Sewer Life Span Prediction: Comparison of Methods and Assessment of the Sample Impact on the Results
Abstract
1. Introduction
2. Materials and Methods
2.1. Network Information and the Inspection Data Set
2.2. Survival Analysis with Weibull Regression and Random Survival Forest
2.3. Assessment of the Predictive Power and the Goodness-Of-Fit of the Models
2.4. Estimating the Range of Network-Level Survival Curves
3. Results
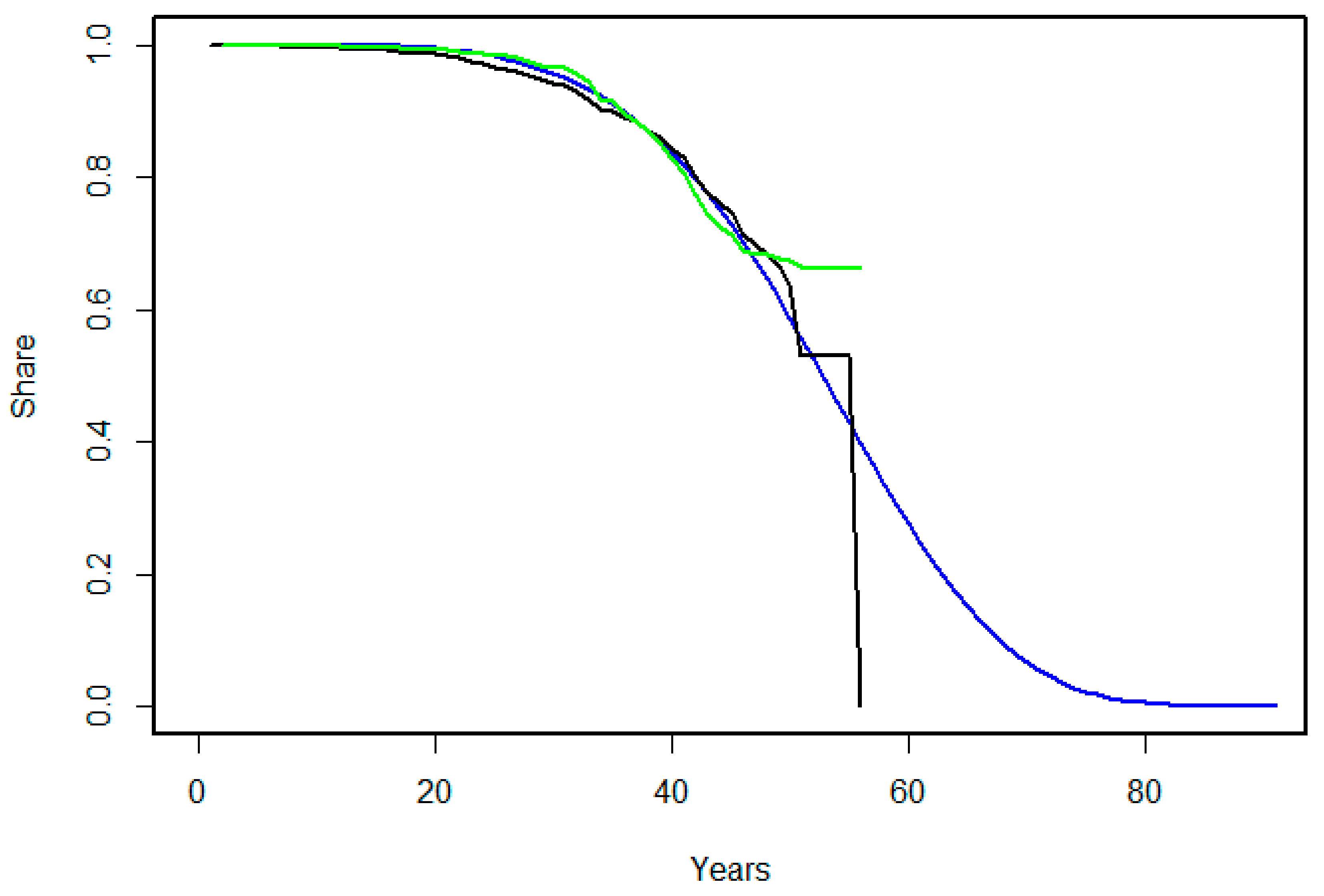
3.1. Comparison of Estimated Life Span Curves
3.2. Goodness-Of-Fit and Predictive Power
3.3. Optimistic and Pessimistic Estimates on the Real Life Span
4. Discussion
5. Conclusions
- Random survival forest provides a potential method for estimating sewer network deterioration. The RSF model performed slightly better than the Weibull model when assessed with the Brier score, c-index, and the predictive power on a validation data set. However, neither of the model provided excellent results, especially in the context of predictive ability.
