Assessing the Hydrodynamic Response of the Mar Menor Lagoon to Dredging Inlets Interventions through Numerical Modelling
Abstract
1. Introduction
2. Materials and Methods
2.1. Study Site
2.2. Numerical Model (Simulation Set Up)
2.3. Application to Mar Menor
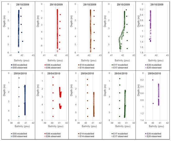
2.3.1. Calibration and Validation
2.3.2. Dredging Scenarios
3. Results
3.1. Current Speed
3.2. Water Exchange—Discharges and Volumes through Channels
3.3. Water Renewal Times and Salinity-Temperature Ranges
4. Discussion
4.1. Impact of Deepening Channels on Beaches Quality
4.2. Impact on Communities and Filter-Feeder Assemblages
4.3. Impact on Community Structure, Genetic Fluxes and Populations Connectivity
4.4. Impact of Enlarging Channels on Fishing Activity
5. Final Remarks: Actions on the Inlets as a Management Tool
Supplementary Materials
Author Contributions
Funding
Acknowledgments
Conflicts of Interest
References
- Pérez-Ruzafa, A.; Marcos, C.; Pérez-Ruzafa, I.M. Mediterranean coastal lagoons in an ecosystem and aquatic resources management context. Phys. Chem. Earth 2011, 36, 160–166. [Google Scholar] [CrossRef]
- Newton, A.; Icely, J.; Cristina, S.; Brito, A.; Cardoso, A.C.; Colijn, F.; Ivanova, K. An overview of ecological status, vulnerability and future perspectives of European large shallow, semi-enclosed coastal systems, lagoons and transitional waters. Estuar. Coast. Shelf Sci. 2014, 140, 95–122. [Google Scholar] [CrossRef]
- Pérez-Ruzafa, A.; Marcos, C. Fisheries in coastal lagoons: An assumed but poorly researched aspect of the ecology and functioning of coastal lagoons. Estuar. Coast. Shelf Sci. 2012, 110, 15–31. [Google Scholar] [CrossRef]
- Patrolia, E.; Thompson, R.; Dalton, T.; Hoagland, P. The influence of weather on the recreational uses of coastal lagoons in Rhode Island, USA. Mar. Policy 2017, 83, 252–258. [Google Scholar] [CrossRef]
- García-Ayllón, S. Integrated management in coastal lagoons of highly complexity environments: Resilience comparative analysis for three case-studies. Ocean Coast. Manag. 2017, 143, 16–25. [Google Scholar] [CrossRef]
- Rebelo, C.F.C.; Alves, C.P.F.; Moiteiro, G.C.; Ezequiel, G.M.G.; Brasão, I.P.C.; De Vasconcelos, J.V.; De Jesus Carvalho, M.J.P. Tourism Through the Gaze of Stakeholders: The Case of Óbidos Lagoon in Portugal. Tour. Plan. Dev. 2015, 12, 447–462. [Google Scholar] [CrossRef]
- Rova, S.; Pranovi, F.; Müller, F. Provision of ecosystem services in the lagoon of Venice (Italy): An initial spatial assessment. Ecohydrol. Hydrobiol. 2015, 15, 13–25. [Google Scholar] [CrossRef]
- Pérez-Ruzafa, A.; García-Charton, J.A.; Barcala, E.; Marcos, C. Changes in benthic fish assemblages as a consequence of coastal works in a coastal lagoon: The Mar Menor (Spain, Western Mediterranean). Mar. Pollut. Bull. 2006, 53, 107–120. [Google Scholar] [CrossRef] [PubMed]
- Gamito, S.; Gilabert, S.; Marcos, C.; Pérez-Ruzafa, A. Effects of Changing Environmental Conditions on Lagoon Ecology. In Coastal Lagoons: Ecosystem Processes and Modeling for Sustainable Use and Development; Gönenç, I.E., Wolflin, J.P., Eds.; CRC Press: Boca Ratón, FL, USA, 2005; pp. 193–229. [Google Scholar]
- Ghezzo, M.; De Pascalis, F.; Umgiesser, G.; Zemlys, P.; Sigovini, M.; Marcos, C.; Pérez-Ruzafa, A. Connectivity in Three European Coastal Lagoons. Estuar. Coasts 2015, 38, 1764–1781. [Google Scholar] [CrossRef]
