End Use Level Water and Energy Interactions: A Large Non-Residential Building Case Study
Abstract
1. Introduction
State of the Art
- Characterisation of hot water use and total water use in a large case-study building before and after implementation of water conservation measures
- Characterisation of energy use and CO2 emissions associated with water heating and pumping
- Estimation of energy losses associated with water heating and pumping using comprehensive models
- Benchmarking of energy and CO2 emissions
- Potential of a solar energy harvesting system as an energy source for water heating
2. Materials and Methods
2.1. Case Study
2.1.1. Building Pumping System
2.1.2. Building Hot Water System (HWS)
2.1.3. Data Measurement and Collection
2.2. Energy Consumption
2.2.1. Energy Consumption for Water Heating
2.2.2. Energy Consumption for Water Pumping
2.3. Solar Energy Potential for Water Heating
- (1)
- First year monthly demand profile using an area of 1300 m2
- (2)
- First year monthly demand profile using an area of 650 m2
- (3)
- Second year monthly demand profile using an area of 1300 m2
- (4)
- Second year monthly demand profile using an area of 650 m2
- (5)
- First year monthly demand profile without effective area as input
- (6)
- Second year monthly demand profile without effective area as input
2.4. Carbon Emissions
3. Results and Discussion
3.1. Daily Hot Water Use
3.2. Impact of Water Conservation Measures
3.3. Water Heating Energy Use
3.4. Pumping Energy
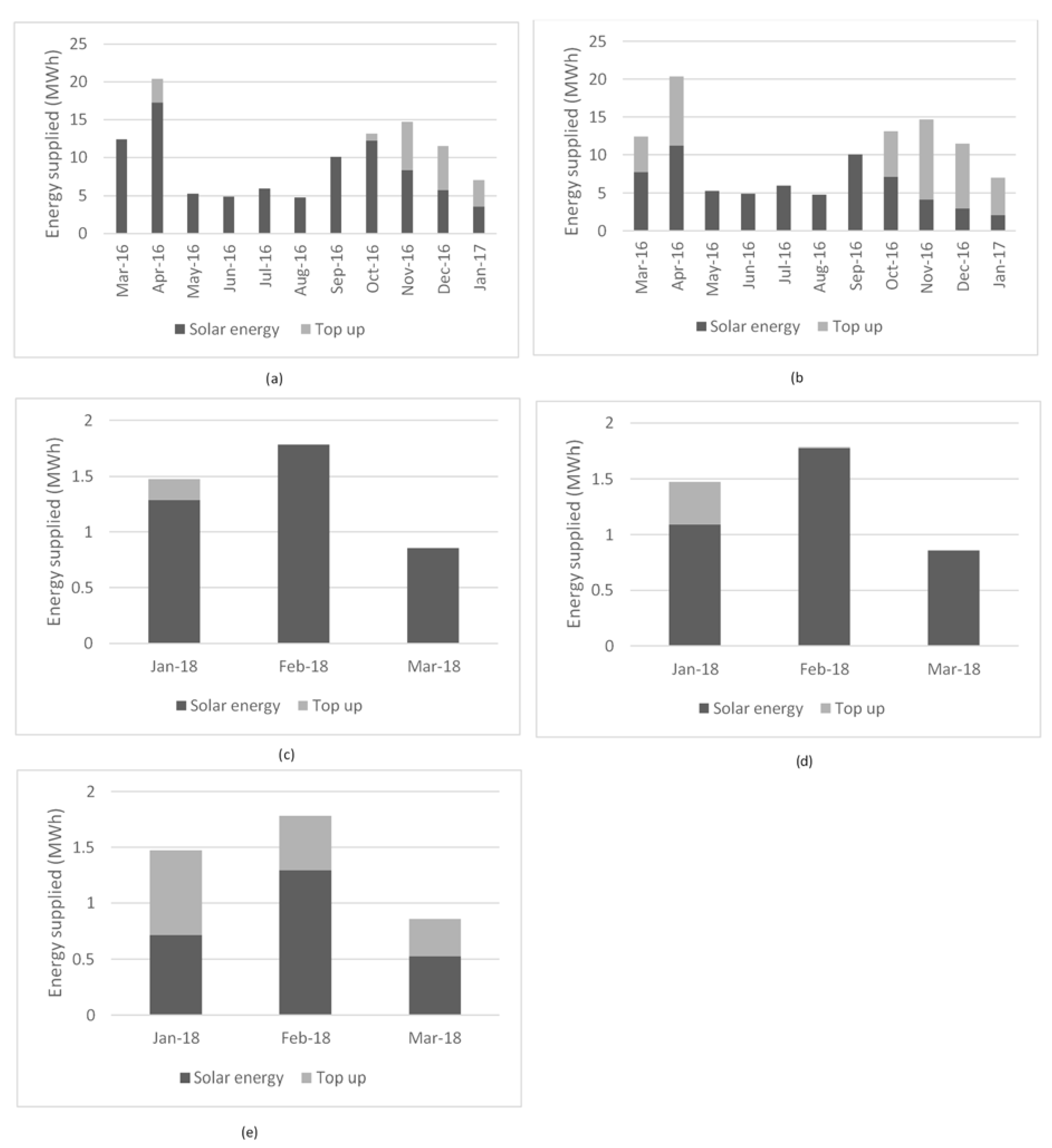
3.5. Solar Contribution for Water Heating
3.6. CO2 Emissions
4. Conclusions
Author Contributions
Funding
Acknowledgments
Conflicts of Interest
References
- Energy Efficiency of Buildings, European Commission. Available online: https://ec.europa.eu/energy/en/topics/energy-efficiency/buildings (accessed on 1 May 2018).
- Department of Housing, Planning, Community and Local Government. Building Regulations 2011: Part L—Conservation of Fuel and Energy—Dwellings; Stationary Office: Dublin, Ireland, 2011; ISBN 978-1-4064-2594-9.
