Next Article in Journal
A Comparative Study of Groundwater Level Forecasting Using Data-Driven Models Based on Ensemble Empirical Mode Decomposition
Previous Article in Journal
An Integration Approach for Mapping Field Capacity of China Based on Multi-Source Soil Datasets
 
 
Font Type:
Arial Georgia Verdana
Font Size:
Aa Aa Aa
Line Spacing:
Column Width:
Background:
Article

Geothermometry and Isotope Geochemistry of CO2-Rich Thermal Waters in Choygan, East Tuva, Russia

1
Research and Education Centre “Water”, National Research Tomsk Polytechnic University, 30 Lenin Avenue, Tomsk 634050, Russia
2
School of Earth and Environmental Science and Williamson Research Centre for Molecular Environmental Science, University of Manchester, Manchester M13 9PL, UK
3
Resource center “Geomodel”, Research Park of Saint-Petersburg State University, Ulyanovskvayast. 1, Saint Petersburg 198504, Russia
*
Author to whom correspondence should be addressed.
Water 2018, 10(6), 729; https://doi.org/10.3390/w10060729
Submission received: 18 January 2018 / Revised: 25 May 2018 / Accepted: 1 June 2018 / Published: 4 June 2018
(This article belongs to the Section Hydrology)

Abstract

The Choygan area of southern Siberia, Russia hosts a variety of CO2-rich thermal mineral and other waters emerging from springs at temperatures between 7 °C and 39 °C. Chemical analyses of the spring waters (n = 33) were carried out to characterise the waters and determine their origin. A continuum of compositions was observed between relatively lower temperature (7 °C) HCO3-Ca-Na dominated waters with relatively low amount of total dissolved solids (TDS) and high Eh, and higher temperature (39 °C) HCO3-Na-Ca dominated waters with higher TDS and lower Eh—this reflects largely conservative mixing of these components between near surface low temperature, oxidising groundwaters and higher temperature, more reducing thermal waters derived from a deeper geothermal reservoir. Stable isotopic data are consistent with all the water ultimately being derived from meteoric water that has undergone varying degrees of isotopic fractionation following evaporation. The inferred δ18O and δ2H isotopic composition of the unfractionationed meteoric waters is lighter than that expected that of mean annual local precipitation, which together with a strong negative correlation between δ18O and the elevation of the sampled discharging springs, suggests recharge at higher elevations (1600 m to 3000 m; average 2600 m). Reservoir temperature, calculated using geothermometers and an analysis of saturation indices of plausible reservoir minerals, ranged from 70 °C to 100 °C at an inferred depth of 2 to 3 km. Not all chemical components were found to follow conservative mixing behaviour. In particular, (i) the CO2 contents of the waters were highly variable, suggesting either varying degrees of degassing and/or near discharge admixture with air, and (ii) SO4 concentrations in the lower temperature thermal CO2-rich waters were highly variable, suggesting a role of near surface oxidation processes, for example of pyrite, in modifying the concentration of redox sensitive components. Limited δ13C data are consistent with the CO2 predominately being derived from dissolution of metamorphic/igneous carbonate minerals in the reservoir. Based on geological conditions, isotope and chemical data, a conceptual circulation model of the Choygan hydrothermal system is proposed.

1. Introduction

One current challenge in geochemistry is determining the genesis and particularly the geochemical processes controlling the chemical compositions of mineral waters, which are often generated in complex hydrogeological systems. These waters, particularly carbon dioxide-rich mineral waters, are widely used for a variety of purposes including geothermal power, carbon dioxide production, heating of shelters and greenhouses as well as bottled water and spas. Better understanding their origins may be helpful to inform sustainable development of these resources.
Mineral water springs are typically located in tectonically active areasandare frequently associated with fracture zones [1]. Well known examples are recorded in Turkey [2,3], Iran [1,4], Serbia [5,6], Tunisia [7,8], Mexico [9,10], China [11,12], Korea [13,14,15], Portugal [16,17], Spain [18], Italy [19], France [20,21], Egypt [22,23] and Russia [24,25] amongst other places.
The Choygan mineral water spa, used for several decades by locals and tourists for bathing and medicinal purposes, is an example of such an occurrence of carbon dioxide-rich mineral waters. Located in the Eastern Sayan Mountains, Tuva, Russia, some of these springs are characterized by the bubbling of CO2-rich gases. Our group [26,27] have determined the dissolved gas [26], 222Rn [26] and major and trace chemical compositions of these waters [28,29] (see also previous work summarized in [26,27] as well as making an assessment of the extent of thermodynamic equilibrium of these waters with various minerals [26]). These have enabled preliminary estimates of reservoir temperatures [30,31]. Further constraints on the origins of these waters have been provided by 3He/4He based heat flow estimates [32]. Notwithstanding these studies, the difficulty of access has precluded more detailed studies of these mineral waters, in particular in relation to geothermometry, isotope geochemistry and the application of these techniques to developing a more detailed conceptual model of the origins of the mineral waters.
This study aims to conduct a more detailed survey of the Choygan CO2-rich thermal waters and to better define the geological and geochemical conditions of formation of the mineral waters and, in particular, the extent and nature of water–rock reaction processes (cf. [1,3,33]). We apply hydrogeochemical geothermometers [4,9,22] to establish the maximum reservoir temperatures, ascertain the effect of CO2 and temperature on the main processes that control the water chemistry and to estimate the depth of the geothermal system (cf. [4,9,22]). We use stable isotopes (δ18O and δ2H) to provenance the waters (cf., [1,26]) and to better understand underground flow paths. Lastly, this study aims to provide an improved conceptual circulation model of the Choygan hydrothermal system.

2. Study Area

The Choygan mineral water natural spa is located in the northeastern part of the Tuva Republic (Russia) at a height of around 1550 m and in an area characterized by a continental climate, a mean annual temperature −4.7 °C with an annual average precipitation of 700 mm (Figure 1) [34]. The groundwaters discharge at 33 local springs within a relatively small area on the western slope of the Eastern Sayan Mountains (Figure 2). The springs are predominantly located on the right bank of the Arzhaan–Hem River, on the first river terraces along the slope as well as in the floodplain of the left riverbank.The combined total discharge from all of the springs is estimated to be around 18 L/s.
The Choygan springs lie at the boundary of the Riphean Tuva–Mongolian massif with older Caledonian structures of the Eastern Tuva. The springs are located at the intersection of the topographic low due to the Arzhan-Hem river and the zone of the deep E-W trending Azassko–Zhomboloksky fault. The springs emerge in Lower Paleozoic intrusives on the right bank of the Arzhan–Hem River and crystalline schists, gneisses and marbles on the left bank (Figure 1). The Eastern Sayan Mountains, in which the Choygan springs are located, are characterized by high seismic activity and young volcanoes. A small field of the Cenozoic basalts is situated 20 km northeast of the Choygan springs.

3. Materials and Methods

Water samples (n = 33) including those from both higher temperature (T > 23 °C) and lower temperature (T < 23 °C) springs were collected in July 2013. Samples for analysis for ion chromatography or titrimetric analysis were collected in 500-mL clean polyethylene bottles after rinsing twice with the sampled water. The samples for trace element analyses were acidified with concentrated HNO3 to prevent metal precipitation and stored in 50-mL clean polyethylene bottles. Spring temperature, pH, Eh and electric conductivity (EC) were measured in situ using a portable water test kit (Hanna Instruments, Vöhringen, Germany). In addition, dissolved CO2 was measured in the field by titration with NaOH.
The concentration of HCO3 was estimated via titration with a 0.01 M solution of HCl using a methyl orange indicator. Ions, including SO42−, Cl, Ca2+, Mg2+, Na+ and K+, were analysed using ion chromatography (Dionex 1000 and Dionex 2000). Dissolved trace elements were determined by inductively coupled mass spectrometry (Perkin Elmer Inc., ELAN-DRC-e, Shelton, CT, USA). All standard solutions for these analyses were prepared with ultra-pure deionized water and Perkin Elmer Multi Element Standard Solutions. Ionic charge balance was calculated and used as a quality control check. The value of the computed ionic charge balance was within an acceptable limit of ±5% for most samples.
The radon content of the water samples was determined using a radiometer RGA-01 (Allbiz, Zelenograd, Russia), which registered the volume alpha-radiation activity of the radon-222 nuclide in liquid samples.
Gas samples (n = 26) were taken via the vacuum method at the field temperature in 0.2–L glass bottles using a portable syringe-degasser [36]. The composition of the dissolved gas (N2, O2, CO2) was determined with a Chromatec Crystal-2000M chromatograph using Chromatec Analyst software (version 3.0, JSC “Chromatec”, Yoshkar-Ola, Russia).
The analysis of the chemical and gas compositions of the waters was performed at the Laboratory of Hydrogeochemistry of the “Voda” (Water) Research Centre of the Institute of Natural Resources at Tomsk Polytechnic University.
Water δ18O and δ2H (n = 19) were analysed at the Resource Centre ‘Geomodel’ Research Park of Saint-Petersburg State University (St. Petersburg, Russia) on a Picarro L-2120i laser spectrometer (Picarro Inc., Santa Clara, CA, USA). V-SMOW-2, GISP, SLAP, USGS45 and USGS46 were used as standards. Accuracy is estimated to be better than ±0.1% for δ18O and ±1% for δ2H. A limited number of further samples were analysed for δ13C at the Laboratory of Isotope and Analytical geochemistry (Novosibirsk, Russia).
Silica (quartz and chalcedony) and cation (Na–K–Ca and Na–K) geothermometers were used to estimate the reservoir temperatures of the Choygan geothermal system using the chemical analyses of the thermal waters (Table 1) using the equations as follows:
Quartz geothermometer (Fournier and Potter, 1982) [37]:
T = 42.198 + 0.278831 S 3.668 × 10 4 4 S 2 + 3.1665 × 10 7 S 3 + 77.034 log S
Chalcedony geothermometer (Fournier, 1977) [37]:
T = 1309 5.19 log S 273.15
Na–K–Ca geothermometer (Fournier and Truesdell, 1973) [37]:
T = 1647 ( log N a K + β log C a 0.5 N a + 2.06 ) + 2.47 273.15 ,    β = 4 3   for   T < 100 ° C
Na–K geothermometer (Truesdell, 1976) [37]:
T = 856 0.857 + log N a K 273.15
Na–K geothermometer (Fournier, 1979) [37]:
T = 1217 1.483 + log N a K 273.15
Na–K geothermometer (Arnorsson et al., 1983b) [37]:
T = 933 0.933 + log N a K 273.15
where T is the model reservoir temperature in °C; S is the silica concentration of the spring discharge in mg/L; and Na, K and Ca concentrations are expressed in mol/L [37].
The depth of origin of the thermal waters was calculated using the following equation:
h = T T s γ ,
where T is the model reservoir temperature in °C, Ts is the annual mean surface temperature in °C, and γ is thereported regional geothermal gradient in °C/km.
In the absence of reservoir rock samples, mineral equilibrium calculations, through geothermometry or calculation of saturation indices (SI), are important methods to assess likely reactive minerals in the subsurface from groundwater chemical data [3]. Mineral saturation indices (SI) for some key carbonate (calcite, aragonite and dolomite), silicate (albite, muscovite and kaolinite), sulphate (gypsum and anhydrite) and silica (quartz and chalcedony) minerals were used to predict the tendency for precipitation or dissolution of those minerals with SI = 0 indicating thermodynamic equilibrium; SI > 0 indicating oversaturation, and SI < 0 indicating undersaturation. Mineral saturation indices of waters from the study area were calculated at the in situ measured spring temperatures and pH using the computer program PHREEQC (version 3, USGS, Denver, CO, USA). The Geochemist’s Workbench program (GWB) [38] (Aqueous Solutions LLC, Alexandria, VA, USA) was used to plot activity diagrams.
Following the method of Reed and Spycher (1984) [39], the congruence of mineral saturation indices of potential reservoir minerals over a range of pCO2 (calculated using Henry’s Law and the CO2 concentrations in the water) and temperatures was used to better estimate reservoir temperatures. The median (RMED), mean (MEAN), standard deviation (SDEV) and root mean-square error (RMSE) of the saturation indices of 9 selected potential reservoir minerals were determined for temperatures between 10 °C and 200 °C and the minimum values of these parameters then used to infer a model most probable reservoir temperature. In order to avoid biases arising from using the saturation indices of minerals with slow reaction kinetics, the median (RMED) was the preferred statistical parameter used to compute reservoir temperature, with SDEV or RMSE used to independently estimate the quality of clustering of saturation indices [39,40].