- Pérez-Ruzafa, A.; De Pascalis, F.; Ghezzo, M.; Quispe-Becerra, J.I.; Hernández-García, R.; Muñoz, I.; Marcos, C. Connectivity between coastal lagoons and sea: Asymmetrical effects on assemblages’ and populations’ structure. Estuar. Coast. Shelf Sci. 2018. [Google Scholar] [CrossRef]
- Wu, Y.; Chaffey, J.; Greenberg, D.A.; Colbo, K.; Smith, P.C. Tidally-induced sediment transport patterns in the upper Bay of Fundy: A numerical study. Cont. Shelf Res. 2011, 31, 2041–2053. [Google Scholar] [CrossRef]
- Davidson-Arnott, R.G.; Van Proosdij, D.; Ollerhead, J.; Schostak, L. Hydrodynamics and sedimentation in salt marshes: Examples from a macrotidal marsh, Bay of Fundy. Geomorphology 2002, 48, 209–231. [Google Scholar] [CrossRef]
- Suanez, S.; Bruzzi, C. Shoreline management and its implications for coastal processes in the eastern part of the Rhône delta. J. Coast. Conserv. 1999, 5, 1–12. [Google Scholar] [CrossRef]
- Grifoll, M.; Del Campo, A.; Espino, M.; Mader, J.; González, M.; Borja, Á. Water renewal and risk assessment of water pollution in semi-enclosed domains: Application to Bilbao Harbour (Bay of Biscay). J. Mar. Syst. 2013, 109, S241–S251. [Google Scholar] [CrossRef]
- Pérez-Ruzafa, A.; Marcos, C.; Pérez-Ruzafa, I.M.; Pérez-Marcos, M. Coastal lagoons: “transitional ecosystems” between transitional and coastal waters. J. Coast. Conserv. 2011, 15, 369–392. [Google Scholar] [CrossRef]
- Umgiesser, G.; Ferrarin, C.; Cucco, A.; De Pascalis, F.; Bellafiore, D.; Ghezzo, M.; Bajo, M. Comparative hydrodynamics of 10 Mediterranean lagoons by means of numerical modeling. J. Geophys. Res. Oceans 2014, 119, 2212–2226. [Google Scholar] [CrossRef]
- Ferrarin, C.; Ghezzo, M.; Umgiesser, G.; Tagliapietra, D.; Camatti, E.; Zaggia, L.; Sarretta, A. Assessing hydrological effects of human interventions on coastal systems: Numerical applications to the Venice Lagoon. Hydrol. Earth Syst. Sci. 2013, 17, 1733–1748. [Google Scholar] [CrossRef]
- Umgiesser, G.; Zemlys, P.; Erturk, A.; Razinkova-Baziukas, A.; Mėžinė, J.; Ferrarin, C. Seasonal renewal time variability in the Curonian Lagoon caused by atmospheric and hydrographical forcing. Ocean Sci. 2016, 12, 391–402. [Google Scholar] [CrossRef]
- Malhadas, M.S.; Silva, A.; Leitão, P.C.; Neves, R. Effect of the bathymetric changes on the hydrodynamic and residence time in Óbidos Lagoon (Portugal). J. Coast. Res. 2009, Special Issue No. 56. 549–553. [Google Scholar]
- Jeyar, M.; Chaabelasri, E.; Salhi, N. Numerical investigation of new alternative Nador lagoon inlet relocation. Int. J. Fluid Mech. Res. 2015, 42, 449–462. [Google Scholar] [CrossRef]
- Teatini, P.; Isotton, G.; Nardean, S.; Ferronato, M.; Mazzia, A.; Da Lio, C.; Cellone, F. Hydrogeological effects of dredging navigable canals through lagoon shallows. A case study in Venice. Hydrol. Earth Syst. Sci. 2017, 21, 5627–5646. [Google Scholar] [CrossRef]
- Pérez-Ruzafa, A.; Marcos, C.; Pérez-Ruzafa, I.M.; Ros, J.D. Evolución de las características ambientales y de los poblamientos del Mar Menor (Murcia, SE de España). Anales de Biología 1987, 53–65. [Google Scholar]
- Pérez-Ruzafa, A.; Marcos-Diego, C.; Ros, J.D. Environmental and biological changes related to recent human activities in the Mar Menor (SE of Spain). Mar. Pollut. Bull. 1991, 23, 747–751. [Google Scholar] [CrossRef]
- Pérez-Ruzafa, A.; Marcos, C.; Gilabert, J. The ecology of the Mar Menor coastal lagoon: A fast-changing ecosystem under human pressure. In Coastal Lagoons: Ecosystem Processes and Modeling for Sustainable Use and Development; Gönenç, I.E., Wolflin, J.P., Eds.; CRC Press: Boca Ratón, FL, USA, 2005; pp. 392–422. [Google Scholar]
