Role of Low-Impact Development in Generation and Control of Urban Diffuse Pollution in a Pilot Sponge City: A Paired-Catchment Study
Abstract
1. Introduction
2. Materials and Methods
2.1. Study Site Description
2.2. Field Observation of Urban Sediment Accumulation and Transport
2.3. Analytical Methods
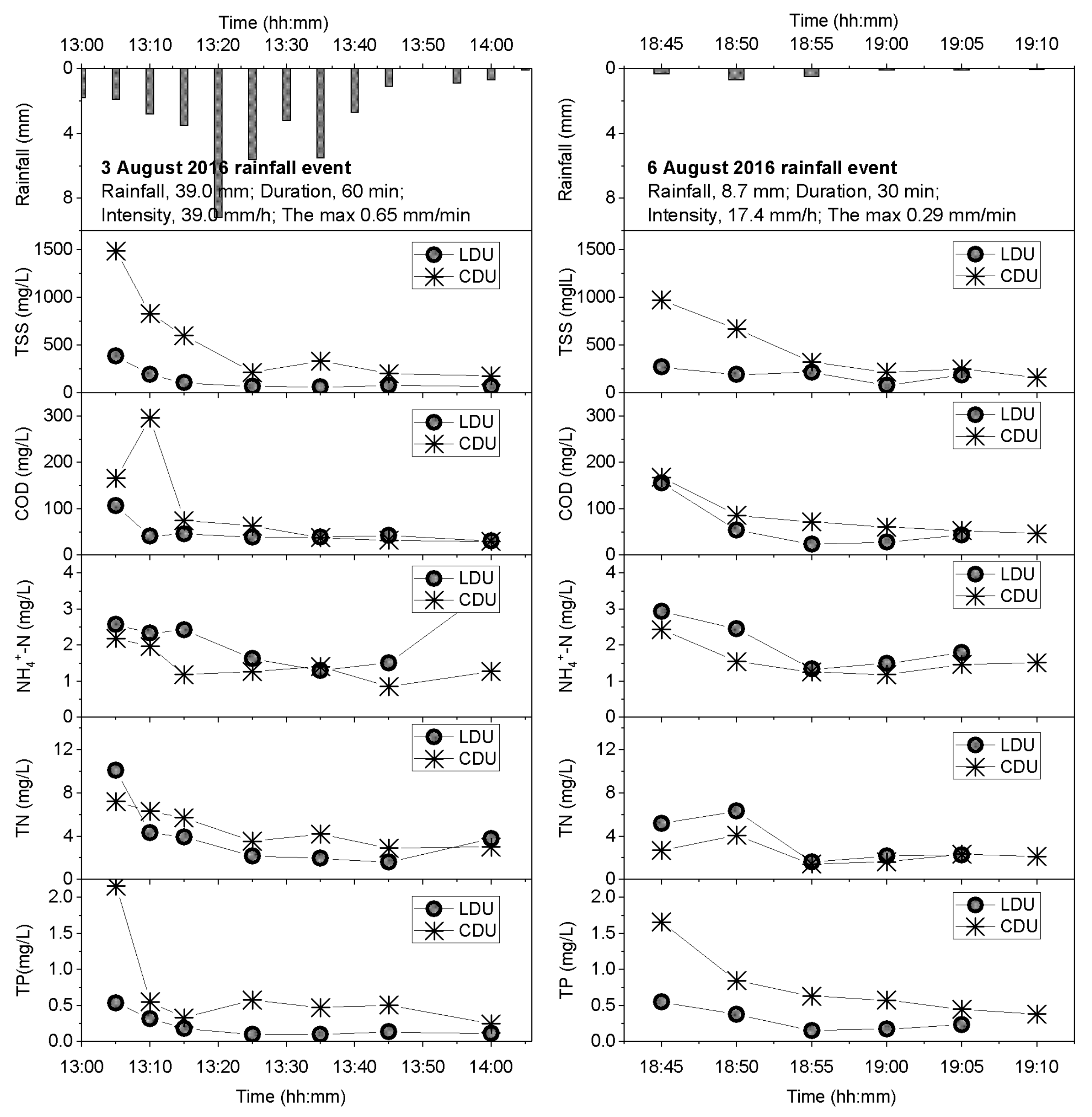
3. Results
3.1. Effects of LID Practices on Urban Sediments Build-Up Process
3.2. Effects of LID on Variations in Urban Sediment Amount before and After Rainfall Events
3.3. Effects of LID on Changes in the Concentration of Pollutants During the Rainfall-Runoff Process
3.4. Effects of LID on the Reduction in Runoff Volume, Pollutant Concentrations, and Load at the Drainage Units Scale
4. Discussions
4.1. The Role of LID Practices During the Entire Process of Urban Sediment Accumulation and Release at a Micro Urban Catchment Scale
4.2. Effect of LID Practices on Hydrologic Responses and Water Quality in a Micro Urban Catchment
5. Conclusions
- (1)
- LID practices have an important influence on urban sediment dynamic build-up processes and amounts per unit reaching its equilibrium via reductions in source area, changing microtopography, and formation of more sink areas.
