Estimating Changes in the Green Water Productivity of Cropping Systems in Northern Shaanxi Province in China’s Loess Plateau
Abstract
1. Introduction
1.1. The Importance of Agricultural Crop Water Productivity
1.2. Background
1.2.1. Research on Green Water
1.2.2. The Importance of Green Water CWP in China’s Loess Plateau
2. Materials and Methods
2.1. Study Site
2.2. Data
2.2.1. Meteorological Data
2.2.2. Crop Data
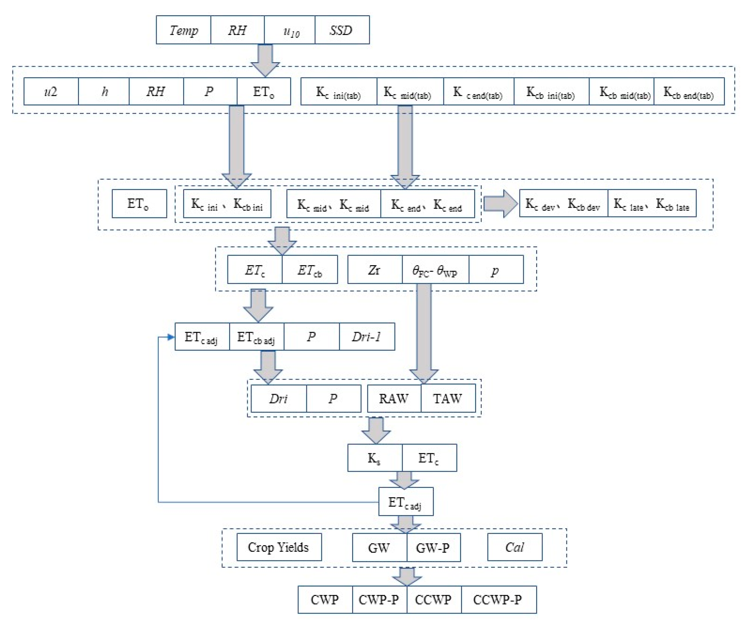
2.3. CWP Calculations
2.3.1. Evapotranspiration
2.3.2. Calculation of Crop Water Productivity
3. Results
3.1. Average CWP of Crops and Counties
3.2. Weighted Productivity of Green Water in the Agricultural System over Time
3.3. Comparison of CWP of Agricultural Systems between Counties
3.4. Changes in Crop Area during the Study Period
4. Discussion
4.1. Comparison with Previous Research
4.2. Additions to Previous Research
4.3. Limitations of Our Study and Directions for Future Research
5. Conclusions
Author Contributions
Funding
Acknowledgments
Conflicts of Interest
References
- Hoff, H.; Falkenmark, M.; Gerten, D.; Gordon, L.; Karlberg, L.; Rockstrom, J. Greening the global water system. J. Hydrol. 2010, 384, 177–186. [Google Scholar] [CrossRef]
- Debaeke, P.; Aboudrare, A. Adaptation of crop management to water-limited environments. Eur. J. Agron. 2004, 21, 433–446. [Google Scholar] [CrossRef]
- Zhang, S.; Sadras, V.; Chen, X.; Zhang, F. Water use efficiency of dryland wheat in the loess plateau in response to soil and crop management. Field Crops Res. 2013, 151, 9–18. [Google Scholar] [CrossRef]
- Li, S. Chinese Dryland Agriculture; Chinese Press of Agriculture: Beijing, China, 2004. [Google Scholar]
- Deng, X.P.; Shan, L.; Zhang, H.P.; Turner, N.C. Improving agricultural water use efficiency in arid and semiarid areas of China. Agric. Water Manag. 2006, 80, 23–40. [Google Scholar] [CrossRef]
- Hu, C.; Ding, M.; Qu, C.; Sadras, V.; Yang, X.; Zhang, S. Yield and water use efficiency of wheat in the loess plateau: Responses to root pruning and defoliation. Field Crops Res. 2015, 179, 6–11. [Google Scholar] [CrossRef]
- Smedema, L.K.; Shiati, K. Irrigation and salinity: A perspective review of the salinity hazards of irrigation development in the arid zone. Irrig. Drain. Syst. 2002, 16, 161–174. [Google Scholar] [CrossRef]
- Schmautz, Z.; Loeu, F.; Liebisch, F.; Graber, A.; Mathis, A.; Bulc, T.G.; Junge, R. Tomato productivity and quality in aquaponics: Comparison of three hydroponic methods. Water 2016, 8, 533. [Google Scholar] [CrossRef]
- Clarke-Sather, A.; Tang, X.; Xiong, Y.; Qu, J. The impact of green water management strategies on household-level agricultural water productivity in a semi-arid region: A survey-based assessment. Water 2018, 10, 11. [Google Scholar] [CrossRef]
- Nangia, V.; de Fraiture, C.; Turral, H. Water quality implications of raising crop water productivity. Agric. Water Manag. 2008, 95, 825–835. [Google Scholar] [CrossRef]
- Hoekstra, A.Y.; Mekonnen, M.M. The water footprint of humanity. Proc. Natl. Acad. Sci. USA 2012, 109, 3232–3237. [Google Scholar] [CrossRef] [PubMed]