4. Resultsand Discussion

4.1. Hydrogeochemical Characteristics of the Springs

The major ion chemical compositions of the spring water samples are presented in Table 1 and plotted in a Piper diagram (Figure 3). The spring waters have been grouped into (I) “Higher” temperature (T > 23 °C) thermal CO2-rich waters; (II) “Lower” temperature (T < 23 °C) thermal CO2-rich waters; and (III) shallow (non-thermal) groundwaters. Data from our group [26] for samples previously collected from the same area in 2011 are also included for comparison. Chemical compositional difference between waters sampled in 2011 [26] and 2013 (this study) were generally insignificant or small, with observed differences in TDS of typically just 10–200 mg/L, fluorine (0.1–0.9 mg/L) and iron (0.1–1 mg/L); however, larger differences in TDS (400–500 mg/L) were observed in several springs, perhaps reflecting changes in weather and hydrological conditions impacting on mixing between groundwaters of whatever type and rainwater [41].
The first group of 18 relatively high temperature (22 °C to 39 °C) thermal springs is located in the central part of the river floodplain, including that on the left river bank. These waters are characterized by low Eh (−170 V to 142 mV). These “higher temperature” thermal CO2-rich waters are HCO3–Na–Ca type, slightly acidic (pH 6.1–6.9) waters with TDS from 1545 mg/L to 2647 mg/L. The TDS values and concentrations of major ions such as HCO3, Cl, Ca2+, Na+, Mg2+, K+ and Si4+ increase with measured water temperature and are higher than those in the colder springs. This likely reflects, in part, longer circulation and residence times of the higher temperature water, with HCO3 ultimately derived from the dissolution of carbonate minerals and of CO2, and Na+, K+, Ca2+, and Si4+ in groundwater associated with the dissolution of silicate phases in the subsurface [3,33]. The coating of a red precipitate around the springs is a result of the oxidation of FeII to FeIII upon exposure to the atmosphere. This iron may have been leached from biotite and pyroxenes contained in gneisses and crystalline schists in the subsurface.
The second group of 12 relatively low temperature thermal CO2-rich waters found in the northeast and southwest parts of the study area are of the HCO3–Ca–Na type.These waters are slightly acidic (pH 5.9 to 6.7) and with relatively high Eh (170 mV to 236 mV). In contrast to the first group, the TDS values of the second group are relatively low, ranging from 607 to 2064 mg/L, whereas the CO2 concentration reaches 1488 mg/L with an average of 817 mg/L. The higher CO2 values may reflect, in part, the higher solubility of CO2 at lower temperatures. The low Fe (0.1–0.2 mg/L) compared to the “higher temperature” thermal waters (0.1–4.4 mg/L) and relatively high concentration of SO42− (5–59 mg/L) in the low temperature water are both consistent with the relatively oxidizing Eh conditions in this group of springs. K and Mg are found in low concentrations in both the higher and lower temperature thermal waters corresponding to their low content in the metamorphic bedrocks.
The discharge of shallow groundwater is represented by three springs situated on the left riverbank and on the slopes of the right bank. This group of HCO3–Ca type waters shows that the lowest discharge temperatures (7 °C to 14 °C) is circumneutral/weakly alkaline (pH 6.6–8.3) with relatively high Eh (169 mV to 224 mV) and low TDS (290 to 350 mg/L), these low values being consistent with low levels of water–rock interactions. The observed discharge temperatures of these Group III waters are consistent, assuming a plausible local geothermal gradient of 33 °C/km [32], with conductive heating at depths of between 0 and 400 m of waters of meteoric origin and with recharge temperatures between 0 °C and average daily maximum air temperatures of around 13 °C. Notwithstanding this, some mixing with thermal waters cannot be discounted.
The relationship between various chemical constituents and the conservative tracer [1,42], Cl, in the three groups of waters are presented in Figure 4. The strong positive correlations between all of Na+, Mg2+, K+ and HCO3 with Cl, is broadly consistent with the major element chemistry being controlled by mixing between a higher temperature thermal CO2-rich water (cf. Group I) and lower temperature shallow groundwater (cf. Group III)— indeed, with the notably exception of SO42−, the major element compositions of the lower temperature thermal CO2-rich waters (Group II) are generally intermediate between those of Group I and Group III, and those of all the waters generally intermediate between the compositions of Spring 10 and Spring 33, which represent the observed extreme compositional end-members of Group I and Group III respectively. Notwithstanding this, Ca2+ is somewhat less correlated with Cl, suggesting that its variation is also controlled to some degree by variable dissolution of carbonate minerals and degassing of CO2, which in turn controls HCO3 concentrations. Several samples also exhibit relatively elevated SO42− due to a different process, possibly the oxidation of iron sulphide minerals, such as pyrite.

4.2. Dissolved Gas Composition

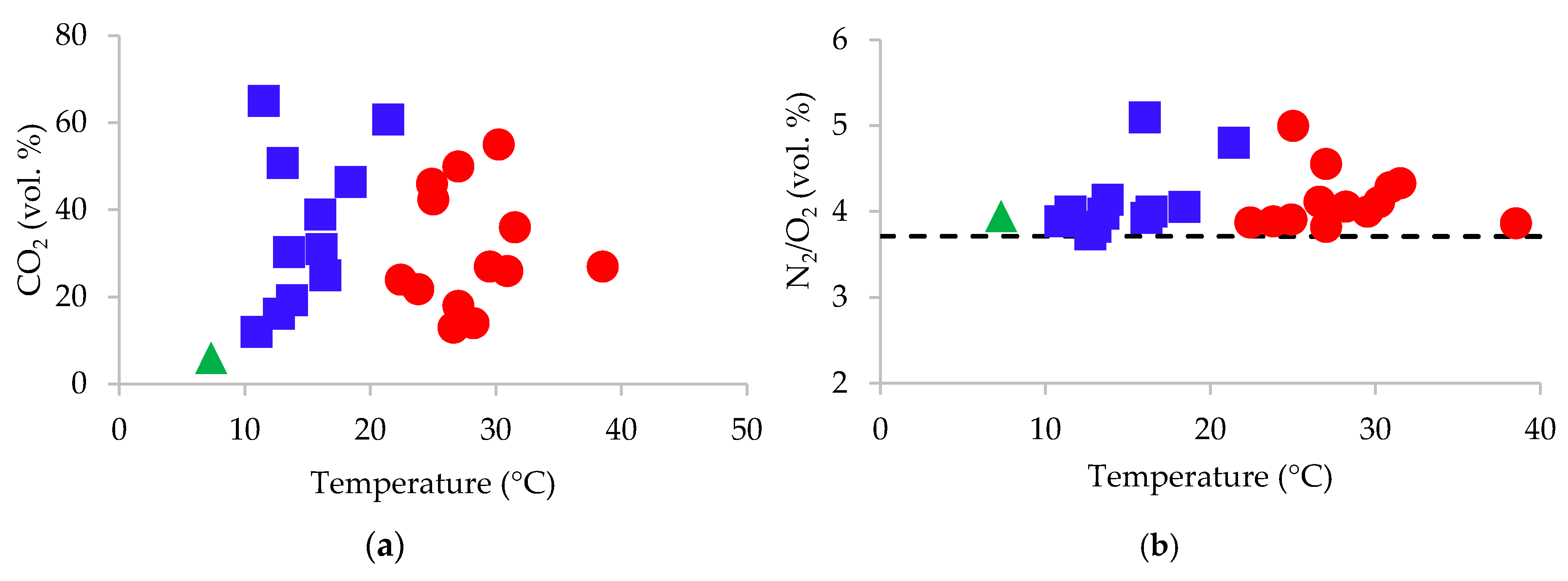
The gas composition of the studied springs is shown in Table 1and Figure 5 and reveals a relatively constant N2:O2 ratio (4.1 ± 1.0 mol/mol) just marginally higher than that of air (3.7) and with intermediate but highly variable proportions of CO2. This suggests that the gases sampled are essentially mixtures of air and CO2 with minor proportions of excess (i.e., above atmospheric composition) N2. The CO2 content of the analysedranged from 6 vol.% to 65 vol.%, with a broad overlap of compositions between Group I and Group II, but with the CO2 contents of the shallow groundwaters (Group III) being distinctly lower than that of the thermal waters (Figure 5 and Figure 6). Whilst relatively high oxygen contents are known to be characteristic of near surface waters [43], for the thermal waters, the variable oxygen (and highly correlated nitrogen) contents might reflect variable admixture of air during sampling of the springs at discharge. Highly variable gas CO2 contents may also reflect this process and/or CO2 exsolution/solution processes.

