Next Article in Journal
Flood Hydrograph Prediction Using Machine Learning Methods
Previous Article in Journal
Irrigation Salinity Risk Assessment and Mapping in Arid Oasis, Northwest China
 
 
Font Type:
Arial Georgia Verdana
Font Size:
Aa Aa Aa
Line Spacing:
Column Width:
Background:
Article

Modeling the Runoff Reduction Effect of Low Impact Development Installations in an Industrial Area, South Korea

1
Cooperative Institute for Research in the Atmosphere (CIRA), Colorado State University, Fort Collins, CO 80523, USA
2
NOAA Earth System Research Laboratory, Physical Sciences Division, Boulder, CO 80305, USA
3
Department of Civil and Environmental Engineering, Hanbat National University, Daejeon 34158, Korea
4
Department of Civil and Environmental Engineering, Colorado State University, Fort Collins, CO 80523, USA
5
Department of Civil Engineering, Dongshin University, Naju 58245, Korea
*
Author to whom correspondence should be addressed.
Water 2018, 10(8), 967; https://doi.org/10.3390/w10080967
Submission received: 6 June 2018 / Revised: 14 July 2018 / Accepted: 16 July 2018 / Published: 24 July 2018
(This article belongs to the Section Urban Water Management)

Abstract

Low-impact development (LID) methods are an important approach to storm-water mitigation. Modeling the effects of these installations using rainfall-runoff simulations can provide useful data for future design and implementation. In this study, we used the Storm Water Management Model to assess seven types of LID installations (vegetated areas, garden pots, tree filter boxes, permeable pavement, infiltration ditches, rain barrels, and infiltration blocks) at a South Korean industrial site. Using both short- and long-term simulation periods and distinct sub-basins within the study site, we were able to assess LID performance at the combined watershed, as well as at one LID facility. All LID types showed reasonable performance for storm-water runoff reduction, though rain barrels were the least effective. The effect of rainfall runoff reduction on LID facilities is changed according to rainfall depth (annual precipitation, monthly rainfall), the ratio of drainage area and facility capacity. We concluded that SWMM-LID modeling can effectively support the management of LID installations by providing additional design and planning data to better mitigate the effects of storm-water runoff.

1. Introduction

The development of industry and transportation in urban areas has led to a rapid increase in urban population density and associated changes in land cover characteristics [1,2,3]. Urbanization affects hydrologic processes, drainage capacity, and flooding in urban areas by increasing the total runoff volume and peak discharge of storm events [4]. Therefore, understanding the impact of urbanization on hydrologic processes is essential to reducing flood damage. Successful urban water resource management requires the installation of effective water management facilities. The practice of low-impact development (LID) effectively reduces storm-water and pollutant loads by improving surface and subsurface water circulation and/or retention [5,6,7]. This engineering technique produces facilities that are designed to be more environmentally friendly [8,9,10,11,12]. As LID designs can have long-term effects with minimal management after installation, they are especially appropriate for use in urban areas.
Many previous studies have explored various applications of LID design and function. For example, Perez-Pedini et al. [13] applied LID to restore hydrological functions before urban development, using permeable pavement, ecological storage, and infiltration facilities as part of a proposed optimal management method based on infiltration. Montalto et al. [9] analyzed the cost efficiency of combining sewer systems with LID in urban areas. Rossman [14] suggested a practical method for simulating LID using the Storm Water Management Model (SWMM), and provided two examples of bio-retentive and vegetative swales demonstrating the effect of LID facilities on runoff reduction. James [15] used the SWMM and runoff curve number method to analyze the reduction of storm-water and pollution load from LID facilities. Several other studies [16,17] evaluated the effects of runoff and nutrition reduction in urban areas, and used sensitivity analyses to identify the most effective parameters. McCutcheon and Wride [18] evaluated the effects of bio-retention cells on short- and long-term runoff reduction. Joo et al. [19] investigated the capacities of non-point-source (NPS) pollutant treatment facilities, and analyzed their effects in urban areas. Joo et al. [20] applied the Storm Water Management Model (SWMM) to simulate infiltration flows in an LID street-based tree box installation. Shin et al. [21] analyzed LID-related improvements in water circulation and flow reduction, and evaluated estimation methods for optimal LID installation area in terms of drainage-area management. Despite such diverse studies, evaluations of the effectiveness and projected performance of LID techniques are still insufficient. Single LID facility-based modeling, the most common study method, is insufficiently capable of evaluating the effectiveness and projected performance of LID techniques. Thus, additional perspectives should be evaluated by implementing short- and long-term facility-based and drainage-based modeling.
Of the many ways to assess LID performance, the most common is through the monitoring and measuring of storm-water at a number of sites within drainage areas. For example, in South Korea, a non-point-source (NPS) pollution control system was established in 2004, and a reporting system was introduced in 2006 [6]. Recently, as a part of the effort to improve water circulation functions in an industrial complex, a project called “The Pilot Project to Develop Zero Storm-water Complex: Maintenance and Evaluation” was implemented, which evaluated the effects of LID on reductions in storm-water and NPS pollutants in urban areas. However, such monitoring approaches have temporal, spatial, and economic limitations. The modeling of rainfall-runoff processes with regard to LID facilities and simulated storm-water outputs can complement or improve the accuracy of traditional monitoring data. Therefore, in this study, we conducted a model-based assessment of LID effectiveness for storm-water management at a South Korean industrial site using the Storm Water Management Model V.5.1 (SWMM-LID).

