Response of Sediment Load to Hydrological Change in the Upstream Part of the Lancang-Mekong River over the Past 50 Years
Abstract
1. Introduction
2. Study Area and Dataset
2.1. Study Area
2.2. Dataset
3. Methodology
3.1. Load estimation
3.2. The Linear Regression Analysis
3.3. Random Forest
4. Results and Discussion
4.1. Rating Curve Development
4.2. Trends in Annual Precipitation, Runoff, MWL, PF, LF, and Sediment Load
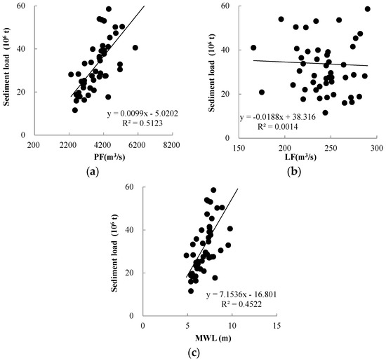
4.3. Relationships of Sediment Load between Runoff, MWL, PF, and LF
4.4. Quantitative Importance of Annual Precipitation, Runoff, FP, LF, and MWL to the Sediment Load Change
5. Conclusions
- (1)
- During the period 1957–2006, PF, LF, and MWL had no significant change; both runoff and sediment load showed an upward trend at the 95% confidence level in the upstream part of the Lancang-Mekong River.
- (2)
- Runoff, PF, and MWL had positive correlation coefficients with sediment load. Sediment load had stronger correlation with runoff than with other hydrological elements, especially after 1980, at the 99% confidence level.
- (3)
- Runoff had the largest VI to the sediment load change, followed by PF, MWL, and LF in the upstream part of the Lancang-Mekong River over the past 50 years. The largest variable importance of runoff demonstrated the better correlation of runoff with sediment load compared to other hydrological elements.
Author Contributions
Funding
Conflicts of Interest
References
- Snoussi, M.; Haida, S.; Imassi, S. Effects of the construction of dams on the water and sediment fluxes of the Moulouya and the Sebou Rivers, Morocco. Reg. Environ. Chang. 2002, 3, 5–12. [Google Scholar] [CrossRef]
- Svendsen, K.M.; Renshaw, C.E.; Magilligan, F.J.; Nislow, K.H.; Kaste, J.M. Flow and sediment regimes at tributary junctions on a regulated river: Impact on sediment residence time and benthic macroinvertebrate communities. Hydrol. Process. 2009, 23, 284–296. [Google Scholar] [CrossRef]
- Andermann, C.; Crave, A.; Gloaguen, R.; Davy, P.; Bonnet, S. Connecting source and transport: Suspended sediments in the Nepal Himalayas. Earth Planet. Sci. Lett. 2012, 351–352, 158–170. [Google Scholar] [CrossRef]
- Fox, G.A.; Sheshukov, A.; Cruse, R.; Kolar, R.L.; Guertault, L.; Gesch, K.L.; Dutnell, R.C. Reservoir Sedimentation and Upstream Sediment Sources: Perspectives and Future Research Needs on Streambank and Gully Erosion. Environ. Manag. 2016, 57, 945–955. [Google Scholar] [CrossRef] [PubMed]
- Kondolf, G.M.; Rubin, Z.K.; Minear, J.T. Dams on the Mekong: Cumulative sediment starvation. Water Resour. Res. 2014, 50, 5158–5169. [Google Scholar] [CrossRef]
- Singh, V.B.; Ramanathan, A.L.; Pottakkal, J.G. Glacial runoff and transport of suspended sediment from the Chhota Shigri glacier, Western Himalaya, India. Environ. Earth Sci. 2016, 75, 695. [Google Scholar] [CrossRef]
- Girmay, G.; Singh, B.R.; Nyssen, J.; Borrosen, T. Runoff and sediment-associated nutrient losses under different land uses in Tigray, Northern Ethiopia. J. Hydrol. 2009, 376, 70–80. [Google Scholar] [CrossRef]
- Restrepo, J.D.; Kjerfve, B.; Hermelin, M.; Restrepo, J.C. Factors controlling sediment yield in a major South American drainage basin: The Magdalena River, Colombia. J. Hydrol. 2006, 316, 213–232. [Google Scholar] [CrossRef]