- Pérez-Ruzafa, A.; Gilabert, J.; Gutiérrez, J.M.; Fernández, A.I.; Marcos, C.; Sabah, S. Evidence of a planktonic food web response to changes in nutrient input dynamics in the Mar Menor coastal lagoon, Spain. Hydrobiologia 2002, 475/476, 359–369. [Google Scholar] [CrossRef]
- De Pascalis, F.; Pérez-Ruzafa, A.; Gilabert, J.; Marcos, C.; Umgiesser, G. Climate change response of the Mar Menor coastal lagoon (Spain) using a hydrodynamic finite element model. Estuar. Coast. Shelf Sci. 2012, 114, 118–129. [Google Scholar] [CrossRef]
- Ghezzo, M.; Guerzoni, S.; Cucco, A.; Umgiesser, G. Changes in Venice Lagoon dynamics due to construction of mobile barriers. Coast. Eng. 2010, 57, 694–708. [Google Scholar] [CrossRef]
- Lopez-Castejon, F. Caracterización de la hidrodinámica del Mar Menor y los flujos de intercambio con el Mediterráneo mediante datos in situ y modelado numérico. Ph.D. Thesis, Technical University of Cartagena, Cartagena, Spain, 2017. [Google Scholar]
- Pérez-Ruzafa, A.; Fernández, A.I.; Marcos, C.; Gilabert, J.; Quispe, J.I.; García-Charton, J.A. Spatial and temporal variations of hydrological conditions, nutrients and chlorophyll a in a Mediterranean coastal lagoon (Mar Menor, Spain). Hydrobiologia 2005, 550, 11–27. [Google Scholar] [CrossRef]
- Pérez-Ruzafa, Á. Estudio ecológico y bionómico de los poblamientos bentónicos del Mar Menor (Murcia, SE de España). Ph.D. Thesis, Universidad de Murcia, Murcia, Spain, 1989. [Google Scholar]
- Martínez-Alvarez, V.; Gallego-Elvira, B.; Maestre-Valero, J.F.; Tanguy, M. Simultaneous solution for water, heat and salt balances in a Mediterranean coastal lagoon (Mar Menor, Spain). Estuar. Coast. Shelf Sci. 2011, 91, 250–261. [Google Scholar] [CrossRef]
- Webster, I.T. The hydrodynamics and salinity regime of a coastal lagoon–The Coorong, Australia–Seasonal to multi-decadal timescales. Estuar. Coast. Shelf Sci. 2010, 90, 264–274. [Google Scholar] [CrossRef]
- Zemlys, P.; Ferrarin, C.; Umgiesser, G.; Gulbinskas, S.; Bellafiore, D. Investigation of saline water intrusions into the Curonian Lagoon (Lithuania) and two-layer flow in the Klaipėda Strait using finite element hydrodynamic model. Ocean Sci. 2013, 9, 573–584. [Google Scholar] [CrossRef]
- Umgiesser, G.; Canu, D.M.; Cucco, A.; Solidoro, C. A finite element model for the Venice Lagoon. Development, set up, calibration and validation. J. Mar. Syst. 2004, 51, 123–145. [Google Scholar] [CrossRef]
- Bellafiore, D.; Umgiesser, G. Hydrodynamic coastal processes in the North Adriatic investigated with a 3D finite elements model. Ocean Dyn. 2010, 60, 255–273. [Google Scholar] [CrossRef]
- Ferrarin, C.; Bergamasco, A.; Umgiesser, G.; Cucco, A. Hydrodynamics and spatial zonation of the Capo Peloro coastal system (Sicily) through 3-D numerical modeling. J. Mar. Syst. 2013, 117, 96–107. [Google Scholar] [CrossRef]
- Bellafiore, D.; Umgiesser, G.; Cucco, A. Modeling the water exchanges between the Venice Lagoon and the Adriatic Sea. Ocean Dyn. 2008, 58, 397–413. [Google Scholar] [CrossRef]
- Hesse, C.; Stefanova, A.; Krysanova, V.; Bielecka, M.; Domnin, D.A.; Lloret, J.; Loboda, N.; Sousa, L. LAGOONS 2013. Results of Climate Impact Assessment—Application for Four Lagoon Catchments. LAGOONS Report D5.1, 107p. Available online: http://lagoons.biologiaatua.net/?page_id=702 (accessed on 29 March 2018).