 - The optimistic and pessimistic life span curves provide a means of estimating the range of network life span based on a data set where pipes in poor condition are over-represented.
 - A data set where pipes in poor condition are over-represented is more useful for finding pipes in poor condition in the whole network than for predicting future deterioration of the network.
 - In order to make reliable life span estimates, the survival model needs to be created with a random sample of pipes inspected successively and the effect of right and left censoring and left truncation need to be considered.
 
Author Contributions
Funding
Conflicts of Interest
References
- Lapinlampi, T.; Raassina, S. Vesihuoltolaitokset 1998–2000; Finnish Environment Institute: Helsinki, Finland, 2002. [Google Scholar]
 - Scheidegger, A.; Hug, T.; Rieckermann, J.; Maurer, M. Network condition simulator for benchmarking sewer deterioration models. Water Res. 2011, 45, 4983–4994. [Google Scholar] [CrossRef] [PubMed]
 - Caradot, N.; Sonnenberg, H.; Kropp, I.; Ringe, A.; Denhez, S.; Hartmann, A.; Rouault, P. The relevance of sewer deterioration modelling to support asset management strategies. Urban Water J. 2017, 14, 1007–1015. [Google Scholar] [CrossRef]
 - Mills, M. Introducing Survival and Event History Analysis; SAGE Publications Ltd.: London, UK, 2011. [Google Scholar]
 - Wirahadikusumah, R.; Abraham, D.; Iseley, T. Challenging Issues in Modelling Deterioration of Combined Sewers. J. Infrastruct. Syst. 2001, 7, 77–84. [Google Scholar] [CrossRef]
 - Duchesne, S.; Beardsell, G.; Villeneuve, J.-P.; Toumbou, B.; Bouchard, K. A Survival Analysis Model for Sewer Pipe Structural Deterioration: A sewer deterioration model. Comput.-Aid. Civ. Inf. Eng. 2013, 28, 146–160. [Google Scholar] [CrossRef]
 - Mailhot, A.; Duchesne, S.; Musso, E.; Villeneuve, J.-P. Modélisation de l’évolution de l’état structural des réseaux d’égout: Application à une municipalité du Québec. Can. J. Civ. Eng. 2000, 27, 65–72. [Google Scholar] [CrossRef]
 - Baur, R.; Herz, R. Selective inspection planning with ageing forecast for sewer types. Water Sci. Technol. 2002, 46, 389–396. [Google Scholar] [CrossRef]
 - Rokstad, M.M.; Le Gat, Y.; Ugarelli, R.M. Assessment Of The Sensitivity Of GompitZ. In Proceedings of the 11th International Conference on Hydroinformatics; New York, NY, USA, 17–21 August 2014. [Google Scholar]
 - Le Gat, Y. Modelling the deterioration process of drainage pipelines. Urban Water J. 2008, 5, 97–106. [Google Scholar] [CrossRef]
 - Cox, D.R. Regression Models and Life-Tables. J. R. Stat. Soc. Series B 1972, 34, 187–202. [Google Scholar] [CrossRef]
 - Klein, J.P.; Moeschberger, M.L. Survival Analysis: Techniques for Censored and Truncated Data. In Statistics for Biology and Health, 2nd ed.; Springer: New York, NY, USA, 2010. [Google Scholar]
 - Hosmer, D.W.; Lemeshow, S.; May, S. Applied Survival Analysis: Regression Modelling of Time-to-Event Data; John Wiley & Sons, Inc.: Hoboken, NJ, USA, 2008. [Google Scholar]