- Department of Environment, Community and Local Government. Towards Nearly Zero Energy Buildings in Ireland. Planning for 2020 and Beyond; 2012. Available online: http://www.housing.gov.ie/sites/default/files/migrated-files/en/Publications/DevelopmentandHousing/BuildingStandards/FileDownLoad%2C42487%2Cen.pdf (accessed on 11 June 2018).
- Heating and Cooling. European Commission. Available online: https://ec.europa.eu/energy/en/topics/energy-efficiency/heating-and-cooling (accessed on 1 May 2018).
- BIO Intelligence Service. Water Performance of Buildings. Final Report Prepared for European Commission, DG Environment. 2012. Available online: http://ec.europa.eu/environment/water/quantity/pdf/BIO_WaterPerformanceBuildings.pdf (accessed on 1 May 2018).
- Nair, S.; George, B.; Malano, H.M.; Arora, M.; Nawarathna, B. Water-energy-greenhouse gas nexus of urban water systems: Review of concepts, state-of-art and methods. Resour. Conserv. Recycl. 2014, 89, 1–10. [Google Scholar] [CrossRef]
- Escriva-Bou, A.; Lund, J.R.; Pulido-Velazquez, M. Modeling residential water and related energy, carbon footprint and costs in California. Environ. Sci. Policy 2015, 50, 270–281. [Google Scholar] [CrossRef]
- Plappally, A.; Lienhard, J.H. Energy requirements for water production, tretament, end use, reclamation, and disposal. Renew. Sustain. Energ. Rev. 2012, 16, 4818–4848. [Google Scholar] [CrossRef]
- BERR. UK Energy in Brief, July 2008. Available online: http://webarchive.nationalarchives.gov.uk/+/http:/www.berr.gov.uk/files/file46983.pdf (accessed on 3 May 2018).
- Environmental Agency. Greenhouse Gas Emissions of Water Supply and Demand Management. Science Report No. SC070010; 2008. Available online: https://assets.publishing.service.gov.uk/government/uploads/system/uploads/attachment_data/file/291728/scho0708bofv-e-e.pdf (accessed on 3 May 2018).
- Kenway, S.J.; Priestley, A.; Cook, S.; Seo, S.; Inman, M.; Gregory, A.; Hall, M. Energy Use in the Provision and Consumption of Urban Water in Australia and New Zealand. CSIRO. 2008. Available online: https://publications.csiro.au/rpr/download?pid=csiro:EP116078&dsid=DS1 (accessed on 3 May 2018).
