Evaluation of Agricultural Water Pricing in an Irrigation District Based on a Bayesian Network
Abstract
1. Introduction
2. Materials and Methods
2.1. The Full-Cost Model
2.2. The BN Model
2.3. Construction of the BN
2.4. K-Fold Cross-Validation
2.5. Data Collection and Processing
3. Case Study
3.1. Study Area
3.2. Scenario Development
4. Results
4.1. Calculation of Water Pricing
4.2. Sensitivity Analysis
4.3. Scenario Simulation
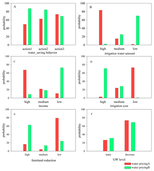
4.3.1. Single Water Pricing Scenario
4.3.2. Water Pricing Scenario Based on GW Policy
4.3.3. Water Pricing Scenario Based on Multi-Policy Intervention (Scenario 3)
4.3.4. Impacts of Water Pricing on the ESV of Land (Scenario 4)
5. Discussion
6. Conclusions
Author Contributions
Acknowledgments
Conflicts of Interest
References
- Vorusmarty, C.J.; Mcintyre, P.B.; Gessner, M.O.; Dudgeon, D.; Prusevich, A.; Green, P.; Glidden, S.; Bunn, S.E.; Sullivan, C.A.; Liermann, C.R.; et al. Global threats to human water security and river biodiversity. Nature 2010, 467, 555–561. [Google Scholar] [CrossRef] [PubMed]
- Meybeck, M. Global analysis of river systems: From Earth system controls to Anthropocene syndromes. Philos. Trans. R. Soc. Lond. B Biol. Sci. 2003, 358, 1935–1955. [Google Scholar] [CrossRef] [PubMed]
- Wang, K.Z.; Bin, L.I.; Quan, F.Y.U.; Jin, W.J. The Construction of Groundwater Reservoir and Its Beneficial Effect of Resource and Environment in Peninsula Shandong. J. Nat. Resour. 2008, 23, 575–580. [Google Scholar]
- Kumar, M.D.; Singh, O.P. Market instruments for demand management in the face of scarcity and overuse of water in Gujarat, Western India. Water Policy 2001, 3, 387–403. [Google Scholar] [CrossRef]
- Omer, A.M. Sustainable water resources management, future demands and adaptation strategies in Sudan. J. Environ. Sci. Water Resour. 2012, 1, 209–231. [Google Scholar]
- Mejías, P.; Varela, O.C.; Flichman, G. Integrating agricultural policies and water policies under water supply and climate uncertainty. Water Resour. Res. 2004, 40, 289–302. [Google Scholar] [CrossRef]
- Ren, D.; Yang, Y.; Yang, Y.; Richards, K.; Zhou, X. Land-Water-Food Nexus and indications of crop adjustment for water shortage solution. Sci. Total Environ. 2018, 626, 11–21. [Google Scholar] [CrossRef] [PubMed]
- Hanjra, M.A.; Qureshi, M.E. Global water crisis and future food security in an era of climate change. Food Policy 2010, 35, 365–377. [Google Scholar] [CrossRef]
- Deininger, K.; Byerlee, D.; Lindsay, J.; Norton, A.; Selod, H.; Sticker, M. Rising Global Interest in Farmland: Can It Yield Sustainable and Equitable Benefits? The World Bank: Washington DC, USA, 2011. [Google Scholar]
- Sun, M.Q.; Zhao, C.Y.; Shi, F.Z.; Peng, D.M.; Wu, S.X. Analysis on Land Use Change in the Mainstream Area of the Tarim River in Recent 20 Years. Arid Zone Res. 2013, 30, 16–21. [Google Scholar]
- Seagraves, J.A.; Easter, K.W. Pricing Irrigation water in developing countries. J. Am. Water Resour. Assoc. 2010, 19, 663–672. [Google Scholar] [CrossRef]
- Rogers, P.; Silva, R.D.; Bhatia, R. Water is an economic good: How to use prices to promote equity, efficiency, and sustainability. Water Policy 2002, 4, 1–17. [Google Scholar] [CrossRef]
- Fakhraei, S.H.; Narayanan, R.; Hughes, T.C. Price Rigidity and Quantity Rationing Rules Under Stochastic Water Supply. Water Resour. Res. 1984, 20, 664–670. [Google Scholar] [CrossRef]
- Ward, F.A.; Pulidovelazquez, M. Incentive pricing and cost recovery at the basin scale. Environ. Manag. 2009, 90, 293–313. [Google Scholar] [CrossRef] [PubMed]
