Numerical Rainfall Simulation of Different WRF Parameterization Schemes with Different Spatiotemporal Rainfall Evenness Levels in the Ili Region
Abstract
1. Introduction
2. Data and Methodology
2.1. The Study Area
2.2. Model Configuration
2.3. Evaluation Statistics
3. Results
3.1. Performance Evaluation of the WRF Model Simulations
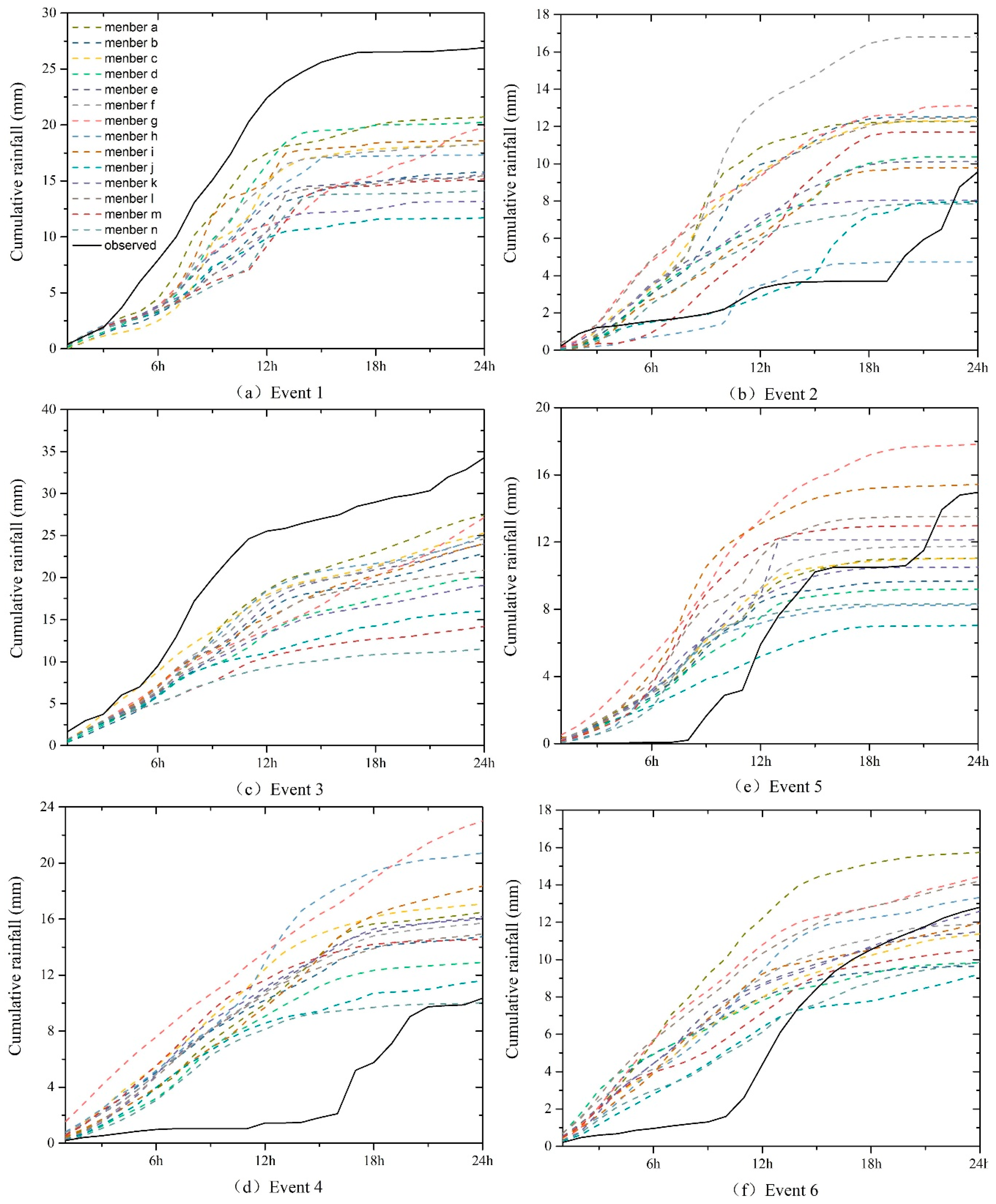
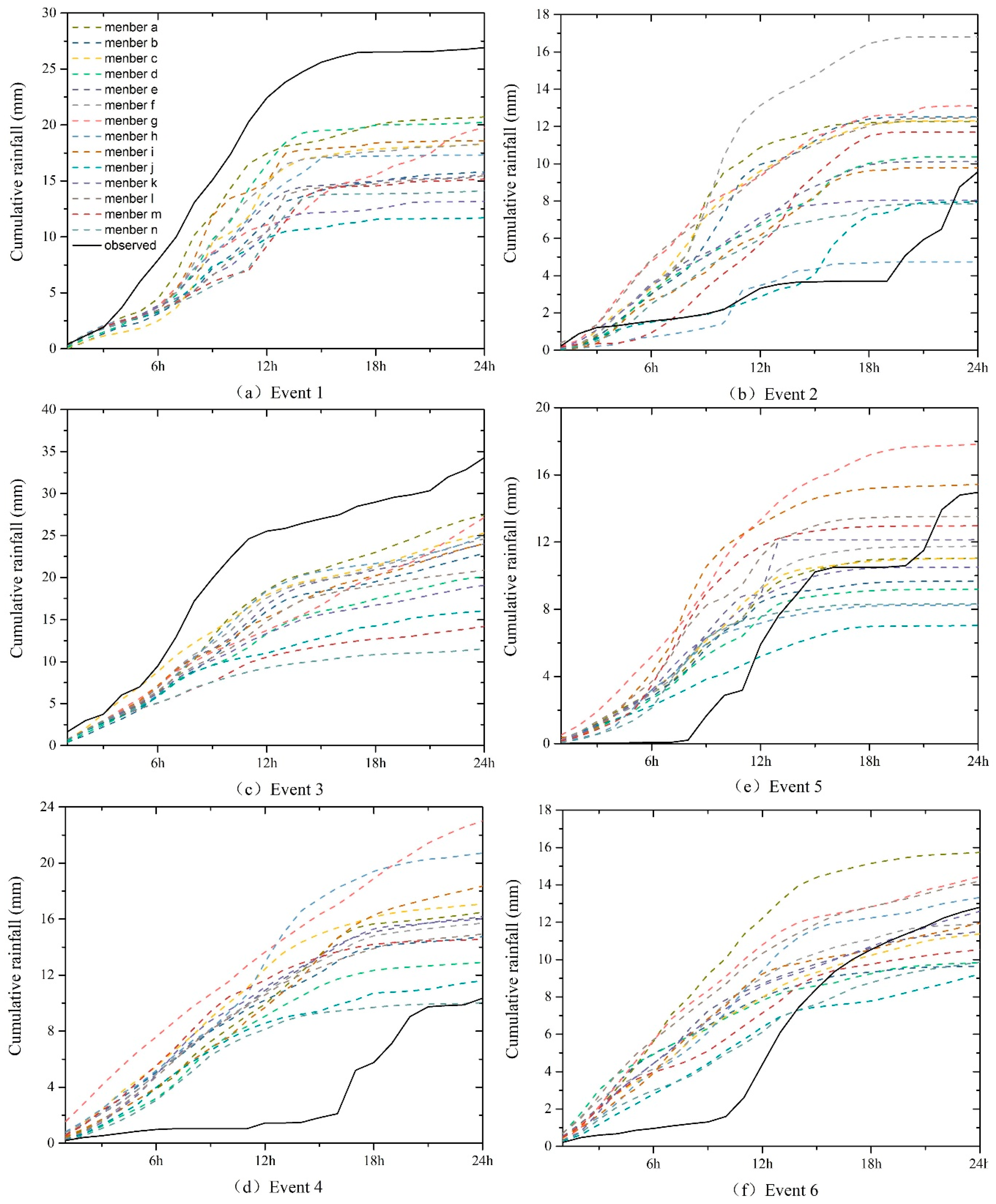
3.1.1. Performance Evaluation of the Temporal Rainfall Simulations
3.1.2. Performance Evaluation of the Spatial Rainfall Simulations
3.2. Impact of Different Parameterization Schemes
3.2.1. Different Parameterization Schemes for the Precipitation Process Simulation
3.2.2. Different Parameterization Schemes for the Geographical Distribution Simulation
3.2.3. The Optimal Parameterization Combination Members for Rainfall Simulation
3.3. Impact of Different Spatiotemporal Rainfall Evenness Levels
4. Conclusions
Author Contributions
Funding
Conflicts of Interest
References
- Ren Sheng, C. Precipitation measurement intercomparison in the Qilian Mountains, north-eastern Tibetan Plateau. Cryosphere 2015, 9, 2201–2230. [Google Scholar]
- Ye, B.; Yang, D.; Ding, Y.; Han, T.D.; Koike, T. A Bias-Corrected Precipitation Climatology for China. J. Hydrometeorol. 2004, 5, 1147–1160. [Google Scholar] [CrossRef]
- Li, C.; Tang, G.; Hong, Y. Cross-Evaluation of Ground-based, Multi-Satellite and Reanalysis Precipitation Products: Applicability of the Triple Collocation Method across Mainland China. J. Hydrol. 2018, 562, 71–83. [Google Scholar] [CrossRef]
- Huang, D.; Gao, S. Impact of different reanalysis data on WRF dynamical downscaling over China. Atmos. Res. 2018, 200, 25–35. [Google Scholar] [CrossRef]
- Kondowe, A.L. Impact of Convective Parameterization Schemes on the Quality of Rainfall Forecast over Tanzania Using WRF-Model. Nat. Sci. 2014, 6, 691–699. [Google Scholar] [CrossRef]