- Rost, S.; Gerten, D.; Hoff, H.; Lucht, W.; Falkenmark, M.; Rockstrom, J. Global potential to increase crop production through water management in rainfed agriculture. Environ. Res. Lett. 2009, 4, 1–9. [Google Scholar] [CrossRef]
- Aldaya, M.M.; Allan, J.A.; Hoekstra, A.Y. Strategic importance of green water in international crop trade. Ecol. Econ. 2010, 69, 887–894. [Google Scholar] [CrossRef]
- Li, B.; Huang, F. Trends in China’s agricultural water use during recent decade using the green and blue water approach. Adv. Water Sci. 2010, 21, 575–583. [Google Scholar]
- Wang, Y.J.; Xie, Z.K.; Malhi, S.S.; Vera, C.L.; Zhang, Y.B.; Wang, J.N. Effects of rainfall harvesting and mulching technologies on water use efficiency and crop yield in the semi-arid loess plateau, China. Agric. Water Manag. 2009, 96, 374–382. [Google Scholar] [CrossRef]
- Yan, W.M.; Zhong, Y.Q.W.; Zheng, S.X.; Shangguan, Z.P. Linking plant leaf nutrients/stoichiometry to water use efficiency on the loess plateau in China. Ecol. Eng. 2016, 87, 124–131. [Google Scholar] [CrossRef]
- Vaghefi, S.A.; Abbaspour, K.C.; Faramarzi, M.; Srinivasan, R.; Arnold, J.G. Modeling crop water productivity using a coupled swat-modsim model. Water 2017, 9, 157. [Google Scholar] [CrossRef]
- Sun, C.; Ren, L. Assessing crop yield and crop water productivity and optimizing irrigation scheduling of winter wheat and summer maize in the haihe plain using swat model. Hydrol. Processes 2014, 28, 2478–2498. [Google Scholar] [CrossRef]
- Najafi, P.; Tabatabaei, S.H. Effect of using subsurface drip irrigation and et-hs model to increase wue in irrigation of some crops. Irrig. Drain. 2007, 56, 477–486. [Google Scholar] [CrossRef]
- Allen, R.G.; Pereira, L.S. Estimating crop coefficients from fraction of ground cover and height. Irrig. Sci. 2009, 28, 17–34. [Google Scholar] [CrossRef]
- Allen, R.G.; Pereira, L.S.; Smith, M.; Raes, D.; Wright, J.L. FAO-56 dual crop coefficient method for estimating evaporation from soil and application extensions. J. Irrig. Drain. Eng. 2005, 131, 2–13. [Google Scholar] [CrossRef]
- Administration, C.M. Specification for Ground Meteorological Observations; China Meteorological Press: Beijing, China, 2003. [Google Scholar]
- Lu, G.Y.; Wong, D.W. An adaptive inverse-distance weighting spatial interpolation technique. Comput. Geosci. 2008, 34, 1044–1055. [Google Scholar] [CrossRef]
- Liu, G.; Wang, Y.; Wang, Y. Impact of inverse distance weighted interpolation factors on interpolation error. China Sciencepaper 2010, 5, 879–884. [Google Scholar]
- Liang, Y.; Liu, A.; Xing, Q.; Chang, S. Application of inverse distance weighted interpolation in monitoring of inner Mongolia’s natural grassland vegetation cover. Grassland Inner Mongolia 2009, 21, 2–3. [Google Scholar]
- Gao, X. Statistical Yearbook of Yan’an; Xi’an Press: Yan’an, China, 2008. [Google Scholar]
- Allen, R.G.; Pereira, L.S.; Raes, D.; Smith, M. Fao Irrigation and Drainage Paper No. 56. Available online: https://www.kimberly.uidaho.edu/water/fao56/fao56.pdf (accessed on 22 August 2018).
