Exploring an Alternative Configuration of the Hydroclimatic Modeling Chain, Based on the Notion of Asynchronous Objective Functions
Abstract
1. Introduction
2. Methodology
2.1. Asynchronous Objective Functions
2.2. Alternative Configuration of the Hydroclimatic Modeling Chain
2.3. Domain, Data, and Modeling Setup
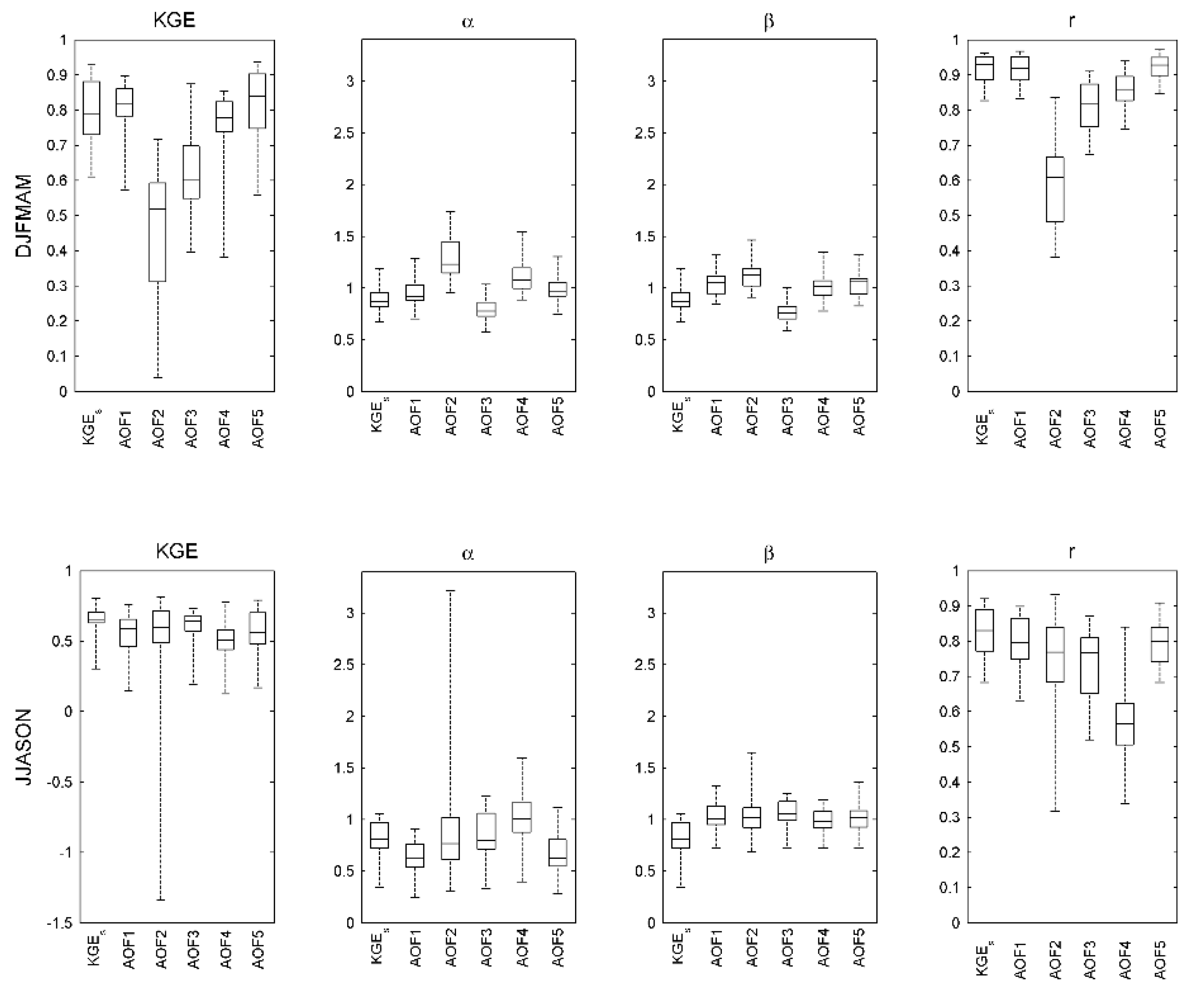
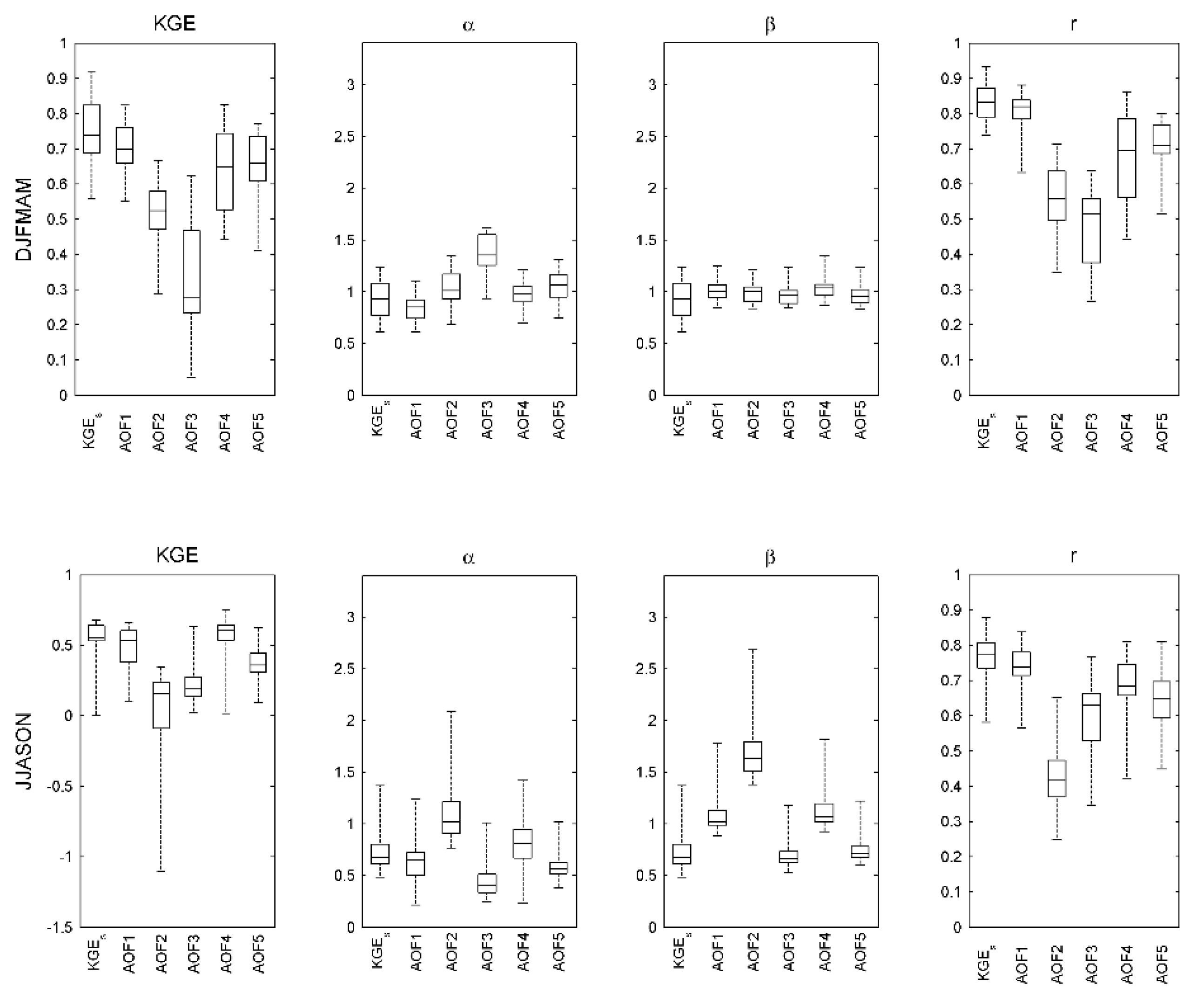
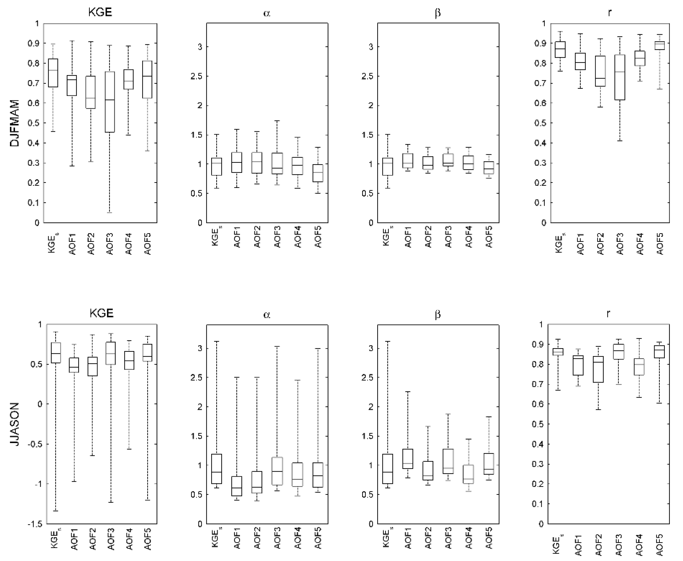
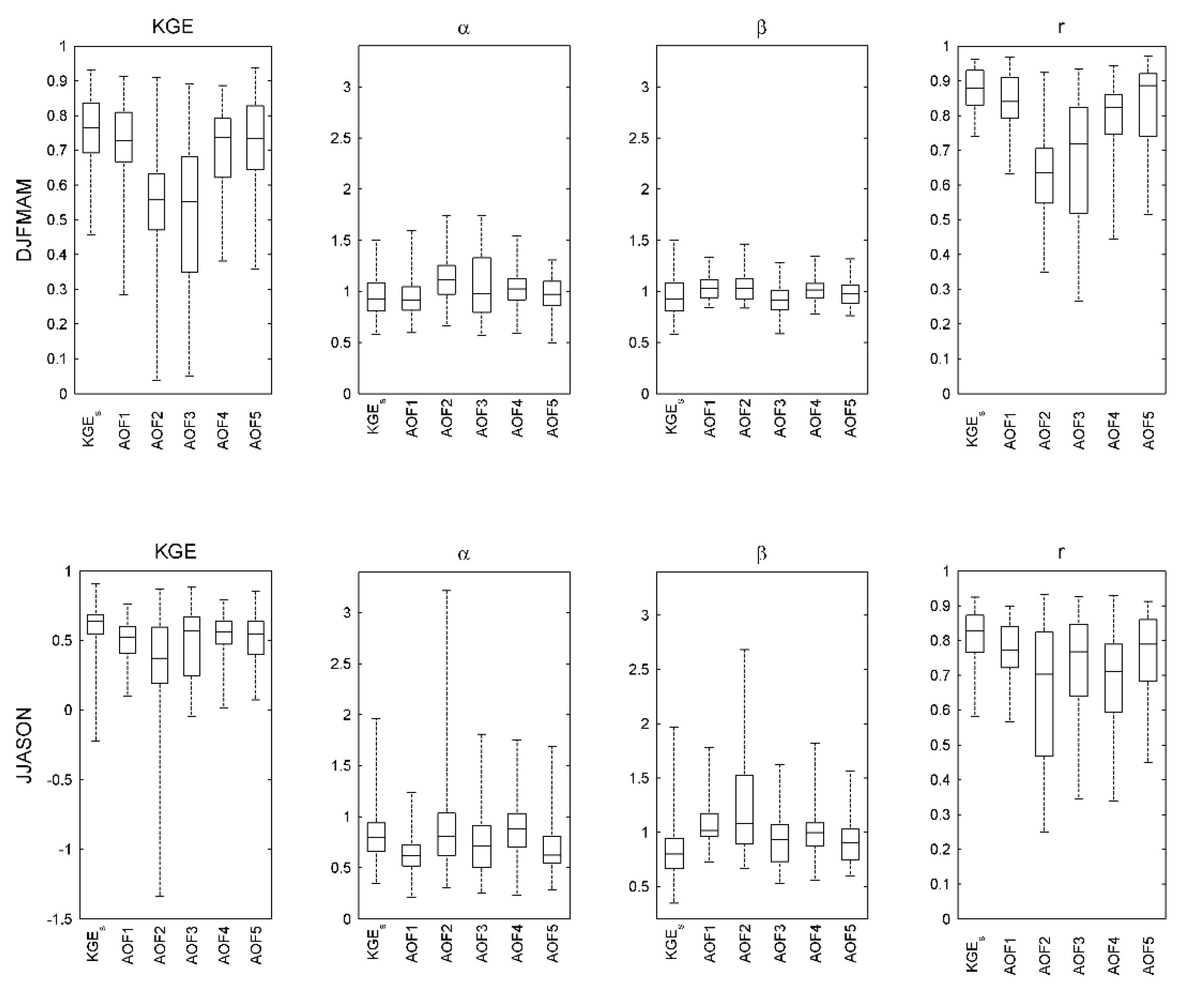
