Numerical Investigation on Infiltration and Runoff in Unsaturated Soils with Unsteady Rainfall Intensity
Abstract
:1. Introduction
2. Methodology
2.1. Mathematical Model of Infiltration
2.2. Model Solution
2.2.1. Analytical Solution of Richards Equation
2.2.2. Numerical Approach for Infiltration
2.2.3. Runoff Calculation
2.3. Computational Process
3. Results and Discussion
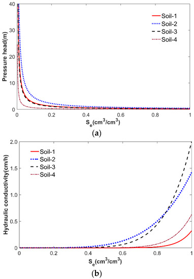
3.1. Model Verification
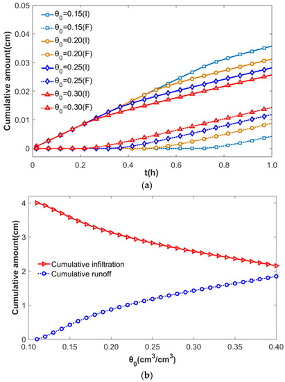
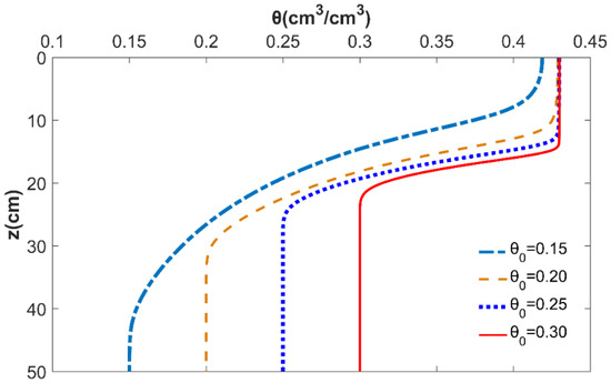
3.2. Comparison Analysis of Different Initial Soil Water Contents
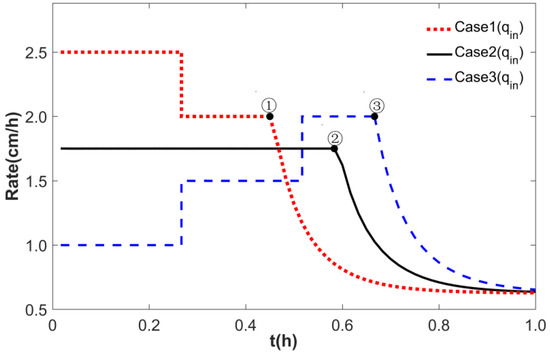
3.3. Comparison Analysis under Different Rainfall Conditions
4. Conclusions
Author Contributions
Acknowledgments
Conflicts of Interest
Nomenclature
| soil water content () | |
| time () | |
| soil depth () | |
| infiltration rate () | |
| hydraulic conductivity () | |
| total water potential () | |
| pressure head () | |
| specific soil water capacity () | |
| soil diffusivity () | |
| air entry value () | |
| effective water saturation () | |
| residual water content () | |
| saturated water content () | |
| pore size index () | |
| saturated hydraulic conductivity () | |
| linearized conductivity () | |
| initial soil water content () | |
| the iterated complementary error | |
| length of soil column () | |
| the number of slices () | |
| the thickness of each slice () | |
| depth of wetting front () | |
| space serial qualifier (subscript) () | |
| the location of upper boundary for slice () | |
| the top of soil column () | |
| the bottom of soil column () | |
| time serial qualifier (superscript) () | |
| the time of time step () | |
| the time-step () | |
| the intimal time () | |
| surface infiltration rate () | |
| rainfall intensity () | |
| instantaneous steady soil water saturation () | |
| soil infiltration capacity rate () | |
| cumulative infiltration () | |
| ponding time () | |
| surface runoff rate () | |
| cumulative rainfall () | |
| cumulative runoff () | |
| rainfall intensity stage | |
| infiltration capacity control stage | |
| decreasing rainfall condition | |
| steady rainfall condition | |
| increasing rainfall condition |
References
- Dunne, T.; Leopold, L.B. Water in Environment Planning; W. H. Freeman: London, UK, 1978; Volume 44, p. 502. [Google Scholar]
- Morbidelli, R.; Saltalippi, C.; Flammini, A.; Cifrodelli, M.; Corradini, C.; Govindaraju, R.S. Infiltration on sloping surfaces: Laboratory experimental evidence and implications for infiltration modeling. J. Hydrol. 2015, 523, 79–85. [Google Scholar] [CrossRef]
- Lai, W.; Ogden, F.L. A mass-conservative finite volume predictor–corrector solution of the 1D Richards’ equation. J. Hydrol. 2015, 523, 119–127. [Google Scholar] [CrossRef]
- Ahmadaali, J.; Barani, G.-A.; Qaderi, K.; Hessari, B. Analysis of the effects of water management strategies and climate change on the environmental and agricultural sustainability of Urmia Lake Basin, Iran. Water 2018, 10, 160. [Google Scholar] [CrossRef]