- Yan, H.; Zhang, C.; Oue, H.; Wang, G.; He, B. Study of evapotranspiration and evaporation beneath the canopy in a buckwheat field. Theor. Appl. Climatol. 2015, 122, 721–728. [Google Scholar] [CrossRef]
- USDA. Usda Food Composition Databases. Available online: https://ndb.nal.usda.gov/ndb/ (accessed on 22 August 2018).
- Fan, J.; Shao, M.; Wang, Q. Comparison of many equations for calculating reference evapotranspiration in the loess plateau of China. Trans. Chin. Soc. Agric. Eng. 2008, 24, 98–102. [Google Scholar]
- Liu, X.; Lin, E.; Liu, P. Study on application of priestly-taylor method to dry climate condition. J. Hydraul. Eng. 2003, 9, 31–38. [Google Scholar]
- FAO. Eto Calculator. Available online: http://www.fao.org/land-water/databases-and-software/eto-calculator/es/ (accessed on 22 August 2018).
- Rockström, J. On-farm Agrohydrological Analysis of the Sahelian Yield Crisis: Rainfall partitioning, Soil Nutrients and Water Use Efficiency of Pearl Millet. Ph.D. Thesis, Stockholm University, Stockholm, Sweden, 1997. [Google Scholar]
- Rockstrom, J. On-farm green water estimates as a tool for increased food production in water scarce regions. Phys. Chem. Earth Part B 1999, 24, 375–383. [Google Scholar] [CrossRef]
- Kaneko, S.; Tanaka, K.; Toyota, T.; Managi, S. Water efficiency of agricultural production in China: Regional comparison from 1999 to 2002. Int. J. Agric. Resour. Gov. Ecol. 2004, 3, 231–251. [Google Scholar] [CrossRef]
- Wu, Z.; Zhao, M.; Lall, U. Regional difference of water use efficiency of crop production in the world: Analysis and suggestions. China Popul. Res. Environ. 2013, 23, 55–62. [Google Scholar]
- Zhang, S.; Sadras, V.; Chen, X.; Zhang, F. Water use efficiency of dryland maize in the loess plateau of China in response to crop management. Field Crops Res. 2014, 163, 55–63. [Google Scholar] [CrossRef]
- Shang, S.; Jiang, L.; Yang, Y. Review of remote sensing-based assessment method for irrigation and crop water use efficiency. Trans. Chin. Soc. Agric. Mach. 2015, 46, 81–92. [Google Scholar]











| Wuqi | Zhidan | Ansai | Zichang | |
|---|---|---|---|---|
| Irrigated area (ha) | 3140.00 | 3255.73 | 200.00 | 2801.33 |
| Crop area (ha) | 18,860.00 | 21,014.00 | 35,502.00 | 30,739.00 |
| Proportion (%) of non-irrigated area | 83.35 | 84.51 | 99.44 | 90.89 |
| Distance(km) | Dingbian | Xifeng | Yan’an | Wuqi | Hengshan | Suide |
|---|---|---|---|---|---|---|
| Counties | ||||||
| Wuqi | 79.594 | 183.663 | 47.780 | 111.336 | ||
| Zhidan | 185.091 | 72.206 | 100.326 | |||
| Ansai | 63.730 | 103.560 | 95.522 | |||
| Zichang | 100.203 | 55.910 | 46.733 |
| Crop | Crop Growth Cycle Durations (days) a | Kc(Tab) | Plant Height (m) | Caloric Content (kcal/100 g) | |||||||
|---|---|---|---|---|---|---|---|---|---|---|---|
| PLT0 | Length | Lini | Ldev | Lmid | Llate | Kini | Kmid | Kend | |||
| Potato | 1 May | 165 | 45 | 30 | 70 | 20 | 0.5 | 1.15 | 0.75 | 0.6 | 77 |
| Corn | 1 May | 170 | 30 | 40 | 50 | 50 | 0.3 | 1.2 | 0.35 | 2.0 | 365 |