3. Results
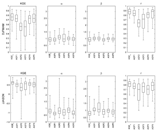
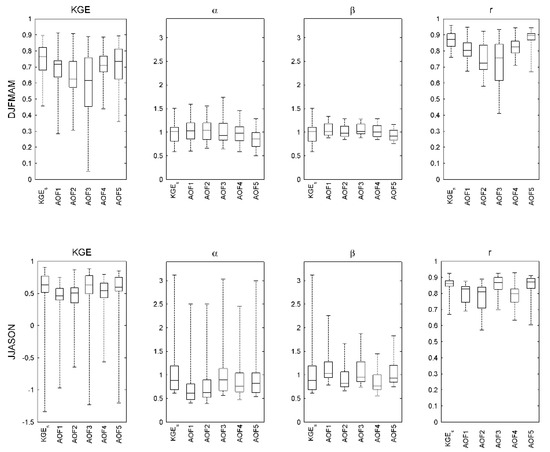
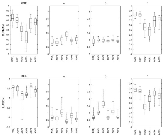
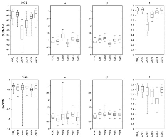
3.1. Hydrological Performance over the Historical Period
3.2. Hydrologic Projections over the Reference Period
4. Discussion
4.1. AOFs Provide an Appropriate Hydrological Response over the Historical Period
4.2. The Alternative Configuration of the Modeling Chain Enforces the Consistency of Hydrological Projections
4.3. Limitations
5. Conclusions
Author Contributions
Funding
Acknowledgments
Conflicts of Interest
Appendix A. Methodological Framework
- Five exploratory AOFs are designed (AOF1–AOF5).
- The hydrologic model is forced with climate observations over three sites.
- Optimization is conducted with AOFs and KGE as cost-functions.
- Performance is evaluated between synchronized observed and simulated streamflow values using the KGE metric.
- AOFs presenting inappropriate performance are excluded from step 2.
- Site-to-site variability of the resulting simulated hydrological response is evaluated before conducting step 2 to one site.
- Conventional and alternative configurations of the hydroclimatic modeling chain are implemented. The hydrologic model is forced with climate simulation.
- Optimization is conducted with KGE and most performing AOFs as cost functions.