- Pérez-Ruzafa, A.; Marcos, C.; Quispe, J.I.; García-Sánchez, M.; López-Capel, A.; Barba, A.; Oliva, J.; Martínez-Sánchez, M.J.; Pérez-Sirvent, C.; Martínez-Paz, J.M. Study for the Dispersion of the Existing Spills in the Mar Menor Coastal Lagoon and The Cost-Efficiency Analysis of the Lack of Application of Correction Measurements for the Improvement of the Lagoon Water Quality; Entidad: Consejeria de Agricultura y Agua; Informe Final: Murcia, Spain, 2010. [Google Scholar]
- Fratianni, C.; Simoncelli, S.; Pinardi, N.; Cherchi, A.; Grandi, A.; Dobricic, S. Mediterr. RR 1955–2015 (Version 1). Data Set; Copernicus Monitoring Environment Marine Service (CMEMS): Vincennes, France, 2015. [Google Scholar] [CrossRef]
- Oddo, P.; Pinardi, N.; Zavatarelli, M.; Coluccelli, A. The Adriatic basin forecasting system. Acta Adriat. 2006, 47, 169–184. [Google Scholar]
- Burchard, H.; Bolding, K.; Villarreal, M. GOTM, a General Ocean Turbulence Model: Theory, Implementation and Test Cases; Rep. EUR18745; Space Applications Institute: Ahmedabad, Gujarat, 1999. [Google Scholar]
- Arévalo, L. El Mar Menor como sistema forzado por el Mediterráneo. Control hidráulico y agentes fuerza. Boletín del Inst. Español de Oceanogr. 1988, 5, 63–95. [Google Scholar]
- Pérez-Ruzafa, A.; Marcos, C.; Bernal, C.M.; Quintino, V.; Freitas, R.; Rodrigues, A.M.; García-Sánchez, M.; Pérez-Ruzafa, I.M. Cymodocea nodosa vs. Caulerpa prolifera: Causes and consequences of a long term history of interaction in macrophyte meadows in the Mar Menor coastal lagoon (Spain, southwestern Mediterranean). Estuar. Coast. Shelf Sci. 2012, 110, 101–115. [Google Scholar] [CrossRef]
- Chubarenko, B.; Koutitonsky, V.G.; Neves, R.; Umgiesser, G. Modeling concepts. In Coastal Lagoons: Ecosystem Processes and Modeling for Sustainable Use and Development; CRC Press: Boca Ratón, FL, USA, 2005; pp. 231–306. ISBN 9781566706865. [Google Scholar]
- Cucco, A.; Umgiesser, G. Modeling the Venice Lagoon residence time. Ecol Model. 2006, 193, 34–51. [Google Scholar] [CrossRef]
- Arndt, E.A. Ecological, physiological and historical aspects of brackish water fauna distribution. In Reproduction, Genetics and Distributions of Marine Organisms; Ryland, J.S., Tyler, P.A., Eds.; Olsen & Olsen: Fredensborg, Denmark, 1989; pp. 327–338. [Google Scholar]
- McLusky, D.S. Estuarine benthic ecology: A European perspective. Aust. J. Ecol. 1999, 24, 302–311. [Google Scholar] [CrossRef]
- Petit, G. Introduction à l’étude écologique des étangs méditerranéens. Vie Milieu 1953, 4, 569–604. [Google Scholar]
- Aguesse, P. La classification des eaux poikilohalines, sa difficulté en Camargue. Nouvelle tentative de classification. Vie et Milieu 1957, 8, 341–365. [Google Scholar]
- D’Ancona, U. The classification of brackish waters with reference to the North Adriatic lagoons. Arch. Oceanogr. Limnol. 1959, 11, 93–109. [Google Scholar]
- Guelorget, O.; Perthuisot, J.P. Le domaine paralique. Expressions géologiques, biologiques et économiques du confinement. Travaux du Laboratoire de Géologie 1983, 16, 1–136. [Google Scholar]