| Millet | 1 May | 140 | 20 | 30 | 55 | 35 | 0.3 | 1.0 | 0.30 | 1.5 | 378 |
| Soybean | 1 May | 140 | 20 | 35 | 60 | 25 | 0.4 | 1.15 | 0.50 | 0.75 | 446 |
| Proso millet | 1 May | 140 | 20 | 30 | 55 | 35 | 0.3 | 1.0 | 0.30 | 1.5 | 356 |
| Wheat | 1 October | 260 | 140 | 50 | 50 | 20 | 0.4 | 1.15 | 0.25 | 1.0 | 340 |
| Sorghum | 1 May | 170 | 25 | 45 | 60 | 40 | 0.3 | 1.05 | 0.55 | 1.5 | 329 |
| Buckwheat a | 20 June | 110 | 35 | 20 | 40 | 15 | 0.58 | 1.1 | 0.74 | 1.0 | 343 |
| Mung bean | 1 May | 130 | 25 | 40 | 40 | 25 | 0.4 | 1.05 | 0.35 | 0.4 | 347 |
| Crops | Wuqi (kg/ha) | Zhidan (kg/ha) | Ansai (kg/ha) | Zichang (kg/ha) |
|---|---|---|---|---|
| Potato | 2803.13 | 3173.33 | 2873.80 | 2275.20 |
| Corn | 6997.67 | 6465.00 | 5001.07 | 4691.53 |
| Millet | 1911.40 | 1963.60 | 1444.73 | 1523.80 |
| Soybean | 1651.93 | 2124.47 | 1355.73 | 1238.00 |
| Proso millet | 2425.29 | 1863.40 | 1272.40 | 1452.67 |
| Wheat | 1014.88 | 842.33 | 1102.33 | 902.86 |
| Sorghum | — | 6014.73 | 2891.50 | 2244.29 |
| Buckwheat | — | 1682.00 | 1214.75 | 951.50 |
| Mung bean | — | 1064.70 | 1055.83 | 956.00 |
| County | Parameters a | Potato | Corn | Millet | Soybean | Proso Millet | Wheat | Sorghum | Buckwheat | Mung Bean |
|---|---|---|---|---|---|---|---|---|---|---|
| Wuqi | GWtotal (mm) | 366.32 | 421.68 | 361.84 | 348.88 | 361.81 | 265.37 | 425.90 | 270.33 | 307.04 |
| GWprod (mm) | 276.54 | 321.24 | 286.89 | 278.28 | 288.09 | 115.05 | 323.71 | 125.71 | 228.85 | |
| Zhidan | GWtotal (mm) | 378.74 | 429.07 | 373.82 | 363.72 | 373.82 | 279.33 | 439.19 | 274.33 | 321.32 |
| GWprod (mm) | 278.35 | 318.91 | 291.98 | 285.50 | 291.98 | 116.60 | 331.10 | 127.46 | 236.40 | |
| Ansai | GWtotal (mm) | 379.73 | 444.31 | 376.92 | 366.36 | 376.92 | 295.22 | 446.23 | 271.75 | 325.17 |
| GWprod (mm) | 280.35 | 342.77 | 296.64 | 288.31 | 296.52 | 131.90 | 346.32 | 127.96 | 239.34 | |
| Zichang | GWtotal (mm) | 369.17 | 437.06 | 371.14 | 359.47 | 371.19 | 296.40 | 431.53 | 265.30 | 318.88 |
| GWprod (mm) | 274.71 | 340.40 | 293.38 | 282.79 | 292.23 | 118.96 | 337.56 | 126.11 | 234.07 |
| Crops | 1994 | 1995 | 1996 | 1997 | 1998 | 1999 | 2000 | 2001 | 2002 | 2003 | 2004 | 2005 | 2006 | 2007 | 2008 | Mean | |
|---|---|---|---|---|---|---|---|---|---|---|---|---|---|---|---|---|---|
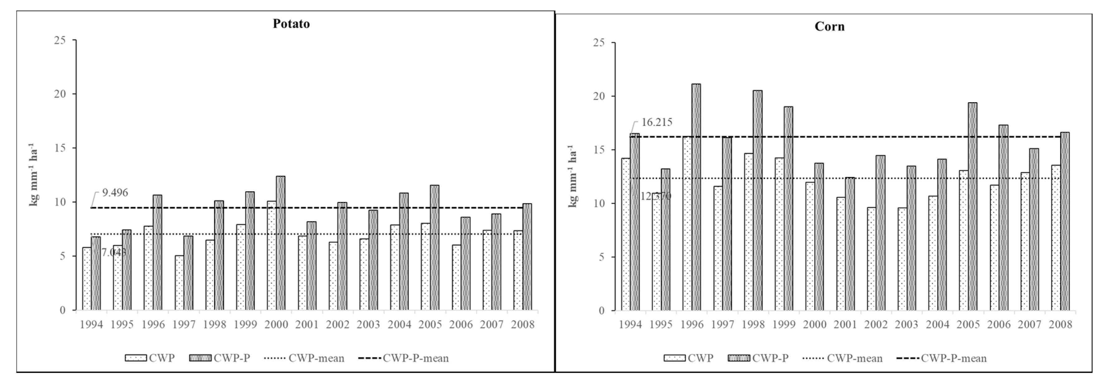
| Potato | CWP | 5.818 | 6.005 | 7.766 | 5.064 | 6.500 | 7.940 | 10.092 | 6.881 | 6.284 | 6.611 | 7.883 | 8.026 | 6.032 | 7.390 | 7.350 | 7.043 |
| CWP-P | 6.783 | 7.422 | 10.673 | 6.877 | 10.124 | 10.966 | 12.386 | 8.196 | 9.977 | 9.254 | 10.827 | 11.547 | 8.621 | 8.928 | 9.864 | 9.496 | |
| Corn | CWP | 14.218 | 10.944 | 16.246 | 11.588 | 14.669 | 14.262 | 11.955 | 10.561 | 9.637 | 9.601 | 10.667 | 13.068 | 11.697 | 12.887 | 13.548 | 12.370 |
| CWP-P | 16.527 | 13.210 | 21.126 | 16.136 | 20.531 | 19.013 | 13.742 | 12.443 | 14.480 | 13.475 | 14.123 | 19.388 | 17.304 | 15.105 | 16.623 | 16.215 | |
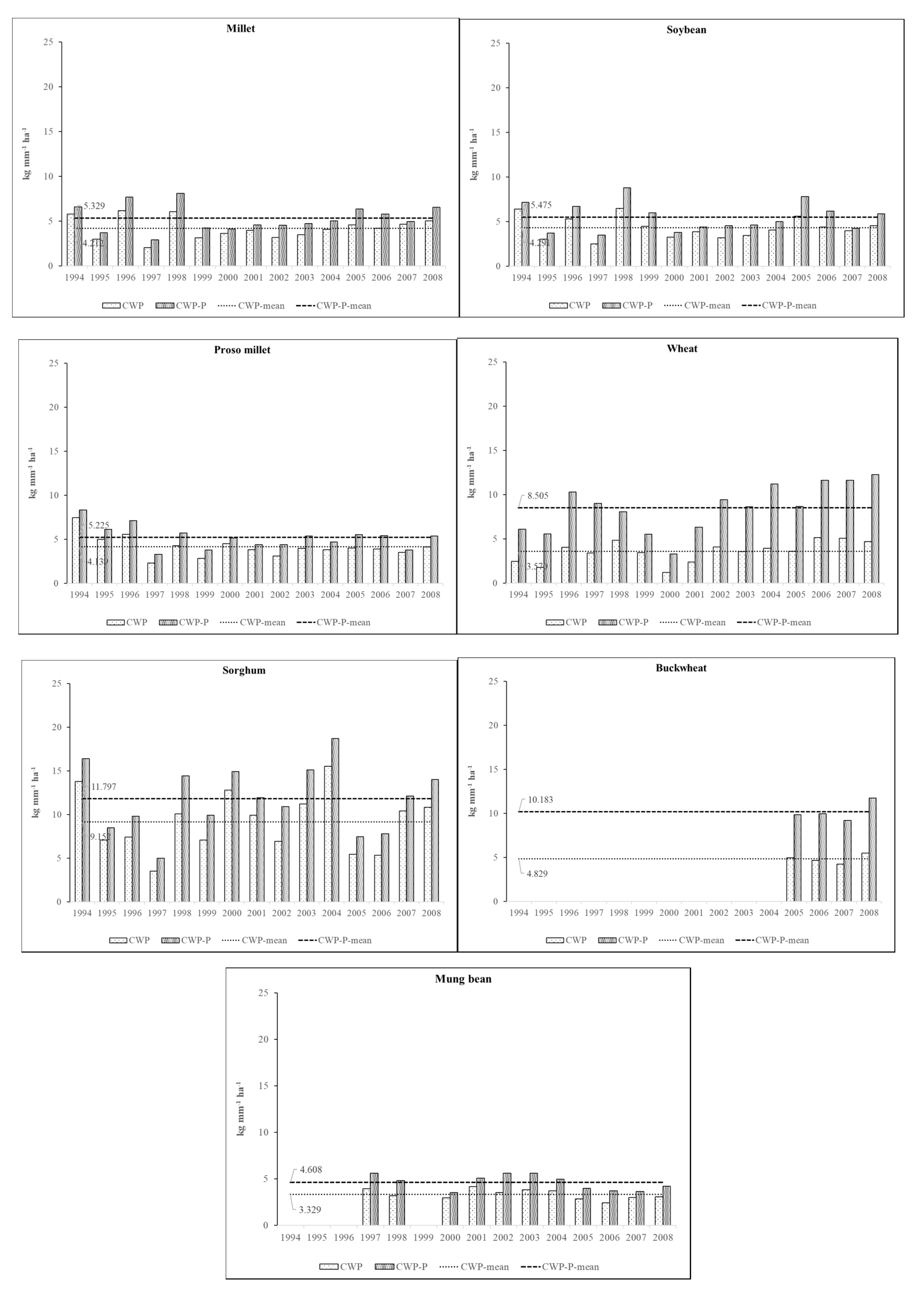
| Millet | CWP | 5.814 | 2.995 | 6.185 | 2.059 | 6.060 | 3.140 | 3.652 | 3.993 | 3.193 | 3.493 | 4.089 | 4.587 | 4.193 | 4.666 | 5.054 | 4.211 |
