Statistical Distribution of TSS Event Loads from Small Urban Environments
Abstract
1. Introduction
2. Materials and Methods
2.1. Monitoring Sites and Data
2.2. Theoretical Distribution Functions
2.3. Distribution Fitting and Goodness-Of-Fit Assessment
2.4. Monte-Carlo Resampling Strategy to Determine Minimum Sample Size
- Estimating parameters of lognormal distribution function by maximum likelihood taking all samples into account.
- Sampling k () events from all events n with 1000 repetitions. If less than 1000 repetitions are possible, all possible combinations are taken into account (Equation (3)).with population n and sample size k.
- Computing of KS distance between empirical cumulative distribution function of sample and theoretical distribution function with estimated parameters for all repetitions.
- Computing of mean, standard deviations of KS distances for all repetitions.
3. Results
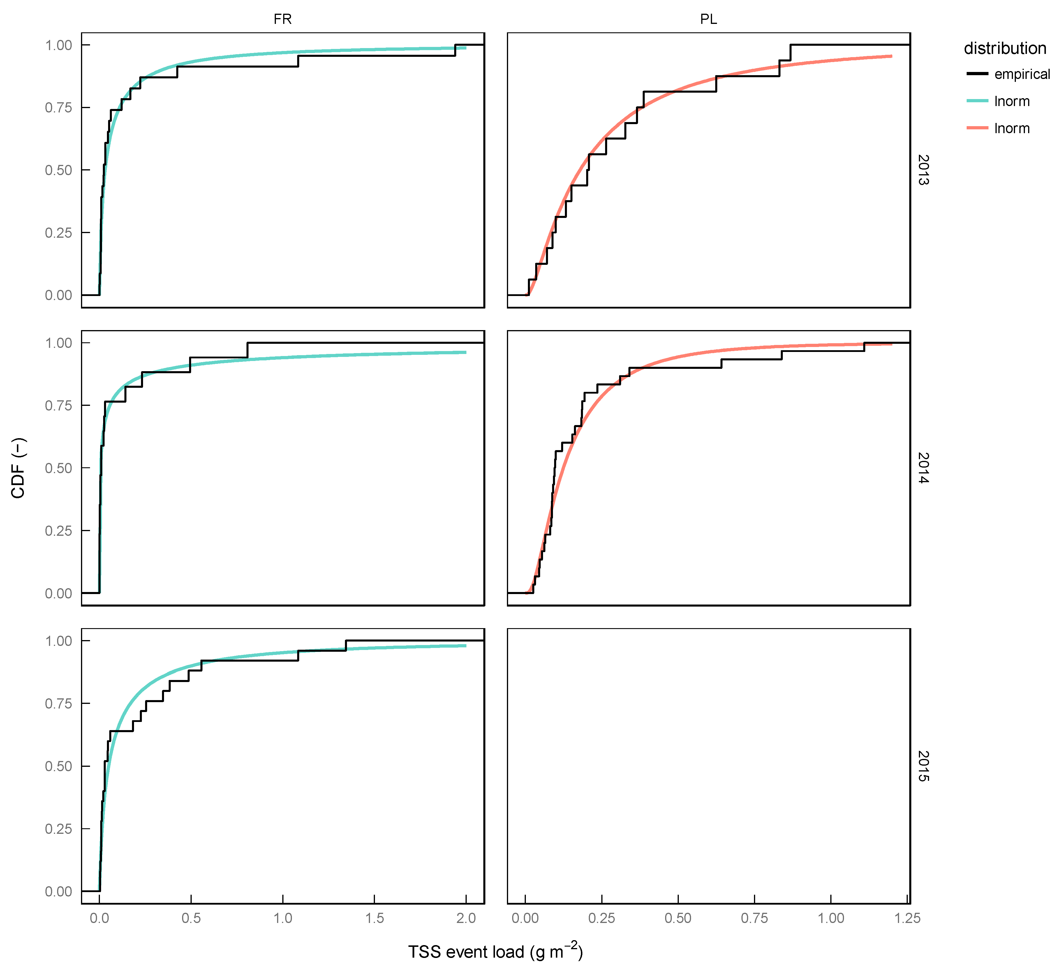
3.1. Distribution Fitting
3.2. Minimum Sample Size
4. Discussion
4.1. Distribution Fitting
4.2. Minimum Sample Size
5. Conclusions
- The Lognormal distribution function is most expressive to approximate empirical TSS event load distributions at all experimental sites.
- Successfully derived and fitted distribution functions provide a closed characterization of TSS event load distributions allowing to intra- and extrapolate of probabilistic event characteristics not observed.
- A robust fitting should prioritize sample size over sampling period.
- Roughly 40 events are required to reasonably fit the Lognormal distribution. Using more samples potentially improves the goodness-of-fit but subsequently requires to extend the duration of cost-intensive monitoring campaigns.