- Boland, J.J.; Whittington, D. The political economy of water tariff design in developing countries: Increasing block tariffs versus uniform price with rebate designs. In The Political Economy of Water Pricing Reforms; Dinae, A., Ed.; Oxford University Press: New York, NY, USA, 2000; pp. 215–236. [Google Scholar]
- Johansson, R.C.; Tsur, Y.; Roe, T.L.; Doukkali, R.; Dinar, A. Pricing irrigation water: A review of theory and practice. J. Water Policy 2002, 4, 173–199. [Google Scholar] [CrossRef]
- Varela, O.C.; Blanco, M.; Sumpsi, J.M. Integrating irrigation modernization programs and water pricing policies. Empirical evidence and water policy implications. In Proceedings of the XXIV International Congress of the IAAE, Berlin, Germany, 13–19 August 2000. [Google Scholar]
- Li, Y.; Song, G.; Wu, Y.; Wan, W.; Zhang, M.; Xu, Y. Evaluation of water quality and protection strategies of water resources in arid–semiarid climates: A case study in the Yuxi River Valley of Northern Shaanxi Province, China. Environ. Geol. 2009, 57, 1933–1938. [Google Scholar]
- Burmil, S.; Daniel, T.C.; Hetherington, J.D. Human values and perceptions of water in arid landscapes. Landsc. Urban Plan. 1999, 44, 99–109. [Google Scholar] [CrossRef]
- Xian, W.; Xu, Z.; Deng, X. Agricultural irrigation water price based on full cost recovery: A case study in Ganzhou District of Zhangye Municipality. J. Glaciol. Geocryol. 2014, 36, 462–468. [Google Scholar]
- Goldstein, J. Full-Cost Water Pricing. Am. Water Works Assoc. 1986, 78, 52–61. [Google Scholar] [CrossRef]
- Kanakoudis, V.; Gonelas, K.; Tolikas, D. Basic principles for urban water value assessment and price setting towards its full cost recovery-pinpointing the role of the water losses. J. Water Supply 2011, 60, 27–39. [Google Scholar] [CrossRef]
- Mann, P.C. Reform in Costing and Pricing Water. Am. Water Works Assoc. 1987, 79, 43–45. [Google Scholar] [CrossRef]
- Kim, H.Y. Marginal cost and second-best pricing for water services. Rev. Ind. Organ. 1995, 10, 323–338. [Google Scholar] [CrossRef]
- Riesgo, L.; Gómez-Limón, J.A. Multi-criteria policy scenario analysis for public regulation of irrigated agriculture. Agric. Syst. 2007, 91, 1–28. [Google Scholar] [CrossRef]
- Moore, M.R.; Gollehon, N.R.; Carey, M.B. Multicrop Production Decisions in Western Irrigated Agriculture: The Role of Water Price. Am. J. Agric. Econ. 1994, 76, 859–874. [Google Scholar] [CrossRef]
- Dinar, A.; Subramanian, A. Water Pricing Experience; Technical Paper NO. 386; The World Bank: Washington, DC, USA, 1997. [Google Scholar]
- Berbel, J.; Gómezlimón, J.A. The impact of water-pricing policy in Spain: An analysis of three irrigated areas. Agric. Water Manag. 2000, 43, 219–238. [Google Scholar] [CrossRef]
- Giannoccaro, G.; Prosperi, M.; Zanni, G. Assessing the Impact of Alternative Water Pricing Schemes on Income Distribution. J. Agric. Econ. 2010, 61, 527–544. [Google Scholar] [CrossRef]
- Rositano, F.; Ferraro, D.O. Ecosystem services provided by agroecosystems: A qualitative and quantitative assessment of this relationship in the Pampa region, Argentina. Environ. Manag. 2014, 53, 606–619. [Google Scholar] [CrossRef] [PubMed]
- Grêtregamey, A.; Brunner, S.H.; Altwegg, J.; Bebi, P. Facing uncertainty in ecosystem services-based resource management. J. Environ. Manag. 2013, 127, 145–154. [Google Scholar] [CrossRef] [PubMed]