- Kjerfve, B. Coastal Lagoons. In Coastal Lagoon Processes; Elsevier Oceanography Series 60; Kjerfve, B., Ed.; Elsevier: Amsterdam, The Netherlands, 1994; pp. 1–8. [Google Scholar]
- Pérez-Ruzafa, Á.; Marcos, C.; Pérez-Ruzafa, I.M. Recent advances in coastal lagoons ecology: Evolving old ideas and assumptions. Transit. Waters Bull. 2011, 5. [Google Scholar] [CrossRef]
- Pérez-Ruzafa, A.; Marcos, C. Colonization rates and dispersal as essential parameters in the confinement theory to explain the structure and horizontal zonation of lagoon benthic assemblages. Rapp. Comm. Int. Mer Médit. 1992, 33, 100. [Google Scholar]
- Pérez-Ruzafa, A.; Marcos, C. La teoría del confinamiento como modelo para explicar la estructura y zonación horizontal de las comunidades bentónicas en las lagunas costeras. Publ. Espec. Inst. Esp. Oceanogr. 1993, 11, 347–358. [Google Scholar]
- Pérez-Ruzafa, A.; Mompeán, M.C.; Marcos, C. Hydrographic, geomorphologic and fish assemblage relationships in coastal lagoons. Hydrobiologia 2007, 577, 107–125. [Google Scholar] [CrossRef]
- Van Rijn, L.C. Principles of Sediment Transport in Rivers, Estuaries and Coastal Sea; Aqua Publications: Amsterdam, The Netherlands, 1993. [Google Scholar]
- Soulsby, D. Dynamics of Marine Sands; ThomasTelford: London, UK, 1997. [Google Scholar]
- Hjulstrom, F. Studies of the morphological activity of rivers as illustrated by the River Fyris. Bull. Geol. Inst. 1935, 25, 221–527. [Google Scholar]
- Humphries, S. Filter feeders and plankton increase particle encounter rates through flow regime control. Proc. Natl. Acad. Sci. USA 2009, 106, 7882–7887. [Google Scholar] [CrossRef] [PubMed]
- Tytell, E. Filter feeding at intermediate reynolds number. J. Exp. Biol. 2009, 212, VI. [Google Scholar] [CrossRef]
- Pérez-Ruzafa, A. El papel de la conectividad restringida en la construcción de los ecosistemas marinos semiaislados: El ejemplo de las lagunas costeras y los archipiélagos. Revista de la Academia Canaria de Ciencias 2015, 27, 411–456. [Google Scholar]
- Fujioka, K.; Fukuda, H.; Furukawa, S.; Tei, Y.; Okamoto, S.; Ohshimo, S. Habitat use and movement patterns of small (age-0) juvenile Pacific bluefin tuna (Thunnus orientalis) relative to the Kuroshio. Fish. Oceanogr. 2018, 27, 185–198. [Google Scholar] [CrossRef]
- Beraud, C.; Van Der Molen, J.; Armstrong, M.; Hunter, E.; Fonseca, L.; Hyder, K. The influence of oceanographic conditions and larval behaviour on settlement success—The European sea bass Dicentrarchus labrax (L.). ICES J. Mar. Sci. 2018, 75, 455–470. [Google Scholar] [CrossRef]
- Vallès, H. Parrotfish recruitment revisited: A key role for sea surface currents. Environ. Biol. Fishes 2017, 100, 1649–1657. [Google Scholar] [CrossRef]
- Neufeld, K.; Watkinson, D.A.; Tierney, K.; Poesch, M.S. Incorporating asymmetric movement costs into measures of habitat connectivity to assess impacts of hydrologic alteration to stream fishes. Divers. Distrib. 2018, 24, 593–604. [Google Scholar] [CrossRef]
- Lae, R. Changes in fish and crustacean communities of a tropical lagoon, lake Togo, submitted to alternate phases of opening and closing belt. Aquat. Living Resour. 1994, 7, 165–179. [Google Scholar]