| CWP-P | 6.578 | 3.705 | 7.696 | 2.932 | 8.117 | 4.235 | 4.121 | 4.600 | 4.536 | 4.732 | 5.026 | 6.354 | 5.798 | 4.948 | 6.560 | 5.329 | |
| Soybean | CWP | 6.389 | 3.024 | 5.300 | 2.507 | 6.475 | 4.458 | 3.263 | 3.846 | 3.160 | 3.437 | 4.033 | 5.611 | 4.389 | 3.952 | 4.527 | 4.291 |
| CWP-P | 7.133 | 3.720 | 6.695 | 3.482 | 8.782 | 5.964 | 3.777 | 4.385 | 4.520 | 4.620 | 5.000 | 7.781 | 6.167 | 4.225 | 5.868 | 5.475 | |
| Millet | CWP | 7.451 | 4.972 | 5.562 | 2.304 | 4.286 | 2.822 | 4.504 | 3.801 | 3.095 | 3.962 | 3.797 | 4.014 | 3.882 | 3.494 | 4.135 | 4.139 |
| CWP-P | 8.338 | 6.110 | 7.113 | 3.279 | 5.695 | 3.773 | 5.158 | 4.379 | 4.380 | 5.356 | 4.697 | 5.535 | 5.403 | 3.773 | 5.383 | 5.225 | |
| Wheat | CWP | 2.441 | 1.781 | 4.038 | 3.398 | 4.823 | 3.452 | 1.185 | 2.388 | 4.099 | 3.544 | 3.943 | 3.570 | 5.159 | 5.048 | 4.688 | 3.570 |
| CWP-P | 6.102 | 5.569 | 10.293 | 8.996 | 8.051 | 5.535 | 3.301 | 6.303 | 9.435 | 8.623 | 11.203 | 8.658 | 11.638 | 11.613 | 12.252 | 8.505 | |
| Sorghum | CWP | 13.783 | 7.075 | 7.424 | 3.512 | 10.055 | 7.066 | 12.812 | 9.911 | 6.915 | 11.206 | 15.530 | 5.435 | 5.323 | 10.398 | 10.832 | 9.152 |
| CWP-P | 16.388 | 8.473 | 9.819 | 5.001 | 14.417 | 9.929 | 14.912 | 11.929 | 10.909 | 15.115 | 18.691 | 7.435 | 7.784 | 12.126 | 14.021 | 11.797 | |
| Buckwheat | CWP | 4.959 | 4.643 | 4.227 | 5.486 | 4.829 | |||||||||||
| CWP-P | 9.829 | 9.956 | 9.214 | 11.733 | 10.183 | ||||||||||||
| Mung bean | CWP | 3.951 | 3.189 | 2.970 | 4.162 | 3.511 | 3.830 | 3.728 | 2.821 | 2.410 | 2.980 | 3.070 | 3.329 | ||||
| CWP-P | 5.614 | 4.794 | 3.539 | 5.078 | 5.595 | 5.621 | 4.948 | 3.992 | 3.697 | 3.621 | 4.187 | 4.608 | |||||
| Weighted average | CWP | 5.755 | 4.239 | 7.019 | 4.490 | 7.263 | 6.287 | 6.521 | 5.532 | 5.426 | 6.193 | 6.993 | 7.785 | 6.404 | 7.342 | 7.740 | 6.333 |
| CWP-P | 7.516 | 6.106 | 10.603 | 7.436 | 10.602 | 8.729 | 8.169 | 7.206 | 8.553 | 8.816 | 9.317 | 11.356 | 9.338 | 8.695 | 10.120 | 8.837 |
| Crops | 1994 | 1995 | 1996 | 1997 | 1998 | 1999 | 2000 | 2001 | 2002 | 2003 | 2004 | 2005 | 2006 | 2007 | 2008 | Mean | |
|---|---|---|---|---|---|---|---|---|---|---|---|---|---|---|---|---|---|
| Potato | CCWP | 4480.18 | 4624.23 | 5979.78 | 3899.41 | 5005.11 | 6113.95 | 7770.99 | 5298.21 | 4838.51 | 5090.11 | 6069.87 | 6179.76 | 4644.95 | 5690.49 | 5659.40 | 5423.00 |
| CCWP-P | 5222.95 | 5714.91 | 8218.09 | 5294.91 | 7795.36 | 8443.66 | 9537.40 | 6310.56 | 7682.35 | 7125.41 | 8337.05 | 8891.50 | 6638.04 | 6874.61 | 7594.93 | 7312.12 | |
| Corn | CCWP | 51,893.93 | 39,946.37 | 59,296.96 | 42,297.51 | 53,543.67 | 52,056.08 | 43,634.62 | 38,549.26 | 35,176.26 | 35,045.43 | 38,935.86 | 47,699.35 | 42,695.33 | 47,039.11 | 49,450.84 | 45,150.71 |
| CCWP-P | 60,323.11 | 48,217.22 | 77,108.11 | 58,897.26 | 74,937.34 | 69,396.75 | 50,158.02 | 45,416.86 | 52,852.89 | 49,185.03 | 51,547.75 | 70,765.68 | 63,161.03 | 55,131.69 | 60,674.89 | 59,184.91 | |