2. Materials and Methods

2.1. Study Area and LID Installations

We used the Ochang Science Industrial Complex, located in Cheongju, South Korea, as the study site. The SWMM-LID modeling was built based on the actual design plan of the pipe network and the LID installations. The drainage area is typical of an industrial complex; most land cover consists of 95% impervious area. It is composed of over 100 conduits (the mean length is 63.3 m) and 140 manholes. The average length of the conduits is about 60.6 m, and the average slope is about 1.2%. The slope of the drainage area was estimated using the measured elevation data. Interpolation was performed using the spatial analysis tool in the ArcGIS program, and the average slope was estimated for each drainage station. The digital elevation model (DEM) provided by the Korea Geographic Information Institute was used for the missing points, and the drainage zone boundary was set to minimize errors in the interpolation process. Through this process, the average slope of the watershed was estimated to be about 2.53% (1.31–3.40%).
As the area has widespread roads, sidewalks, and other impermeable areas, the use of LID facilities in this area is appropriate; the total drainage area is approximately 411,183 m2, with installed LID facilities covering about 32,830 m2 [22]. For this study, we used seven types of the LID facilities installed in the area to analyze the effect of LID in urban area. These are suitable as they are designed for research purpose considering the characteristics of this site. We divided the total drainage area into 10 sub-basins (Figure 1), with seven types of LID installations in use since 2015 (Table 1). Each installation is suitably located to provide its intrinsic functions with regard to storm-water and NPS pollutant reduction [7,23]. Also, Table 2 provides the details of the LID installations such as drainage area, type of LID, and quantity in the Ochang Science Industrial Complex.
Each of the seven LID installations has specific features and functions; see [7] for further details:
  • The vegetated areas (VAs) are storage areas used in city parks or parking lots that provide green landscapes. They are divided into three layers: a surface layer designed to accommodate vegetation, a soil layer storing storm-water, and a gravel drainage layer simulating groundwater recharge and water circulation processes.
  • The tree filter boxes (TFs) are street-based concrete forms planted with trees that contain soil, gravel, and wood chips for filtering and retaining storm-water. These are easy to install in roadside locations and include perforated drainpipes. Their design is similar to the garden pots (below), but the soil layer is relatively deep.
  • The garden pots (GPs) are divided into three layers capable of treating the storm-water that flows in via the surface and/or drainage system. The surface layer consists of wood chips above a soil layer used to grow vegetation, with gravel and drainage pipes in the lowest layer. Non-perforated pipes are used to draw inflow toward the installation and perforated pipes are used internally.
  • The infiltration ditches (IDs) have three functions: storage, runoff delay, and drainage. Unlike other LID installations, here drainage pipes are installed on the surface to drain storm-water when it exceeds the storage capacity of the ditch. The IDs are efficient to install.
  • The rain barrels (RBs) retain storm-water from building roofs to slow the time of peak flow. They are easy to manage and contain gravel to maximize infiltration.
  • Infiltration blocks (IBs) are similar to the RBs, but consist of permeable gravels and conduits that are capable of infiltrating and draining storm-water. In contrast to the RBs, they may be installed in roads and streets. The general design directs storm-water into an above-ground barrel and drains excess storm-water into the lower gravel layer or barrel.
  • The permeable pavement (PP) uses permeable materials to induce infiltration and drainage of storm-water through otherwise hard surfaces. Gravel is installed under PP areas to enable drainage and filtering.

2.2. Modeling

2.2.1. Storm Water Management Model

In 1971, SWMM was developed to simulate storm-water and water quality of drainage system in urban areas by Metcalf and Eddy, in collaboration with the University of Florida and W.R.E [24]. The SWMM is able to simulate short and long term scenarios as a dynamic rainfall-runoff simulation model. The SWMM is based on the process of simulating rainfall in the drainage area as runoff and pollutant loads, and it reflects the physical characteristics of hydraulic structures. The SWMM can trace the water flow in the drainage system; it can contribute to an effective drainage system management in urban areas. The manual issued by the EPA-SWMM provides more detailed information about the SWMM [23,25].
The SWMM-LID (SWMM V.5.1) is a model that functions LID facility management; it can simulate the distributed rainfall-runoff. Figure 2 shows a conceptual diagram of the LID facility in the SWMM-LID model (Figure 2a) and the basic structure of the LID facility (Figure 2b). In the SWMM-LID model, the LID facility only considers the surface water in the impervious area as the influent. Thus, the volume of the inflow entering the LID facility depends on the ratio of the impervious area. Figure 2b shows that the LID layer structure is composed of surface, soil, and storage layers. Since each layer reflects the design of the LID facilities, it is able to consider the characteristics of the actual facilities. The SWMM-LID provides eight technical elements; if a given element is not similar to the others in the LID facilities, it can be established properly in the LID facilities by modifying the layers of technical elements and parameters.