- Performance of both configurations is evaluated between asynchronized observed and projected streamflow values using metrics excluding correlation.
Appendix B. Site-to-Site Variability of the Simulated Hydrological Response



References
- Madsen, H.; Lawrence, D.; Lang, M.; Martinkova, M.; Kjeldsen, T.R. Review of trend analysis and climate change projections of extreme precipitation and floods in Europe. J. Hydrol. 2014, 519, 3634–3650. [Google Scholar] [CrossRef]
- Foughali, A.; Tramblay, Y.; Bargaoui, Z.; Carreau, J.; Ruelland, D. Hydrologic modeling in northern Tunisia with regional climate model outputs: Performance evaluation and bias-correction in present climate conditions. Climate 2015, 3, 459–473. [Google Scholar] [CrossRef]
- Seong, C.; Sridhar, V. Hydroclimatic variability and change in the Chesapeake Bay watershed. J. Water Clim. Chang. 2017, 8, 254–273. [Google Scholar] [CrossRef]
- Bozkurt, D.; Rojas, M.; Boisier, J.P.; Valdivieso, J. Projected hydroclimate changes over Andean basins in central Chile from downscaled CMIP5 models under the low and high emission scenarios. Clim. Chang. 2018, 150, 131–147. [Google Scholar] [CrossRef]
- Giménez, P.O.; García-Galiano, S.G.; Giraldo-Osorio, J.D. Improvement of hydroclimatic projections over southeast Spain by applying a novel RCM ensemble approach. Water 2018, 10, 52. [Google Scholar]
- Olsson, J.; Arheimer, B.; Borris, M.; Donnelly, C.; Foster, K.; Nikulin, G.; Persson, M.; Perttu, A.M.; Uvo, C.B.; Viklander, M.; et al. Hydrological Climate Change Impact Assessment at Small and Large Scales: Key Messages from Recent Progress in Sweden. Climate 2016, 4, 39. [Google Scholar] [CrossRef]
- Themeßl, M.J.; Gobiet, A.; Leuprecht, A. Empirical-statistical downscaling and error correction of daily precipitation from regional climate models. Int. J. Climatol. 2011, 31, 1530–1544. [Google Scholar] [CrossRef]
- Mpelasoka, F.S.; Chiew, F.H. Influence of Rainfall Scenario Construction Methods on Runoff Projections. J. Hydrometeorol. 2009, 10, 1168–1183. [Google Scholar] [CrossRef]
- Zhang, L.; Su, F.; Yang, D.; Hao, D.; Tong, K. Discharge regime and simulation for the upstream of major rivers over Tibetan Plateau. J. Geophys. Res. Atmos. 2013, 118, 8500–8518. [Google Scholar] [CrossRef]
- Higley, M.C.; Conroy, J.L. The hydrological response of surface water to recent climate variability: A remote sensing case study from the central tropical Pacific. Hydrol. Process. 2019, 33, 2227–2239. [Google Scholar] [CrossRef]
- Uprety, M.; Ochoa-Tocachi, B.F.; Paula, J.D.; Regmid, S.; Buytaert, W. Improving water resources management using participatory monitoring in a remote mountainous region of Nepal. J. Hydrol. Reg. Stud. 2019, 23, 1–13. [Google Scholar] [CrossRef]
- Essou, G.R.C.; Sabarly, F.; Lucas-Picher, P.; Brissette, F.; Poulin, A. Can precipitation and temperature from meteorological reanalyses be used for hydrological modeling? J. Hydrometeorol. 2016, 17, 1929–1950. [Google Scholar] [CrossRef]
- Ricard, S.; Anctil, F. Forcing the Penman-Montheith Formulation with Humidity, Radiation, and Wind Speed Taken from Reanalyses, for Hydrologic Modeling. Water 2019, 11, 1214. [Google Scholar] [CrossRef]
- Singh, H.; Sankarasubramanian, A. Systematic uncertainty reduction strategies for developing streamflow forecasts utilizing multiple climate models and hydrologic models. Water Resour. Res. 2014, 50, 1288–1307. [Google Scholar] [CrossRef]
- Seo, S.B.; Sinha, T.; Mahinthakumar, G.; Sankarasubramanian, A.; Kumar, M. Identification of dominant source of errors in developing streamflow and groundwater projections under near-term climate change. J. Geophys. Res. Atmos. 2016, 121, 7652–7672. [Google Scholar] [CrossRef]
- Climate Change in Australia. Available online: https://www.climatechangeinaustralia.gov.au/en/climate-campus/modelling-and-projections/climate-models/theory-and-physics/ (accessed on 10 September 2019).