| Millet | CCWP | 21,975.34 | 11,322.41 | 23,379.09 | 7784.41 | 22,908.18 | 11,869.17 | 13,804.28 | 15,092.34 | 12,069.01 | 13,202.26 | 15,454.68 | 17,338.15 | 15,848.72 | 17,638.19 | 19,102.84 | 15,919.27 |
| CCWP-P | 24,863.12 | 14,003.91 | 29,091.75 | 11,082.61 | 30,683.37 | 16,010.18 | 15,576.87 | 17,388.04 | 17,145.85 | 17,885.51 | 18,998.83 | 24,019.41 | 21,915.95 | 18,701.64 | 24,796.47 | 20,144.23 | |
| Soybean | CCWP | 28,492.86 | 13,486.12 | 23,636.03 | 11,181.84 | 28,880.72 | 19,882.40 | 14,554.73 | 17,154.62 | 14,094.10 | 15,329.68 | 17,985.19 | 25,023.39 | 19,573.97 | 17,625.06 | 20,191.19 | 19,139.46 |
| CCWP-P | 31,814.13 | 16,591.59 | 29,861.59 | 15,531.86 | 39,167.76 | 26,597.88 | 16,846.04 | 19,558.08 | 20,160.67 | 20,607.27 | 22,299.82 | 34,701.40 | 27,503.57 | 18,843.63 | 26,171.91 | 24,417.15 | |
| Millet | CCWP | 26,526.82 | 1,7701.79 | 19,801.77 | 8201.28 | 15,257.20 | 10,046.93 | 16,033.48 | 13,531.60 | 11,019.73 | 14,103.77 | 13,515.84 | 14,289.43 | 13,820.45 | 12,439.42 | 14,720.79 | 14,734.02 |
| CCWP-P | 29,682.10 | 21,753.08 | 25,321.62 | 11,672.11 | 20,274.71 | 13,431.97 | 18,362.43 | 15,587.71 | 15,594.56 | 19,065.77 | 16,722.94 | 19,702.97 | 19,236.43 | 13,431.44 | 19,163.72 | 18,600.24 | |
| Wheat | CCWP | 8298.33 | 6054.54 | 13,727.93 | 11,552.00 | 16,399.33 | 11,735.35 | 4028.98 | 8118.38 | 13,936.45 | 12,049.73 | 13,405.86 | 12,139.49 | 17,541.00 | 17,164.58 | 15,940.07 | 12,139.47 |
| CCWP-P | 20,748.30 | 18,934.53 | 34,995.84 | 30,585.27 | 27,372.44 | 18,818.21 | 11,222.90 | 21,430.00 | 32,077.89 | 29,318.16 | 38,089.34 | 29,436.78 | 39,568.17 | 39,483.82 | 41,655.52 | 28,915.81 | |
| Sorghum | CCWP | 45,347.49 | 23,277.66 | 24,424.98 | 11,555.48 | 33,082.25 | 23,245.89 | 42,152.92 | 32,607.60 | 22,751.73 | 36,867.23 | 51,094.79 | 17,881.81 | 17,511.82 | 34,209.53 | 35,637.80 | 30,109.93 |
| CCWP-P | 53,915.74 | 27,874.63 | 32,303.63 | 16,452.83 | 47,433.32 | 32,666.17 | 49,059.42 | 39,246.68 | 35,891.73 | 49,729.75 | 61,493.56 | 24,462.07 | 25,609.41 | 39,893.72 | 46,129.88 | 38,810.84 | |
| Buckwheat | CCWP | 17,009.65 | 15,925.73 | 14,498.98 | 18,818.29 | 16,563.16 | |||||||||||
| CCWP-P | 33,714.49 | 34,148.48 | 31,603.85 | 40,245.04 | 34,927.96 | ||||||||||||
| Mung bean | CCWP | 13,708.47 | 11,065.60 | 10,306.26 | 14,440.56 | 12,183.44 | 13,289.06 | 12,935.90 | 97,89.06 | 83,61.79 | 10,340.59 | 10,654.51 | 11,552.29 | ||||
| CCWP-P | 19,481.62 | 16,633.47 | 12,281.09 | 17,621.44 | 19,414.18 | 19,506.06 | 17,170.48 | 13,852.64 | 12,827.67 | 12,566.11 | 14,527.79 | 15,989.32 | |||||
| Weighted average | CCWP | 19,029.46 | 12,147.55 | 21,521.70 | 13,703.34 | 24,022.45 | 19,373.01 | 15,591.41 | 15,470.98 | 14,770.43 | 15,929.53 | 17,930.88 | 19,737.12 | 17,732.45 | 18,545.76 | 19,751.13 | 17,683.81 |
| CCWP-P | 24,838.89 | 17,948.84 | 32,634.50 | 23,194.04 | 34,602.15 | 26,842.40 | 19,615.38 | 20,478.06 | 23,076.57 | 22,768.73 | 23,494.08 | 28,909.58 | 25,973.77 | 21,681.61 | 25,477.50 | 24,769.07 |
| County | 1994 | 1995 | 1996 | 1997 | 1998 | 1999 | 2000 | 2001 | 2002 | 2003 | 2004 | 2005 | 2006 | 2007 | 2008 | Mean | |