- Nadal-Romero, E.; Cortesi, N.; González-Hidalgo, J.C. Weather types, runoff and sediment yield in a Mediterranean mountain landscape. Earth Surf. Process. Landf. 2014, 39, 427–437. [Google Scholar] [CrossRef]
- Rodríguez-Blanco, M.L.; Arias, R.; Taboada-Castro, M.M.; Nunes, J.P.; Keizer, J.J.; Taboada-Castro, M.T. Potential Impact of Climate Change on Suspended Sediment Yield in NW Spain: A Case Study on the Corbeira Catchment. Water 2016, 8, 223. [Google Scholar] [CrossRef]
- Tuset, J.; Vericat, D.; Batalla, R.J. Rainfall, runoff and sediment transport in a Mediterranean mountainous catchment. Sci. Total Environ. 2016, 540, 114–132. [Google Scholar] [CrossRef] [PubMed]
- Adams, R.; Western, A.W.; Seed, A.W. An analysis of the impact of spatial variability in rainfall on runoff and sediment predictions from a distributed model. Hydrol. Process. 2012, 26, 3263–3280. [Google Scholar] [CrossRef]
- Johnson, T.E.; Butcher, J.B.; Parker, A.; Weaver, C.P. Investigating the Sensitivity of U.S. Streamflow and Water Quality to Climate Change: U.S. EPA Global Change Research Program’s 20 Watersheds Project. J. Water Resour. Plan. Manag. 2012, 138, 453–464. [Google Scholar] [CrossRef]
- Dugan, H.A.; Lamoureux, S.F.; Lafreniere, M.J.; Lewis, T. Hydrological and sediment yield response to summer rainfall in a small high Arctic watershed. Hydrol. Process. 2009, 23, 1514–1526. [Google Scholar] [CrossRef]
- Wei, Y.H.; Jiao, J.J.; Zhao, G.J.; Zhao, H.K.; He, Z.; Mu, X.M. Spatial–temporal variation and periodic change in streamflow and suspended sediment discharge along the mainstream of the Yellow River during 1950–2013. Catena 2016, 140, 105–155. [Google Scholar] [CrossRef]
- Jiang, C.; Zhang, L.B.; Li, D.Q.; Li, F. Water Discharge and Sediment Load Changes in China: Change Patterns, Causes, and Implications. Water 2015, 7, 5849–5875. [Google Scholar] [CrossRef]
- Kidron, G.J. Runoff generation and sediment yield on homogeneous dune slopes: Scale effect and implications for analysis. Earth Surf. Process. Landf. 2011, 36, 1809–1824. [Google Scholar] [CrossRef]
- Deasy, C.; Baxendale, S.A.; Heathwaite, A.L.; Ridall, G.; Hodgkinson, R.; Brazier, R.E. Advancing understanding of runoff and sediment transfers in agricultural catchments through simultaneous observations across scales. Earth Surf. Process. Landf. 2011, 36, 1749–1760. [Google Scholar] [CrossRef]
- Van Dijk, A.I.J.M.; Bruijnzeel, L.A.; Vertessy, R.A.; Ruijter, J. Runoff and sediment generation on bench-terraced hillsides: Measurements and up-scaling of a field-based model. Hydrol. Process. 2005, 19, 1667–1685. [Google Scholar] [CrossRef]
- Rosen, T.; Xu, Y.J. A Hydrograph-Based Sediment Availability Assessment: Implications for Mississippi River Sediment Diversion. Water 2014, 6, 564–583. [Google Scholar] [CrossRef]
- Yu, L.; Pan, F.; Liu, X.Y.; Chen, W.H.; He, D.M. Variations and trends of trans-boundary runoff in the longitudinal range-gorge region. J. Mt. Sci. 2017, 14, 316–324. [Google Scholar] [CrossRef]
- Zhai, H.J.; Luo, X.Y.; Qiu, L.; Tang, W.J.; Jiang, M. Spatial and temporal changes in runoff and sediment loads of the Lancang River over the last 50 years. Agric. Water Manag. 2016, 174, 74–84. [Google Scholar] [CrossRef]
- Lu, X.X.; Siew, R.Y. Water discharge and sediment flux changes over the past decades in the Lower Mekong River: Possible impacts of the Chinese dams. Hydrol. Earth Syst. Sci. 2006, 10, 181–195. [Google Scholar] [CrossRef]