- Richards, R.; Roiko, A.; Carter, R.W.; Bussey, M.; Matthews, J.; Smith, T.F. Bayesian belief modeling of climate change impacts for informing regional adaptation options. Environ. Model. Softw. 2013, 44, 113–121. [Google Scholar] [CrossRef]
- Phan, T.D.; Smart, J.C.R.; Capon, S.J.; Hadwen, W.L.; Sahin, O. Applications of Bayesian belief networks in water resource management. Environ. Model. Softw. 2016, 85, 98–111. [Google Scholar] [CrossRef]
- Aguilera, P.A.; Fernández, A.; Fernández, R.; Rumí, R.; Salmerón, A. Bayesian networks in environmental modeling. Environ. Model. Softw. 2011, 26, 1376–1388. [Google Scholar] [CrossRef]
- Wang, X.; Tan, X.; Chen, Y. Study on Construction of Full Cost Water Pricing Model. Water Resour. Power 2011, 5, 034. [Google Scholar]
- Pearl, J. Probabilistic reasoning in intelligent systems: Networks of plausible inference. Comput. Sci. Artif. Intell. 1988, 70, 1022–1027. [Google Scholar]
- Marchette, D.J. Bayesian Networks and Decision Graphs. Technometrics 2008, 45, 178–179. [Google Scholar] [CrossRef]
- Mccann, R.K.; Marcot, B.G.; Ellis, R. Bayesian belief networks: Applications in ecology and natural resource management. Can. J. For. Res. 2006, 36, 3053–3062. [Google Scholar] [CrossRef]
- Bromley, J. Guidelines for the Use of Bayesian Networks as a Participatory Tool for Water Resource Management; Centre for Ecology and Hydrology: Bailrigg, UK, 2005. [Google Scholar]
- Fienen, M.N.; Plant, N.G. A cross-validation package driving Netica with python. Environ. Model. Softw. 2015, 63, 14–23. [Google Scholar] [CrossRef]
- Fienen, M.N.; Masterson, J.P.; Plant, N.G.; Gutierrez, B.T.; Thieler, E.R. Bridging groundwater models and decision support with a Bayesian network. Water Resour. Res. 2013, 49, 6459–6473. [Google Scholar] [CrossRef]
- Marcot, B.G. Metrics for evaluating performance and uncertainty of Bayesian network models. Ecol. Model. 2012, 230, 50–62. [Google Scholar] [CrossRef]
- Qiong, M.A.; Wang, Y. Evaluating the externally environmental cost of cotton production in Xinjiang. J. Arid Land Resour. Environ. 2015, 29, 63–68. [Google Scholar]
- Marcot, B.G.; Steventon, J.D.; Sutherland, G.D.; McCann, R.K. Guidelines for developing and updating Bayesian belief networks applied to ecological modeling and conservation. Can. J. For. Res. 2006, 36, 3063–3074. [Google Scholar] [CrossRef]
- Cain, J. Planning Improvements in Natural Resources Management. Encycl. Inf. Syst. 2001, 15, 239–265. [Google Scholar]
- Castelletti, A.; Soncini, S.R. Bayesian Networks and Participatory Modelling in Water Resource Management; Elsevier Science Publishers: Amsterdam, The Netherlands, 2007. [Google Scholar]
- Alameddine, I.; Cha, Y.K.; Reckhow, K.H. An evaluation of automated structure learning with Bayesian networks: An application to estuarine chlorophyll dynamics. Environ. Model. Softw. 2011, 26, 163–172. [Google Scholar] [CrossRef]
- Barton, D.N.; Kuikka, S.; Varis, O.; Uusitalo, L.; Henriksen, H.J.; Borsuk, M.; de la Hera, A.; Farmani, R.; Johnson, S.; Linnell, J.D. Bayesian networks in environmental and resource management. Integr. Environ. Assess. Manag. 2012, 8, 418–429. [Google Scholar] [CrossRef] [PubMed]
- Chan, T.U.; Hart, B.T.; Kennard, M.J.; Pusey, B.J.; Shenton, W.; Douglas, M.M.; Valentine, E.; Patel, S. Bayesian network models for environmental flow decision making in the Daly River, Northern Territory, Australia. River Res. Appl. 2010, 28, 283–301. [Google Scholar] [CrossRef]
- Henri, T.; Bernard, P. Full cost or “sustainability cost” pricing in irrigated agriculture. Charging for water can be effective, but is it sufficient? Irrig. Drain. 2002, 51, 97–107. [Google Scholar]