- Kenway, S.J.; Lant, P.A.; Priestley, A.; Daniels, P. The connection between water and energy in cities: A review. Water Sci. Technol. 2011, 63, 1983–1990. [Google Scholar] [CrossRef] [PubMed]
- Rothausen, S.G.S.; Conway, D. Greenhouse-gas emissions from energy use in the water sector. Nat. Clim. Chang. 2011, 1, 210–219. [Google Scholar] [CrossRef]
- Siddiqui, A.; Weck, O.L. Quantifying end-use energy intensity of the urban water cycle. J. Infrastruct. Syst. 2013, 19, 474–485. [Google Scholar] [CrossRef]
- Bertrand, A.; Mastrucci, A.; Schuler, N.; Aggoune, R.; Marechal, F. Characterisation of domestic hot water end-uses for integrated urban thermal energy assessment and optimisation. Appl. Energy 2017, 186, 152–166. [Google Scholar] [CrossRef]
- Binks, A.N.; Kenway, S.J.; Lant, P.A.; Head, B.W. Understanding Australian household water-related energy use and identifying physical and human characteristics of major end uses. J. Clean. Prod. 2016, 135, 892–906. [Google Scholar] [CrossRef]
- Cheng, C. Study of the inter-relationship between water use and energy conservation for a building. Energy Build. 2002, 34, 261–266. [Google Scholar] [CrossRef]
- Willis, R.M.; Stewart, R.A.; Panuwatwanich, K.; Jones, S.; Kyriakides, A. Alarming visual display monitors affecting shower end use water and energy conservation in Australian residential households. Resour. Conserv. Recycl. 2010, 54, 1117–1127. [Google Scholar] [CrossRef]
- Kenway, S.J.; Scheidegger, R.; Larsen, T.A.; Lant, P.; Bader, H.P. Water-related energy in houeholds: A model designed to understand the current state and simulate possible measures. Energy. Build. 2013, 58, 378–389. [Google Scholar] [CrossRef]
- Abdallah, A.M.; Rosenberg, D.E. Heterogeneous residential water and energy linkages and implications for conservation and management. J. Water Resour. Plan. Manag. 2014, 140, 288–297. [Google Scholar] [CrossRef]
- Chini, C.M.; Scheiber, K.L.; Barker, Z.A.; Stillwell, A.S. Quantifying energy and water savings in the U.S. residential sector. Environ. Sci. Technol. 2016, 50, 9003–9012. [Google Scholar] [CrossRef] [PubMed]
- McMahon, J.E.; Price, S.K. Water and energy interactions. Annu. Rev. Environ. Resour. 2011, 36, 163–191. [Google Scholar] [CrossRef]
- Jiang, S.; Wang, J.; Zhao, Y.; Lu, S.; Shi, H.; He, F. Residential water and energy nexus for conservation and management: A case study of Tianjin. Int. J. Hydrog. Energy 2016, 41, 15919–15929. [Google Scholar] [CrossRef]
- Maguire, J.; Krarti, M.; Fang, X. An analysis model for domestic hot water distribution systems. In Proceedings of the 5th International Conference on Energy Sustainability and Fuel Cells, Washington, DC, USA, 7–10 August 2011. [Google Scholar]
- Ahmed, K.; Pylsy, P.; Kurnitski, J. Monthly domestic hot water profiles for energy calculation in Finnish apartment buildings. Energy Build. 2015, 97, 77–85. [Google Scholar] [CrossRef]
- Ahmed, K.; Pylsy, P.; Kurnitski, J. Hourly consumption profiles of domestic hot water for different occupant groups in dwellings. Sol. Energy 2016, 137, 516–530. [Google Scholar] [CrossRef]
- Stephan, A.; Stephan, L. Life cycle water, energy and cost analysis of multiple water harvesting and management measures for apartment buildings in a Mediterranean climate. Sustain. Cities Soc. 2017, 32, 584–603. [Google Scholar] [CrossRef]
- D’Agostino, D.; Cuniberti, B.; Bertoldi, P. Energy consumption and efficiency technology measures in European non-residential buildings. Energy Build. 2017, 153, 72–86. [Google Scholar] [CrossRef]