- Cannon, A.J. Multivariate quantile mapping bias correction: An N-dimensional probability density function transform for climate model simulations of multiple variables. Clim. Dyn. 2018, 50, 31–49. [Google Scholar] [CrossRef]
- Piani, C.; Haerter, J.O.; Coppola, E. Statistical bias correction for daily precipitation in regional climate models over Europe. Theor. Appl. Climatol. 2010, 99, 187–192. [Google Scholar] [CrossRef]
- Krysanova, V.; Donnelly, C.; Gelfan, A.; Gerten, D.; Arheimer, B.; Hattermann, F.; Kundzewicz, Z.W. How the performance of hydrologic models relates to credibility of projections under climate change. Hydrol. Sci. J. 2018, 63, 696–720. [Google Scholar] [CrossRef]
- García, L.E.; Matthews, J.H.; Rodriguez, D.J.; Wijnen, M.; DiFrancesco, K.N.; Ray, P. Beyond Downscaling: A Bottom-Up Approach to Climate Adaptation for Water Resources Management; AGWA Report 01; World Bank Group: Washington, DC, USA, 2014; pp. 1–51. [Google Scholar]
- Kay, A.L.; Crooks, S.M.; Reynard, N.S. Using response surfaces to estimate impacts of climate change on flood peaks: Assessment of uncertainty. Hydrol. Process. 2014, 28, 5273–5287. [Google Scholar] [CrossRef]
- Guo, D.; Westra, S.; Maier, H.R. An inverse approach to perturb historical rainfall data for scenario-neutral climate impact studies. J. Hydrol. 2018, 556, 877–890. [Google Scholar] [CrossRef]
- Ekström, M.; Gutmann, E.D.; Wilby, R.L.; Tye, M.R.; Kirono, D.G.C. Robustness of hydroclimate metrics for climate change impact research. Water 2018, 5, 1–20. [Google Scholar] [CrossRef]
- Zhang, Y.; Shao, Q.; Zhang, S.; Zhai, X.; She, D. Multi-metric calibration of hydrological model to capture overall flow regimes. J. Hydrol. 2016, 539, 525–538. [Google Scholar] [CrossRef]
- Pechlivanidis, I.G.; Jackson, B.; McMillan, H.; Gupta, H. Use of an entropy-based metric in multiobjective calibration to improve model performance. Water Resour. Res. 2014, 50, 8066–8083. [Google Scholar] [CrossRef]
- Asadzadeh, M.; Tolson, B.A.; Burn, D.H. A new selection metric for multiobjective hydrologic model calibration. Water Resour. Res. 2014, 50, 7082–7099. [Google Scholar] [CrossRef]
- Seiller, G.; Roy, R.; Anctil, F. Influence of three common calibration metrics on the diagnosis of climate change impacts on water resources. J. Hydrol. 2017, 547, 280–295. [Google Scholar] [CrossRef]
- Mizukami, N.; Rakovec, O.; Newman, A.J.; Clark, M.P.; Wood, A.W.; Gupta, H.V.; Kumar, R. On the choice of calibration metrics for “high-flow” estimation using hydrologic models. Hydrol. Earth Syst. Sci. 2019, 23, 2601–2614. [Google Scholar] [CrossRef]
- Cu, P.T.; Ball, J.E. The influence of the calibration metric on design flood estimation using continuous simulation. Int. J. River Basin Manag. 2017, 15, 9–20. [Google Scholar] [CrossRef]
- Vansteenkiste, T.; Tavakoli, M.; Ntegeka, V.; De Smedt, F.; Batelaan, O.; Pereira, F.; Willems, P. Intercomparison of hydrological model structures and calibration approaches in climate scenario impact projections. J. Hydrol. 2014, 519, 743–755. [Google Scholar] [CrossRef]