2.2.2. Setup of the SWMM-LID

We set up the SWMM-LID based on the actual design of the drainage system and LID installations with 100 conduits (average length 60.6 m) and 140 manholes. The drainage zone boundaries were set to minimize calculation errors; then, the slopes of the drainage basins were estimated using a digital elevation model (DEM), provided by the Korea Geographic Information Institute. Missing areas and slopes were interpolated using the spatial analysis tool in the ArcGIS program to allow the estimation of average slope of each drainage basin. The average slope of the overall drainage basin was estimated to be about 2.53% (ranging from 1.31–3.40%). Further modeling required a proper definition of SWMM-LID technical elements (the functions listed in Table 1) for each LID installation in order to properly predict their performance.
We used the design plans and completion reports for each installation type to define their physical parameters, such as the thicknesses of the surface, soil, and drainage layers for the VPs and GPs. In the case of the IBs, the depth in the design plan is used as storage depth for LID modeling of the SWMM-LID. As for the TFs, the sill height of the surface was established, as the height of the surface sill and the vegetation soil depth was regarded as the storage layer. Soil input parameters corresponding to sandy loam were used, as this is the soil type in the study area’s group A, as defined by the Soil Conservation Service (SCS) for SCS CN method employed in this study [26].

2.3. Data and Preprocessing

2.3.1. Weather Data

For the rainfall-runoff analysis, we used data for temperature, precipitation, evapotranspiration, wind speed, and humidity from the nearest automatic weather station (AWS) of the Korea Meteorological Administration, the Ochang observatory (station identification number #683). Cumulative precipitation for 10 min was used for simulations.
For calibration of the LID modeling, selected storm events (E1–E7, Table 3) occurred from 2013 to 2015 are used. It should be noted that this study used seven storm events to calibrate model for before and after LID installation. Also, it is emphasized that this study used all the monitoring data available, since the monitoring system in the application area has operated only for the selected storm events. Thus, the data collection was constrained by the monitoring system. The evaluation of the model’s short-term effects used four storm events (E8–E11) observed in 2016 (Table 3). The evaluation of the model’s long-term effects used eleven storm events from 2005–2015 and meteorological parameters for long-term simulation taken from 30-year average values [27]. For this study, LID facilities were installed and have been monitored from 2015; thus, we used the data set (E1–E11) to evaluate the effect of LID on runoff reduction in the study site.

2.3.2. Precipitation Analysis

The annual observed precipitation for the study site from 2005–2015 ranged from 751.1 mm (2015) to 1796.5 mm (2011) with an average of 1214.0 mm. Annual precipitation in 2008, 2014, and 2015 was less than 1000 below the average precipitation for the 11 year study period. Precipitation tended to be concentrated from June to September, averaging 872 mm during this period (70% of the annual total), while only 8.4% of annual precipitation was observed in winter (November, December and January). These patterns are typical for the South Korean climate. In addition, 10 min precipitation events exceeding 2.0 mm were observed more frequently in the wet season. In particular, 10 min precipitation events exceeding 4.0 mm in the wet season accounted for 10.5% of the total precipitation frequency rate (excluding 0.0 mm), i.e., significantly more than for other periods (the annual average is 4.9%).
We determined the temporal resolution of precipitation for SWMM-LID modeling using both 10-min and 60-min precipitation data. The 60-min maximum precipitation estimated using 10-min precipitation data was consistently larger than the recorded 60-min precipitation (Figure 3). Similarly, the difference between recorded 60-min runoff and that estimated from the 10-min data (Figure 4) tended to be similar but with a ~30% difference in the peak flow resulting from the difference in the maximum precipitation. The result is natural, since the 10-min-based data is more accurate, and yields higher temporal resolution to capture the instantaneous precipitations than the 60-min-based data. This influence is presumed to be larger in settings such as the industrial complex used in this study, where the impervious area is high. Therefore, we decided that 10-min precipitation data were more appropriate than 60-min data for simulating rainfall-runoff in urban areas.

2.3.3. Calculation of Runoff Reduction

We evaluated the effects of each LID installation in the different basins using the following equation; this equation has been used in many of studies related to the storm-water reduction effect [28,29,30,31].
R ( % ) = Q 0 Q LID Q 0 × 100 ( % ) ,
where R is the reduction rate, Q0 (cms) is the simulated runoff without LID installations, and QLID (cms) is the simulated runoff with LID installations.

3. Results

3.1. Calibration

The SWMM-LID was calibrated for all sub-basins using data observed from 2013–2014, before LID installations in 2015. Since LID facilities were installed in 2015, we compared the simulation results before and after 2015. This process used parameters for direct runoff (impervious-related, infiltration-related, width of overland flow path, and Manning’s N); the results shown in Figure 5. The parameters of each LID installation (height, moisture retention, and drainage) were calibrated using observed data in 2015 (storm events E3–E7).
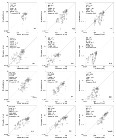
To verify the calibration results, this study employed various error indices to evaluate the model performance against to the observed data. Correlation coefficient (CC), Nash-Sutcliffe efficiency coefficient (NSE), Bias (B), percent bias (PBIAS), RMSE-observations standard deviation ratio (RSR), root-mean-square error (RMSE), and R-squared are used as the error indices. Regarding the formulations of the error indices, the reader can see [32]. As a result, most calibrated results showed that the model’s performance is acceptable to simulate runoff flows. According to mean values of the error indices, CC is 0.77 which means the simulation results have strong correlation with the observed data: B is 0.85, and NSE is 0.0. In addition, it is able to see the results of error indices for each sub-basin in Figure 5.