- Misenis, C.; Zhang, Y. An examination of sensitivity of WRF/Chem predictions to physical parameterizations, horizontal grid spacing, and nesting options. Atmos. Res. 2010, 97, 315–334. [Google Scholar] [CrossRef]
- Liu, C.; Ikeda, K.; Thompson, G.; Rasmussen, R.; Dudhia, J. High-Resolution Simulations of Wintertime Precipitation in the Colorado Headwaters Region: Sensitivity to Physics Parameterizations. Mon. Weather Rev. 2011, 139, 3533–3553. [Google Scholar] [CrossRef]
- Argüeso, D.; HidalgoMuñoz, J.M.; GámizFortis, S.R.; Esteban-Parra, M.J.; Dudhia, J.; CastroDíez, Y. Evaluation of WRF Parameterizations for Climate Studies over Southern Spain Using a Multistep Regionalization. J. Clim. 2011, 24, 5633–5651. [Google Scholar] [CrossRef]
- Madhulatha, A.; Rajeevan, M. Impact of different parameterization schemes on simulation of mesoscale convective system over south-east India. Meteorol. Atmos. Phys. 2018, 130, 49–65. [Google Scholar] [CrossRef]
- Evans, J.P.; Ekström, M.; Ji, F. Evaluating the performance of a WRF physics ensemble over South-East Australia. Clim. Dyn. 2012, 39, 1241–1258. [Google Scholar] [CrossRef]
- Chawla, I.; Osuri, K.K.; Mujumdar, P.P.; Niyogi, D. Assessment of the Weather Research and Forecasting (WRF) model for simulation of extreme rainfall events in the upper Ganga Basin. Hydrol. Earth Syst. Sci. 2018, 22, 1095–1117. [Google Scholar] [CrossRef]
- Singh, K.S.; Bonthu, S.; Purvaja, R.; Robin, R.S.; Kannan, B.A.M.; Ramesh, R. Prediction of heavy rainfall over Chennai Metropolitan City, Tamil Nadu, India: Impact of microphysical parameterization schemes. Atmos. Res. 2018, 202, 219–234. [Google Scholar] [CrossRef]
- Hong, S.Y.; Dudhia, J.; Chen, S.H. A Revised Approach to Ice Microphysical Processes for the Bulk Parameterization of Clouds and Precipitation. Mon. Weather Rev. 2004, 132, 103–120. [Google Scholar] [CrossRef]
- Thompson, G.; Rasmussen, R.M.; Manning, K. Explicit Forecasts of Winter Precipitation Using an Improved Bulk Microphysics Scheme. Part II: Implementation of a new snow parameterization. Mon. Weather Rev. 2008, 136, 5095–5115. [Google Scholar] [CrossRef]