4.3. Radon-222 Concentration

The CO2-rich Choygan waters contain appreciable radon (Table 1). However, the compositions of the higher temperature and lower temperature thermal CO2-rich waters are broadly similar (4 Bq/L to 948 Bq/L cf. 53 Bq/L to 519 Bq/L) and, although elsewhere, higher radon concentrations are observed in waters with low mineralization [44]; in the Choygan waters, such a relationship is not apparent, there also being no significant relationship between radon and Na+, Ca2+ and Mg2+. The short half-life (3.82 days [45]) of radon-222, means that, in contrast to carbon dioxide, the source of radon is likely located near the springs, most probably from felsic rocks, enriched in uranium, and from which radon is produced by the alpha decay of radium-226, which is part of the radioactive uranium-238 series [44].

4.4. Geothermometers

Model reservoir temperatures, estimated using various geothermometers from the measured chemical compositions of the spring waters, are presented in Table 2. The lowest estimated reservoir temperatures are found using the chalcedony geothermometer, viz. 42–77 °C for the Group I (higher temperature thermal waters) and 31–52 °C forthe Group II (lower temperature thermal waters). The temperatures found by the quartz geothermometers are somewhat higher, viz. 74–107 °C for the higher temperature thermal water and 61–84 °C for the lower temperature thermal waters. The Na–K–Ca geothermometer gave rise to intermediate temperatures between the Na–K and silica geothermometers, viz. 84–119 °C and 42–84 °C, for the Group I and Group II thermal waters respectively. Significantly higher computed deep temperatures are obtained when using different Na–K geothermometers for low temperature thermal water as opposed to higher temperature thermal waters due to the high Ca2+ and Na+ concentrations. The Na–K geothermometers give similar temperature values from 210 °C to 285 °C for both high and low temperature thermal CO2-rich waters. Those temperatures are in disagreement with the values obtained with Na–K–Ca and silica geothermometers.
Mixing of thermal waters and colder groundwaters as well as a lack of a full chemical equilibrium may cause chemical geothermometers to provide uncertain results [3]. One of the requirements for the successful application of cation geothermometers is the attainment of water–rock equilibrium in the geothermal reservoir; the equilibrium can be evaluated by the Na–K–Mg triangular diagram [6]. The groundwater is evaluated with a Na–K–Mg ternary diagram proposed by Giggenbach (1988) [46] to identify the degree of maturation. According to the Na–K–Mg ternary diagram (Figure 7), all samples fall within the immature field, in particular, the Group III (shallow groundwaters) are very immature, consistent with unrealistically high model temperatures obtained by this approach, and both groups of thermal CO2-rich waters are not in equilibrium, most likely because of being mixed with colder waters. Therefore, cation geothermometers do not likely yield realistic equilibration temperatures for these waters. The Na–K and Na–K–Ca geothermometers appear to provide unreliable estimations of the reservoir temperatures, which are too high (up to 285 °C). The quartz geothermometer is more suitable than cation geothermometers for such immature waters, giving lower and more reliable temperatures (63–107 °C) for the Choygan geothermal system.

4.5. Mineral Saturation States (SI)

As shown in Table 3, the waters of all the studied springs are oversaturated with respect to kaolinite, muscovite, k-feldspar and far from saturation with respect to anhydrite and gypsum at their discharge temperatures. However, in samples that have high SO4 (>0.4 meq/L),the degree of undersaturation of sulfate minerals is lower and some springs are even in equilibrium with these minerals. The saturation indices of the silica minerals are above zero for both higher and lower temperature thermal CO2-rich waters. Higher temperature thermal CO2-rich waters are oversaturated or nearly in equilibrium with respect to the carbonate minerals and albite, while these minerals are unsaturated in the lower temperature thermal waters. The mineral saturation indices indicate the equilibrium state between higher temperature thermal waters and minerals such as calcite, aragonite and dolomite at the discharge temperatures and reflect a long residence time. Such behaviour is predictable due to the loss of CO2 from the solution at atmospheric pressure, and, as a consequence, increases the solution pH, resulting in calcite precipitation in the discharge area. The shallow groundwater is undersaturated with respect to albite, kaolinite, muscovite, k-feldspar, silica and sulfate minerals and oversaturated with respect to carbonate minerals, reflecting the initial stage of water–rock interaction.
Of course, thermal water compositions are more likely to reflect equilibrium between the waters and minerals (i.e., saturation) at deeper reservoir temperatures rather than at the discharge temperature. Thus, plotting SI with respect to several hydrothermal minerals as a function of temperature for several higher temperature thermal CO2-rich springs (Figure 8) enables the intersection of the equilibrium lines for a group of selected minerals close to SI = 0 to be interpreted to reflect the most likely reservoir temperatures of those waters [3].
Whilst calcite, dolomite, aragonite, albite and quartz minerals are oversaturated or in equilibrium at the outflow conditions at 30–40 °C, which does not reflect the reservoir temperature, the SIs of muscovite, kaolinite, magnesite, chalcedony and quartz for the higher temperature thermal CO2-rich waters converge and lie close to a SI = 0 at around 90–100 °C. This is the temperature at which the maximum number of mineral phases are in equilibrium with the waters and is thus interpreted as corresponding to the reservoir temperature. Anhydrite appears to be undersaturated at all temperatures and is of limited value in assessing likely reservoir temperatures. Calcite, aragonite, dolomite and magnesite are oversaturated at the modelled reservoir temperatures but closer to equilibrium at the observed discharge temperatures—this may reflect their involvement in lower temperature processes and/or the influence of changeable pCO2—either way consideration of the temperature dependence of their SIs does not provide a reliable estimate of reservoir temperature.
The aqueous activities of Ca++(aq), Mg++(aq), Na+(aq), K+(aq), and H+(aq) for the Choygan springs are plotted in Mz+(aq)/aH+(aq)z vs. SiO2 activity–activity diagrams at temperatures of 25 °C, 100 °C, and 170 °C, bracketing the likely ranges of reservoir and near surface temperatures of the thermal waters and groundwaters (Figure 9).
Two groups are clearly distinguishable: Group 1 includes nine lower temperature and four higher temperature thermal CO2-rich springs and Group 2 consisting of 14 higher temperature and one lower temperature thermal CO2-rich springs. Interestingly, the springs of Group 1 are located on the periphery of the study area, whereas the springs of Group 2 are found in the central part of the study area.
Group 1 waters fall into the kaolinite stability field at 25 °C, but more closely reflect the coexistence of gibbsite, kaolinite, muscovite and Ca-, Mg-, K-montmorillonite phases at 100 °C. Similarly, Group 2 water compositions most closely reflect coexistence of multiple silicate phases at 100 °C (cf. 25 °C or 170 °C) consistent with saturation states calculated from the chemical geothermometers. Thus, to a large exent, the mineral assemblage kaolinite-muscovite-Ca-, Mg-, Na-, and K-montmorillonite influences the chemical composition of both the higher and lower temperature thermal CO2-rich waters, whilst 100°C appears to be a highly plausible best reservoir temperature of the Choygan geothermal system.
In addition to temperature, the partial pressure of CO2 affects the precipitation and dissolution of different minerals. The solubility of CO2 in water decreases with increasing temperature and salinity but increases with pressure [47]. Calculations of saturation indices were therefore performed at the inferred reservoir temperature (95 °C) and at different CO2 pressures to demonstrate the influence of pCO2 (Figure 10), viz. as pCO2 increases the pH values and carbonate and iron mineral saturation indices states rapidly decrease, but the SI values of the silicate minerals are largely unaffected.
The multicomponent geothermometry approach for temperature estimations included statistical analyses of saturation indices the following minerals: muscovite, kaolinite, montmorillonite (Ca, Na, K, Mg), quartz, and chalcedony. These minerals were chosen as a potential mineral assemblage of Choygan geothermal system following on results of the saturation indices and equilibrium states and controlling of chemistry of water samples. The results of statistical analyses of saturation indices are shown in Table 4.
The computed mineral saturation indices (log(Q/K)) as a function of temperature indicate reservoir temperatures largely ranging from 40 °C (in Group II) to 80 °C (in Group I) with no convergence established for the shallow groundwater samples and significantly higher temperatures, 130 °C and 180 °C, determined for samples 16 and 19, respectively (Figure 11; Table 4).
Summarizing the saturation states of the selected minerals (Figure 8 and Figure 9) and the statistical analysis of the saturation indices (Figure 11), the reservoir temperature is estimated to be between 70 °C and 100 °C for the Choygan geothermal system. This is consistent with the quartz geothermometer derived reservoir temperature of 98 °C.
This estimated reservoir temperature at a depth of 3 km is consistent with the area’s high heat flow (84 MW/m2) and geothermal gradient (33.6 °C/km) [32], determined elsewhere by an isotope helium assessment in the Eastern Tuva territory [32]. Compared to the Eastern Tuva, in the Western Tuva, the average heat flow is much lower, ~45–50 mW/m2.