- Green, W.H.; Ampt, G.A. Studies on soil phyics, part 1. The flow of air and water through soils. J. Agric. Sci. 1911, 4, 11–24. [Google Scholar]
- Richards, L.A. Capillary conduction of liquids through porous mediums. Physics 1931, 1, 318–333. [Google Scholar] [CrossRef]
- Mein, R.G.; Larson, C.L. Modeling infiltration during a steady rain. Water Resour. Res. 1973, 9, 384–394. [Google Scholar] [CrossRef]
- Chu, S.T. Infiltration during an unsteady rain. Water Resour. Res. 1978, 14, 461–466. [Google Scholar] [CrossRef]
- Chu, X.; Mariño, M.A. Determination of ponding condition and infiltration into layered soils under unsteady rainfall. J. Hydrol. 2005, 313, 195–207. [Google Scholar] [CrossRef]
- Craig, J.R.; Liu, G.; Soulis, E.D. Runoff-infiltration partitioning using an upscaled Green-Ampt solution. Hydrol. Process. 2010, 24, 2328–2334. [Google Scholar] [CrossRef]
- Corradini, C.; Flammini, A.; Morbidelli, R.; Govindaraju, R.S. A conceptual model for infiltration in two-layered soils with a more permeable upper layer: From local to field scale. J. Hydrol. 2011, 410, 62–72. [Google Scholar] [CrossRef]
- Corradini, C.; Morbidelli, R.; Flammini, A.; Govindaraju, R.S. A parameterized model for local infiltration in two-layered soils with a more permeable upper layer. J. Hydrol. 2011, 396, 221–232. [Google Scholar] [CrossRef]
- Zhu, J. Effect of Layered Structure on Anisotropy of Unsaturated Soils. Soil Sci. 2012, 177, 139–146. [Google Scholar] [CrossRef]
- Deng, P.; Zhu, J. Analysis of effective Green–Ampt hydraulic parameters for vertically layered soils. J. Hydrol. 2016, 538, 705–712. [Google Scholar] [CrossRef]
- Hsu, S.-Y.; Huang, V.; Woo Park, S.; Hilpert, M. Water infiltration into prewetted porous media: Dynamic capillary pressure and Green-Ampt modeling. Adv. Water Resour. 2017, 106, 60–67. [Google Scholar] [CrossRef]
- Nie, W.-B.; Li, Y.-B.; Fei, L.-J.; Ma, X.-Y. Approximate explicit solution to the green-ampt infiltration model for estimating wetting front depth. Water 2017, 9, 609. [Google Scholar] [CrossRef]
- Neuman, S.P. Saturated-unsaturated seepage by finite elements. J. Hydraul. Div. 1973, 99, 2233–2250. [Google Scholar]
- Pullan, A.J.; Collins, I.F. Two- and three-dimensional steady quasi-linear infiltration from buried and surface cavities using boundary element techniques. Water Resour. Res. 1987, 23, 1633–1644. [Google Scholar] [CrossRef]
- Clement, T.P.; William, R.W.; Fred, J.M. A physically based, two-dimensional, finite-difference algorithm for modeling variably saturated flow. J. Hydrol. 1994, 161, 71–90. [Google Scholar] [CrossRef]
- Romano, N.; Brunone, B.; Santini, A. Numerical analysis of one-dimensional unsaturated flow in layered soils. Adv. Water Res. 1998, 21, 315–324. [Google Scholar] [CrossRef]
- Belfort, B.; Younes, A.; Fahs, M.; Lehmann, F. On equivalent hydraulic conductivity for oscillation–free solutions of Richard’s equation. J. Hydrol. 2013, 505, 202–217. [Google Scholar] [CrossRef]
- Nofziger, D.; Wu, J. Chemflo-2000: Interactive Software for Simulating Water and Chemical Movement in Unsaturated Soils; U.S. Environmental Protection Agency: Washington, DC, USA, 2003.