- Sumpsi, J.M.; Amador, F.; Romero, C. On Farmer’s Objectives: A multi-criteria Approach. Eur. J. Oper. Res. 1997, 96, 64–71. [Google Scholar] [CrossRef]
- Varela-Ortega, C.; Sumpsi, J.M.; Garrido, A.; Blanco, M.; Iglesias, E. Water Pricing Policies, Public Decision Making and Farmers’ Response: Implications for Water Policy. Agric. Econ. 1998, 19, 193–202. [Google Scholar] [CrossRef]
- Mohajerani, H.; Kholghi, M.; Mosaedi, A.; Farmani, R.; Sadoddin, A.; Casper, M. Application of Bayesian Decision Networks for Groundwater Resources Management Under the Conditions of High Uncertainty and Data Scarcity. Water Resour. Manag. 2017, 31, 1859–1879. [Google Scholar] [CrossRef]
- Pollino, C.A.; Woodberry, O.; Nicholson, A.; Korb, K.; Hart, B.T. Parameterisation and evaluation of a Bayesian network for use in an ecological risk assessment. Environ. Model. Softw. 2007, 22, 1140–1152. [Google Scholar] [CrossRef]
- Howitt, R.E.; Watson, W.D.; Adams, R.M. A reevaluation of price elasticities for irrigation water. Water Resour. Res. 1980, 16, 623–628. [Google Scholar] [CrossRef]
- Scheierling, S.M.; Loomis, J.B.; Young, R.A. Irrigation water demand: A meta-analysis of price elasticities. Water Resour. Res. 2006, 42, 85–88. [Google Scholar] [CrossRef]
- Bazzani, G.M.; Pasquale, S.D.; Gallerani, V.; Morganti, S.; Raggi, M.; Viaggi, D. The sustainability of irrigated agricultural systems under the Water Framework Directive: First results. Environ. Model. Softw. 2005, 20, 165–175. [Google Scholar] [CrossRef]
- Gómez-Limón, J.A.; Riesgo, L. Irrigation water pricing: Differential impacts on irrigated farms. Agric. Econ. 2004, 31, 47–66. [Google Scholar] [CrossRef]
- Amir, I.; Fisher, F.M. Response of near-optimal agricultural production to water policies. Agric. Syst. 2000, 64, 115–130. [Google Scholar] [CrossRef]
- Deng, M.J. Current situation and its potential analysis of exploration and utilization of groundwater resources of Xinjiang. Arid Land Geogr. 2009, 32, 647–654. [Google Scholar]
- Liao, Y.; Giordano, M.; Fraiture, C.D. An empirical analysis of the impacts of irrigation pricing reforms in China. Water Policy 2007, 9, 45–60. [Google Scholar] [CrossRef]
- Venot, J.P.; Molle, F. Groundwater Depletion in the Jordan Highlands: Can Pricing Policies Regulate Irrigation Water Use? Water Resour. Manag. 2008, 22, 1925–1941. [Google Scholar] [CrossRef]
- Medellín, A.J.; Howitt, R.E.; Harou, J.J. Predicting farmer responses to water pricing, rationing and subsidies assuming profit maximizing investment in irrigation technology. Agric. Water Manag. 2012, 108, 73–82. [Google Scholar] [CrossRef]
- Toan, T.D. Water Pricing Policy and Subsidies to Irrigation: A Review. Environ. Process. 2016, 3, 1–18. [Google Scholar] [CrossRef]
- Gómez-Limón, J.A.; Arriaza, M.; Berbel, J. Conflicting Implementation of Agricultural and Water Policies in Irrigated Areas in the EU. J. Agric. Econ. 2010, 53, 259–281. [Google Scholar] [CrossRef]
- Tian, Y.W.; Huang, Z.L.; Xiao, W.F. Effects of Conversion Cropland to Forest on Values of Ecosystem Services Based on RS and GIS in Heigou Watershed of Three Gorges Reservoir Area. Res. Soil Water Conserv. 2010, 17, 97–100. [Google Scholar]
- Gaudin, S. Effect of price information on residential water demand. Appl. Econom. 2006, 38, 383–393. [Google Scholar] [CrossRef]