3.2. Short-Term Assessment

This study implemented event-based simulations to evaluate the performance of the LID facilities. As a result, Figure 6 shows representative hydrographs consisting of inflow, outflow, and reduced fraction. The results area presented for storm event E8 in total drainage area. Inflows into a drainage area are adapted as a runoff hydrograph arising from w/o LID facilities (e.g., drainage area without LID facilities). Outflows from LID facilities with the reduction process are adapted as a runoff hydrograph arising from w/ LID facilities (e.g., drainage area with LID facilities). Table 4 shows the modeled runoff reduction percentage by LID installation and sub-basin using four storm events (E8–E11). The GPs and IDs performed best with no runoff recorded in any storm events, while the worst performance came from the RBs, with an average reduced runoff of only 33.9%. The total average runoff reduction for all seven LID types was 76.6%, demonstrating that LID installations are effective at reducing storm-water runoff. The IBs had the most inconsistent performance, with a 0.51 coefficient of variation, significantly higher than an average coefficient (0.17) of variation of all other installations. Clearly, the performance of each LID type is somewhat dependent on rainfall characteristics.
The runoff reduction in each sub-basin varied from 4.2–41.7% (Table 4). The highest average reduction occurred in A5 (30.7%), and the lowest in A2 (9.0%), although both had the same LID types. These differences may reflect the relative size of the sub-basins to the drainage size of LID installations and a scale of the LID installations. In the case of the A5, a drainage area by LID installations is 20.9% (total drainage area = 20,389 sq. meter, LID drainage area = 4262 sq. meter) to total drainage area. The A2 is 12.9% (total drainage area = 38,240 sq. meters, LID drainage area = 4936 sq. meters). With regard to the individual storm events, the average runoff reduction for the total drainage area was highest for the lowest rainfall intensity (E10, 20.2%) and lowest for the highest rainfall intensity (E9, 15.5%), demonstrating that runoff reduction capability of LID installations is sensitive to rainfall intensity.
For most areas in the short-term simulation, the runoff reduction rate increased in a clear linear relationship with the drainage area ratio (Figure 7). The derived equation (R-squared = 0.94) of the linear relationship is as below:
Mean reduction (%) = 0.75 × Drainage ratio (%) − 0.54
A5 and B1 were outliers with a relatively high runoff reduction rate while A1, A3, and B3 showed the opposite trend.

3.3. Long-Term Assessment

The modeled annual average runoff reduction rate was highest for GP (77.7%), followed by TF (73.0%), ID (66.8%), VA (39.8%), PP (38.6%), IB (37.7%), and RB (11.5%); the total average reduction rate was 48.4%. RBs in particular showed a very modest ability to reduce runoff, likely due to their limited storage capacity. The annual reduction rate was highest in 2015, when annual precipitation was lowest, and the lowest in 2011 (annual precipitation 1796.5 mm). The IDs had the smallest coefficient of variation (0.04) for runoff reduction in ID, and the RBs had the highest (0.32).
Most LID installations showed an inverse tendency of decreasing runoff reduction as the annual precipitation increased (Figure 8). This tendency was most pronounced for the RBs, while the slope of the ID’s linear regression line was close to zero, meaning that storm-water reduction did not meaningfully change with annual precipitation. We interpret steeper regression line slopes as representing LID types with larger variations in the rate of storm-water reduction depending on annual precipitation. Also, the steeper slope means that the LID type is sensitive to the annual precipitation.
From 2005–2015, the runoff reduction rate for each sub-basin ranged from 12.9% (A1, A2) to 46.2% (B2), with a total average annual reduction rate between 16.5% and 31.9%. The average reduction rate was the highest in 2015, with the smallest annual precipitation (751.1 mm), about 1.5 times the average reduction rate (22.2%). The average reduction rates for the A and B drainage areas overall were 20.9% and 24.6%. The B2 drainage area (with the highest reduction rate) had the highest percentage of LID coverage (40.6%), while the A2 drainage area (with the lowest reduction rate) had the lowest percentage (12.9%).
The reduction rate in the long-term simulation tended to increase as the drainage area ratio increased (Figure 9). A5, A6, and B1 had relatively high reduction rates relative to the drainage ratio, while A1 and A3 showed the opposite trend. These results can be used to determine proper drainage areas for future management, supplementation, and expansion of LID installations. For most areas in the long-term simulation, the derived equation (R-squared = 0.72) of the linear relationship is as below:
Mean reduction (%) = 0.42 × Drainage ratio (%) + 13.42
The comparison result of two regression curves from the short- and the long-terms showed a different trend when the drainage ratio was smaller. At this point, it is necessary to discuss the slope of the regression curves in terms of various points on the LID assessment. The short-term has a relatively dramatic slope compared to that of the long-term slope: 0.75 and 0.42 respectively. Especially, this difference of slopes has a large effect on the relationship between the drainage ratio and mean reduction. When the drainage ratio is smaller, the short-term result represents the lower efficiency of LID performance, as the short-term result is the event-based simulation with heavy rainfalls. The difference of the mean reductions between the short- and the long- terms is almost 2.5 times, at 10% drainage ratio (the short term: 7.0% and the long-term: 17.6%). Thus, the importance of the use of both mean reductions should be emphasized, as the meaning of both values indicates the different point of view.