4.6. Isotopic Composition

Stable isotopes (δ18O and δ2H, Table 1) provide insight into the origin of the spring waters and processes in the study area. The δ18O and δ2H values of the higher temperature thermal CO2-richwaters range from −14.4% to −18.8% and from −130% to −142%, respectively, those of the lower temperature thermal CO2-rich waters range from −13.7% to −18.4% and from −127% to −141%, respectively, and those of the shallow groundwaterwere −16.8% and −133%, respectively. The isotopic composition of local precipitation was not measured but was estimated from the Online Isotope in Precipitation Calculator [48] to range from δ18O = −15.3%, δ2H = −117.0% at an elevation of 1601 m to δ18O = −18.5%, δ2H = −139.0% at an elevation of 3044 m (Figure 12).
The observed spring water isotopic compositions are broadly consistent with an origin from local precipitation with isotopic enrichment arising from evaporation [49,50]. The intercept of the trend line of the thermal water compositions with the modelled local meteoric water line (LMWL) is slightly more negative than that of modern meteoric water. This might reflect palaeoclimatic changes, or perhaps more likely, particularly given the observed correlation between spring elevation and δ18O, a relatively high elevation (1600 m to 3100 m; average 2600 m; see Figure 13) of the recharge area of part of the thermal water [1] and might, in part, explain the relatively low slope of the trend line of the thermal water compositions—although other processes, such as isotopic exchange arising from water–rock reactions within the geothermal reservoir [26] cannot be discounted.
The wide variation in the mineralogy of the host rocks and the P–T conditions of water–rock interaction in the transit area result in a complex modification of the waters’ chemical and isotopic compositions. Fissuring of the geological media causes a mixing of the waters that enter the discharge area from recharge areas with different altitudes (and consequently, flow-path distances).
δ13C data were used to investigate the source of carbon in the groundwater. The δ13C (total inorganic dissolved carbon) values observed in the high and low temperature thermal waters samples from springs 5, 10, 11, 13, 15, 18, 19 and 27 were found to range from −0.3 to +1% [51]. Despite the location of springs in a tectonically and seismically active zone with volcanic activity, the presence of large active faults and the presence of mantle helium, the isotopic composition of the CO2 is consistent with metamorphism of carbonate rocks at depth, although inputs from other sources cannot be ruled out.

4.7. Conceptual Circulation Model

The geological conditions, chemical, gas and isotopic compositions, as well as the estimations of the reservoir temperatures and depths, of the thermal and cold waters make it possible to propose a conceptual circulation model of the origin, the probable types of underground flow paths and the sources of CO2 in the groundwater of the Choygan natural spa (Figure 14). The appearance of thermal springs is controlled by two factors: the high heat flow in the region (84 MW/m2) and the presence of fracture zones that extend to great depths, allowing hot water and CO2 to quickly rise to the surface. Helium isotope studies of gas and water samples from Choygan (Sample 13) [32] indicate a major (35%) mantle helium component consistent with these elevated heat flows.
The Choygan mineral waters are associated with a large E–W striking fault in the Precambrian rocks (plagiogranites, diorites and granodiorites) intruded by Paleozoic granites and diorites. The isotopic composition of these waters reflects their meteoric origin as well as evaporative processes and perhaps also isotopic exchange during water–rock reactions.
Atmospheric precipitation having ambient surface temperatures infiltrates the ground presumably at high altitudes, between about 1600 m and 3000 m (cf. Topographer’s Peak, height of 3044 m above sea level, see Figure 1) and percolates, including through faults and other higher permeability structures into the hydrogeological system, where it reacts with primary aluminosilicate minerals that are not in equilibrium with the waters. These reactions result in non-stoichiometric dissolution, particularly silicate minerals inplagiogranites, diorites, schists andgneiss. The water reaches saturation with respect to kaolinite and montmorillonite and carbonate minerals are precipitated, with a concomitant net increase in Na, K, Ca, Mg and TDS. Palaeozoic metamorphics, particularly including highly faulted and fractured marbles and limestones may be the reservoir units supplying CO2 for the Choygan thermal springs. The reservoir temperature of water reaches up to approximately 100 °C at a depth of nearly 3 km.
After heating at depth, water rises via major faults toward the surface, accompanied by mixing with cooler, variably more oxidizing groundwaters, and ultimately discharging at the surface, with concomitant precipitation of carbonates (notably travertine), Fe(III)-O-H phases and admixture with air. Radon produced by radioactive decay of Ra-226 originating from uranium-enriched felsic rocks is incorporated into the waters relatively close to the discharge zones.

5. Conclusions

Thermal CO2-rich mineral waters in the Eastern Sayan Mountainous area in East Tuva (Russia) as exemplified by springs discharging around the Choygan mineral water natural spa, range in composition from higher temperature HCO3–Na–Ca type waters to lower temperature HCO3–Ca–Na type waters and broadly represent mixing between higher Na/Ca geothermal waters and higher Ca/Na near surface groundwaters. All springs emerge along faults, which have the potential to transmit waters rapidly from great depths.
Although mixing appears to be the dominant process controlling major element hydrogeochemistry, the non-conservative behaviour of CO2 and SO4 may reflect degassing and/or other processes. All the waters are ultimately of meteoric origin with stable isotopic signatures reflecting recharge from colder environments than that of the modern day discharge areas and isotopic fractionation during evaporative processes. Mixing processes result in water compositions that are strongly out of equilibrium with Na-K-Ca phases; accordingly, the most reliable estimates of geothermal reservoir temperatures are obtained from silica geothermometry and an analysis of temperature-dependent convergence of likely reservoir mineral saturation indices—these suggest reservoir temperatures of around 80 to 100 °C consistent with a previously observed geothermal gradient in the area of around 34 °C/km and a reservoir depth of approximately 3 km.
Future research on determining the isotopic composition of local surface waters (rivers, precipitation, shallow groundwater) as well as more extensive measurements of δ13C and δ18O are recommended to provide a better understanding of the origin of variable CO2 concentraions, and in particular to better discriminated between degassing, oxidation and mixing processes in controlling the chemical compositions of these thermal waters.

Author Contributions

The study was designed and conceived by Y.K. and N.G.; A.S. carried out the field work, collected the water and gas samples, undertook data analysis and was the primary author of all sections of the paper, with the exception of the “Isotopic compositions” section, which was primarily written by I.T.; laboratory analyses were carried out by A.K.; D.P. contributed particularly to the development of the sections “Geothermometers” and “Mineral saturation states”; I.T. wrote the section “Isotopic composition”. All authors contributed to the writing and review of the final manuscript.

Acknowledgments

Yulia Kopylova and Albina Khvaschevskaya acknowledge financial support from the Russian Government (grant No. 14, Z50.31.0012/03.19.2014) in conducting the laboratory studies. Assistance in the publication of the manuscript was provided by Tomsk Polytechnic University within the framework of TPU CEP-RIO-52/2017. We thank three anonymous reviewers for their detailed comments (including the suggestion to construct and apply Figure 13), which have enabled us to considerably improve the initially submitted manuscript.

Conflicts of Interest

The authors declare no conflicts of interest.