- Pombo, L.; Elliot, M.; Rebelo, J.E. Changes in the fish fauna of the Ria de Aveiro estuarine lagoon (Portugal) during the twentieth century. J. Fish Biol. 2002, 61 (Suppl. A), 167–181. [Google Scholar] [CrossRef]
- Castro, C. Mejoramiento de lagunas costeras: Algunos ejemplos de México. In Management of Coastal Lagoon Fisheries; FAO Studies and Reviews, GFCM No. 61; Kapetsky, J.M., Lasserre, G., Eds.; FAO: Rome, Italy, 1984; pp. 695–708. [Google Scholar]
- Peja, N.; Vaso, A.; Miho, A.; Rakaj, N.; Crivelli, A.J. Characteristics of Albanian lagoons and their fisheries. Fish. Res. 1996, 27, 215–225. [Google Scholar] [CrossRef]
- Marcos, C.; Torres, I.; López-Capel, A.; Pérez-Ruzafa, A. Long term evolution of fisheries in a coastal lagoon related to changes in lagoon ecology and human pressures. Rev. Fish Biol. Fish. 2015, 25, 689–713. [Google Scholar] [CrossRef]
- Joyeux, J.C.; Ward, A.B. Constraints on Coastal Lagoon Fisheries. Adv. Mar. Biol. 1998, 34, 74–199. [Google Scholar]
- Butigieg, J. La despoblación del Mar Menor y sus causas. Boletín de Pescas. Dirección General de Pesca del Ministerio de Marina. Instituto Español de Oceanografia 1927, 133, 251–286. [Google Scholar]
- Navarro, F. Observaciones sobre el Mar Menor (Murcia). Notas y resumenes del Instituto Español de Oceanografía Serie II 1927, 16, 1–63. [Google Scholar]
- May, N.; Trent, L.; Pristas, P.J. Relation of fish catches in gill nets to frontal periods. Fish. Bull. 1976, 74, 449–453. [Google Scholar]
- Walker, M.G.; Jones, F.R.H.; Arnold, G.P. The movements of plaice (Pleuronectes platessa L.) tracked in the open sea. ICES J. Mar. Sci. 1958, 38, 58–86. [Google Scholar] [CrossRef]
- Reed, M. A multidimensional continuum model of fish behavior. Ecol. Model. 1983, 20, 311–322. [Google Scholar] [CrossRef]
- Pérez-Ruzafa, A.; Marcos, C.; Pérez-Ruzafa, I.M. When maintaining ecological integrity and complexity is the best restoring tool: The case of the Mar Menor lagoon. In: Quintana, X.; Boix, D., Gascón, S. and Sala, J. (coords). Protecting and restoring the salt marshes and seagrasses in the lagoon of Venice. Management and restoration of Mediterranean coastal lagoons in Europe. Recer. i territorio 2018, 10, 67–95. [Google Scholar]
- Quignard, J.P. Les caracteristiques Biologiques et environmentales des lagunes en tant que base biologique de l’amenagement des pecheries. In Management of Coastal Lagoon Fisheries; FAO Studies and Reviews, GFCM No. 61; Kapetsky, J.M., Lasserre, G., Eds.; FAO: Rome, Italy, 1984; pp. 4–38. [Google Scholar]
- Rossi, G. Management of aquaculture and fishing in the Scardovari fishery (Po River delta, Italy). In Management of Coastal Lagoon Fisheries; FAO Studies and Reviews, GFCM No. 61; Kapetsky, J.M., Lasserre, G., Eds.; FAO: Rome, Italy, 1984; pp. 441–460. [Google Scholar]
- Dye, A.H. Meiobenthos in intermittently open/closed coastal lakes in New South Wales: Spatial and temporal patterns in densities of major taxa. Mar. Freshw. Res. 2005, 56, 1055–1067. [Google Scholar] [CrossRef]

