4. Discussion

Most previous studies of this subject used an hourly temporal resolution without any comparison analysis of different time scales [9,13,14,15,16,17,18,19,20,21]. This practice has the potential to generate significant errors in runoff and reduction results, as a higher temporal resolution may be necessary for properly simulating characteristics in highly impervious urban areas. In order to address this concern, we conducted a comparative analysis of precipitation data with different temporal resolutions to determine an appropriate resolution and apply this to the study’s watershed.
In addition, we implemented this study at an actual large-scale LID installation, using the site’s LID design plan and monitoring system for the SWMM-LID modeling of the entire industrial area. This approach provided additional benefits compared to previous studies, whose LID simulations were based on one or two smaller LID installations, making it difficult to determine the complete performance of LID installations at larger scales [14,18]. We also examined the effect of rainfall runoff reduction on LID facilities at annual and monthly scales, in order to determine the short- and long-term rainfall runoff reduction effects over the combined watershed, as well as the effluent reduction effects at a single LID facility.
Temporal resolution is a key issue for proper simulations of LID performance, as the LID installations behaved differently depending on rainfall characteristics, particularly in terms of the amount and intensity. Further studies should analyze various temporal resolutions by drainage size to achieve finer resolution. Uncertainties in the monitoring data should also be analyzed to determine their effects on the modeled LID performance, as the calibration is particularly dependent on these data. The use of ensemble or data assimilation approaches would improve the accuracy of runoff reduction projections and provide more informative results to stakeholders and end users.

5. Conclusions

We used the SWMM-LID model to analyze the effects of low-impact development (LID) on storm-water runoff reduction in a South Korean urban industrial area. A short-term simulation of runoff reduction for the seven types of LID installations produced an average reduction rate of 76.6%, demonstrating the effectiveness of LID installations. However, the reduction rate for each sub-basin ranged from 9.0–30.7%, with the difference being driven by the types of LID installations in each, as any given LID installation affects only its own drainage area (not all sub-watersheds). The reduction rate of the total drainage area was highest with the lowest average rainfall intensity, suggesting that LID performance is sensitive to short-term precipitation patterns. From a long-term perspective, the runoff reduction performance of all LID installations showed an inverse tendency to decrease as the annual precipitation increased. This was most notable for rain barrels, while infiltration ditches were mostly unaffected by precipitation levels. Furthermore, the monthly runoff reduction was lowest during the wet season and highest during the dry season. These results demonstrate the necessity of evaluating runoff reduction rates with regard to precipitation patterns. This study’s methodology can be used to assess the performance of LID facilities and sub-basins for management purposes.
We showed that SWMM-LID modeling can be used to support the management of LID installations that lack monitoring equipment. The ability to predict storm-water runoff reduction in both short- and long-term periods can also be used for future design and supplementation of LID installations. However, the calibration periods used in this study were not ideal, as the 2013–2015 period contained few intense storm events. Also, the monitoring system was not operating at all times, so measurements of inflow and outflow were incomplete. Finally, as this study clearly shows that LID performance is affected by precipitation patterns, future research should explore this connection more thoroughly to evaluate the need for future design considerations.

Author Contributions

Conceptualization, J.J. and J.L.; Methodology, J.J. and J.K.; Software, J.K. and H.H.; Validation, H.H., Y.S.; Formal Analysis, J.K., Y.S. and H.H.; Writing-Original Draft Preparation, J.K. and J.J.; Writing-Review & Editing, J.L.

Acknowledgments

This research was supported by a grant (MOIS-DP-2015-03) through the Disaster and Safety Management Institute funded by the Ministry of the Interior and Safety of Korean government.

Conflicts of Interest

The authors have no conflict of interest to declare.