- (2)
- LID practices have an important influence on urban sediment wash-off and transport processes via disconnection of impervious surface areas followed by reductions in the kinetic energy of wash-off and transport.
- (3)
- LID practices have notable hydrologic responses and water quality responses at the micro urban catchment level by reducing the first flush load and entire process discharge load.
Author Contributions
Funding
Conflicts of Interest
References
- Zhao, H.T.; Zhao, J.; Yin, C.Q.; Li, X.Y. Index models to evaluate the potential metal pollution contribution from washoff of road-deposited sediment. Water Res. 2014, 59, 71–79. [Google Scholar] [CrossRef] [PubMed]
- Li, Y.X.; Song, N.N.; Yu, Y.; Yang, Z.F.; Shen, Z.Y. Characteristics of PAHs in street dust of Beijing and the annual wash-off load using an improved load calculation method. Sci. Total Environ. 2017, 581, 328–336. [Google Scholar] [CrossRef] [PubMed]
- Zhao, J.Q.; Chen, Y.; Hu, B.; Yang, W.J. Mathematical Model for Sediment Wash-Off from Urban Impervious Surfaces. J. Environ. Eng. 2016, 142, 8. [Google Scholar] [CrossRef]
- Kayhanian, M.; Fruchtman, B.D.; Gulliver, J.S.; Montanaro, C.; Ranieri, E.; Wuertz, S. Review of highway runoff characteristics: Comparative analysis and universal implications. Water Res. 2012, 46, 6609–6624. [Google Scholar] [CrossRef] [PubMed]
- Egodawatta, P.; Thomas, E.; Goonetilleke, A. Understanding the physical processes of pollutant build-up and wash-off on roof surfaces. Sci. Total Environ. 2009, 407, 1834–1841. [Google Scholar] [CrossRef] [PubMed]
- Al Ali, S.; Bonhomme, C.; Dubois, P.; Chebbo, G. Investigation of the wash-off process using an innovative portable rainfall simulator allowing continuous monitoring of flow and turbidity at the urban surface outlet. Sci. Total Environ. 2017, 609, 17–26. [Google Scholar] [CrossRef] [PubMed]
- United States Environmental Protection Agency (USEPA). National Water Quality Inventory; 2000 Report, EPA-841-R-02-001; Office of Water: Washington, DC, USA, 2002. [Google Scholar]
- Hong, Y.; Bonhomme, C.; Le, M.H.; Chebbo, G. A new approach of monitoring and physically-based modelling to investigate urban wash-off process on a road catchment near Paris. Water Res. 2016, 102, 96–108. [Google Scholar] [CrossRef] [PubMed]
- Bai, B.; Li, J. Sediment Wash-Off from an Impervious Urban Land Surface. J. Hydrol. Eng. 2013, 18, 488–498. [Google Scholar] [CrossRef]
- Wicke, D.; Cochrane, T.A.; O'Sullivan, A. Build-up dynamics of heavy metals deposited on impermeable urban surfaces. J. Environ. Manag. 2012, 113, 347–354. [Google Scholar] [CrossRef] [PubMed]
- Vaze, J.; Chiew, F.H.S. Nutrient loads associated with different sediment sizes in urban stormwater and surface pollutants. J. Environ. Eng. 2004, 130, 391–396. [Google Scholar] [CrossRef]
- Lau, S.L.; Stenstrom, M.K. Metals and PAHs adsorbed to street particles. Water Res. 2005, 39, 4083–4092. [Google Scholar] [CrossRef] [PubMed]
- De Miguel, E.; Llamas, J.F.; Chacon, E.; Mazadiego, L.F. Sources and pathways of trace elements in urban environments: A multi-elemental qualitative approach. Sci. Total Environ. 1999, 235, 355–357. [Google Scholar] [CrossRef]
- Zhao, H.T.; Chen, X.F.; Hao, S.N.; Jiang, Y.; Zhao, J.; Zou, C.L.; Xie, W.X. Is the wash-off process of road-deposited sediment source limited or transport limited? Sci. Total Environ. 2016, 563, 62–70. [Google Scholar] [CrossRef] [PubMed]