- Lin, Y.L. Bulk parameterization of the snow field in a cloud model. J. Appl. Meteorol. 1983, 22, 1065–1092. [Google Scholar] [CrossRef]
- Rogers, E.; Black, T.; Ferrier, B.; Lin, Y.; Parrish, D.; DiMego, G. National Oceanic and Atmospheric Administration Changes to the NCEP Meso Eta Analysis and Forecast System: Increase in resolution, new cloud microphysics, modified precipitation assimilation, modified 3DVAR analysis. NWS Tech. Proced. Bull. 2001, 488, 15. [Google Scholar]
- Tao, W.K.; Wu, D.; Lang, S.; Chern, J.D.; Peters-Lidard, C.; Fridlind, A.; Matsui, T. High-resolution nu-wrf simulations of a deep convective-precipitation system during mc3e: Further improvements and comparisons between goddard microphysics schemes and observations. J. Geophys. Res. Atmos. 2016, 121, 1278–1305. [Google Scholar] [CrossRef]
- Kain, J.S.; Fritsch, J.M. Convective Parameterization for Mesoscale Models: The Kain–Fritsch Scheme. The Representation of Cumulus Convection in Numerical Models. Am. Meteorol. Soc. 1993, 24, 165–170. [Google Scholar]
- Grell, G.A.; Dévényi, D. A generalized approach to parameterizing convection combining ensemble and data assimilation techniques. Geophys. Res. Lett. 2002, 29, 587–590. [Google Scholar] [CrossRef]
- Janjic, Z.I. The Step-Mountain Eta Coordinate Model: Further developments of the convection, viscous sublayer, and turbulence closure schemes. Mon. Weather Rev. 1994, 122, 927–945. [Google Scholar] [CrossRef]
- Pan, H.L.; Wu, W.S. Implementing a mass flux convective parameterization package for the NMC medium range forecast model. NMC Off. Note 1995, 409, 20–233. [Google Scholar]
- Hong, S.Y. A new vertical diffusion package with an explicit treatment of entrainment processes. Mon. Weather Rev. 2005, 134, 2318. [Google Scholar] [CrossRef]
- Mellor, G.L.; Yamada, T. Development of a turbulence closure model for geophysical fluid problems. Rev. Geophys. 1982, 20, 851–875. [Google Scholar] [CrossRef]