- Fu, K.D.; He, D.M.; Li, S.J. Response of downstream sediment to water resource development in mainstream of the Lancang River. Chin. Sci. Bull. 2006, 51, 119–126. [Google Scholar]
- Liu, C.; He, Y.; Des Walling, E. Changes in the sediment load of the Lancang-Mekong River over the period 1965–2003. Sci. China Technol. Sci. 2013, 56, 843–852. [Google Scholar] [CrossRef]
- Liu, X.Y.; He, D.M. A new assessment method for comprehensive impact of hydropower development on runoff and sediment changes. J. Geogr. Sci. 2012, 22, 1034–1044. [Google Scholar] [CrossRef]
- Liu, Q.; Liu, S.L.; Zhao, H.D.; Deng, L.; Wang, C.; Zhao, Q.H.; Dong, C.K. The phosphorus speciation in the sediments up- and down-stream of cascade dams along the middle Lancang River. Agric. Water Manag. 2015, 120, 653–659. [Google Scholar] [CrossRef] [PubMed]
- Fan, H.; He, D.M. Temperature and Precipitation Variability and Its Effects on Streamflow in the Upstream Regions of the Lancang-Mekong and Nu-Salween Rivers. J. Hydrol. 2015, 16, 2248–2263. [Google Scholar] [CrossRef]
- Li, S.J.; He, D.M.; Fu, K.D. The correlations of multi-timescale characteristics of water level processes in Lancang-Mekong River. Chin. Sci. Bull. 2006, 51, 50–58. [Google Scholar]
- Tang, J.; Yin, X.A.; Yang, P.; Yang, Z.F. Climate-induced flow regime alterations and their implications for the Lancang River, China. River Res. Appl. 2015, 31, 422–432. [Google Scholar] [CrossRef]
- Horowitz, A.J. Determining annual suspended sediment and sediment associated trace element and nutrient fluxes. Sci. Total Environ. 2015, 400, 315–343. [Google Scholar] [CrossRef] [PubMed]
- Harrington, S.T.; Harrington, J.R. An assessment of the suspended sediment rating curve approach for load estimation on the Rivers Bandon and Owenabue, Ireland. Geomorphology 2013, 185, 27–38. [Google Scholar] [CrossRef]
- Ferguson, R.I. Accuracy and precision of methods for estimating river loads. Earth Surf. Process. Landf. 1987, 12, 95–104. [Google Scholar] [CrossRef]
- Yan, X.; Su, X. Linear Regression Analysis: Theory and Computing; World Scientific: Singapore, 2009. [Google Scholar]
- Freedman, D.A. Statistical Models: Theory and Practice; Cambridge University Press: Cambridge, UK, 2009; p. 458. [Google Scholar]
- Draper, N.R.; Smith, H. Applied Regression Analysis; Wiley Series in Probability and Statistics; Wiley: New York, NY, USA, 1998. [Google Scholar]
- Breiman, L. Random forests. Mach. Learn. 2001, 45, 5–32. [Google Scholar] [CrossRef]
- Goldstein, B.A.; Polley, E.C.; Briggs, F.B. Random Forests for Genetic Association Studies. Stat. Appl. Genet. Mol. Biol. 2011, 10, 1–34. [Google Scholar] [CrossRef] [PubMed]
- Ho, T.K. The random subspace method for constructing decision forests. IEEE Trans. Pattern Anal. Mach. Intel. 1998, 20, 832–844. [Google Scholar]
- Genuer, R.; Poggi, J.M.; Tuleau-Malot, C. Variable selection using random forests. Pattern Recognit. Lett. 2010, 31, 2225–2236. [Google Scholar] [CrossRef]
- Liu, C.; Sui, J.J.; He, Y.; Hirshfield, F. Changes in runoff and sediment load from major Chinese rivers to the Pacific Ocean over the period 1955–2010. Int. J. Sediment Res. 2013, 28, 486–495. [Google Scholar] [CrossRef]
- Liu, Z.; Cheng, L.; Hao, Z.; Thorstensen, A.; Rajagopalan, B.; Gao, H. A conditional framework for Assessing Contributions of Underlying Factors to Compound Events. Water Resour. Res. 2018, 54, 2681–2696. [Google Scholar] [CrossRef]