- Sansalone, J.J.; Kim, J.Y. Transport of particulate matter fractions in urban source area pavement surface runoff. J. Environ. Qual. 2008, 37, 1883–1893. [Google Scholar] [CrossRef] [PubMed]
- Jartun, M.; Ottesen, R.T.; Steinnes, E.; Volden, T. Runoff of particle bound pollutants from urban impervious surfaces studied by analysis of sediments from stormwater traps. Sci. Total Environ. 2008, 396, 147–163. [Google Scholar] [CrossRef] [PubMed]
- Sutherland, R.A.; Tack, F. M.G.; Ziegler, A.D. Road-deposited sediments in an urban environment: A first look at sequentially extracted element loads in grain size fractions. J. Hazard. Mater. 2012, 225, 54–62. [Google Scholar] [CrossRef] [PubMed]
- Petrucci, G.; Rioust, E.; Deroubaix, J.F.; Tassin, B. Do stormwater source control policies deliver the right hydrologic outcomes? J. Hydrol. 2013, 485, 188–200. [Google Scholar] [CrossRef]
- Martin-Mikle, C.J.; de Beurs, K.M.; Julian, J.P.; Mayer, P.M. Identifying priority sites for low impact development (LID) in a mixed-use watershed. Landsc. Urban Plan. 2015, 140, 29–41. [Google Scholar] [CrossRef]
- Li, L.Q.; Davis, A.P. Urban Stormwater Runoff Nitrogen Composition and Fate in Bioretention Systems. Environ. Sci. Technol. 2014, 48, 3403–3410. [Google Scholar] [CrossRef] [PubMed]
- Elliott, A.H.; Trowsdale, S.A. A review of models for low impact urban stormwater drainage. Environ. Model. Softw. 2007, 22, 394–405. [Google Scholar] [CrossRef]
- Eckart, K.; McPhee, Z.; Bolisetti, T. Performance and implementation of low impact development—A review. Sci. Total Environ. 2017, 607, 413–432. [Google Scholar] [CrossRef] [PubMed]
- Shafique, M.; Kim, R. Low Impact Development Practices: A Review of Current Research and Recommendations for Future Directions. Ecol. Chem. Eng. S 2015, 22, 543. [Google Scholar] [CrossRef]
- Dietz, M.E. Low impact development practices: A review of current research and recommendations for future directions. Water Air Soil Pollut. 2007, 186, 351–363. [Google Scholar] [CrossRef]
- Palla, A.; Gnecco, I. Hydrologic modeling of Low Impact Development systems at the urban catchment scale. J. Hydrol. 2015, 528, 361–368. [Google Scholar] [CrossRef]
- Coffman, L.S. Low-impact development: An alternative stormwater management technology. In Handbook of Water Sensitive Planning and Design; France, R.L., Ed.; Lewis: Washington, DC, USA, 2002; pp. 97–124. [Google Scholar]
- Fletcher, T.D.; Shuster, W.; Hunt, W.F.; Ashley, R.; Butler, D.; Arthur, S.; Trowadale, S.; Barraud, S.; Semadeni-Davies, A.; Bertrand-Krajewski, J.-L.; et al. SUDS, LID, BMPs, WSUD and more—The evolution and application of terminology surrounding urban drainage. Urban Water J. 2014, 12, 525–542. [Google Scholar] [CrossRef]
- Baek, S.S.; Choi, D.H.; Jung, J.W.; Lee, H.J.; Lee, H.; Yoon, K.S.; Cho, K.H. Optimizing low impact development (LID) for stormwater runoff treatment in urban area, Korea: Experimental and modeling approach. Water Res. 2015, 86, 122–131. [Google Scholar] [CrossRef] [PubMed]
- Gilroy, K.L.; Mccuen, R.H. Spatio-temporal effects of low impact development practices. J. Hydrol. 2009, 367, 228–236. [Google Scholar] [CrossRef]
- Bedan, E.S.; Clausen, J.C. Stormwater Runoff Quality and Quantity From Traditional and Low Impact Development Watersheds. J. Am. Water Resour. Assoc. 2009, 45, 998–1008. [Google Scholar] [CrossRef]