| Coeff. Strickler (m1/3/s) | R2 Levels | R2 Velocities |
|---|---|---|
| 27 | 0.9424 | 0.7560 |
| 30 | 0.9426 | 0.7554 |
| 32 | 0.9425 | 0.7546 |
| 36 | 0.9417 | 0.7523 |
| Water Level (m) | Current Speed (m/s) | |||
|---|---|---|---|---|
| Observed | Modelled | Observed | Modelled | |
| Average | 0.000 | 0.008 | −0.008 | −0.001 |
| Standard Deviation | 0.100 | 0.079 | 0.295 | 0.297 |
| Scenario | ID | Depth Encañizadas (m) | Depth Marchamalo (m) | % Section Change * | ||
|---|---|---|---|---|---|---|
| Average | Maximum | Average | Maximum | |||
| Undisturbed | 1 | 1.06 | 3.10 | 0.39 | 0.60 | - |
| Maint_Enc | 2 | 1.09 | 3.10 | 0.39 | 0.60 | 0.0 |
| Enc_1m | 3 | 0.92 | 1.00 | 0.39 | 0.60 | 57.3 |
| Enc_1.5m | 4 | 1.42 | 1.50 | 0.39 | 0.60 | 106.1 |
| Mar_part_0.5m | 5 | 1.06 | 3.10 | 0.43 | 0.60 | 0.0 |
| Mar_0.5m | 6 | 1.06 | 3.10 | 0.50 | 0.50 | 1.0 |
| Mar_1m | 7 | 1.06 | 3.10 | 1.00 | 1.00 | 3.6 |
| Mar_1.5m | 8 | 1.06 | 3.10 | 1.50 | 1.50 | 6.2 |
| Maint_Enc-Mar_0.5m | 9 | 1.09 | 3.10 | 0.50 | 0.50 | 1.0 |
| Enc_Mar_1m | 10 | 0.92 | 1.00 | 1.00 | 1.00 | 61.0 |
| Enc_Mar_1.5m | 11 | 1.42 | 1.50 | 1.50 | 1.50 | 112.3 |
| Scenario | STDEV_curr (m/s) |
|---|---|
| Undisturbed | 0.030 |
| Maint_Enc | 0.033 |
| Enc_1m | 0.041 |
| Enc_1.5m | 0.048 |
| Mar_part_0.5m | 0.031 |
| Mar_0.5m | 0.039 |
| Mar_1m | 0.041 |
| Mar_1.5m | 0.043 |
| Maint_Enc-Mar_0.5m | 0.034 |
| Enc_Mar_1m | 0.043 |
| Enc_Mar_1.5m | 0.050 |
| Scenario | ID | Direction | Average Discharge (m3/s) | Total Average Discharge (m3/s) | popen (m2/km2) | ||
|---|---|---|---|---|---|---|---|
| Encañizadas | Estacio | Marchamalo | |||||
| Undisturbed | 1 | In | 5.03 | 29.95 | 0.53 | 35.51 | 3.50 |
| Out | 3.67 | 29.80 | 0.41 | 33.88 | |||
| Maint_Enc | 2 | In | 9.19 | 29.17 | 0.52 | 38.88 | 3.72 |
| Out | 6.93 | 29.89 | 0.41 | 37.23 | |||
| Enc_1m | 3 | In | 31.54 | 26.49 | 0.46 | 58.49 | 5.51 |
| Out | 26.72 | 29.63 | 0.42 | 56.77 | |||
| Enc_1.5m | 4 | In | 67.58 | 24.67 | 0.42 | 92.67 | 7.22 |
| Out | 62.40 | 28.04 | 0.40 | 90.84 | |||
| Mar_part_0.5m | 5 | In | 5.02 | 29.92 | 0.71 | 35.65 | 3.50 |
| Out | 3.66 | 29.79 | 0.57 | 34.02 | |||
| Mar_0.5m | 6 | In | 5.02 | 29.90 | 0.93 | 35.85 | 3.54 |
| Out | 3.67 | 29.77 | 0.78 | 34.22 | |||
| Mar_1m | 7 | In | 4.99 | 29.68 | 2.64 | 37.31 | 3.63 |
| Out | 3.66 | 29.62 | 2.40 | 35.68 | |||
| Mar_1.5m | 8 | In | 4.97 | 29.50 | 4.96 | 39.43 | 3.72 |
| Out | 3.64 | 29.33 | 4.82 | 37.79 | |||
| Maint_Enc-Mar_0.5m | 9 | In | 9.18 | 29.13 | 0.90 | 39.21 | 3.54 |
| Out | 6.93 | 29.85 | 0.78 | 37.56 | |||
| Enc_Mar_1m | 10 | In | 31.43 | 26.41 | 2.35 | 60.19 | 5.63 |
| Out | 26.60 | 29.43 | 2.42 | 58.45 | |||
| Enc_Mar_1.5m | 11 | In | 67.28 | 24.55 | 4.11 | 95.94 | 7.43 |
| Out | 61.75 | 27.71 | 4.70 | 94.16 | |||
| Scenario | ID | Direction | Annual Volume (hm3) | Total Annual Volume (hm3) | ||
|---|---|---|---|---|---|---|
| Encañizadas | Estacio | Marchamalo | ||||
| Undisturbed | 1 | In | 158.49 | 944.66 | 16.70 | 1119.85 |
| Out | 115.62 | 939.77 | 12.95 | 1068.34 | ||
| Maint_Enc | 2 | In | 289.84 | 920.02 | 16.28 | 1226.14 |
