81, 53–70. [Google Scholar] [CrossRef]
- Taylor, K.E.; Stouffer, R.J.; Meehl, G.A. An Overview of CMIP5 and the Experiment Design. Bull. Am. Meteorol. Soc. 2012, 93, 485–498. [Google Scholar] [CrossRef]
- Seo, S.B.; Kim, Y.-O.; Kim, Y.; Eum, H.-I. Selecting climate change scenarios for regional hydrologic impact studies based on climate extremes indices. Clim. Dyn. 2018. [Google Scholar] [CrossRef]
- Seo, S.B.; Kim, Y.-O. Impact of Spatial Aggregation Level of Climate Indicators on a National-Level Selection for Representative Climate Change Scenarios. Sustainability 2018, 10, 2409. [Google Scholar] [CrossRef]
- Tebaldi, C.; Sanso, B. Joint projections of temperature and precipitation change from multiple climate models: A hierarchical Bayesian approach. J. R. Stat. Soc. Ser. A (Stat. Soc.) 2009, 172, 83–106. [Google Scholar] [CrossRef]
- Watterson, I.G.; Whetton, P.H. Distributions of decadal means of temperature and precipitation change under global warming. J. Geophys. Res. Atmos. 2011, 116. [Google Scholar] [CrossRef]
- Brown, C.; Brown, E.; Murray-Rust, D.; Cojocaru, G.; Savin, C.; Rounsevell, M. Analysing uncertainties in climate change impact assessment across sectors and scenarios. Clim. Chang. 2015, 128, 293–306. [Google Scholar] [CrossRef]
- IPCC. Climate change 2007: Impacts, adaptation and vulnerability. In Working Group II Contribution to the Fourth Assessment Report of the IPCC; Cambridge University Press: Cambridge, UK, 2007; Volume 4. [Google Scholar]
- IPCC. Climate change 2013: The physical science basis. In Working Group I Contribution to the Fifth Assessment Report of the Intergovernmental Panel on Climate Change; Cambridge University Press: Cambridge, UK, 2014. [Google Scholar]
- IPCC. Climate change 2014: Synthesis report. In Contribution of Working Groups I. II and III to the Fifth Assessment Report of the Intergovernmental Panel on Climate Change; IPCC: Geneva, Switzerland, 2014. [Google Scholar]
- Katz, R.W.; Parlange, M.B.; Naveau, P. Statistics of extremes in hydrology. Adv. Water Resour. 2002, 25, 1287–1304. [Google Scholar] [CrossRef]
- Kharin, V.V.; Zwiers, F.W. Estimating extremes in transient climate change simulations. J. Clim. 2005, 18, 1156–1173. [Google Scholar] [CrossRef]
- Kharin, V.V.; Zwiers, F.W.; Zhang, X. Intercomparison of near-surface temperature and precipitation extremes in AMIP-2 simulations, reanalyses, and observations. J. Clim. 2005, 18, 5201–5223. [Google Scholar] [CrossRef]
- Stedinger, J.R.; Vogel, R.M.; Foufoula-Georgiou, E. Frequency analysis of extreme events. In Handbook of Hydrology; Maidment, D.R., Ed.; McGraw-Hill: New York, NY, USA, 1993; Chapter 18. [Google Scholar]
- Madsen, H.; Rasmussen, P.F.; Rosbjerg, D. Comparison of annualmaximum series and partial duration series methods for modeling extreme hydrologic events, 1, At-site modeling. Water Resour. Res. 1997, 33, 747–758. [Google Scholar]
- Klein Tank, A.M.G.; Zwiers, F.W.; Zhang, X. Guidelines on Analysis of Extremes in a Changing Climate in Support of Informed Decisions for Adaptation; Climate Data and Monitoring WCDMP-No. 72, WMO-TD No. 1500; World Meteorological Organization: Geneva, Switzerland, 2009. [Google Scholar]
- Brassel, K.E.; Reif, D. A procedure to generate Thiessen polygons. Geogr. Anal. 1979, 11, 289–303. [Google Scholar] [CrossRef]
- Harmeling, S.; Eckstein, D. Global Climate Risk Index 2013; Germanwatch: Bonn, Germany, 2012; ISBN 978-3-943704-04-4. [Google Scholar]
- Harmeling, S. Global Climate Risk Index 2009; Germanwatch: Bonn, Germany, 2008; ISBN 978-3-939846-45-1. [Google Scholar]
- Lee, H.; Moon, B.-K.; Wie, J. Future extreme temperature and precipitation mechanisms over the Korean peninsula using a regional climate model simulation. J. Korean Earth Sci. Soc. 2018, 39, 327–341. [Google Scholar] [CrossRef]
- Lee, D.; Min, S.-K.; Jin, J.; Lee, J.-W.; Cha, D.-H.; Suh, M.-S.; Joh, M. Thermodynamic and dynamic contributions to future changes in summer precipitation over Northeast Asia and Korea: A multi-RCM study. Clim. Dyn. 2017, 49, 4121–4139. [Google Scholar] [CrossRef]










| No. | GCM | Resolution (Degrees) | Institution |
|---|---|---|---|