- Zhang, Q. Synthesis of nutrient and sediment export patterns in the Chesapeake Bay watershed: Complex and non-stationary concentration-discharge relationships. Sci. Total Environ. 2018, 618, 1268–1283. [Google Scholar] [CrossRef] [PubMed]
- Wang, S.; Fu, B.J.; Piao, S.L.; Lü, Y.H.; Ciais, P.; Ciais, P.; Feng, X.M.; Wang, Y.F. Reduced sediment transport in the Yellow River due to anthropogenic changes. Nat. Geosci. 2016, 9, 38–41. [Google Scholar] [CrossRef]
- Ibàñez, C.; Prat, N.; Canicio, A. Changes in the hydrology and sediment transport produced by large dams on the lower Ebro river and its estuary. River Res. Appl. 2015, 12, 51–62. [Google Scholar] [CrossRef]
- Kavan, J.; Ondruch, J.; Nývlt, D.; Hrbáček, F.; Carrivick, J.L.; Láska, M. Seasonal hydrological and suspended sediment transport dynamics in proglacial streams, James Ross Island, Antarctica. Geogr. Ann. Ser. A Phys. Geogr. 2017, 99, 38–55. [Google Scholar] [CrossRef]
- Stern, M.; Flint, L.; Minear, J.; Flint, A.; Wright, S. Characterizing Changes in Streamflow and Sediment Supply in the Sacramento River Basin, California, Using Hydrological Simulation Program—FORTRAN (HSPF). Water 2016, 8, 432. [Google Scholar] [CrossRef]
- Chen, Y.N.; Chen, N.W.; Li, Y.; Hong, H.S. Multi-timescale sediment responses across a human impacted river-estuary system. J. Hydrol. 2018, 560, 160–172. [Google Scholar] [CrossRef]
- Guo, A.J.; Chang, J.X.; Wang, Y.M.; Huang, Q. Variations in the Runoff-Sediment Relationship of the Weihe River Basin Based on the Copula Function. Water 2016, 8, 223. [Google Scholar] [CrossRef]








| α | β | CF | R2 | p-Value |
|---|---|---|---|---|
| 0.036 | 1.456 | 1.052 | 0.34 | <0.005 |
| Precipitation | Runoff | PF | LF | MWL | Sediment Load |
|---|---|---|---|---|---|
| 0.08 | 0.32 * | 0.07 | −0.21 | 0.08 | 0.42 * |
| Period | Runoff | PF | LF | MWL | |
|---|---|---|---|---|---|
| 1957–2006 | 1957–1979 | 0.91 * | 0.716 * | −0.04 | 0.67 * |
| 1957–2006 | 0.94 * | ||||
| Variable | IncMSE (%) | Ranking |
|---|---|---|
| Precipitation | 1.87 | 4 |
| PF | 7.54 | 2 |
| LF | 1.26 | 5 |
| Runoff | 8.62 | 1 |
| MWL | 6.99 | 3 |
© 2018 by the authors. Licensee MDPI, Basel, Switzerland. This article is an open access article distributed under the terms and conditions of the Creative Commons Attribution (CC BY) license (http://creativecommons.org/licenses/by/4.0/).
Share and Cite
He, Y.; Gui, Z.; Su, C.; Chen, X.; Chen, D.; Lin, K.; Bai, X. Response of Sediment Load to Hydrological Change in the Upstream Part of the Lancang-Mekong River over the Past 50 Years. Water 2018, 10, 888. https://doi.org/10.3390/w10070888
He Y, Gui Z, Su C, Chen X, Chen D, Lin K, Bai X. Response of Sediment Load to Hydrological Change in the Upstream Part of the Lancang-Mekong River over the Past 50 Years. Water. 2018; 10(7):888. https://doi.org/10.3390/w10070888
Chicago/Turabian StyleHe, Yanhu, Zihan Gui, Chengjia Su, Xiaohong Chen, Dongwei Chen, Kairong Lin, and Xiaoyan Bai. 2018. "Response of Sediment Load to Hydrological Change in the Upstream Part of the Lancang-Mekong River over the Past 50 Years" Water 10, no. 7: 888. https://doi.org/10.3390/w10070888
APA StyleHe, Y., Gui, Z., Su, C., Chen, X., Chen, D., Lin, K., & Bai, X. (2018). Response of Sediment Load to Hydrological Change in the Upstream Part of the Lancang-Mekong River over the Past 50 Years. Water, 10(7), 888. https://doi.org/10.3390/w10070888