- Kim, C.S.; Schaible, G.D. Economic Benefits Resulting From Irrigation Water Use: Theory and an Application to Groundwater Use. Environ. Resour. Econ. 2000, 17, 73–87. [Google Scholar] [CrossRef]
- Perry, C.J. Charging for Irrigation Water: The Issues and Options, with a Case Study from Iran; International Water Management Institute: Colombo, Sri Lanka, 2001. [Google Scholar]







| Category | Description | Variable |
|---|---|---|
| Objectives | The variables that we hope to affect through scenarios | farmland reduction, ecological service value (ESV) |
| Interventions | The variables that we need to implement to achieve the objectives | water price, groundwater (GW) policy, subsidize policy, land-use pattern (LUP) |
| Intermediate Factors | The variables that link objectives and interventions | change plant structure (action1), water-saving techniques (action2), drill well (action3), irrigation water amount, technical cost, drilling cost, yield, irrigation cost, operating cost, income, farming cost, profit, ESV equivalent |
| Controlling factors | The variables that we cannot control but influence the system | rainfall, market price, the economic value of farmland (EV) |
| Implementation factors | The variables that directly affect whether an intervention might be successful | acceptance, GW level |
| Additional impacts | The variables that changed due to the interventions but do not affect other variables in the system | not used |
| Predictive Value | Practical Value | ||
|---|---|---|---|
| High | Medium | Low | |
| 32 | 5 | 0 | High |
| 2 | 18 | 3 | Medium |
| 0 | 7 | 33 | Low |
| Group | 1 | 2 | 3 | 4 | 5 |
|---|---|---|---|---|---|
| Error rate | 17% | 19% | 21% | 9% | 12% |
| Scenario | Intervention Variables | Target Variable |
|---|---|---|
| Scenario 1 | water price | action1, action2, action3, irrigation cost, income, farmland reduction, GW level, irrigation water amount |
| Scenario 2 | water price, GW policy | action1, action2, action3, GW level, income, irrigation cost, acceptance, farmland reduction |
| Scenario 3 | water price, GW policy, subsidize policy, | acceptance, farmland reduction |
| Scenario 4 | water price, GW policy, subsidize policy, LUP | ESV |
| Agricultural Population (103) | The Government’s Goal of Abandoned Farmland (103 hm2) | Annual Average Water Supply (103 m3) | Overheard and Maintenance Expenses (103 RMB) | Annual Water Supply Cost (103 RMB) |
|---|---|---|---|---|
| 16.545 | 6.8 | 5000 | 1173.8 | 1174.8 |
© 2018 by the authors. Licensee MDPI, Basel, Switzerland. This article is an open access article distributed under the terms and conditions of the Creative Commons Attribution (CC BY) license (http://creativecommons.org/licenses/by/4.0/).
Share and Cite
Zhu, X.; Zhang, G.; Yuan, K.; Ling, H.; Xu, H. Evaluation of Agricultural Water Pricing in an Irrigation District Based on a Bayesian Network. Water 2018, 10, 768. https://doi.org/10.3390/w10060768
Zhu X, Zhang G, Yuan K, Ling H, Xu H. Evaluation of Agricultural Water Pricing in an Irrigation District Based on a Bayesian Network. Water. 2018; 10(6):768. https://doi.org/10.3390/w10060768
Chicago/Turabian StyleZhu, Xiaotong, Guangpeng Zhang, Kaiye Yuan, Hongbo Ling, and Hailiang Xu. 2018. "Evaluation of Agricultural Water Pricing in an Irrigation District Based on a Bayesian Network" Water 10, no. 6: 768. https://doi.org/10.3390/w10060768
APA StyleZhu, X., Zhang, G., Yuan, K., Ling, H., & Xu, H. (2018). Evaluation of Agricultural Water Pricing in an Irrigation District Based on a Bayesian Network. Water, 10(6), 768. https://doi.org/10.3390/w10060768