|---|---|---|---|---|---|---|---|---|---|---|---|---|---|---|---|---|---|
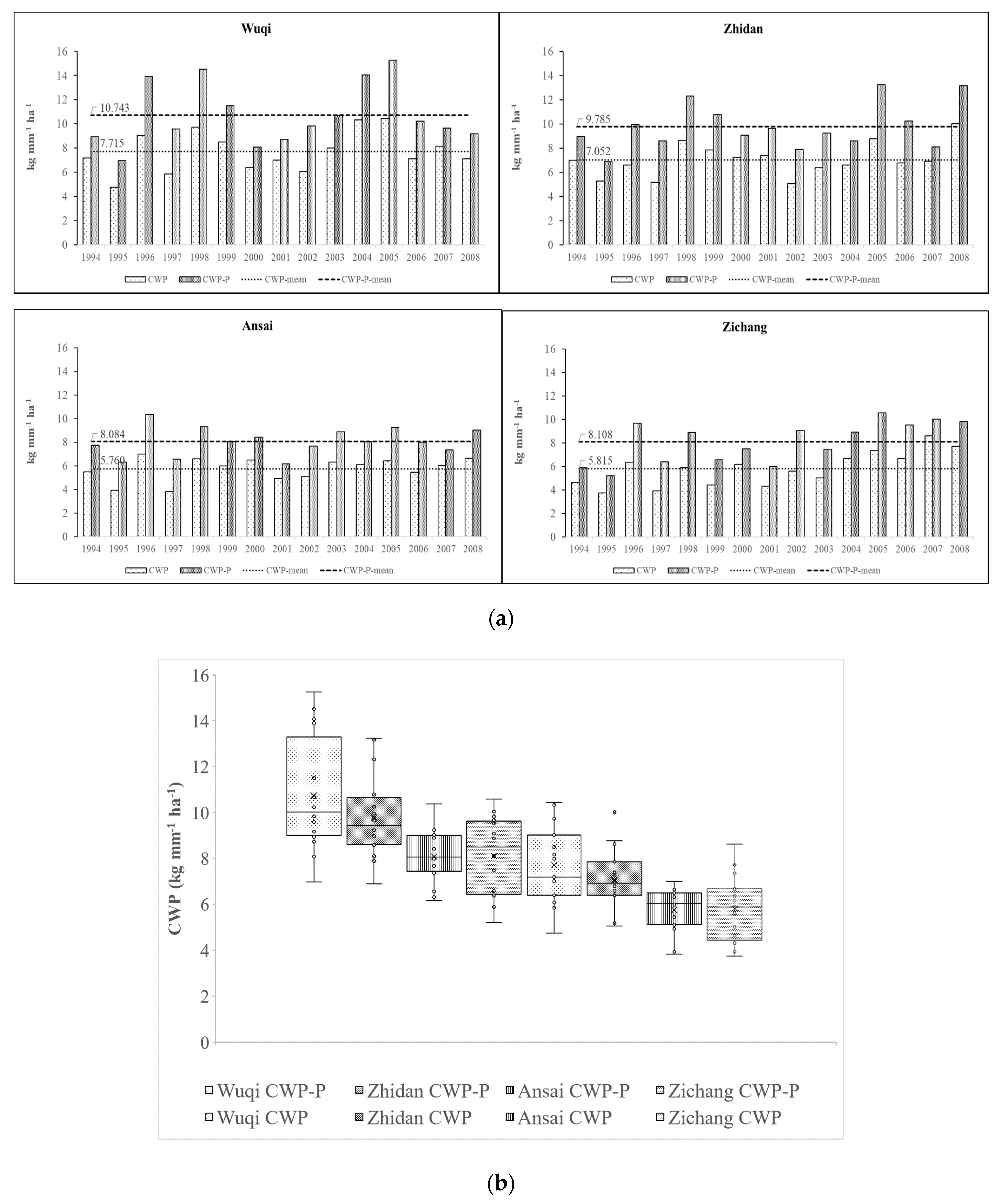
| Wuqi | CWP | 7.198 | 4.759 | 9.029 | 5.850 | 9.733 | 8.507 | 6.396 | 7.015 | 6.088 | 7.993 | 10.339 | 10.441 | 7.110 | 8.163 | 7.104 | 7.715 |
| CWP-P | 8.950 | 6.983 | 13.894 | 9.596 | 14.505 | 11.519 | 8.086 | 8.726 | 9.834 | 10.684 | 14.067 | 15.251 | 10.232 | 9.641 | 9.173 | 10.743 | |
| Zhidan | CWP | 6.990 | 5.300 | 6.600 | 5.188 | 8.630 | 7.855 | 7.255 | 7.401 | 5.056 | 6.405 | 6.596 | 8.770 | 6.787 | 6.917 | 10.034 | 7.052 |
| CWP-P | 8.974 | 6.900 | 9.963 | 8.598 | 12.315 | 10.788 | 9.079 | 9.653 | 7.887 | 9.239 | 8.613 | 13.246 | 10.253 | 8.100 | 13.170 | 9.785 | |
| Ansai | CWP | 5.495 | 3.936 | 7.011 | 3.828 | 6.607 | 5.994 | 6.501 | 4.943 | 5.117 | 6.307 | 6.095 | 6.431 | 5.449 | 6.042 | 6.648 | 5.760 |
| CWP-P | 7.761 | 6.319 | 10.374 | 6.562 | 9.316 | 8.083 | 8.415 | 6.168 | 7.681 | 8.898 | 8.051 | 9.243 | 7.993 | 7.368 | 9.033 | 8.084 | |
| Zichang | CWP | 4.652 | 3.757 | 6.369 | 3.932 | 5.900 | 4.437 | 6.167 | 4.319 | 5.614 | 5.017 | 6.676 | 7.348 | 6.682 | 8.622 | 7.731 | 5.815 |
| CWP-P | 5.888 | 5.208 | 9.678 | 6.387 | 8.884 | 6.581 | 7.497 | 5.995 | 9.087 | 7.475 | 8.947 | 10.581 | 9.528 | 10.055 | 9.829 | 8.108 | |
| Weighted average | CWP | 5.755 | 4.239 | 7.019 | 4.490 | 7.263 | 6.287 | 6.521 | 5.532 | 5.426 | 6.193 | 6.993 | 7.785 | 6.404 | 7.342 | 7.740 | 6.333 |
| CWP-P | 7.516 | 6.106 | 10.603 | 7.436 | 10.602 | 8.729 | 8.169 | 7.206 | 8.553 | 8.816 | 9.317 | 11.356 | 9.338 | 8.695 | 10.120 | 8.837 |
| County | 1994 | 1995 | 1996 | 1997 | 1998 | 1999 | 2000 | 2001 | 2002 | 2003 | 2004 | 2005 | 2006 | 2007 | 2008 | Mean | |
|---|---|---|---|---|---|---|---|---|---|---|---|---|---|---|---|---|---|
| Wuqi | CCWP | 25,516.10 | 14,993.82 | 28,542.19 | 19,873.70 | 33,272.75 | 27,519.41 | 15,912.75 | 15,977.67 | 11,398.55 | 11,787.78 | 21,921.57 | 20,544.61 | 17,952.31 | 17,998.52 | 13,375.50 | 19,772.48 |
| CCWP-P | 31,386.18 | 22,296.65 | 44,093.72 | 32,769.69 | 48,992.55 | 36,993.14 | 20,575.62 | 20,332.53 | 18,057.67 | 15,832.93 | 29,351.91 | 30,530.91 | 25,960.93 | 20,925.15 | 17,069.93 | 27,677.97 | |
| Zhidan | CCWP | 25,274.12 | 17,566.40 | 24,790.68 | 18,236.78 | 31,385.67 | 28,699.54 | 18,519.53 | 23,972.67 | 16,076.59 | 20,492.65 | 19,032.48 | 28,099.23 | 21,619.38 | 19,578.62 | 28,232.75 | 22,771.81 |
| CCWP-P | 32,125.96 | 22,964.95 | 36,874.57 | 30,185.90 | 44,309.95 | 39,279.23 | 23,246.97 | 31,222.42 | 24,922.32 | 29,640.24 | 24,250.03 | 42,627.50 | 32,763.25 | 22,394.03 | 36,326.19 | 31,542.23 | |
| Ansai | CCWP | 20,359.21 | 12,410.09 | 21,003.88 | 11,662.42 | 21,389.79 | 17,712.19 | 14,911.44 | 13,135.00 | 14,726.99 | 17,402.56 | 16,813.15 | 17,935.84 | 15,982.61 | 16,973.82 | 18,435.02 | 16,723.60 |
| CCWP-P | 28,289.49 | 20,261.57 | 31,190.11 | 20,494.80 | 29,643.31 | 23,682.11 | 19,246.27 | 16,616.18 | 21,640.07 | 24,264.74 | 21,962.13 | 25,699.34 | 23,497.70 | 20,554.06 | 24,841.65 | 23,458.90 | |