Author Contributions
Acknowledgments
Conflicts of Interest
References
- Allen Burton, G.; Pitt, R. Stormwater Effects Handbook: A Toolbox for Watershed Managers, Scientists, and Engineers; CRC Press: Boca Raton, FL, USA, 2001; ISBN 978-0-87371-924-7. [Google Scholar]
- Zoppou, C. Review of urban storm water models. Environ. Model. Softw. 2001, 16, 195–231. [Google Scholar] [CrossRef]
- Niazi, M.; Nietch, C.; Maghrebi, M.; Jackson, N.; Bennett, B.R.; Tryby, M.; Massoudieh, A. Storm Water Management Model: Performance Review and Gap Analysis. J. Sustain. Water Built Environ. 2017, 3, 04017002. [Google Scholar] [CrossRef]
- Leutnant, D.; Muschalla, D.; Uhl, M. Stormwater Pollutant Process Analysis with Long-Term Online Monitoring Data at Micro-Scale Sites. Water 2016, 8, 299. [Google Scholar] [CrossRef]
- Gruber, G.; Winkler, S.; Pressl, A. Quantification of pollution loads from CSOs into surface water bodies by means of online techniques. Water Sci. Technol. 2004, 50, 73–80. [Google Scholar] [CrossRef] [PubMed]
- Bertrand-Krajewski, J.-L. TSS concentration in sewers estimated from turbidity measurements by means of linear regression accounting for uncertainties in both variables. Water Sci. Technol. 2004, 50, 81–88. [Google Scholar] [CrossRef] [PubMed]
- Caradot, N.; Sonnenberg, H.; Rouault, P.; Gruber, G.; Hofer, T.; Torres, A.; Pesci, M.; Bertrand-Krajewski, J.-L. Influence of local calibration on the quality of online wet weather discharge monitoring: Feedback from five international case studies. Water Sci. Technol. 2015, 71, 45. [Google Scholar] [CrossRef] [PubMed]
- Métadier, M.; Bertrand-Krajewski, J.-L. The use of long-term on-line turbidity measurements for the calculation of urban stormwater pollutant concentrations, loads, pollutographs and intra-event fluxes. Water Res. 2012, 46, 6836–6856. [Google Scholar] [CrossRef] [PubMed]
- Bertrand-Krajewski, J.L.; Chebbo, G.; Saget, A. Distribution of pollutant mass vs volume in stormwater discharges and the first flush phenomenon. Water Res. 1998, 32, 2341–2356. [Google Scholar] [CrossRef]
- Di Modugno, M.; Gioia, A.; Gorgoglione, A.; Iacobellis, V.; la Forgia, G.; Piccinni, A.; Ranieri, E. Build-Up/Wash-Off Monitoring and Assessment for Sustainable Management of First Flush in an Urban Area. Sustainability 2015, 7, 5050–5070. [Google Scholar] [CrossRef]
- Bertrand-Krajewski, J.-L. Stormwater pollutant loads modelling: Epistemological aspects and case studies on the influence of field data sets on calibration and verification. Water Sci. Technol. 2007, 55, 1–17. [Google Scholar] [CrossRef] [PubMed]
- Egodawatta, P.; Thomas, E.; Goonetilleke, A. Understanding the physical processes of pollutant build-up and wash-off on roof surfaces. Sci. Total Environ. 2009, 407, 1834–1841. [Google Scholar] [CrossRef] [PubMed]
- Al Ali, S.; Bonhomme, C.; Dubois, P.; Chebbo, G. Investigation of the wash-off process using an innovative portable rainfall simulator allowing continuous monitoring of flow and turbidity at the urban surface outlet. Sci. Total Environ. 2017, 609, 17–26. [Google Scholar] [CrossRef] [PubMed]
- Alias, N.; Liu, A.; Goonetilleke, A.; Egodawatta, P. Time as the critical factor in the investigation of the relationship between pollutant wash-off and rainfall characteristics. Ecol. Eng. 2014, 64, 301–305. [Google Scholar] [CrossRef]
- Egodawatta, P.; Thomas, E.; Goonetilleke, A. Mathematical interpretation of pollutant wash-off from urban road surfaces using simulated rainfall. Water Res. 2007, 41, 3025–3031. [Google Scholar] [CrossRef] [PubMed]