- Hong, S.Y.; Pan, H.L. Nonlocal boundary layer vertical diffusion in a medium-range forecast model. Mon. Weather Rev. 1996, 124, 2322–2339. [Google Scholar] [CrossRef]
- Pleim, J.E. A Combined Local and Nonlocal Closure Model for the Atmospheric Boundary Layer. Part I: Model Description and Testing. J. Appl. Meteorol. Climatol. 2007, 46, 1383–1395. [Google Scholar] [CrossRef]
- Fang, L.; Zhan, X.; Hain, C.; Yin, J.; Liu, J.; Schull, M. Schull. An Assessment of the Impact of Land Thermal Infrared Observation on Regional Weather Forecasts Using Two Different Data Assimilation Approaches. Remote Sens. 2018, 10, 625. [Google Scholar] [CrossRef]
- Tian, J.; Liu, J.; Li, C.; Yu, F. Numerical rainfall simulation with different spatial and temporal evenness by using WRF multi-physics ensembles. Nat. Hazards Earth Syst. Sci. 2017, 17, 1–31. [Google Scholar] [CrossRef]







| Member | MP | CU | PBL | |||||||||||||
|---|---|---|---|---|---|---|---|---|---|---|---|---|---|---|---|---|
| LIN | THM | ETA | GCE | WSM5 | WSM6 | G3D | GD | KF | BMJ | OSAS | YSU | GFS | ACM2 | MRF | MYJ | |
| a | √ | √ | √ | |||||||||||||
| b | √ | √ | √ | |||||||||||||
| c | √ | √ | √ | |||||||||||||
| d | √ | √ | √ | |||||||||||||
| e | √ | √ | √ | |||||||||||||
| f | √ | √ | √ | |||||||||||||
| g | √ | √ | √ | |||||||||||||
| h | √ | √ | √ | |||||||||||||
| i | √ | √ | √ | |||||||||||||
| j | √ | √ | √ | |||||||||||||
| f | √ | √ | √ | |||||||||||||
| k | √ | √ | √ | |||||||||||||
| l | √ | √ | √ | |||||||||||||
| m | √ | √ | √ | |||||||||||||
| n | √ | √ | √ | |||||||||||||
| f | √ | √ | √ | |||||||||||||
| Event ID | Start-End Time (UTC) | Accumulated Rainfall | Spatial Cv | Temporal Cv | Type |
|---|---|---|---|---|---|
| 1 | 27 June 2015 8:00–28 June 2015 8:00 | 26.92 mm | 0.90 | 0.88 | II |
| 2 | 28 June 2015 8:00–29 June 2015 8:00 | 9.57 mm | 1.00 | 1.13 | III |
| 3 | 17 June 2016 8:00–18 June 2016 8:00 | 34.28 mm | 0.69 | 0.73 | I |
| 4 | 18 June 2016 8:00–19 June 2016 8:00 | 10.35 mm | 0.97 | 1.65 | IV |