References

  1. Sharifi, R.; Moore, F.; Mohammadi, Z.; Keshavarzi, B. Estimation of deepwater temperature and hydrogeochemistry of springs in the Takab geothermal field, West Azerbaijan, Iran. Environ. Monit. Assess. 2016, 188, 75. [Google Scholar] [CrossRef] [PubMed]
  2. Afsin, M.; Allen, D.M.; Kirste, D.; Durukan, U.G.; Gurel, A.; Oruc, O. Mixing processes in hydrothermal spring systems and implications for interpreting geochemical data: A case study in the Cappadocia region of Turkey. Hydrogeol. J. 2014, 22, 7–23. [Google Scholar] [CrossRef]
  3. Alcicek, H.; Bulbul, A.; Alcicek, M.C. Hydrogeochemistry of the thermal waters from the Yenice Geothermal Field (Denizli Basin, Southwestern Anatolia, Turkey). J. Volcanol. Geotherm. Res. 2016, 309, 118–138. [Google Scholar] [CrossRef]
  4. Mohammadi, Z.; Parizi, H.S. Hydrogeochemistry and geothermometry of the Jowshan thermal springs, Central Iran. Geochem. Int. 2013, 51, 994–1004. [Google Scholar] [CrossRef]
  5. Todorović, M.; Marina, J.Š.; Ćuk, J.A.; Šišović, J. Mineral and Thermal Waters of Serbia: Multivariate Statistical Approach to Hydrochemical Characterization. Environ. Earth Sci. 2015, 81–95. [Google Scholar] [CrossRef]
  6. Pantic, T.P.; Birke, M.; Petrovic, B.; Nikolov, J.; Dragisic, V.; Zivanovic, V. Hydrogeochemistry of thermal groundwaters in the Serbian crystalline core region. J. Geochem. Explor. 2015, 159, 101–114. [Google Scholar] [CrossRef]
  7. Andolssi, M.; Alyahyaoui, S.; Makni, J.; Charef, A.; Zouari, H.; Tarki, M.; Challouf, B. Integrated study of surface and subsurface data for prospecting hydrogeothermal basins of hot water spring Ain El Hammam: Case of Utique region basin (extreme north of Tunisia). Arab. J. Geosci. 2015, 8, 8879–8897. [Google Scholar] [CrossRef]
  8. Brahim, B.; Makni, F.J.; Bouri, S.; Ben Dhia, H. Evaluation of temperature and mixing process of water in deep and shallow aquifers in the Southwestern Tunisia: Case of Djerid Region. Arab. J Sci. Eng. 2014, 39, 5677–5689. [Google Scholar] [CrossRef]
  9. Pandarinath, K.; Domínguez-Domínguez, H. Evaluation of the solute geothermometry of thermal springs and drilled wells of La Primavera (Cerritos Colorados) geothermal field, Mexico: A geochemometrics approach. J. South Am. Earth Sci. 2015, 62, 109–124. [Google Scholar] [CrossRef]
  10. Wurl, J.; Mendez Rodriguez, L.C.; Cassassuce, F.; Martinez Gutierrez, G.; Ramos Velazquez, E. Geothermal water in the San Juan Bautista Londo aquifer, BCS, Mexico. Proc. Earth Planet. Sci. 2013, 7, 900–903. [Google Scholar] [CrossRef]
  11. Guo, Q.; Liu, M.; Li, J.; Zhang, X.; Wang, Y. Acid hot springs discharged from the Rehai hydrothermal system of the Tengchong volcanic area (China): Formed via magmatic fluid absorption or geothermal steam heating? Bull. Volcanol. 2014, 76, 868. [Google Scholar] [CrossRef]
  12. Xiangquan, L.; Xinwei, H.; Zhichao, Z.; Lingxia, L. Geochemical characterization and origins of the thermal springs in southern Gaoligong Mountains, China. Environ. Earth Sci. 2014, 72, 3089–3098. [Google Scholar] [CrossRef]
  13. Koh, Y.-K.; Choi, B.-Y.; Yun, S.-T.; Hyeon-Su, C.C.; Mayer, B.; Ryoo, S.-W. Origin and evolution of two contrasting thermal groundwaters (CO2-rich and alkaline) in the Jungwon area, South Korea: Hydrochemical and isotopic evidence. J. Volcanol. Geotherm. Res. 2008, 178, 777–786. [Google Scholar] [CrossRef]
  14. Choi, H.-S.; Yun, S.-T.; Koh, Y.-K.; Mayer, B.; Park, S.-S.; Hutcheon, I. Geochemical behavior of rare earth elements during the evolution of CO2-rich groundwater: A study from the Kangwon district, South Korea. Chem. Geol. 2009, 262, 318–327. [Google Scholar] [CrossRef]
  15. Choi, B.Y.; Yun, S.T.; Kim, K.H.; Choi, H.S.; Chae, G.T.; Lee, P.K. Geochemical modeling of CO2-water–rock interactions for two different hydrochemical types of CO2-rich springs in Kangwon District, Korea. J. Geochem. Explor. 2014, 144, 49–62. [Google Scholar] [CrossRef]
  16. Marques, J.M.; Monteiro Santos, F.A.; Graça, R.C.; Castro, R.; Aires-Barros, L.; Mendes Victor, L.A. A geochemical and geophysical approach to derive a conceptual circulation model of CO2-rich mineral waters: A case study of Vilarelho da Raia, northern Portugal. J. Hydrogeol. 2001, 9, 584–596. [Google Scholar] [CrossRef]
  17. Cruz, J.V.; Freire, P.; Costa, A. Mineral waters characterization in the Azores archipelago (Portugal). J. Volcanol. Geotherm. Res. 2010, 190, 353–364. [Google Scholar] [CrossRef]
  18. Corral, M.M.; Galindo, E.; Ontiveros, C.; Munoz, J.A.D. Hydrogeochemical areas as background for specific mineral and thermal waters of Spain. Environ. Earth Sci. 2015, 73, 2683–2697. [Google Scholar] [CrossRef]
  19. Molli, G.; Doveri, M.; Manzella, A.; Bonin, L.; Botti, F.; Menichini, M.; Montanari, D.; Trumpy, E.; Ungari, A.; Vaselli, L. Surface-subsurface structural architecture and groundwater flow of the EquiTerme hydrothermal area, northern Tuscany Italy. Ital. J. Geosci. 2015, 134, 442–457. [Google Scholar] [CrossRef]
  20. Dewandel, B.; Alazard, M.; Lachassagne, P.; Bailly-Comte, V.; Couëffé, R.; Grataloup, S.; Ladouche, B.; Lanini, S.; Maréchal, J.C.; Wyns, R. Respective roles of the weathering profile and the tectonic fractures in the structure and functioning of crystalline thermomineral carbo-gaseous aquifers. J. Hydrol. 2017, 547, 690–707. [Google Scholar] [CrossRef]
  21. Maréchal, J.C.; Lachassagne, P.; Ladouche, B.; Dewandel, B.; Lanini, S.; Le Strat, P.; Petelet-Giraud, E. Structure and hydrogeochemical functioning of a sparkling natural mineral water system determined using a multidisciplinary approach: A case study from southern France. Hydrogeol. J. 2014, 22, 47–68. [Google Scholar] [CrossRef]
  22. El-Fiky, A.A. Hydrogeochemistry and geothermometry of thermal groundwater from the Gulf of Suez Region, Egypt JKAU. Earth Sci. 2009, 20, 71–96. [Google Scholar]
  23. El-Rayes, A.E.; Arnous, M.O.; Aboulela, H.A. Hydrogeochemical and seismological exploration for geothermal resources in South Sinai, Egypt utilizing GIS and remote sensing. Arab. J. Geosci. 2015, 8, 5631–5647. [Google Scholar] [CrossRef]
  24. Chelnokov, G.; Kharitonova, N.; Bragin, I.; Chudaev, O. Geochemistry of mineral water and gases of the Razdolnoe Spa (Primorye, Far East of Russia). Appl. Geochem. 2015, 59, 147–154. [Google Scholar] [CrossRef]
  25. Zamana, L.V.; Askarov, S.A.; Borzenko, S.V.; Chudaev, O.V.; Bragin, I.V. Isotopes of sulfide and sulfate sulfur in nitrogen hot springs of the bauntov group (Baikal Rift Zone). Dokl. Earth Sci. 2010, 435, 1515–1517. (In Russian) [Google Scholar] [CrossRef]
  26. Kopylova, Y.G.; Guseva, N.V.; Khvashchevskaya, A.A.; Arakchaa, K.D. Geochemistry of carbon dioxide mineral waters of the Choigan natural complex (northeastern Tuva). Russ. Geol. Geophys. 2014, 55, 1295–1305. [Google Scholar] [CrossRef]
  27. Kopylova, Y.; Guseva, N.; Shestakova, A.; Khvaschevskaya, A.; Arakchaa, K. Dissolved gas composition of groundwater in the natural spa complex “Choygan mineral waters” (East Tuva). J. IOP Conf. Ser. Earth Environ. Sci. 2014, 21, 012022. [Google Scholar] [CrossRef]
  28. Kopylova, Y.G.; Guseva, N.V.; Shestakova, A.V.; Khvashchevskaya, A.A.; Arakchaa, K.D. Uranium and thorium behavior in groundwater of the natural spa area “Choygan mineral water” (East Tuva). J. IOP Conf. Ser. Earth Environ. Sci. 2015, 21, 012034. [Google Scholar] [CrossRef]
  29. Shestakova, A.V. Investigation of natural mineral waters of Choigan complex (Eastern Tyva). Problems of Geology and Subsurface Development. In Proceedings of the 18th International Symposium in Honour of Academician M. A. Usov, Tomsk, Russia, 7–11 April 2014; TPU Publishing House: Tomsk, Russia, 2014. [Google Scholar]
  30. Badminov, P.S.; Ivanov, A.V.; Pisarskii, B.I.; Orgilyanov, A.I. The Oka hydrothermal system, East Sayan Mountains. J. Volcanol. Seismol. 2013, 7, 265–276. (In Russian) [Google Scholar] [CrossRef]
  31. Shestakova, A.V.; Guseva, N.V. Calculation of deep temperatures of thermal waters in Eastern Tuva. Bull. Tomsk Polytech. Univ. Geo Assets Eng. 2018, 329, 25–36. (In Russian) [Google Scholar]