- Wiltshire, R.; Elkafri, M. Non-classical and potential symmetry analysis of Richard’s equation for moisture flow in soil. J. Phys. A Math. Gen. 2004, 37, 823–839. [Google Scholar] [CrossRef]
- Hagare, D.; Sivakumar, M.; Bunsri, T. Numerical modelling of tracer transport in unsaturated porous media. J. Appl. Fluid Mech. 2008, 1, 62–79. [Google Scholar]
- Weill, S.; Mouche, E.; Patin, J. A generalized Richards equation for surface/subsurface flow modelling. J. Hydrol. 2009, 366, 9–20. [Google Scholar] [CrossRef]
- Kavetski, D.; Binning, P.; Sloan, S.W. Adaptive backward Euler time stepping with truncation error control for numerical modelling of unsaturated fluid flow. Int. J. Numer. Methods Eng. 2002, 53, 1301–1322. [Google Scholar] [CrossRef]
- Herrada, M.A.; Gutiérrez-Martin, A.; Montanero, J.M. Modeling infiltration rates in a saturated/unsaturated soil under the free draining condition. J. Hydrol. 2014, 515, 10–15. [Google Scholar] [CrossRef]
- Ghotbi, A.R.; Omidvar, M.; Barari, A. Infiltration in unsaturated soils—An analytical approach. Comput. Geotech. 2011, 38, 777–782. [Google Scholar] [CrossRef]
- Srivastava, R.; Yeh, T.-C.J. Analytical solutions for one-dimensional, transient infiltration toward the water table in homogeneous and layered soils. Water Resour. Res. 1991, 27, 753–762. [Google Scholar] [CrossRef]
- Hayek, M. An analytical model for steady vertical flux through unsaturated soils with special hydraulic properties. J. Hydrol. 2015, 527, 1153–1160. [Google Scholar] [CrossRef]
- Subbaiah, R. A review of models for predicting soil water dynamics during trickle irrigation. Irrig. Sci. 2011, 31, 225–258. [Google Scholar] [CrossRef]
- Tracy, F.T. Using analytic solution methods on unsaturated seepage flow computations. Procedia Comput. Sci. 2016, 80, 554–564. [Google Scholar] [CrossRef]
- Hayek, M. An exact explicit solution for one-dimensional, transient, nonlinear Richards’ equation for modeling infiltration with special hydraulic functions. J. Hydrol. 2016, 535, 662–670. [Google Scholar] [CrossRef]
- Zlotnik, V.A.; Wang, T.; Nieber, J.L.; Šimunek, J. Verification of numerical solutions of the Richards equation using a traveling wave solution. Adv. Water Resour. 2007, 30, 1973–1980. [Google Scholar] [CrossRef]
- Ku, C.-Y.; Liu, C.-Y.; Xiao, J.-E.; Yeih, W. Transient modeling of flow in unsaturated soils using a novel collocation meshless method. Water 2017, 9, 954. [Google Scholar] [CrossRef]
- Chen, J.-M.; Tan, Y.-C.; Chen, C.-H. Analytical solutions of one-dimensional infiltration before and after ponding. Hydrol. Process. 2003, 17, 815–822. [Google Scholar] [CrossRef]
- Mmolawa, K.; Or, D. Experimental and numerical evaluation of analytical volume balance model for soil water dynamics under a drip irrigation. Soil Sci. Soc. Am. J. 2003, 67, 1657–1671. [Google Scholar] [CrossRef]
- Brooks, R.H.; Corey, A.T. Hydraulic Properties of Porous Media; McGill-Queen’s University Press: Kingston, ON, Canada, 1964; pp. 352–366. [Google Scholar]
- Genuchten, M.T.V. A closed-form equation for predicting the hydraulic conductivity of unsaturated soils. Soil Sci. Soc. Am. J 1980, 44, 892–898. [Google Scholar] [CrossRef]