- Muthusamy, M.; Tait, S.; Schellart, A.; Beg, M.N.A.; Carvalho, R.F.; de Lima, J.L.M.P. Improving understanding of the underlying physical process of sediment wash-off from urban road surfaces. J. Hydrol. 2018, 557, 426–433. [Google Scholar] [CrossRef]
- Zhao, H.; Jiang, Q.; Xie, W.; Li, X.; Yin, C. Role of urban surface roughness in road-deposited sediment build-up and wash-off. J. Hydrol. 2018, 560, 75–85. [Google Scholar] [CrossRef]
- Liu, A.; Egodawatta, P.; Guan, Y.; Goonetilleke, A. Influence of rainfall and catchment characteristics on urban stormwater quality. Sci. Total Environ. 2013, 444, 255–262. [Google Scholar] [CrossRef] [PubMed]
- Shaw, S.B.; Walter, M.T.; Steenhuis, T.S. A physical model of particulate wash-off from rough impervious surfaces. J. Hydrol. 2006, 327, 618–626. [Google Scholar] [CrossRef]
- Hong, Y.; Bonhomme, C.; Le, M.-H.; Chebbo, G. A new approach of monitoring and physically-based modelling to investigate urban wash-off process on a road catchment near Paris. Water Res. 2016, 102, 96–108. [Google Scholar] [CrossRef] [PubMed]
- Le, M.-H.; Cordier, S.; Lucas, C.; Cerdan, O. A faster numerical scheme for a coupled system modeling soil erosion and sediment transport. Water Resour. Res. 2015, 51, 987–1005. [Google Scholar] [CrossRef]
- Delestre, O.; Darboux, F.; James, F.; Lucas, C.; Laguerre, C.; Cordier, S. FullSWOF: Full Shallow-Water equations for Overland Flow. J. Open Source Softw. 2017, 2, 448. [Google Scholar] [CrossRef]
- Shaw, S.B.; Stedinger, J.R.; Walter, M.T. Evaluating urban pollutant buildup/wash-off models using a Madison, Wisconsin catchment. J. Enviorn. Eng. 2009, 136. [Google Scholar] [CrossRef]
- Gunawardena, J.M.A.; Liu, A.; Egodawatta, P.; Ayoko, G.A.; Goonetilleke, A. Influence of Traffic and Land Use on Urban. Stormwater Quality—Implications for Urban Stormwater Treatment Design; SpringerBriefs in Water Science and Technology; Springer: Singapore, 2018; ISBN 978-981-10-5301-6. [Google Scholar]
- Van Buren, M.A.; Watt, W.E.; Marsalek, J. Application of the log-normal and normal distributions to stormwater quality parameters. Water Res. 1997, 31, 95–104. [Google Scholar] [CrossRef]
- Haan, C.T. Statistical Methods in Hydrology, 1st ed.; Iowa State University Press: Ames, IA, USA, 1977; ISBN 978-0-8138-1510-7. [Google Scholar]
- eWater MUSIC Version 6 Documentation and Help Home. Available online: https://wiki.ewater.org.au/display/MD6 (accessed on 15 May 2018).
- Toranjian, A.; Marofi, S. Evaluation of statistical distributions to analyze the pollution of Cd and Pb in urban runoff. Water Sci. Technol. 2017, 75, 2072–2082. [Google Scholar] [CrossRef] [PubMed]
- R Core Team. R: A Language and Environment for Statistical Computing; R Foundation for Statistical Computing: Vienna, Austria, 2018. [Google Scholar]
- Delignette-Muller, M.L.; Dutang, C. Fitdistrplus: An R package for fitting distributions. J. Stat. Softw. 2015, 64, 1–34. [Google Scholar] [CrossRef]
- Hedderich, J.; Sachs, L. Angewandte Statistik: Methodensammlung Mit R; 14. überarb. und erg. Aufl.; Springer: Heidelberg, Germany, 2012; ISBN 978-3-642-24400-1. [Google Scholar]




| Site | n | TSS Event Loads (g m−2) | ||||||||
|---|---|---|---|---|---|---|---|---|---|---|
| min | 0.1-Perc | 0.25-Perc | 0.5-Perc | 0.75-Perc | 0.9-Perc | Max | Mean | sd | ||
| FR | 65 | 0.001 | 0.002 | 0.008 | 0.024 | 0.169 | 0.492 | 1.942 | 0.174 | 0.358 |
| HT | 16 | 0.164 | 0.313 | 0.361 | 0.795 | 1.357 | 2.916 | 4.746 | 1.255 | 1.275 |
| PL | 46 | 0.011 | 0.046 | 0.086 | 0.126 | 0.257 | 0.633 | 1.109 | 0.230 | 0.255 |