  32. Duchkov, A.; Rychkova, K.; Lebedev, V.; Kamensky, I.; Sokolova, L. Estimation of heat flow in Tuva from data on helium isotopes in thermal mineral springs. Russ. Geol. Geophys. 2010, 51, 264–276. [Google Scholar] [CrossRef]
  33. Gemici, U.; Tarcan, G. Hydrogeochemistry of the Hisarkoy geothermal area (Balikesir) Western Turkey. In Proceedings of the 12th International Symposium on Water-Rock Interaction, WRI-12, Kunming, China, 31 July–5 August 2007. [Google Scholar] [CrossRef]
  34. Weather Base. Weather in Orlik, Russia. Available online: http://www.weatherbase.com/weather/weather.php3?s=99992&cityname=Orlik%2C+Khabarovsk+Krai%2C+Russia&units= (accessed on 7 April 2018).
  35. Galimova, T.F.; Pashkova, A.G.; Povarintseva, S.A.; Perfiliev, V.V. State Geological Map of the Russian Federation; Scale 1: 1 Million (Third Generation); Angara-Yenisei Series; Sheet N-47; Cartographic Factory VSEGEI: St. Petersburg, Russia, 2012. (In Russian) [Google Scholar]
  36. Zuev, V. Portable field syringe degasser. In Multipurpose Hydrogeochemical Study in Connection with the Search for Mineral Resources and the Protection of Groundwater; TPU: Tomsk, Russia, 1993; pp. 185–186. (In Russian) [Google Scholar]
  37. Verma, S.P.; Pandarinath, K.; Santoyo, E. Sol Geo: A new computer program for solute geothermometers and its application to Mexican geothermal fields. J. Geotherm. 2008, 37, 597–621. [Google Scholar] [CrossRef]
  38. Bethke, C.M. Geochemical Reaction Modeling, Concepts and Applications; Oxford University Press: New York, NY, USA, 1996; 416p, ISBN 0195094751. [Google Scholar]
  39. Reed, M.H.; Spycher, N. Calculation of pH and mineral equilibria in hydrothermal waters with application to geothermometry and studies of boiling and dilution. Geochim. Cosmochim. Acta. 1984, 48, 1479–1492. [Google Scholar] [CrossRef]
  40. Spycher, N.; Peiffer, L.; Sonnenthal, E. GeoT User’s Guide, a Computer Program for Multicomponent Geothermometry and Geochemical Speciation; Lawrence Berkeley Natl. Lab.: Berkeley, CA, USA, 2014; pp. 1–38. [Google Scholar]
  41. Kralj, P. Rare Earth Elements in Thermal Water from the Sob-1 Well, MurskaSobota, NE Slovenia. Environ. Earth Sci. 2009, 59, 5–13. [Google Scholar] [CrossRef]
  42. Belhai, M.; Fujimitsu, Y.; Bouchareb-Haouchine, Z.F.; Iwanaga, T.; Noto, M.; Nishijima, J. Hydrogeochemical and isotope geochemical study of northwestern Algerian thermal waters. Arab. J. Geosci. 2016, 35, 271–287. [Google Scholar] [CrossRef]
  43. Lavrushin, V. Subsurface Fluids of the Greater Caucasus and Its Surrounding; GEOS: Moscow, Russia, 2012; Volume 599, p. 348. ISBN 978-5-89118-579-1. (In Russian) [Google Scholar]
  44. Bonotto, D.M. 222Rn, 220Rn and other dissolved gases in mineral waters of southeast Brazil. J. Environ. Radioact. 2014, 132, 21–30. [Google Scholar] [CrossRef] [PubMed]
  45. Shivakumara, B.C.; Chandrashekara, M.S.; Kavitha, E.; Paramesh, L. Studies on 226Ra and 222Rn concentration in drinking water of Mandya region, Karnataka State, India. J. Radiat. Res. Appl. Sci. 2014, 7, 491–498. [Google Scholar] [CrossRef]
  46. Giggenbach, W.F.; Werner, F. Geothermal solute equilibria. Derivation of Na-K-Mg-Ca geoindicators. Geochim. Cosmo. Acta 1988, 52, 2749–2765. [Google Scholar] [CrossRef]
  47. Kaszuba, J.; Yardley, B.; Andreani, M. Experimental perspectives of mineral dissolution and precipitation due to carbon dioxide-water–rock interactions. Rev. Mineral. Geochem. 2013, 77, 153–188. [Google Scholar] [CrossRef]
  48. The Online Isotopes in Precipitation Calculator. Available online: http://wateriso.utah.edu/waterisotopes/pages/data_access/oipc.html (accessed on 7 April 2018).
  49. Bowen, G.J.; Wassenaar, L.I.; Hobson, K.A. Global application of stable hydrogen and oxygen isotopes to wildlife forensics. Oecologia 2005, 143, 337–348. [Google Scholar] [CrossRef] [PubMed]
  50. Başaran, C.; Gökgöz, A. Hydrochemical and isotopic properties of Heybeli geothermal area (Afyon, Turkey). Arab. J. Geosci. 2016, 9, 586. [Google Scholar] [CrossRef]
  51. Orgilyanov, A.; Kryukova, I.; Badminov, P. Medical carbonated mineral water of Mongolian-Baikal region. Spa Base Nat. Ther. Areas Tuva Adjac. Reg. 2015, 2, 103–108. (In Russian) [Google Scholar]
Figure 1. Location and geological setting of the study area (the square indicates the sampling field; for the sampling point locations, see Figure 2) [35].
Figure 1. Location and geological setting of the study area (the square indicates the sampling field; for the sampling point locations, see Figure 2) [35].
Water 10 00729 g001
Figure 2. Location of sampling points in the Сhoygan field. Temperatures (°C) of spring water given in parentheses. Red closed circle—higher temperature thermal CO2-rich waters, blue close square—lower temperature thermal CO2-rich waters, green triangle—shallow groundwater; an open yellow circle shows CO2 > 35 vol.%; an open purple diamond—SO4 > 0.4 meq/L. Grouping of samples based on a geographical location on study area:white dots—group of samples 4, 5, 6, 7, 8, 9, 9a, 11, 12, 13; black dots—group of samples 16, 17, 19, 20, 21a, 22, 23, 24, 25, 26, 27, 28, 29, 29a, 30, 31, 32; white dash—group of samples 1, 2, 3, 10, 15; black dash—spring 33.
Figure 2. Location of sampling points in the Сhoygan field. Temperatures (°C) of spring water given in parentheses. Red closed circle—higher temperature thermal CO2-rich waters, blue close square—lower temperature thermal CO2-rich waters, green triangle—shallow groundwater; an open yellow circle shows CO2 > 35 vol.%; an open purple diamond—SO4 > 0.4 meq/L. Grouping of samples based on a geographical location on study area:white dots—group of samples 4, 5, 6, 7, 8, 9, 9a, 11, 12, 13; black dots—group of samples 16, 17, 19, 20, 21a, 22, 23, 24, 25, 26, 27, 28, 29, 29a, 30, 31, 32; white dash—group of samples 1, 2, 3, 10, 15; black dash—spring 33.
Water 10 00729 g002
Figure 3. Piper diagram of spring water compositions in the study area (data for 2011 [26], 2013 this study). Open symbols are samples with SO4 > 0.4 meq/L.
Figure 3. Piper diagram of spring water compositions in the study area (data for 2011 [26], 2013 this study). Open symbols are samples with SO4 > 0.4 meq/L.
Water 10 00729 g003
Figure 4. (a) Ca2+, (b) Na+, (c) Mg2+, (d) K+, (e) HCO3, and (f) SO42− (in meq/L) vs. Cl (in meq/L) binary diagrams for the Choygan spring waters. The symbols are the same as for Figure 3.
Figure 4. (a) Ca2+, (b) Na+, (c) Mg2+, (d) K+, (e) HCO3, and (f) SO42− (in meq/L) vs. Cl (in meq/L) binary diagrams for the Choygan spring waters. The symbols are the same as for Figure 3.
Water 10 00729 g004
Figure 5. Gas composition of groundwatersfrom the Choygan springs.
Figure 5. Gas composition of groundwatersfrom the Choygan springs.
Water 10 00729 g005
Figure 6. (a) CO2 (vol.%) and (b) N2/O2 ratio in gas composition of the studied waters vs. temperature (°C). Symbols are the same as for Figure 3. Dashed line is the N2/O2 ratio in the air.
Figure 6. (a) CO2 (vol.%) and (b) N2/O2 ratio in gas composition of the studied waters vs. temperature (°C). Symbols are the same as for Figure 3. Dashed line is the N2/O2 ratio in the air.
Water 10 00729 g006
Figure 7. Giggenbach (Na–K–Mg1/2) diagram [46] of the Choygan spring waters composition. Symbols are the same as for Figure 3.
Figure 7. Giggenbach (Na–K–Mg1/2) diagram [46] of the Choygan spring waters composition. Symbols are the same as for Figure 3.
Water 10 00729 g007
Figure 8. Changes in the saturation indices of selected minerals as a function of temperature: (a) Sample 6; (b) Sample 8; (c) Sample 12 and (d) Sample 15.
Figure 8. Changes in the saturation indices of selected minerals as a function of temperature: (a) Sample 6; (b) Sample 8; (c) Sample 12 and (d) Sample 15.
Water 10 00729 g008
Figure 9. [Mz+]/[H+]z – [H4SiO4] activity-activity diagrams at 25 °C, 100 °C, and 170 °C for (a) Ca; (b) Mg; (c) Na; (d) K. Symbols are as for Figure 3.
Figure 9. [Mz+]/[H+]z – [H4SiO4] activity-activity diagrams at 25 °C, 100 °C, and 170 °C for (a) Ca; (b) Mg; (c) Na; (d) K. Symbols are as for Figure 3.
Water 10 00729 g009