| 5 | 19 June 2016 8:00–20 June 2016 8:00 | 14.96 mm | 0.51 | 1.30 | I |
| 6 | 8 July 2016 8:00–9 July 2016 8:00 | 12.92 mm | 1.11 | 1.29 | II |
| Menber | Event 1 | Event 2 | Event 3 | Event 4 | Event 5 | Event 6 | ||||||
|---|---|---|---|---|---|---|---|---|---|---|---|---|
| Rainfall (mm) | RE (%) | Rainfall (mm) | RE (%) | Rainfall (mm) | RE (%) | Rainfall (mm) | RE (%) | Rainfall (mm) | RE (%) | Rainfall (mm) | RE (%) | |
| Observed | 26.92 | / | 9.57 | / | 34.28 | / | 10.35 | / | 14.96 | / | 12.8 | / |
| a | 20.72 | −23.03 | 12.27 | 28.21 | 27.41 | −20.04 | 16.49 | 59.32 | 11.04 | −26.20 | 15.74 | 22.97 |
| b | 15.80 | −41.31 | 12.51 | 30.72 | 22.89 | −33.23 | 14.74 | 42.42 | 9.66 | −35.43 | 9.65 | −24.61 |
| c | 18.27 | −32.13 | 12.31 | 28.63 | 25.30 | −26.20 | 17.08 | 65.02 | 11.02 | −26.34 | 11.37 | −11.17 |
| d | 20.23 | −24.85 | 10.38 | 8.46 | 20.10 | −41.37 | 12.91 | 24.73 | 9.18 | −38.64 | 9.83 | −23.20 |
| e | 15.65 | −41.86 | 10.12 | 5.75 | 23.97 | −30.08 | 16.18 | 56.33 | 12.14 | −18.85 | 11.49 | −10.23 |
| f | 18.35 | −31.84 | 16.81 | 75.65 | 24.58 | −28.30 | 15.72 | 51.88 | 11.74 | −21.52 | 11.89 | −7.11 |
| g | 19.79 | −26.49 | 13.10 | 36.89 | 27.14 | −20.83 | 23.00 | 122.2 | 17.83 | 19.18 | 14.45 | 12.89 |
| h | 17.32 | −35.66 | 4.74 | −50.47 | 25.03 | −26.98 | 20.72 | 100.1 | 8.24 | −44.92 | 13.32 | 4.06 |
| i | 18.58 | −30.98 | 9.79 | 2.30 | 24.02 | −29.93 | 18.36 | 77.39 | 15.43 | 3.14 | 11.95 | −6.64 |
| j | 11.70 | −56.54 | 7.95 | −16.93 | 16.04 | −53.21 | 11.61 | 12.17 | 7.04 | −52.94 | 9.23 | −27.89 |
| k | 13.17 | −51.08 | 8.04 | −15.99 | 19.09 | −44.31 | 16.02 | 54.78 | 10.51 | −29.75 | 12.58 | −1.72 |
| l | 15.47 | −42.53 | 12.48 | 30.41 | 20.87 | −39.12 | 14.93 | 44.25 | 13.52 | −9.63 | 14.20 | 10.94 |
| m | 15.17 | −43.65 | 11.70 | 22.26 | 14.20 | −58.58 | 14.56 | 40.68 | 12.97 | −13.30 | 10.54 | −17.66 |
| n | 14.14 | −47.47 | 7.85 | −17.97 | 11.54 | −66.34 | 10.03 | −3.09 | 8.31 | −44.45 | 9.86 | −22.97 |
| Event ID | Member | |||||||||||||
|---|---|---|---|---|---|---|---|---|---|---|---|---|---|---|