- Cominola, A.; Spang, E.S.; Giuliani, M.; Castelletti, A.; Lund, J.R.; Loge, F.J. Segmentation analysis of residential water-electricity demand for customized demand-side management programs. J. Clean. Prod. 2018, 172, 1607–1619. [Google Scholar] [CrossRef]
- Hussien, W.; Memon, F.A.; Savic, D.A. An integrated model to evaluate water-energy food nexus at a household scale. Environ. Model. Softw. 2017, 93, 366–380. [Google Scholar] [CrossRef]
- Hendron, R.; Burch, J. Development of Standardized Domestic Hot Water Event Schedules for Residential Buildings. In Proceedings of the ASME Energy Sustainability Conference, Long Beach, CA, USA, 27–30 July 2007; pp. 531–36104. [Google Scholar] [CrossRef]
- Merrigan, T.J. Residential hot water use in Florida and North Carolina. ASHRAE Trans. 1988, 94, 1099. [Google Scholar]
- Goldner, F.S. Energy Use and Domestic Hot Water Consumption Phase 1. Final Report Prepared for the New York State Energy Research and Development Authority. 1994. Available online: https://www.osti.gov/servlets/purl/10108256/ (accessed on 4 May 2018).
- Hart, M.; Dear, R. Weather sensitivity in household appliance energy end-use. Energy. Build. 2004, 36, 161–174. [Google Scholar] [CrossRef]
- Bohm, B. Production and distribution of domestic hot water in selected Danish apartment buildings and institutions. Analysis of consumption, energy efficiency and the significance for energy design requirements of buildings. Energy Convers. Manag. 2013, 67, 152–159. [Google Scholar] [CrossRef]
- Bohm, B.; Danig, P.O. Monitoring the energy consumption in a district heated apartment building in Copenhagen with specific interest in the thermodynamic performance. Energy Build. 2004, 36, 229–236. [Google Scholar] [CrossRef]
- Schroder, F. Circulation heat losses much bigger than previously estimated. Danish HVAC 2004, 4, 36–40. [Google Scholar]
- Guerra Santin, O. Occupant behaviour in energy efficient dwellings: Evidence of a rebound effect. J. Hous. Built Environ. 2013, 28, 311–327. [Google Scholar] [CrossRef]
- Howard, B.; Parshall, L.; Thompson, J.; Hammer, S.; Dickinson, J.; Modi, V. Spatial distribution of urban building energy consumption by end use. Energy. Build. 2012, 45, 141–151. [Google Scholar] [CrossRef]
- Spur, R.; Fiala, D.; Nevrala, D.; Probert, D. Influence of the domestic hot-water daily draw-off profile on the performance of a hot-water store. Appl. Energy 2006, 83, 749–773. [Google Scholar] [CrossRef]
- Koiv, T.; Mikola, A.; Toode, A. DHW design flow rates and consumption profiles in educational, office buildings and shopping centres. Smart Grid Renew. Energy 2013, 4, 287–296. [Google Scholar] [CrossRef]
- Fuentes, E.; Arce, L.; Salom, J. A review of domestic hot water consumption profiles for application in systems and buildings energy performance analysis. Renew. Sustain. Energy Rev. 2018, 81, 1530–1547. [Google Scholar] [CrossRef]
- Mayer, P.W.; DeOreo, W.B.; Residential End Uses of Water. Report Prepared for AWWA Research Foundation. Available online: http://www.waterrf.org/PublicReportLibrary/RFR90781_1999_241A.pdf (accessed on 4 May 2018).
- Sustainable Energy Authority of Ireland. Energy in Ireland 1990–2015. Report Prepared for Sustainable Energy Authority of Ireland (SEAI). 2016. Available online: http://www.seai.ie/resources/publications/Energy-in-Ireland-1990-2015.pdf (accessed on 4 May 2018).