Figure 10. Saturation indices of the selected minerals as a function of partial pressure of CO2 (Group I higher temperature thermal CO2-rich water: Sample 8).
Figure 10. Saturation indices of the selected minerals as a function of partial pressure of CO2 (Group I higher temperature thermal CO2-rich water: Sample 8).
Water 10 00729 g010
Figure 11. Statistical analyses of saturation indices: median, mean standard deviation (SDEV) and mean root square error (RMSE) of absolute log(Q/K) values as a function of model reservoir temperature (Group I higher temperature thermal CO2-rich water: Sample 8). The reservoir temperature is inferred from the temperature at which the value of the median is a minimum. Group I higher temperature thermal CO2-rich springs: (a) Sample 6; (b) Sample 12; Group II lower temperature thermal CO2-rich springs; (c) Sample 28; (d) Sample 2; (e) Sample 4; Group III shallow groundwater; (f) Sample 29.
Figure 11. Statistical analyses of saturation indices: median, mean standard deviation (SDEV) and mean root square error (RMSE) of absolute log(Q/K) values as a function of model reservoir temperature (Group I higher temperature thermal CO2-rich water: Sample 8). The reservoir temperature is inferred from the temperature at which the value of the median is a minimum. Group I higher temperature thermal CO2-rich springs: (a) Sample 6; (b) Sample 12; Group II lower temperature thermal CO2-rich springs; (c) Sample 28; (d) Sample 2; (e) Sample 4; Group III shallow groundwater; (f) Sample 29.
Water 10 00729 g011
Figure 12. Stable isotopic (δ18O, δ2H) composition of Group I (higher temperature thermal CO2-rich waters) (red circles), Group II (lower temperature thermal CO2-rich waters) (blue squares) and Group III (shallow groundwater) (green triangles) waters compared to that of modelled atmospheric precipitation (pink circles)—monthly (small symbols) and annual (large symbol) along the indicated local meteoric water line (LMWL, equation on diagram). In the magnified inset, the blue line shows the trend line through all the thermal water samples; the red line that through the groundwater and thermal waters (numbers indicate sample numbers) with the maximum shift in δ18O from the LMWL, the slopes of these lines being 2.9 and 1.7, respectively. The isotopic composition of precipitation was calculated using the Online Isotope in Precipitation Calculator [48].
Figure 12. Stable isotopic (δ18O, δ2H) composition of Group I (higher temperature thermal CO2-rich waters) (red circles), Group II (lower temperature thermal CO2-rich waters) (blue squares) and Group III (shallow groundwater) (green triangles) waters compared to that of modelled atmospheric precipitation (pink circles)—monthly (small symbols) and annual (large symbol) along the indicated local meteoric water line (LMWL, equation on diagram). In the magnified inset, the blue line shows the trend line through all the thermal water samples; the red line that through the groundwater and thermal waters (numbers indicate sample numbers) with the maximum shift in δ18O from the LMWL, the slopes of these lines being 2.9 and 1.7, respectively. The isotopic composition of precipitation was calculated using the Online Isotope in Precipitation Calculator [48].
Water 10 00729 g012
Figure 13. Estimating minimum recharge altitudes of Choygan spring waters. The regression line shows the relationship between altitude and modelled [48] mean δ18O of local precipitation. This regression line may be used to estimate an altitude of local recharge from the measured δ18O of the Choygan spring waters (red circles = higher temperature thermal waters (Group I); blue squares = lower temperature thermal waters (Group II), purple diamond = average spring water composition). Inferred enrichment of δ18O in recharge waters due to evaporative processes means that the values obtained by this method represent minimum recharge altitude estimates.
Figure 13. Estimating minimum recharge altitudes of Choygan spring waters. The regression line shows the relationship between altitude and modelled [48] mean δ18O of local precipitation. This regression line may be used to estimate an altitude of local recharge from the measured δ18O of the Choygan spring waters (red circles = higher temperature thermal waters (Group I); blue squares = lower temperature thermal waters (Group II), purple diamond = average spring water composition). Inferred enrichment of δ18O in recharge waters due to evaporative processes means that the values obtained by this method represent minimum recharge altitude estimates.
Water 10 00729 g013
Figure 14. Conceptual model for the geochemical evolution of CO2-rich springs in the Choygan study area. 1—Rainfall; 2—Groundwater flow; 3—Thermal water flow; 4—Convection; 5—CO2 flow; 6—Spring; 7—Fault; 8—Travertine; 9—Marbles and limestones; and 10—Granodiorites, plagiogranites and diorites.
Figure 14. Conceptual model for the geochemical evolution of CO2-rich springs in the Choygan study area. 1—Rainfall; 2—Groundwater flow; 3—Thermal water flow; 4—Convection; 5—CO2 flow; 6—Spring; 7—Fault; 8—Travertine; 9—Marbles and limestones; and 10—Granodiorites, plagiogranites and diorites.
Water 10 00729 g014
Table 1. Chemical, gas and isotopic compositions of Choygan spring waters. For each location number, the top line refers to sample collected in 2013 (this study) and the bottom line for samples collected in 2011 [26] (n.d. indicates no data).
Table 1. Chemical, gas and isotopic compositions of Choygan spring waters. For each location number, the top line refers to sample collected in 2013 (this study) and the bottom line for samples collected in 2011 [26] (n.d. indicates no data).
Loc. NoT (°C)pHTDS aEhHCO3SO42−ClCa2+Mg2+Na+K+FeSiO2CO2 bFO2N2CO2N2/O2222Rn cδ18Oδ2H
(mg/L)(mV)(mg/L)(mg/L)(mg/L)(mg/L)(mg/L)(mg/L)(mg/L)(mg/L)(mg/L)(mg/L)(mg/L)(vol.%)(vol.%)(vol.%)(mol/mol)(Bq/L)(%SMOW d)(%SMOW d)
Higher temperature (T > 23 °C) thermal CO2-rich waters
123 e6.222886216464.53319633328481.55011330.3n.d.n.d.n.d.n.d.n.d.-−14.4−132
25 f6.520974615375.41918027282462.5533561.1n.d.n.d.n.d.n.d.123n.d.n.d.
630 e6.32332−9016956.22521645296492.1507440.21558273.995−17.3−138
31 f6.42420341757121727625287461.7464071.1n.d.n.d.n.d.n.d.370n.d.n.d.
724 e6.41863−15013506.21915633256430.7438000.11662223.9n.d.−15.2−130
21 f6.42368−8617329.11627625280420.3383710.9n.d.n.d.n.d.n.d.204n.d.n.d.
825 e6.32328−17016967.51626524280401.149277n.d.1458284.1n.d.n.d.n.d.
22 f6.32353−6816967.51626524280400.2412771.0n.d.n.d.n.d.n.d.360n.d.n.d.
927 e6.22180−2415827.02221038274480.5453710.31765183.8n.d.n.d.n.d.
28 f6.82302121692111829025251400.5433520.9n.d.n.d.n.d.n.d.947n.d.n.d.
9a f25 f6.921362215405.5271922929547n.d.n.d.4090.31048424.884−15.9−134
1030 e6.525702118607.93221645358521.3554600.793755n.d.n.d.n.d.n.d.
31 f6.52712241970103428434348541.6504961.2n.d.n.d.n.d.n.d.64n.d.n.d.
1132 e6.323182916716.72520832322530.4477461.11252364.3n.d.−18.6−143
29 f6.52413861732102126626303450.4443491.0n.d.n.d.n.d.n.d.310n.d.n.d.
1239 e6.32525−5418246.82924031342531.2506910.51558274.8n.d.−18.4−142
37 f6.625155518308.52327530312501.3543331.2n.d.n.d.n.d.n.d.139n.d.n.d.
1337 e6.325862018705.72824037350561.3516131.1n.d.n.d.n.d.n.d.n.d.−17.3−139
39 f6.625112018188.72626230317491.4533261.2n.d.n.d.n.d.n.d.112n.d.n.d.
1525 e6.42284381647192026326270391.142484n.d.1143463.9n.d.n.d.n.d.
27 f6.42265511647192026326270390.9534840.9n.d.n.d.n.d.n.d.106n.d.n.d.
1627 e6.12151−341540192320826293423.2419150.9n.d.n.d.n.d.n.d.n.d.−17.8−140
30 f6.52222161598252024425277401.6414081.0n.d.n.d.n.d.n.d.90n.d.n.d.
1722 e6.11545701085451419024163240.12610740.31662243.9n.d.−18.7−142
20 f6.219081561232537.326117.1140200.1264620.6n.d.n.d.n.d.n.d.74n.d.n.d.
1931 e6.421401421530361927031220354.4456080.61460264.3n.d.−18.5−142
33 f6.819281421464441623625231425.4383610.9n.d.n.d.n.d.n.d.8.51n.d.n.d.
20 f28 f6.6n.d.142n.d.n.d.n.d.n.d.n.d.n.d.n.d.n.d.n.d.n.d.n.d.1769144.1n.d.n.d.n.d.
22 f27 f6.3n.d.108n.d.n.d.n.d.n.d.n.d.n.d.n.d.n.d.n.d.n.d.n.d.941504.64n.d.n.d.
3127 e6.426471371910212828837319450.1437360.4n.d.n.d.n.d.n.d.n.d.−18.8−142