- Mendoza, P.A.; Clark, M.P.; Mizukami, N.; Gutmann, E.D.; Arnold, J.R.; Brekke, L.D.; Rajagopalan, B. How do hydrologic modeling decisions affect the portrayal of climate change impacts? Hydrol. Process. 2016, 30, 1071–1095. [Google Scholar] [CrossRef]
- Barnston, A.G. Correspondence among the correlation, RMSE, and Heidke forecast verification measures. Weather Forecast. 1992, 7, 699–709. [Google Scholar] [CrossRef]
- Nash, J.E.; Sutcliffe, J.V. River flow forecasting through conceptual models part I—A discussion of principles. J. Hydrol. 1970, 10, 282–290. [Google Scholar] [CrossRef]
- Gupta, H.V.; Kling, H.; Yilmaz, K.K.; Martinez, G.F. Decomposition of the mean squared error and NSE performance criteria: Implications for improving hydrologic modelling. J. Hydrol. 2009, 377, 80–91. [Google Scholar] [CrossRef]
- Chen, J.; Brissette, F.P.; Chaumont, D.; Braun, M. Finding appropriate bias correction methods in downscaling precipitation for hydrologic impact studies over North America. Water Resour. Res. 2013, 49, 4187–4205. [Google Scholar] [CrossRef]
- WaSiM-ETH Documentation. Available online: http://www.wasim.ch/en/products/wasim_description.htm (accessed on 10 September 2019).
- Vrzel, J.; Ludwig, R.; Gampe, D.; Ogrinc, N. Hydrologic system behaviour of an alluvial aquifer under climate change. Sci. Total Environ. 2019, 649, 1179–1188. [Google Scholar] [CrossRef]
- Shangguan, W.; Dai, Y.; Duan, Q.; Liu, B.; Yuan, H. A global soil data set for earth system modeling. J. Adv. Model. Earth Syst. 2014, 6, 249–263. [Google Scholar] [CrossRef]
- Federer, C.A.; Lash, D. BROOK—A Hydrologic Simulation Model for Eastern Forests; Research Report No. 19; Water Resources Research Center: Durham, NC, USA, 1978. [Google Scholar]
- Richards, L.A. Capillary conduction of liquids through porous mediums. Physics 1931, 1, 318–333. [Google Scholar] [CrossRef]
- Van Genuchten, M.T. A Closed-Form Equation for Predicting the Hydraulic Conductivity of Unsaturated Soils. Soil Sci. Soc. Am. J. 1976, 44, 892–898. [Google Scholar] [CrossRef]
- Asadzadeh, M.; Tolson, B. Hybrid Pareto archived dynamically dimensioned search for multi-objective combinatorial optimization: Application to water distribution network design. J. Hydroinform. 2012, 14, 192–205. [Google Scholar] [CrossRef]
- Leduc, M.; Mailhot, A.; Frigon, A.; Martel, J.L.; Ludwig, R.; Brietzke, G.B.; Giguère, M.; Brissette, F.; Turcotte, R.; Braun, M.; et al. The ClimEx Project: A 50-Member Ensemble of Climate Change Projections at 12-km Resolution over Europe and Northeastern North America with the Canadian Regional Climate Model (CRCM5). J. Appl. Meteorol. Clim. 2019, 58, 663–693. [Google Scholar] [CrossRef]
- Kirchmeier-Young, M.C.; Zwiers, F.W.; Gillett, N.P. Attribution of extreme events in Arctic Sea ice extent. J. Clim. 2017, 30, 553–571. [Google Scholar] [CrossRef]