- Walsh, B.P.; Murray, S.N.; O’Sullivan, D.T.J. The water energy nexus, an ISO50001 water case study and the need for a water value system. Water. Res. Ind. 2015, 10, 15–28. [Google Scholar] [CrossRef]
- Clifford, E.; Mulligan, S.; Comer, J.; Hannon, L. Flow-Signature Analysis of Water Consumption in Non-Residential Building Water Networks Using High-Resolution and Medium-Resolution Smart Meter Data: Two Case Studies. Water Res. Res. 2018, 54, 88–106. [Google Scholar] [CrossRef]
- Lutz, J.; Whitehead, C.D.; Lekov, A.; Winiarski, D.; Rosenquist, G. WHAM: A simplified energy consumption equation for water heaters. In Proceedings of the ACEEE Summer Study on Energy Efficiency in Buildings, Pacific Grove, CA, USA, 23 August 1998. [Google Scholar]
- US Department of Energy. Chapter 7, Energy Use Characterization. Report for the US Department of Energy. Available online: https://www1.eere.energy.gov/buildings/appliance_standards/pdfs/hvac_ch_07_energy-use_2012-08-21.pdf (accessed on 8 May 2018).
- George, D.; Pearre, N.S.; Swan, L.G. High resolution measured domestic hot water consumption of Canadian homes. Energy Build. 2015, 109, 304–315. [Google Scholar] [CrossRef]
- Ward, S.; Butler, D.; Memon, F.A. Benchmarking energy consumption and CO2 emissions from rainwater-harvesting systems: An improved method by proxy. Water Environ. J. 2012, 26, 184–190. [Google Scholar] [CrossRef]
- Vieira, A.S.; Beal, C.D.; Ghisi, E.; Stewart, R.A. Energy intensity of rainwater harvesting systems: A review. Renew. Sustain. Energy Rev. 2014, 34, 225–242. [Google Scholar] [CrossRef]
- Nair, S.; Mulligan, S.; Hashim, H.; Ryan, P.; Keane, M.; Clifford, E.; Hannon, L. Quantifying energy losses associated with faults in building water networks using a novel fault detection, diagnosis and optimization approach. In Proceedings of the 12th SDEWES Conference, Dubrovnik, Croatia, 4–8 October 2017. [Google Scholar]
- Fairey, P.; Parker, D. A Review of Hot Water Draw Profiles Used in Performance Analysis of Residential Domestic Hot Water Systems; FSEC-RR-56-04; Florida Solar Energy Center, University of Central Florida: Cocoa, FL, USA, 2004; Available online: http://www.fsec.ucf.edu/en/publications/pdf/FSEC-RR-56-04.pdf (accessed on 7 May 2018).
- Perez-Lombard, L.; Ortiz, J.; Pout, C. A review on buildings energy consumption information. Energy Build. 2008, 40, 394–398. [Google Scholar] [CrossRef]
- Ulseth, R.; Alonso, M.J.; Haugerud, P. Measured load profiles for domestic hot water in buildings with heat supply from district heating. In Proceedings of the 14th International Symposium on District Heating and Cooling, Stockholm, Sweden, 7–9 September 2014. [Google Scholar]
- Deng, S. Energy and water uses and their performance explanatory indicators in hotels in Hong Kong. Energy Build. 2003, 35, 775–784. [Google Scholar] [CrossRef]














| Residential: Yes/No/All | Key Findings | Study Limitations | Reference |
|---|---|---|---|
| No | Energy for hot water dominated other segments like booster pumping and water recycling | Did not use measured data, but leveraged models | [14] |
| Yes | The energy intensity of hot water in a six storey building was found to be 6.5 kWh/m3 | Relationship between occupancy level, climate and water-energy use not studied. | [17] |
| Yes | City wide implementation of shower monitors could yield savings of 3% and 2.4% of water and energy in residential buildings | The study can be extended to other domestic end uses. Also study of water temperature patterns of shower events | [18] |
| Yes | Behavioural changes in hot water end use more efficient than technical improvements for saving energy except for solar water heaters | Considered only one household and the results might vary for larger buildings and on a city level | [19] |
| Yes | To achieve maximum energy savings, differences between ambient and set point temperature of water heaters should be optimised | Didn’t consider spatial scales other than residential water usage. Pumping energy not considered. | [20] |
| Yes | About 80% of the total water-related energy use was contributed by hot water use in showers and faucets. CO2 emissions from water end use represents 2% of total per capita emissions in California | Considered only domestic hot water system in household level and omitted water pumping | [7] |