| 1 | CanESM2 | 2.813 × 2.791 | Canadian Centre for Climate Modelling and Analysis |
| 2 | CCSM4 | 1.250 × 0.942 | National Center for Atmospheric Research, USA |
| 3 | CESM1-BGC | 1.250 × 0.942 | |
| 4 | CESM1-CAM5 | 1.250 × 0.942 | |
| 5 | CMCC-CM | 0.750 × 0.748 | Centro Euro-Mediterraneo sui Cambiamenti Climatici (Euro-Mediterranean Center on Climate Change) |
| 6 | CMCC-CMS | 1.875 × 1.865 | |
| 7 | CNRM-CM5 | 1.406 × 1.401 | Centre National de Recherches Météorologiques, France |
| 8 | CSIRO-Mk3-6-0 | 1.875 × 1.865 | Commonwealth Scientific and Industrial Research Organisation and Queensland Climate Change Centre of Excellence |
| 9 | FGOALS-g2 | 2.791 × 2.813 | The National Key Laboratory of Numerical Modeling for Atmospheric Sciences and Geophysical Fluid Dynamics, Institute of Atmospheric Physics and Chinese Academy of Sciences |
| 10 | FGOALS-s2 | 2.813 × 1.659 | |
| 11 | GFDL-CM3 | 2.500 × 2.000 | Geophysical Fluid Dynamics Laboratory, NOAA |
| 12 | GFDL-ESM2G | 2.000 × 2.023 | |
| 13 | GFDL-ESM2M | 2.500 × 2.023 | |
| 14 | HadGEM2-AO | 1.875 × 1.250 | Met Office Hadley Centre for Climate Change, UK |
| 15 | HadGEM2-CC | 1.875 × 1.250 | |
| 16 | INM-CM4 | 2.000 × 1.500 | Institute of Numerical Mathematics, Russia |
| 17 | IPSL-CM5A-LR | 3.750 × 1.895 | Institute Pierre Simon Laplace, France |
| 18 | IPSL-CM5A-MR | 2.500 × 1.268 | |
| 19 | IPSL-CM5B-LR | 3.750 × 1.895 | |
| 20 | MIROC-ESM | 2.813 × 2.791 | Japan Agency for Marine-Earth Science and Technology |
| 21 | MIROC-ESM-CHEM | 2.813 × 2.791 | |
| 22 | MPI-ESM-LR | 1.875 × 1.865 | Max Planck Institute for Meteorology, Germany |
| 23 | MPI-ESM-MR | 1.875 × 1.865 | |
| 24 | MRI-CGCM3 | 1.125 × 1.122 | Meteorological Research Institute, Japan |
| 25 | NorESM1-M | 2.500 × 1.895 | Norwegian Climate Centre |
| Site Name | Latitude | Longitude | First Year of Observation |
|---|---|---|---|
| Senbong | 42°19′ N | 130°24′ E | 1973 |
| Samjiyon | 41°49′ N | 128°19′ E | 1981 |
| Chongjin | 41°47′ N | 129°49′ E | 1973 |
| Chunggang | 41°47′ N | 126°53′ E | 1973 |
| Hyesan | 41°24′ N | 128°10′ E | 1973 |
| Kanggye | 40°58′ N | 126°36′ E | 1973 |
| Pungsan | 40°49′ N | 128°09′ E | 1981 |
| Kimchaek | 40°40′ N | 129°12′ E | 1973 |
| Supung | 40°27′ N | 124°56′ E | 1981 |
| Changjin | 40°22′ N | 127°15′ E | 1981 |
| Sinuiju | 40°06′ N | 124°23′ E | 1973 |
| Kusong | 39°59′ N | 125°15′ E | 1981 |
| Huichon | 40°10′ N | 126°15′ E | 1981 |
| Hamhung | 39°56′ N | 127°33′ E | 1973 |
| Sinpo | 40°02′ N | 128°11′ E | 1981 |
| Anju | 39°37′ N | 125°39′ E | 1981 |
| Yangdok | 39°10′ N | 126°50′ E | 1981 |
| Wonsan | 39°11′ N | 127°26′ E | 1973 |
| Pyongyang | 39°02′ N | 125°47′ E | 1973 |
| Nampo | 38°43′ N | 125°22′ E | 1981 |
| Changjon | 38°44′ N | 128°11′ E | 1981 |
| Sariwon | 38°31′ N | 125°46′ E | 1973 |
| Singye | 38°30′ N | 126°32′ E | 1981 |
| Yongyon | 38°12′ N | 124°53′ E | 1981 |
| Haeju | 38°02′ N | 125°42′ E | 1973 |
| Kaesong | 37°58′ N | 126°34′ E | 1973 |
| Pyonggang | 38°24′ N | 127°18′ E | 1981 |
| F1 | F2 | F3 | ||||
| RCP4.5 | RCP8.5 | RCP4.5 | RCP8.5 | RCP4.5 | RCP8.5 | |
| 20.7 | 21.1 | 16.9 | 16.2 | 14.1 | 8.8 | |
| Standard Deviation | 1.67 | 2.02 | 3.43 | 2.97 | 2.01 | 2.22 |
© 2019 by the authors. Licensee MDPI, Basel, Switzerland. This article is an open access article distributed under the terms and conditions of the Creative Commons Attribution (CC BY) license (http://creativecommons.org/licenses/by/4.0/).
Share and Cite
Kwon, M.; Sung, J.H.; Ahn, J. Change in Extreme Precipitation over North Korea Using Multiple Climate Change Scenarios. Water 2019, 11, 270. https://doi.org/10.3390/w11020270
Kwon M, Sung JH, Ahn J. Change in Extreme Precipitation over North Korea Using Multiple Climate Change Scenarios. Water. 2019; 11(2):270. https://doi.org/10.3390/w11020270
Chicago/Turabian StyleKwon, Minsung, Jang Hyun Sung, and Jaehyun Ahn. 2019. "Change in Extreme Precipitation over North Korea Using Multiple Climate Change Scenarios" Water 11, no. 2: 270. https://doi.org/10.3390/w11020270
APA StyleKwon, M., Sung, J. H., & Ahn, J. (2019). Change in Extreme Precipitation over North Korea Using Multiple Climate Change Scenarios. Water, 11(2), 270. https://doi.org/10.3390/w11020270