References

  1. Gorgoglione, A.; Gioia, A.; Iacobellis, V.; Piccinni, A.F.; Ranieri, E. A rationale for pollutograph evaluation in ungauged areas, using daily rainfall patterns: Case studies of the Apulian region in southern Italy. Appl. Environ. Soil Sci. 2016, 2016, 1–16. [Google Scholar] [CrossRef]
  2. Suriya, S.; Mudgal, B.V. Impact of urbanization on flooding: The Thirusoolam sub watershed—A case study. J. Hydrol. 2012, 412, 210–219. [Google Scholar] [CrossRef]
  3. Todeschini, S. Hydrologic and Environmental Impacts of Imperviousness in an Industrial Catchment of Northern Italy. J. Hydrol. Eng. 2016, 21, 05016013. [Google Scholar] [CrossRef]
  4. Zope, P.E.; Eldho, T.I.; Jothiprakash, V. Impacts of land use-land cover change and urbanization on flooding: A case study of Oshiwara River Basin in Mumbai, India. Catena 2016, 145, 142–154. [Google Scholar] [CrossRef]
  5. Qin, H.-P.; Li, Z.-X.; Fu, G. The effects of low impact development on urban flooding under different rainfall characteristics. J. Environ. Manag. 2013, 129, 577–585. [Google Scholar] [CrossRef] [PubMed]
  6. Ministry of Environment. Manual of Installation, Management and Operation of the Non-Point Pollutant Source Reduction Facility; Ministry of Environment: Sejong, South Korea, 2014.
  7. Kim, J.; Choi, S.; Joo, J. EPA SWMM-LID modeling for low impact development. J. Korean Soc. Water Qual. 2017, 17, 415–424. [Google Scholar] [CrossRef]
  8. Dietz, M.E. Low impact development practices: A review of current research and recommendations for future directions. Water Air Soil Pollut. 2007, 186, 351–363. [Google Scholar] [CrossRef]
  9. Montalto, F.; Behr, C.; Alfredo, K.; Wolf, M.; Arye, M.; Walsh, M. Rapid assessment of the cost-effectiveness of low impact development for CSO control. Landsc. Urban Plan. 2007, 82, 117–131. [Google Scholar] [CrossRef]
  10. Yu, Z.; Aguayo, M.; Montalto, F.; Piasecki, M.; Behr, C. Developments in LIDRA 2.0: A planning level assessment of the cost-effectiveness of low impact development. World Environ. Water Res. Congr. Chall. Chang. 2010, 57, 3261–3270. [Google Scholar] [CrossRef]
  11. Ahiablame, L.M.; Engel, B.A.; Chaubey, I. Effectiveness of low impact development practices: literature review and suggestions for future research. Water Air Soil Pollut. 2012, 223, 4253–4273. [Google Scholar] [CrossRef]
  12. Ahiablame, L.M.; Engel, B.A.; Chaubey, I. Effectiveness of low impact development practices in two urbanized watersheds: Retrofitting with rain barrel/cistern and porous pavement. J. Environ. Manag. 2013, 119, 151–161. [Google Scholar] [CrossRef] [PubMed]
  13. Perez-Pedini, C.; Limbrunner, J.; Vogel, R. Optimal location of infiltration-based best management practices for storm water management. J. Water Res. Plan. Manag. 2005, 131, 441–448. [Google Scholar] [CrossRef]
  14. Rossman, L.A. Modeling Low Impact Development Alternatives with SWMM. J. Water Manag. Model. 2010, 167–182. [Google Scholar] [CrossRef]
  15. James, R. Modelling LIDs using PCSWMM and EPA SWMM5. 2012. Available online: https://www.pcswmm.com/Downloads/USEPASWMM (accessed on 22 July 2018).
  16. Rosa, D.J.; Clausen, J.C.; Dietz, M.E. Calibration and Verification of SWMM for Low Impact Development. J. Am. Water Resour. Assoc. 2015, 51, 746–757. [Google Scholar] [CrossRef]
  17. Shamsi, S. CSO reduction using green infrastructure. In Proceedings of the 13th Annual River Wet Weather Sewer conference on Rivers Wet Weather Demonstration Program, Monroeville, PA, USA, 4–5 October 2011. [Google Scholar]
  18. McCutcheon, M.; Wride, D. Shades of Green: Using SWMM LID Controls to Simulate Green Infrastructure. J. Water Manag. Model. 2013, 6062, 289–302. [Google Scholar] [CrossRef]
  19. Joo, J.; Yoo, D.; Kim, J. Determination of design capacity for NPS pollutant treatment facilities by long-term simulation in urban areas. J. Korean Soc. Water Qual. 2011, 27, 841–847. [Google Scholar]
  20. Joo, J.; Lee, Y.; Cho, H.; Kim, J. Analysis of long-term runoff reduction effects by installation of street tree box. J. Korean Soc. Hazard Mitig. 2012, 12, 193–197. [Google Scholar] [CrossRef]
  21. Shin, H.; Kim, M.; Kim, J.; Jang, J. Study on analysis of the proper ratio and the effects of low impact development application to sewage treatment district. J. Korean Water Resour. Assoc. 2013, 46, 1193–1207. [Google Scholar] [CrossRef]
  22. Korea Environment Corporation (KEC). A Pilot Project to Develop a Complex for Zeroising Storm Water Runoff in Ochang; KEC: Sejong, South Korea, 2014. [Google Scholar]
  23. U.S. Environmental Protection Agency (EPA). Storm Water Management Model User’s Manual; Version 5.1; EPA: Cincinnati, OH, USA, 2015.
  24. Barco, J.; Wong, K.M.; Stenstrom, M.K. Automatic calibration of the US EPA SWMM model for a large urban catchment. J. Hydraul. Eng. 2008, 134, 466–474. [Google Scholar] [CrossRef]
  25. Aad, A.; P, M.; Suidan, M.T.; Shuster, W.D. Modeling techniques of best management practices: Rain barrels and rain gardens using EPA SWMM-5. J. Hydraul. Eng. 2009, 15, 434–443. [Google Scholar]
  26. Soil Conservation Service (SCS). National Engineering Handbook; Natural Resources Conservation Service: Washington, DC, USA, 1985.
  27. Kim, J.; Choi, S.; Joo, J. A study of the performance comparison of the low impact development facilities for long-term stormwater reduction. J. Korean Soc. Water Qual. 2017, 17, 337–344. [Google Scholar] [CrossRef]