- Menziani, M.; Pugnaghi, S.; Vincenzi, S. Analytical solutions of the linearized Richards equation for discrete arbitrary initial and boundary conditions. J. Hydrol. 2007, 332, 214–225. [Google Scholar] [CrossRef]
- Abramowitr, M.; Stegun, I.A.; Abramowitr, M.; Stegun, I.A. Handbook of Mathematical Functions; Dover Publications, Inc.: New York, NY, USA, 1965; pp. 136–144. [Google Scholar]
- Furman, A. Modeling coupled surface–subsurface flow processes: A review. Vadose Zone J. 2008, 7, 741. [Google Scholar] [CrossRef]
- Essig, E.T.; Corradini, C.; Morbidelli, R.; Govindaraju, R.S. Infiltration and deep flow over sloping surfaces: Comparison of numerical and experimental results. J. Hydrol. 2009, 374, 30–42. [Google Scholar] [CrossRef]
- Cao, Q.; Gong, Y. Simulation and analysis of water balance and nitrogen leaching using Hydrus-1D under winter wheat crop. Plant Nutr. Fertil. Sci. 2003, 9, 139–145. [Google Scholar]
- Morbidelli, R.; Corradini, C.; Saltalippi, C.; Rao, S.G. Laboratory experimental investigation of infiltration by the run-on process. J. Hydrol. Eng. 2008, 13, 1187–1192. [Google Scholar] [CrossRef]










| Soil-No. | Soil Type | Reference | |||||
|---|---|---|---|---|---|---|---|
| 1 | Sand and silt | 0.32 | 0.472 | 0.041 | 0.2 | −25 | Essig et al. [43] |
| 2 | Silt sandy loam | 1.42 | 0.477 | 0.100 | 1.2 | −45 | Chu [8] |
| 3 | Loamy sand | 2.00 | 0.430 | 0.008 | 0.53 | −22.6 | Nofziger and Wu [22] |
| 4 | Loamy soil | 0.626 | 0.404 | 0.060 | 0.3 | −6.2 | Cao and Gong [44] |
| Solutions | Cumulative Infiltration | Time of Runoff | Duration of Rainfall Intensity Stage |
|---|---|---|---|
| The present solution | 3.74 cm | 0.167 h/1.083 h | 0.933 h |
| Richards numerical solution | 3.51 cm | 0.120 h/1.083 h | 0.963 h |
| Classical Green–Ampt solution | 4.54 cm | 0.174 h/1.083 h | 0.909 h |
© 2018 by the authors. Licensee MDPI, Basel, Switzerland. This article is an open access article distributed under the terms and conditions of the Creative Commons Attribution (CC BY) license (http://creativecommons.org/licenses/by/4.0/).
Share and Cite
Tan, J.; Song, H.; Zhang, H.; Zhu, Q.; Xing, Y.; Zhang, J. Numerical Investigation on Infiltration and Runoff in Unsaturated Soils with Unsteady Rainfall Intensity. Water 2018, 10, 914. https://doi.org/10.3390/w10070914
Tan J, Song H, Zhang H, Zhu Q, Xing Y, Zhang J. Numerical Investigation on Infiltration and Runoff in Unsaturated Soils with Unsteady Rainfall Intensity. Water. 2018; 10(7):914. https://doi.org/10.3390/w10070914
Chicago/Turabian StyleTan, Jinqiang, Hongqing Song, Hailong Zhang, Qinghui Zhu, Yi Xing, and Jie Zhang. 2018. "Numerical Investigation on Infiltration and Runoff in Unsaturated Soils with Unsteady Rainfall Intensity" Water 10, no. 7: 914. https://doi.org/10.3390/w10070914
APA StyleTan, J., Song, H., Zhang, H., Zhu, Q., Xing, Y., & Zhang, J. (2018). Numerical Investigation on Infiltration and Runoff in Unsaturated Soils with Unsteady Rainfall Intensity. Water, 10(7), 914. https://doi.org/10.3390/w10070914