- Šeparovic, L.; Alexandru, A.; Laprise, R.; Martynov, A.; Sushama, L.; Winger, K.; Tete, K.; Valin, M. Present climate and climate change over North America as simulated by the fifth-generation Canadian regional climate model. Clim. Dyn. 2013, 41, 3167–3201. [Google Scholar] [CrossRef]
- Ivanov, M.A.; Kotlarski, S. Assessing distribution-based climate model bias correction methods over an alpine domain: Added value and limitations. Int. J. Climatol. 2017, 37, 2633–2653. [Google Scholar] [CrossRef]
- Schmidli, J.; Frei, C.; Vidale, P.L. Downscaling from GCM precipitation: A benchmark for dynamical and statistical downscaling methods. Int. J. Climatol. 2006, 26, 679–689. [Google Scholar] [CrossRef]








| Description | Equation | Configuration | Number of Criteria | |
|---|---|---|---|---|
| AOF1 | Root mean square deviation (RMSD) between observed () and simulated mean annual streamflow (), where is the day of the year. | (1) | - | 1 |
| AOF2 | Absolute deviation (AD) of n-th moments () with temporal sub-scaling (t) | (2) | n = 1–3 t = 2 | 6 |
| AOF3 | Absolute deviation (AD) of the m-th quantiles mean values (μ1) | (3) | m = 1 to 5 | 5 |
| AOF4 | Combination of AOF1 and AOF2 | (4) | n = 2, 3 t = 2 | 5 |
| AOF5 | Combination of AOF1 and AOF3 | (5) | m = 1, 2, 4, 5 | 5 |
| Module | Calibration Parameter | Description | Unit | Boundaries |
|---|---|---|---|---|
| Reference evapotranspiration | fi | Seasonal correction factors (DJFMAM, JJASON) | (-) | [0.5;2] |
| Snow accumulation and melt | c0 | Temperature-dependent melt factor | (mm∙°C−1∙d−1) | [0;5] |
| Tm | Temperature limit for snow melt | (°C) | [−2;2] | |
| Unsaturated zone fluxes | QDsnw | Fraction of surface runoff on snow melt | (-) | [0;1] |
| dr | Scaling parameter for river density | (m−1) | [1;100] | |
| ks | Surface runoff recession constant | (h) | [1;100] | |
| kh | Interflow recession constant | (h) | [1;150] |
© 2019 by the authors. Licensee MDPI, Basel, Switzerland. This article is an open access article distributed under the terms and conditions of the Creative Commons Attribution (CC BY) license (http://creativecommons.org/licenses/by/4.0/).
Share and Cite
Ricard, S.; Sylvain, J.-D.; Anctil, F. Exploring an Alternative Configuration of the Hydroclimatic Modeling Chain, Based on the Notion of Asynchronous Objective Functions. Water 2019, 11, 2012. https://doi.org/10.3390/w11102012
Ricard S, Sylvain J-D, Anctil F. Exploring an Alternative Configuration of the Hydroclimatic Modeling Chain, Based on the Notion of Asynchronous Objective Functions. Water. 2019; 11(10):2012. https://doi.org/10.3390/w11102012
Chicago/Turabian StyleRicard, Simon, Jean-Daniel Sylvain, and François Anctil. 2019. "Exploring an Alternative Configuration of the Hydroclimatic Modeling Chain, Based on the Notion of Asynchronous Objective Functions" Water 11, no. 10: 2012. https://doi.org/10.3390/w11102012
APA StyleRicard, S., Sylvain, J.-D., & Anctil, F. (2019). Exploring an Alternative Configuration of the Hydroclimatic Modeling Chain, Based on the Notion of Asynchronous Objective Functions. Water, 11(10), 2012. https://doi.org/10.3390/w11102012