  28. Roehr, D.; Kong, Y. Runoff Reduction Effects of Green Roofs in Vancouver, BC, Kelowna, BC, and Shanghai, P.R. China. Can. Water Resour. J. 2010, 35, 53–68. [Google Scholar] [CrossRef]
  29. Zhang, Q.; Miao, L.; Wang, X.; Liu, D.; Zhu, L.; Zhou, B.; Sun, J.; Liu, J. The capacity of greening roof to reduce stormwater runoff and pollution. Landsc. Urban Plan. 2015, 144, 142–150. [Google Scholar] [CrossRef]
  30. Joksimovic, D.; Alam, Z. Cost efficiency of low impact development (LID) stormwater management practices. Procedia Eng. 2014, 89, 734–741. [Google Scholar] [CrossRef]
  31. Li, Y.; Babcock, R.W. Green roof hydrologic performance and modeling: A review. Water Sci. Technol. 2014, 69, 727–738. [Google Scholar] [CrossRef] [PubMed]
  32. Moriasi, D.N.; Arnold, J.G.; Van Liew, M.W.; Bingner, R.L.; Harmel, R.D.; Veith, T.L. Model evaluation guidelines for systematic quantification of accuracy in watershed simulations. Trans. ASABE 2007, 50, 885–900. [Google Scholar] [CrossRef]
Figure 1. Total drainage area of the study site at the Ochang Science Industrial Complex, Cheongju, South Korea, showing the 10 sub-basins considered in this study. In the figure, the red point indicates the nearest automatic weather station (AWS) around the drainage area.
Figure 1. Total drainage area of the study site at the Ochang Science Industrial Complex, Cheongju, South Korea, showing the 10 sub-basins considered in this study. In the figure, the red point indicates the nearest automatic weather station (AWS) around the drainage area.
Water 10 00967 g001
Figure 2. Conceptual diagram of the storm-water runoff process by LID facility and LID layer structure in SWMM-LID model [7].
Figure 2. Conceptual diagram of the storm-water runoff process by LID facility and LID layer structure in SWMM-LID model [7].
Water 10 00967 g002
Figure 3. The difference (red line) between annual maximum 60-min precipitation as directly recorded (Xs) and that estimated from 10-min precipitation data (Os).
Figure 3. The difference (red line) between annual maximum 60-min precipitation as directly recorded (Xs) and that estimated from 10-min precipitation data (Os).
Water 10 00967 g003
Figure 4. Comparisons of runoff simulated from precipitation data for 60-min periods directly recorded (black) and 60-min periods estimated from 10-min data: In this figure, Node# 1 and #2 indicate two of nodes (or junctions) in the SWMM-LID model for the application area. The unit, cms, means a cubic meter per second.
Figure 4. Comparisons of runoff simulated from precipitation data for 60-min periods directly recorded (black) and 60-min periods estimated from 10-min data: In this figure, Node# 1 and #2 indicate two of nodes (or junctions) in the SWMM-LID model for the application area. The unit, cms, means a cubic meter per second.
Water 10 00967 g004
Figure 5. Calibration results for each sub-basin of the study area using observed and simulated runoff flows for the E1 and E2 storm events. In this figure, correlation coefficient (CC), Nash-Sutcliffe efficiency coefficient (NSE), Bias (B), percent bias (PBIAS), RMSE-observations standard deviation ratio (RSR), root-mean-square error (RMSE), and R-squared are used as error indices to verify the calibration results.
Figure 5. Calibration results for each sub-basin of the study area using observed and simulated runoff flows for the E1 and E2 storm events. In this figure, correlation coefficient (CC), Nash-Sutcliffe efficiency coefficient (NSE), Bias (B), percent bias (PBIAS), RMSE-observations standard deviation ratio (RSR), root-mean-square error (RMSE), and R-squared are used as error indices to verify the calibration results.
Water 10 00967 g005
Figure 6. Hydrograph results of the total drainage area: In this figure, the hydrograph consists of inflow, outflow, and reduced fraction. The inflow indicates a case without LID facilities and the outflow is the other case with LID facilities. The reduced fraction means a portion of reduced runoff by LID facilities.
Figure 6. Hydrograph results of the total drainage area: In this figure, the hydrograph consists of inflow, outflow, and reduced fraction. The inflow indicates a case without LID facilities and the outflow is the other case with LID facilities. The reduced fraction means a portion of reduced runoff by LID facilities.
Water 10 00967 g006
Figure 7. Mean runoff reduction by drainage ratio (drainage area of each sub-basin/LID drainage area × 100%) from the short-term simulation.
Figure 7. Mean runoff reduction by drainage ratio (drainage area of each sub-basin/LID drainage area × 100%) from the short-term simulation.
Water 10 00967 g007
Figure 8. Runoff reduction trend by annual precipitation for all LID types.
Figure 8. Runoff reduction trend by annual precipitation for all LID types.
Water 10 00967 g008
Figure 9. Mean runoff reduction by drainage ratio (drainage area/LID drainage area × 100%) from the long-term simulation. In the lowest annual precipitation case (2015 year, 751.1 mm), the total runoff reduction rate was highest (33.2%), while the lowest rate was 19.6% in 2011. The monthly rate of reduction was low during the wet season (averaging 14.6%), and high during the dry season (averaging 31.7%), suggesting that seasonal runoff depends on the magnitude of seasonal precipitation.