 - Cain, K.C.; Harlow, S.D.; Little, R.J.; Nan, B.; Yosef, M.; Taffe, J.R.; Elliott, M.R. Bias Due to Left Truncation and Left Censoring in Longitudinal Studies of Developmental and Disease Processes. Am. J. Epidemiol. 2011, 173, 1078–1084. [Google Scholar] [CrossRef]
 - Ross, S.M. Introduction to Probability Models, 9th ed.; Academic Press: Amsterdam, The Netherlands, 2007. [Google Scholar]
 - Micevski, T.; Kuczera, G.; Coombes, P. Markov Model for Storm Water Pipe Deterioration. J. Infrastruct. Syst. 2002, 8, 49–56. [Google Scholar] [CrossRef]
 - Baik, H.-S.; Jeong, H.S.; Abraham, D.M. Estimating Transition Probabilities in Markov Chain-Based Deterioration Models for Management of Wastewater Systems. J. Water Resour. Plan. Manag. 2006, 132, 15–24. [Google Scholar] [CrossRef]
 - Dirksen, J.; Clemens, F.H.L.R. Probabilistic modelling of sewer deterioration using inspection data. Water Sci. Technol. 2008, 57, 1635–1641. [Google Scholar] [CrossRef] [PubMed]
 - El-Housni, H.; Ouellet, M.; Duchesne, S. Identification of most significant factors for modelling deterioration of sewer pipes. Can. J. Civ. Eng. 2018, 45, 215–226. [Google Scholar] [CrossRef]
 - Rokstad, M.M.; Ugarelli, R.M. Evaluating the role of deterioration models for condition assessment of sewers. J. Hydroinform. 2015, 17, 789–804. [Google Scholar] [CrossRef]
 - Hörold, S.; Baur, R. Modelling sewer deterioration for selective inspection planning—Case study, Dresden, 1999. Available online: http://sewer-software.com/pdfs/Dresden.en.pdf (accessed on 12 December 2019).
 - Scheidegger, A.; Maurer, M. Identifying biases in deterioration models using synthetic sewer data. Water Sci. Technol. 2012, 66, 2363–2369. [Google Scholar] [CrossRef][Green Version]
 - Egger, C.; Scheidegger, A.; Reichert, P.; Maurer, M. Sewer deterioration modelling with condition data lacking historical records. Water Res. 2013, 47, 6762–6779. [Google Scholar] [CrossRef]
 - Duchesne, S.; Bouchard, K.; Toumbou, B.; Villeneuve, J.-P. Assessing the impact of renewal scenarios on the global structural state of sewer pipe networks. Can. J. Civ. Eng. 2014, 41, 761–768. [Google Scholar] [CrossRef]
 - Harvey, R.R.; McBean, E.A. Comparing the utility of decision trees and support vector machines when planning inspections of linear sewer infrastructure. J. Hydroinform. 2014, 16, 1265–1279. [Google Scholar] [CrossRef]
 - Mashford, J.; Marlow, D.; Tran, D.; May, R. Prediction of Sewer Condition Grade Using Support Vector Machines. J. Comput. Civ. Eng. 2011, 25, 283–290. [Google Scholar] [CrossRef]
 - Laakso, T.; Kokkonen, T.; Mellin, I.; Vahala, R. Sewer Condition Prediction and Analysis of Explanatory Factors. Water 2018, 10, 1239. [Google Scholar] [CrossRef]
 - Hastie, T.; Tibshirani, R.; Friedman, J.H. The Elements of Statistical Learning: Data Mining, Inference and Prediction, 2nd ed.; Springer: New York, NY, USA, 2009. [Google Scholar]
 - Breiman, L. Random Forests. Mach. Learn. 2001, 45, 5–32. [Google Scholar] [CrossRef]