| a | b | c | d | e | f | g | h | i | j | k | l | m | n | |
| Event 1 | 0.40 | 0.57 | 0.62 | 0.43 | 0.52 | 0.45 | 0.77 | 0.47 | 0.65 | 0.67 | 0.65 | 0.70 | 0.71 | 0.69 |
| Event 2 | 0.65 | 0.67 | 0.64 | 0.57 | 0.56 | 0.82 | 0.64 | 0.40 | 0.57 | 0.48 | 0.46 | 0.61 | 0.65 | 0.48 |
| Event 3 | 0.57 | 0.68 | 0.67 | 0.80 | 0.68 | 0.62 | 0.76 | 0.58 | 0.71 | 0.82 | 0.74 | 0.80 | 0.87 | 0.98 |
| Event 4 | 0.80 | 0.73 | 0.83 | 0.70 | 0.77 | 0.75 | 0.84 | 0.93 | 0.76 | 0.63 | 0.76 | 0.73 | 0.79 | 0.65 |
| Event 5 | 0.61 | 0.63 | 0.67 | 0.62 | 0.72 | 0.59 | 0.77 | 0.70 | 0.81 | 0.63 | 0.70 | 0.68 | 0.76 | 0.69 |
| Event 6 | 0.56 | 0.53 | 0.48 | 0.52 | 0.54 | 0.51 | 0.56 | 0.42 | 0.52 | 0.43 | 0.51 | 0.51 | 0.39 | 0.37 |
© 2019 by the authors. Licensee MDPI, Basel, Switzerland. This article is an open access article distributed under the terms and conditions of the Creative Commons Attribution (CC BY) license (http://creativecommons.org/licenses/by/4.0/).
Share and Cite
Mu, Z.; Zhou, Y.; Peng, L.; He, Y. Numerical Rainfall Simulation of Different WRF Parameterization Schemes with Different Spatiotemporal Rainfall Evenness Levels in the Ili Region. Water 2019, 11, 2569. https://doi.org/10.3390/w11122569
Mu Z, Zhou Y, Peng L, He Y. Numerical Rainfall Simulation of Different WRF Parameterization Schemes with Different Spatiotemporal Rainfall Evenness Levels in the Ili Region. Water. 2019; 11(12):2569. https://doi.org/10.3390/w11122569
Chicago/Turabian StyleMu, Zhenxia, Yulin Zhou, Liang Peng, and Ying He. 2019. "Numerical Rainfall Simulation of Different WRF Parameterization Schemes with Different Spatiotemporal Rainfall Evenness Levels in the Ili Region" Water 11, no. 12: 2569. https://doi.org/10.3390/w11122569
APA StyleMu, Z., Zhou, Y., Peng, L., & He, Y. (2019). Numerical Rainfall Simulation of Different WRF Parameterization Schemes with Different Spatiotemporal Rainfall Evenness Levels in the Ili Region. Water, 11(12), 2569. https://doi.org/10.3390/w11122569