- Lloyd, S.D.; Wong, T.H.F.; Chesterfield, C.J. Water Sensitive Urban Design: A Stormwater Management Perspective; CRC for Catchment Hydrology: CanPrint, Australia, 2002. [Google Scholar]
- Sparkman, S.A.; Hogan, D.M.; Hopkins, K.G.; Loperfido, J.V. Modeling Watershed-Scale Impacts of Stormwater Management with Traditional versus Low Impact Development Design. J. Am. Water Resour. Assoc. 2017, 53, 1081–1094. [Google Scholar] [CrossRef]
- Jackisch, N.; Weiler, M. The hydrologic outcome of a Low Impact Development (LID) site including superposition with streamflow peaks. Urban Water J. 2017, 14, 143–159. [Google Scholar] [CrossRef]
- Ahiablame, L.M.; Engel, B.A.; Chaubey, I. Effectiveness of Low Impact Development Practices: Literature Review and Suggestions for Future Research. Water Air Soil Pollut. 2012, 223, 4253–4273. [Google Scholar] [CrossRef]
- Zhang, S.; Meng, Y.; Pan, J.; Chen, J. Pollutant reduction effectiveness of low-impact development drainage system in a campus. Front. Environ. Sci. Eng. 2017, 11, 14. [Google Scholar] [CrossRef]
- Liu, H.; Jia, Y.; Niu, C. “Sponge city” concept helps solve China’s urban water problems. Environ. Earth Sci. 2017, 76, 473. [Google Scholar] [CrossRef]
- Jia, H.; Wang, Z.; Zhen, X.; Clar, M.; Yu, S.L. China’s Sponge City construction: A discussion on technical approaches. Front. Environ. Sci. Eng. 2017, 11, 39–49. [Google Scholar] [CrossRef]
- Xia, J.; Zhang, Y.Y.; Xiong, L.H.; Shan, H.E.; Wang, L.F.; Zhongbo, Y.U. Opportunities and challenges of the Sponge City construction related to urban water issues in China. Sci. China Earth Sci. 2017, 60, 652–658. [Google Scholar] [CrossRef]
- Ma, Y.K.; Gong, M.L.; Zhao, H.T.; Li, X.Y. Influence of low impact development construction on pollutant process of road-deposited sediments and associated heavy metals. Sci. Total Environ. 2018, 613, 1130–1139. [Google Scholar] [CrossRef] [PubMed]
- American Public Health Association (APHA). Standard Methods for the Examination of Water and Wastewater; APHA: Washington, DC, USA, 1999. [Google Scholar]
- Davis, A.P. Field performance of bioretention: Water quality. Environ. Eng. Sci. 2007, 24, 1048–1064. [Google Scholar] [CrossRef]
- Zafra, C.; Temprano, J.; Tejero, I.A. The physical factors affecting heavy metals accumulated in the sediment deposited on road surfaces in dry weather: A review. Urban Water J. 2016, 14, 639–649. [Google Scholar] [CrossRef]
- Zhao, H.; Jiang, Q.; Xie, W.; Li, X.; Yin, C. Role of urban surface roughness in road-deposited sediment build-up and wash-off. J. Hydrol. 2018, 560, 75–85. [Google Scholar] [CrossRef]
- Sansalone, J.J.; Koran, J.M.; Smithson, J.A.; Buchberger, S.G. Physical Characteristics of Urban Roadway Solids Transported during Rain Events. J. Environ.Eng. 1998, 124, 427–440. [Google Scholar] [CrossRef]
- Shaw, S.B.; Parlange, J.Y.; Lebowitz, M.; Walter, M.T. Accounting for surface roughness in a physically-based urban wash-off model. J. Hydrol. 2009, 367, 79–85. [Google Scholar] [CrossRef]
- Pitt, R.; Williamson, D.; Voorhees, J. Review of historical street dust and dirt accumulation and washoff data. In Effective Modeling of UrbanWater Systems. Monograph 13; James, W., Irvine, K.N., McBean, E.A., Pitt, R.E., Eds.; National Academies Press: Washington, DC, USA, 2005; pp. 203–246. [Google Scholar]