| Zichang | CCWP | 11,682.78 | 8187.24 | 17,296.21 | 9736.65 | 17,849.63 | 11,038.92 | 14,151.89 | 12,197.71 | 15,364.25 | 12,929.88 | 16,620.49 | 16,146.87 | 16,677.16 | 19,932.77 | 19,520.43 | 14,622.19 |
| CCWP-P | 15,185.85 | 11,987.01 | 26,720.47 | 16,709.78 | 26,607.20 | 16,893.87 | 17,168.42 | 17,362.91 | 25,028.96 | 19,326.97 | 22,001.41 | 23,156.59 | 23,781.15 | 22,966.51 | 24,363.69 | 20,617.39 | |
| Weighted average | CCWP | 19,029.46 | 12,147.55 | 21,521.70 | 13,703.34 | 24,022.45 | 19,373.01 | 15,591.41 | 15,470.98 | 14,770.43 | 15,929.53 | 17,930.88 | 19,737.12 | 17,732.45 | 18,545.76 | 19,751.13 | 17,683.81 |
| CCWP-P | 24,838.89 | 17,948.84 | 32,634.50 | 23,194.04 | 34,602.15 | 26,842.40 | 19,615.38 | 20,478.06 | 23,076.57 | 22,768.73 | 23,494.08 | 28,909.58 | 25,973.77 | 21,681.61 | 25,477.50 | 24,769.07 |
| CWP | CWP-P | CCWP | CCWP-P | |
|---|---|---|---|---|
| Wuqi | 7.715a | 10.743c | 19,772.48a | 27,677.97c |
| Zhidan | 7.052a | 9.785c | 22,771.81a | 31,542.23c |
| Ansai | 5.76b | 8.084d | 16,723.60b | 23,458.90d |
| Zichang | 5.815b | 8.108d | 14,622.19b | 20,617.39d |
| Weighted-average CWP | 6.333 | 8.837 | 17,683.81 | 24,769.07 |
| CWP (kg mm−1 ha−1) | CWP-P (kg mm−1 ha−1) | |||||
|---|---|---|---|---|---|---|
| Crops | Mean | Standard Deviation | Coefficent of Variation | Mean | Standard Deviation | Coefficent of Variation |
| Potato | 7.043 | 1.227 | 0.174 | 9.496 | 1.690 | 0.177 |
| Corn | 12.370 | 1.964 | 0.159 | 16.215 | 2.772 | 0.171 |
| Millet | 4.211 | 1.199 | 0.285 | 5.329 | 1.476 | 0.277 |
| Soybean | 4.291 | 1.203 | 0.280 | 5.475 | 1.602 | 0.293 |
| Millet | 4.139 | 1.219 | 0.294 | 5.225 | 1.313 | 0.251 |
| Wheat | 3.570 | 1.188 | 0.332 | 8.505 | 2.679 | 0.315 |
| Sorghum | 9.152 | 3.406 | 0.372 | 11.797 | 3.797 | 0.322 |
| Buckwheat | 4.829 | 0.531 | 0.110 | 10.183 | 1.083 | 0.106 |
| Mung bean | 3.329 | 0.544 | 0.164 | 4.608 | 0.830 | 0.180 |
© 2018 by the authors. Licensee MDPI, Basel, Switzerland. This article is an open access article distributed under the terms and conditions of the Creative Commons Attribution (CC BY) license (http://creativecommons.org/licenses/by/4.0/).
Share and Cite
Wang, J.; Ma, J.; Clarke-Sather, A.; Qu, J. Estimating Changes in the Green Water Productivity of Cropping Systems in Northern Shaanxi Province in China’s Loess Plateau. Water 2018, 10, 1198. https://doi.org/10.3390/w10091198
Wang J, Ma J, Clarke-Sather A, Qu J. Estimating Changes in the Green Water Productivity of Cropping Systems in Northern Shaanxi Province in China’s Loess Plateau. Water. 2018; 10(9):1198. https://doi.org/10.3390/w10091198
Chicago/Turabian StyleWang, Jinping, Jinzhu Ma, Afton Clarke-Sather, and Jiansheng Qu. 2018. "Estimating Changes in the Green Water Productivity of Cropping Systems in Northern Shaanxi Province in China’s Loess Plateau" Water 10, no. 9: 1198. https://doi.org/10.3390/w10091198
APA StyleWang, J., Ma, J., Clarke-Sather, A., & Qu, J. (2018). Estimating Changes in the Green Water Productivity of Cropping Systems in Northern Shaanxi Province in China’s Loess Plateau. Water, 10(9), 1198. https://doi.org/10.3390/w10091198