 - Ishwaran, H.; Kogalur, U.B.; Blackstone, E.H.; Lauer, M.S. Random survival forests. Ann. Appl. Stat. 2008, 2, 841–860. [Google Scholar] [CrossRef]
 - Steyerberg, E.W.; Vickers, A.J.; Cook, N.R.; Gerds, T.; Gonen, M.; Obuchowski, N.; Pencina, M.J.; Kattan, M.W. Assessing the Performance of Prediction Models: A Framework for Traditional and Novel Measures. Epidemiology 2010, 21, 128–138. [Google Scholar] [CrossRef] [PubMed]
 - Brier, G.W. Verification of forecasts expressed in terms of probability. Mon. Weather Rev. 1950, 78, 1–3. [Google Scholar] [CrossRef]
 - Robins, J.M.; Finkelstein, D.M. Correcting for Noncompliance and Dependent Censoring in an AIDS Clinical Trial with Inverse Probability of Censoring Weighted (IPCW) Log-Rank Tests. Biometrics 2000, 56, 779–788. [Google Scholar] [CrossRef] [PubMed]
 - Graf, E.; Schmoor, C.; Sauerbrei, W.; Schumacher, M. Assessment and comparison of prognostic classification schemes for survival data. Stat. Med. 1999, 18, 2529–2545. [Google Scholar] [CrossRef]
 - Assel, M.; Sjoberg, D.D.; Vickers, A.J. The Brier score does not evaluate the clinical utility of diagnostic tests or prediction models. Diagn. Progn. Res. 2017, 1, 19. [Google Scholar] [CrossRef]
 - Jewson, S. The Problem with the Brier Score, 2004. Available online: https://arxiv.org/abs/physics/0401046 (accessed on 12 December 2019).
 - Harrell, F.E.; Califf, R.; Pryor, D.B.; Lee, K.L.; Rosati, R.A. Evaluating the yield of medical tests. JAMA 1982, 247, 2543–2546. [Google Scholar] [CrossRef]
 - Uno, H.; Cai, T.; Pencina, M.J.; D’Agostino, R.B.; Wei, L.J. On the C-statistics for evaluating overall adequacy of risk prediction procedures with censored survival data. Statist. Med. 2011, 30, 1105–1117. [Google Scholar] [CrossRef]
 - Hsiao, C. Analysis of panel data. In Econometric Society Monographs, 2nd ed.; Cambridge University Press: Cambridge, UK, 2003. [Google Scholar]
 








© 2019 by the authors. Licensee MDPI, Basel, Switzerland. This article is an open access article distributed under the terms and conditions of the Creative Commons Attribution (CC BY) license (http://creativecommons.org/licenses/by/4.0/).
Share and Cite
Laakso, T.; Kokkonen, T.; Mellin, I.; Vahala, R. Sewer Life Span Prediction: Comparison of Methods and Assessment of the Sample Impact on the Results. Water 2019, 11, 2657. https://doi.org/10.3390/w11122657
Laakso T, Kokkonen T, Mellin I, Vahala R. Sewer Life Span Prediction: Comparison of Methods and Assessment of the Sample Impact on the Results. Water. 2019; 11(12):2657. https://doi.org/10.3390/w11122657
Chicago/Turabian StyleLaakso, Tuija, Teemu Kokkonen, Ilkka Mellin, and Riku Vahala. 2019. "Sewer Life Span Prediction: Comparison of Methods and Assessment of the Sample Impact on the Results" Water 11, no. 12: 2657. https://doi.org/10.3390/w11122657
APA StyleLaakso, T., Kokkonen, T., Mellin, I., & Vahala, R. (2019). Sewer Life Span Prediction: Comparison of Methods and Assessment of the Sample Impact on the Results. Water, 11(12), 2657. https://doi.org/10.3390/w11122657
        