- Yao, L.; Chen, L.; Wei, W. Assessing the effectiveness of imperviousness on stormwater runoff in micro urban catchments by model simulation. Hydrol. Process. 2016, 30, 1836–1848. [Google Scholar] [CrossRef]
- Dunne, T.; Leopold, L.B. Water in Environmental Planning; Freeman: Las Vegas, NV, USA, 1978. [Google Scholar]
- Rodriguez, F.; Andrieu, H.; Morena, F. A distributed hydrological model for urbanized areas—Model development and application to case studies. J. Hydrol. 2008, 351, 268–287. [Google Scholar] [CrossRef]
- United States Environmental Protection Agency (USEPA). Low Impact Development (LID): A Literature Review; United States Environmental Protection Agency: Washington, DC, USA, 2000. [Google Scholar]






| CDU | LDU | ||||
|---|---|---|---|---|---|
| Land Use | Area (m2) | Percentage (%) | Land Use | Area (m2) | Percentage (%) |
| Building (concrete tile roof) | 4680 | 39.33 | Building (concrete tile roof) | 7476 | 40.33 |
| Road (common concrete) | 1430 | 12.02 | Road (common asphalt) | 465 | 2.51 |
| Green space | 1750 | 14.71 | Raingarden | 4056 | 21.87 |
| Side pavement (common brick) | 480 | 4.03 | Porous pavement | 4810 | 25.95 |
| Square (common concrete) | 300 | 2.52 | Square (common brick) | 330 | 1.78 |
| Parking lot (common concrete) | 3260 | 27.39 | Porous pavement (plus water storage) | 1400 | 7.55 |
| Total area | 11,900 | 100 | Total area | 18,537 | 100 |
| Date of Rain Event | Rainfall (mm) | Duration (min) | Average Intensity (mm/min) | Maximum Intensity (mm/min) | Antecedent Dry Weather Period (d) |
|---|---|---|---|---|---|
| 13 July 2016 | 18.9 | 25 | 0.756 | 2.13 | 7 |
| 2 August 2016 | 2.8 | 30 | 0.093 | 0.40 | 16 |
| 3 August 2016 | 39.0 | 60 | 0.65 | 1.84 | 1 |
| 6 August 2016 | 8.7 | 30 | 0.29 | 0.80 | 3 |
| LID Facilities | Facilities Area/m2 | Control Catchment/m2 | Equation | Theoretical Storage/m³ | Control Rainfall/mm |
|---|---|---|---|---|---|
| Rain garden a | 4056 | 12,327 | Vr = AfHm + RZMF(SAT-FC) + LMS × p | 843.6 | 68.4 |
| Porous pavement b | 4810 | 4810 | Vp = AfHm × p | 432.9 | 90 |
| Parking lot (plus water storage) c | 1400 | 1400 | Vw = AfHm × p + Vs | 218 | 155.7 |
| Total | 10,266 | 18,537 | 1494.5 | 80.6 |
© 2018 by the authors. Licensee MDPI, Basel, Switzerland. This article is an open access article distributed under the terms and conditions of the Creative Commons Attribution (CC BY) license (http://creativecommons.org/licenses/by/4.0/).
Share and Cite
Zhao, H.; Zou, C.; Zhao, J.; Li, X. Role of Low-Impact Development in Generation and Control of Urban Diffuse Pollution in a Pilot Sponge City: A Paired-Catchment Study. Water 2018, 10, 852. https://doi.org/10.3390/w10070852
Zhao H, Zou C, Zhao J, Li X. Role of Low-Impact Development in Generation and Control of Urban Diffuse Pollution in a Pilot Sponge City: A Paired-Catchment Study. Water. 2018; 10(7):852. https://doi.org/10.3390/w10070852
Chicago/Turabian StyleZhao, Hongtao, Changliang Zou, Jiang Zhao, and Xuyong Li. 2018. "Role of Low-Impact Development in Generation and Control of Urban Diffuse Pollution in a Pilot Sponge City: A Paired-Catchment Study" Water 10, no. 7: 852. https://doi.org/10.3390/w10070852
APA StyleZhao, H., Zou, C., Zhao, J., & Li, X. (2018). Role of Low-Impact Development in Generation and Control of Urban Diffuse Pollution in a Pilot Sponge City: A Paired-Catchment Study. Water, 10(7), 852. https://doi.org/10.3390/w10070852