| RC | 23 | 0.014 | 0.027 | 0.065 | 0.093 | 0.349 | 0.735 | 0.935 | 0.261 | 0.295 |
| Name (Abbreviation) | Formula | Parameter |
|---|---|---|
| Exponential (exp) | α (rate) | |
| Gamma (gamma) | p (shape), b (rate) | |
| Lognormal (lnorm) | μ (meanlog), σ (sdlog) | |
| Weibull (weibull) | α (scale), β (shape) |
| Statistic (Abbreviation) | Formula | |
|---|---|---|
| Kolmogorov-Smirnov (KS) | (2) | |
| Anderson-Darling (AD) | (3) |
| Site | Distr. | Goodness-Of-Fit | Parameter Estimates (Standard Error) | ||||||
|---|---|---|---|---|---|---|---|---|---|
| LL | AD | KS | Rate | Shape | Meanlog | Sdlog | Scale | ||
| FR | exp | 48.66 | 29.074 | 0.442 * | 5.747 (0.713) | - | - | - | - |
| gamma | 88.29 | 2.254 | 0.186 * | 1.994 (0.504) | 0.347 (0.049) | - | - | - | |
| lnorm | 89.9 | 0.806 | 0.099 | - | - | −3.69 (0.301) | 2.429 (0.213) | - | |
| weibull | 92.05 | 1.123 | 0.131 | - | 0.484 (0.046) | - | - | 0.077 (0.021) | |
| HT | exp | −19.64 | 0.379 | 0.153 | 0.797 (0.199) | - | - | - | - |
| gamma | −19.25 | 0.394 | 0.136 | 1.068 (0.412) | 1.341 (0.428) | - | - | - | |
| lnorm | −18.18 | 0.192 | 0.128 | - | - | −0.19 (0.228) | 0.912 (0.161) | - | |
| weibull | −19.46 | 0.382 | 0.137 | - | 1.121 (0.208) | - | - | 1.316 (0.312) | |
| PL | exp | 21.69 | 1.168 | 0.126 | 4.356 (0.642) | - | - | - | - |
| gamma | 22.03 | 1.279 | 0.157 | 5.093 (1.175) | 1.169 (0.218) | - | - | - | |
| lnorm | 25.31 | 0.398 | 0.116 | - | - | −1.96 (0.146) | 0.987 (0.103) | - | |
| weibull | 21.72 | 1.203 | 0.137 | - | 1.030 (0.111) | - | - | 0.233 (0.035) | |
| RC | exp | 7.91 | 1.011 | 0.222 | 3.833 (0.799) | - | - | - | - |
| gamma | 8.1 | 0.681 | 0.189 | 3.283 (1.120) | 0.857 (0.219) | - | - | - | |
| lnorm | 9.07 | 0.38 | 0.131 | - | - | −2.03 (0.259) | 1.243 (0.183) | - | |
| weibull | 8.23 | 0.586 | 0.174 | - | 0.882 (0.142) | - | - | 0.244 (0.061) | |
| Site | Year | n | Distr. | Goodness-Of-Fit | Parameter Estimates (Standard Error) | |||
|---|---|---|---|---|---|---|---|---|
| LL | AD | KS | Meanlog | Sdlog | ||||
| FR | all years | 65 | lnorm | 89.9 | 0.806 | 0.099 | −3.69 (0.301) | 2.429 (0.213) |
| 2015 | 25 | lnorm | 24.54 | 0.64 | 0.138 | −2.99 (0.359) | 1.80 (0.254) | |
| 2014 | 17 | lnorm | 41.63 | 0.288 | 0.142 | −5.04 (0.786) | 3.24 (0.556) | |
| 2013 | 23 | lnorm | 32.52 | 0.365 | 0.12 | −3.45 (0.388) | 1.86 (0.274) | |
| PL | all years | 46 | lnorm | 25.31 | 0.398 | 0.116 | −1.96 (0.146) | 0.987 (0.103) |
| 2014 | 30 | lnorm | 23.76 | 0.616 | 0.167 | −2.08 (0.161) | 0.88 (0.114) | |
| 2013 | 16 | lnorm | 2.93 | 0.243 | 0.105 | −1.72 (0.281) | 1.12 (0.199) | |
© 2018 by the authors. Licensee MDPI, Basel, Switzerland. This article is an open access article distributed under the terms and conditions of the Creative Commons Attribution (CC BY) license (http://creativecommons.org/licenses/by/4.0/).
Share and Cite
Leutnant, D.; Muschalla, D.; Uhl, M. Statistical Distribution of TSS Event Loads from Small Urban Environments. Water 2018, 10, 769. https://doi.org/10.3390/w10060769
Leutnant D, Muschalla D, Uhl M. Statistical Distribution of TSS Event Loads from Small Urban Environments. Water. 2018; 10(6):769. https://doi.org/10.3390/w10060769
Chicago/Turabian StyleLeutnant, Dominik, Dirk Muschalla, and Mathias Uhl. 2018. "Statistical Distribution of TSS Event Loads from Small Urban Environments" Water 10, no. 6: 769. https://doi.org/10.3390/w10060769
APA StyleLeutnant, D., Muschalla, D., & Uhl, M. (2018). Statistical Distribution of TSS Event Loads from Small Urban Environments. Water, 10(6), 769. https://doi.org/10.3390/w10060769