Figure 9. Mean runoff reduction by drainage ratio (drainage area/LID drainage area × 100%) from the long-term simulation. In the lowest annual precipitation case (2015 year, 751.1 mm), the total runoff reduction rate was highest (33.2%), while the lowest rate was 19.6% in 2011. The monthly rate of reduction was low during the wet season (averaging 14.6%), and high during the dry season (averaging 31.7%), suggesting that seasonal runoff depends on the magnitude of seasonal precipitation.
Water 10 00967 g009
Table 1. Overview of LID installations in the study site and their functions: infiltration (IN), filtering (FI), storage (ST), evapotranspiration (EV), ecological habitat (EC), and groundwater supply (GW). “X” indicates that a given installation provides that function; “n/a” indicates that it does not.
Table 1. Overview of LID installations in the study site and their functions: infiltration (IN), filtering (FI), storage (ST), evapotranspiration (EV), ecological habitat (EC), and groundwater supply (GW). “X” indicates that a given installation provides that function; “n/a” indicates that it does not.
LID InstallationFunction
INFISTEVECGW
Vegetated area (VA)XXXXXX
Tree filter box (TF)Xn/aXXXX
Garden pot (GP)XXn/aXXX
Infiltration Ditch (ID)XXXXn/aX
Rain Barrel (RB)XXXn/an/aX
Infiltration block (IB)n/an/aXn/an/an/a
Permeable Pavement (PP)XXn/aXn/aX
Table 2. Installation features of the LID facilities for each sub-basin: In this table, Total (m2) and LID (m2) indicate actual drainage areas for collecting a direct runoff into outlets at a sub-basin and entire LID facilities, respectively. LID Ratio (%) is a ratio of the LID (m2) to the Total (m2). In the unit column, ‘ea’ (or each) indicates a number of units.
Table 2. Installation features of the LID facilities for each sub-basin: In this table, Total (m2) and LID (m2) indicate actual drainage areas for collecting a direct runoff into outlets at a sub-basin and entire LID facilities, respectively. LID Ratio (%) is a ratio of the LID (m2) to the Total (m2). In the unit column, ‘ea’ (or each) indicates a number of units.
Sub-BasinDrainage AreaType of LIDsUnitQuantityNote
Total (m2)LID (m2)LID Ratio (%)
A137,65511,96531.8VAm212561 ea
PPm26744
TFea815.84 m2
GPm84
A238,240493612.9GPm29
PPm21588
A334,179929027.2GPm8
TFea611.88 m2
PPm22640
A424,777765930.9GPm15
PPm22030
A520,389426220.9GPm44
PPm21097
A624,763403216.3TFea56
PPm21105110.88 m2
B134,806702420.2GPm42.5
IDm1836 m2
PPm21403
TFea47.92 m2
B230,62412,42540.6VAm247.51 ea
IDm85170 m2
PPm22866
GPm25.5
TFea1121.78 m2
RBea1411.34 m2
B382,12820,23124.6VAm2100.461 ea
IDm118236 m2
GPm116.6
PPm24720
TFea3365.34 m2
RBea43.24 m2
IBea57.44 m2
B483,62215,75218.8VAm2103.541 ea
IDm117234 m2
RBea43.24 m2
GPm105.3
PPm25670
TFea1835.64 m2
Table 3. Storm events used for model calibration and evaluation.
Table 3. Storm events used for model calibration and evaluation.
No.Date (month/day/year)PurposeNumber of Antecedent Days with No RainTotal RainfallDurationMean Intensity
(mm)(h)(mm/h)
E111/24/2013Calibration (before LID installation)419111.7
E204/17/2014146.5130.5
E307/12/2015Calibration (after LID installation)39.2170.5
E407/29/201548.342.1
E508/25/2015224.1181.3
E610/01/20151834.1181.9
E710/27/20151527.783.5
E809/16/2016Evaluation740.5212
E910/03/2016519.882.5
E1010/05/2016213.771.9
E1110/08/2016233.2162.1
Table 4. Modeled runoff reduction (%) for four storm events.
Table 4. Modeled runoff reduction (%) for four storm events.
LID FacilityEventMean
E8E9E10E11
Vegetated area (VA)95.57991.286.788.1
Tree filter box (TF)No runoff73.8No runoff86.790.1
Garden pot (GP)No runoffNo runoffNo runoff
Infiltration ditch (ID)
Rain barrel (RB)23.65029.232.633.9
Infiltration block (IB)34.439.685.445.151.1
Permeable pavement (PP)87.159.465.967.369.9
Drainage/Installed LID
A1VA, PP, TF, GP9.14.213.311.49.5
A2GP, PP9.28.89.18.89
A3GP, TF, PP13.711.517.514.314.3
A4GP, PP2521.425.926.424.7
A5GP, PP23.827.841.729.430.7
A6TF, PP10.912.5812.611
B1GP, ID, PP, TF2117.223.921.220.8
B2VA, ID, PP, GP, TF, RB22.828.432.731.728.9
B3VA, ID, GP, PP, TF, RB, IB18.211.915.913.514.9
B4VA, ID, RB, GP, PP, TF17.911.713.612.914
Mean17.215.520.218.217.8

Share and Cite

MDPI and ACS Style

Kim, J.; Lee, J.; Song, Y.; Han, H.; Joo, J. Modeling the Runoff Reduction Effect of Low Impact Development Installations in an Industrial Area, South Korea. Water 2018, 10, 967. https://doi.org/10.3390/w10080967

AMA Style

Kim J, Lee J, Song Y, Han H, Joo J. Modeling the Runoff Reduction Effect of Low Impact Development Installations in an Industrial Area, South Korea. Water. 2018; 10(8):967. https://doi.org/10.3390/w10080967

Chicago/Turabian Style

Kim, Jungho, Jungho Lee, Yangho Song, Heechan Han, and Jingul Joo. 2018. "Modeling the Runoff Reduction Effect of Low Impact Development Installations in an Industrial Area, South Korea" Water 10, no. 8: 967. https://doi.org/10.3390/w10080967

APA Style

Kim, J., Lee, J., Song, Y., Han, H., & Joo, J. (2018). Modeling the Runoff Reduction Effect of Low Impact Development Installations in an Industrial Area, South Korea. Water, 10(8), 967. https://doi.org/10.3390/w10080967

Note that from the first issue of 2016, this journal uses article numbers instead of page numbers. See further details here.

Article Metrics

Back to TopTop