| Out | 218.43 | 942.67 | 13.04 | 1174.14 | ||
| Enc_1m | 3 | In | 994.81 | 835.53 | 14.65 | 1844.99 |
| Out | 842.76 | 934.55 | 13.14 | 1790.45 | ||
| Enc_1.5m | 4 | In | 2131.48 | 777.96 | 13.25 | 2922.69 |
| Out | 1968.11 | 884.45 | 12.77 | 2865.33 | ||
| Mar_part_0.5m | 5 | In | 158.39 | 943.72 | 22.27 | 1124.38 |
| Out | 115.59 | 939.47 | 17.99 | 1073.05 | ||
| Mar_0.5m | 6 | In | 158.24 | 943.07 | 29.26 | 1130.57 |
| Out | 115.65 | 938.83 | 24.61 | 1079.09 | ||
| Mar_1m | 7 | In | 157.45 | 936.15 | 83.33 | 1176.93 |
| Out | 115.47 | 934.12 | 75.62 | 1125.21 | ||
| Mar_1.5m | 8 | In | 156.77 | 930.45 | 156.54 | 1243.76 |
| Out | 114.92 | 925.09 | 151.99 | 1192.00 | ||
| Maint_Enc-Mar_0.5m | 9 | In | 289.58 | 918.75 | 28.51 | 1236.84 |
| Out | 218.42 | 941.52 | 24.75 | 1184.69 | ||
| Enc_Mar_1m | 10 | In | 991.30 | 832.81 | 74.24 | 1898.35 |
| Out | 838.89 | 928.34 | 76.23 | 1843.46 | ||
| Enc_Mar_1.5m | 11 | In | 2121.96 | 774.35 | 129.57 | 3025.88 |
| Out | 1947.51 | 874.04 | 148.38 | 2969.93 | ||
| Scenario | Salinity (PSU) | Temperature (°C) | ||
|---|---|---|---|---|
| maximum | minimum | maximum | minimum | |
| Undisturbed | 43.64 | 39.37 | 28.33 | 9.03 |
| Maint_Enc | 43.65 | 39.33 | 28.34 | 9.06 |
| Enc_1m | 43.07 | 38.78 | 28.33 | 9.15 |
| Enc_1.5m | 42.25 | 38.16 | 28.30 | 9.24 |
| Mar_part_0.5m | 43.76 | 39.36 | 28.33 | 9.04 |
| Mar_0.5m | 43.77 | 39.36 | 28.33 | 9.04 |
| Mar_1m | 43.62 | 39.31 | 28.32 | 9.06 |
| Mar_1.5m | 43.46 | 39.19 | 28.31 | 9.09 |
| Maint_Enc-Mar_0.5m | 43.62 | 39.32 | 28.34 | 9.07 |
| Enc_Mar_1m | 42.93 | 38.67 | 28.32 | 9.18 |
| Enc_Mar_1.5m | 42.02 | 38.04 | 28.28 | 9.28 |
© 2018 by the authors. Licensee MDPI, Basel, Switzerland. This article is an open access article distributed under the terms and conditions of the Creative Commons Attribution (CC BY) license (http://creativecommons.org/licenses/by/4.0/).
Share and Cite
García-Oliva, M.; Pérez-Ruzafa, Á.; Umgiesser, G.; McKiver, W.; Ghezzo, M.; De Pascalis, F.; Marcos, C. Assessing the Hydrodynamic Response of the Mar Menor Lagoon to Dredging Inlets Interventions through Numerical Modelling. Water 2018, 10, 959. https://doi.org/10.3390/w10070959
García-Oliva M, Pérez-Ruzafa Á, Umgiesser G, McKiver W, Ghezzo M, De Pascalis F, Marcos C. Assessing the Hydrodynamic Response of the Mar Menor Lagoon to Dredging Inlets Interventions through Numerical Modelling. Water. 2018; 10(7):959. https://doi.org/10.3390/w10070959
Chicago/Turabian StyleGarcía-Oliva, Miriam, Ángel Pérez-Ruzafa, Georg Umgiesser, William McKiver, Michol Ghezzo, Francesca De Pascalis, and Concepción Marcos. 2018. "Assessing the Hydrodynamic Response of the Mar Menor Lagoon to Dredging Inlets Interventions through Numerical Modelling" Water 10, no. 7: 959. https://doi.org/10.3390/w10070959
APA StyleGarcía-Oliva, M., Pérez-Ruzafa, Á., Umgiesser, G., McKiver, W., Ghezzo, M., De Pascalis, F., & Marcos, C. (2018). Assessing the Hydrodynamic Response of the Mar Menor Lagoon to Dredging Inlets Interventions through Numerical Modelling. Water, 10(7), 959. https://doi.org/10.3390/w10070959