| Yes | Implementation of water and energy efficient appliances in each household had the potential to save 7600 kWh energy and 150 m3 of water annually | The study assumed that all households were homogenous in nature and did not consider other building types | [21] |
| All | Water heating electricity accounted for 14% of the total electricity usage in California (compared to 5% for water supply and treatment). Water use in commercial sector used 30% of total electricity | The study utilised water-related energy auditing at a high level | [22] |
| Yes | Shower use constituted major share of energy use as confirmed by previous studies | Energy use patterns associated with water end uses in larger buildings and other spatial scales not studied | [23] |
| Yes | Modelled results were validated against measured data got from gas water heaters in houses and results showed close match | Model suitable only for small domestic properties and complicated for large buildings due to discretization of pipes into smaller sections | [24] |
| All | Showering represented more than 80% of the hot water energy demand and the hot water energy use results were confirmed by literature values | Input data such as temperature, volumetric flow, use frequency and duration obtained from literature at was generally at a low resolution level | [15] |
| Yes | The results showed the effect of seasonal variation on DHW consumption for different time scales and obtained monthly factors for each month. | There was no detailed analysis about the corresponding energy consumption of water use profiles. Other end uses not considered | [25] |
| Yes | Confirmed the premise that occupant number was the weightiest factor for hot water consumption. There were morning and evening peaks in water use patterns | The results are likely not representative for non-residential buildings as the study was done on residential buildings | [26] |
| Yes | A combination of all methods and reduction of water demand, water demand could be reduced by up to 75% with a saving of 1 MJ/Kl at zero cost | Hot water use profiles, pumping and associated energy were not taken into account | [27] |
| No | Non-residential buildings account for about 25% of total European building stock energy consumption | No detailed assessment of hot water systems and energy use, which is a major omission | [28] |
| Yes | Demand side management actions for water use should be differentiated from daily electricity consumption | Focus only on water-energy nexus of residential buildings | [29] |
| Yes | The developed System Dynamics model for water-energy-food nexus was successfully validated against historical data | The nexus of water-energy-food in non-residential buildings absent. Water pumping energy not considered | [30] |
| Energy Source | Carbon Emission Factor (kgCO2/kWh) |
|---|---|
| Natural gas | 0.205 |
| Gasoline | 0.252 |
| Diesel | 0.264 |
| Coal | 0.341 |
| Electricity | 0.482 |
| Period | Average Total Emissions (kgCO2/day) | Emission Intensity (kgCO2/m3) |
|---|---|---|
| Semester 1 | 133.00 | 3.75 |
| Summer | 45.00 | 1.54 |
| Semester 2 | 91.00 | 2.00 |
| Semester 1, 2018 | 17 | - |
© 2018 by the authors. Licensee MDPI, Basel, Switzerland. This article is an open access article distributed under the terms and conditions of the Creative Commons Attribution (CC BY) license (http://creativecommons.org/licenses/by/4.0/).
Share and Cite
Nair, S.; Hashim, H.; Hannon, L.; Clifford, E. End Use Level Water and Energy Interactions: A Large Non-Residential Building Case Study. Water 2018, 10, 810. https://doi.org/10.3390/w10060810
Nair S, Hashim H, Hannon L, Clifford E. End Use Level Water and Energy Interactions: A Large Non-Residential Building Case Study. Water. 2018; 10(6):810. https://doi.org/10.3390/w10060810
Chicago/Turabian StyleNair, Sudeep, Hafiz Hashim, Louise Hannon, and Eoghan Clifford. 2018. "End Use Level Water and Energy Interactions: A Large Non-Residential Building Case Study" Water 10, no. 6: 810. https://doi.org/10.3390/w10060810
APA StyleNair, S., Hashim, H., Hannon, L., & Clifford, E. (2018). End Use Level Water and Energy Interactions: A Large Non-Residential Building Case Study. Water, 10(6), 810. https://doi.org/10.3390/w10060810