27 f6.5197613717578.81626228280410.3463800.9n.d.n.d.n.d.n.d.58n.d.n.d.
32 e27 e6.52052129146423231903128239n.d.n.d.5650.21770134.265−17.9−139
Lower temperature (T > 23 °C) thermal CO2-rich waters
218 e6.210941698005.59.213221107190.1339720.3n.d.n.d.n.d.n.d.480n.d.n.d.
21 f6.112221958968.29.514516139230.0303880.6n.d.n.d.n.d.n.d.655n.d.n.d.
318 e6.312351909065.38.915423117200.01337600.11143463.9n.d.−16.0−135
21 f6.212561889277.88.713115156220273920.6n.d.n.d.n.d.n.d.520n.d.n.d.
412 e5.96071884504.558217417.40.12114880.1728654.0n.d.−13.7−127
12 f5.87111805126.94.21208.2388.60.1183140.2n.d.n.d.n.d.n.d.71n.d.n.d.
514 e6.210182007444.81110822111180.2289460.31456304.0n.d.n.d.n.d.
17 f6.011372477207.97.31331196180.2245280.4n.d.n.d.n.d.n.d.126n.d.n.d.
21a13 e6.21037236712566.219012538.70.1198720.31039513.9n.d.n.d.n.d.
15 f6.21426224824633.62251363100.1183700.4n.d.n.d.n.d.n.d.51n.d.n.d.
2316 e6.51373230952599.521814104160.122253n.d.1455313.9n.d.−18.2−140
17 f6.71100182952597.221814104160.1222530.6n.d.n.d.n.d.n.d.122n.d.n.d.
2416 e6.51158188800519.51811885150.1225530.51560254.0n.d.n.d.n.d.
17 f6.61213140936596.121114107160212090.7n.d.n.d.n.d.n.d.n.d.n.d.n.d.
2516 e6.41533195111011182201813620n.d.n.d.6000.21051395.1n.d.−17.3−137
16 f6.7150819910985814.825520108250.3253520.5n.d.n.d.n.d.n.d.93n.d.n.d.
2620 e6.217181831220311922024178260.13312350.2n.d.n.d.n.d.n.d.n.d.−18.4−140
23 f6.4173721713543112.224921194250.1365200.6n.d.n.d.n.d.n.d.115n.d.n.d.
2721 e6.320641691490242027031203270.13012520.3732614.6400n.d.n.d.
22 f6.3161124011902311.321719174220.1307880.6n.d.n.d.n.d.n.d.n.d.n.d.n.d.
2813 e6.31204180840526.31901884130.1236880.21866163.7n.d.n.d.n.d.
15 f6.315202161037675.425014100150.1233080.4n.d.n.d.n.d.n.d.354n.d.n.d.
3011 e6.715462281110399.72602492110.1201880.11870123.853−17.9−141
13 f6.815212491001446.822716106150.1222280.3n.d.n.d.n.d.n.d.53n.d.n.d.
Shallow groundwaters
2912 e7.8289169200154.4567.33.03.40.11.1410.1n.d.n.d.n.d.n.d.n.d.n.d.n.d.
13 f7.82942492132.60.3760.80.40.50.21.05.5< 0.1n.d.n.d.n.d.n.d.62n.d.n.d.
29a f14 f6.6n.d.216n.d.n.d.n.d.n.d.n.d.n.d.n.d.n.d.n.d.n.d.n.d.1665194.162.n.d.n.d.
337.3 e8.33512242595.42.2764.92.02.00.115n.d.0.119756.03.9n.d.−16.8−133
n.d. f8.3453224319230.5987.72.22.40.1184.4< 0.1n.d.n.d.n.d.n.d.n.d.n.d.n.d.
a Total Dissolved Solids; b volume of dissolved CO2 per liter of water;c 222Rn data from [26]; d Standard Mean Ocean Water; e data for samples collected in 2013 this study; f data for samples collected in 2011 from [26].
Table 2. Geothermometry results for the Choygan spring waters (°C) (n.d. indicates no data).
Table 2. Geothermometry results for the Choygan spring waters (°C) (n.d. indicates no data).
SampleMeasured Spring WaterChalcedony aQuartz bNa-K-Ca cNa-K dNa-K eNa-K f
Group I (Higher temperature thermal CO2-rich waters)
122.672103117233262237
629.572103114250276254
723.86596115252277255
825.371101100230260234
9276797112257281260
9a25n.d.n.d.115245272248
1030.277107118231261235
1131.569100119249275253
1238.572102116241269245
1336.872103118245272249
1524.9649499231261235
16276293108230260234
1722.4427484235264240
1930.9679891243270247
2028.2n.d.n.d.n.d.n.d.n.d.n.d.
2227.3n.d.n.d.n.d.n.d.n.d.n.d.
3127.46495104228258233
3226.6n.d.n.d.108227258232
Group II (Lower temperature thermal CO2-rich waters)
217.5528379262285264
318.4528479255280258
411.5346651260283262
513.5457782244271248
21a13286142250276253
2316.3356862236265240
2416.1346762258282261
2516.4n.d.n.d.73235264239
2620.2528484233262237
2721.4477982221253226
2812.7366958242270246
3010.9316348210244215
Group III (Shallow groundwaters)
2912.3n.d.n.d.250842629760
29a13.7n.d.n.d.n.d.n.d.n.d.n.d.
337.32153217217585686
a Fournier (1977); b Fournier and Potter (1982); c Fournier and Truesdell (1973); d Truesdell (1976); e Fournier (1979); f Arnorsson et al. (1983b) [37].
Table 3. Saturation indices, calculated at the measured discharge temperature, of selected minerals.
Table 3. Saturation indices, calculated at the measured discharge temperature, of selected minerals.
NoAlbiteMuscoviteKaoliniteK−FeldsparGypsumAnhydriteCalciteAragoniteDolomiteQuartzChalcedony
Group I (Higher temperature thermal CO2-rich waters)
1−0.782.982.121.17−2.91−3.06−0.13−0.290.130.630.36
60.725.693.862.73−2.76−2.840.06−0.100.610.920.65
70.906.144.132.91−2.83−2.960.00−0.170.480.920.65
81.277.405.063.21−3.04−2.700.11−0.050.350.910.64
90.665.864.052.69−2.69−2.80−0.11−0.280.190.910.64
9a1.228.135.063.21−2.86−2.940.750.581.850.840.57
100.654.843.152.59−2.69−2.740.360.201.210.920.65
110.164.202.842.17−2.73−2.780.05−0.120.430.880.60
120.595.133.462.57−2.69−2.680.13−0.030.530.920.65
130.123.902.632.11−2.77−2.780.14−0.030.620.890.62
150.866.334.282.81−2.20−2.300.270.110.710.860.58
161.189.836.753.11−2.19−2.350.00−0.150.520.490.22
17−0.464.403.331.50−1.86−1.97−0.44−0.60−0.620.690.42
191.8611.477.683.77−1.83−1.960.450.311.40.460.2
311.256.984.683.19−2.17−2.140.350.190.980.920.65
32n.d.n.d.n.d.n.d.−2.22n.d.0.240.070.840.850.58
Group II (Lower temperature thermal CO2-rich waters)
2−1.002.742.221.04−2.840.92−3.02−0.69−0.700.730.46
3−0.832.952.281.19−2.83−2.41−3.00−0.44−0.220.730.46
40.967.996.192.99−3.01−4.92−3.26−1.58−2.381.070.80
5−0.276.334.631.72−2.96−2.69−3.19−0.80−0.820.480.21
21a−1.273.472.930.74−1.72−2.01−1.92−0.61−0.940.570.30
23−0.504.683.381.46−1.690.03−1.86−0.090.130.550.28
24−0.613.942.901.42−1.800.42−1.97−0.150.160.660.39
25n.d.n.d.n.d.n.d.−2.43−1.240.07−0.090.230.560.29
26−0.764.233.141.18−1.99−1.20−1.98−0.33−0.130.520.24
270.315.814.112.22−2.07−0.47−2.06−0.050.440.730.46
28−0.644.903.701.34−1.77−1.11−3.02−0.39−0.330.540.27
300.074.943.521.94−1.862.18−3.000.351.150.730.46
Group III (Shallow groundwaters)
29−5.17−0.22−0.33−2.29−2.59−2.790.520.361.30−0.73−1.00
33−5.92−3.08−2.41−3.12−2.94−3.181.241.082.44−0.75−1.02
Table 4. Statistical analyses of saturation indices: median, mean standard deviation (SDEV) and mean root square error (RMSE) of absolute log(Q/K) vs. temperature. The estimated temperatures are given by the minimum median of absolute log(Q/K) values.
Table 4. Statistical analyses of saturation indices: median, mean standard deviation (SDEV) and mean root square error (RMSE) of absolute log(Q/K) vs. temperature. The estimated temperatures are given by the minimum median of absolute log(Q/K) values.
NoStatistical ParameterTemperature (°C)
102030405060708090100110120130140150160170180190200
Group I (Higher temperature thermal CO2-rich waters)
1Median2.492.502.562.171.500.620.29 a0.571.201.902.473.053.724.375.005.455.896.306.707.09
MEAN2.252.352.352.021.430.780.370.591.181.762.302.823.313.784.234.655.065.455.836.20
SDEV0.931.161.321.261.010.700.350.440.590.821.071.331.581.822.062.292.512.732.933.13
RMSE2.292.462.522.231.630.970.470.681.241.822.392.933.453.944.414.875.305.726.126.51
6Median3.784.063.783.042.211.410.520.380.561.151.812.322.833.353.844.294.715.115.045.34
MEAN3.363.663.432.772.031.320.670.370.651.211.722.202.643.063.443.804.134.454.745.02
SDEV1.601.961.971.701.330.950.630.290.420.550.750.971.181.391.581.761.932.092.242.38
RMSE3.493.893.703.042.261.520.850.430.721.251.772.262.723.153.563.934.294.624.935.22
7Median4.724.784.153.292.431.610.850.26 a0.520.971.512.142.613.053.513.964.384.784.855.16
MEAN4.274.383.823.052.281.560.920.440.561.001.522.002.442.853.243.603.934.244.544.82
SDEV2.232.482.281.931.521.140.780.460.320.490.640.831.031.231.411.591.761.922.072.20
RMSE4.524.714.163.372.561.801.110.590.601.051.552.032.492.923.323.704.054.384.694.98
8Median4.795.294.703.853.002.201.450.730.34 a0.500.961.462.002.442.852.853.233.653.934.25
MEAN4.344.844.313.532.772.061.410.810.460.590.981.461.912.322.702.703.063.403.714.01
SDEV2.232.732.552.201.811.421.050.740.430.330.500.620.780.961.141.141.321.481.631.78
RMSE4.585.204.693.883.092.341.641.020.580.631.041.491.942.362.762.763.133.483.814.12
9Median2.603.143.363.022.311.520.770.30 a0.520.761.181.832.402.833.243.634.024.394.624.93
MEAN2.332.772.992.722.151.520.960.520.550.821.291.742.152.532.893.233.543.834.114.37
SDEV1.111.641.991.961.641.270.880.550.240.490.590.770.961.161.351.531.701.862.012.15
RMSE2.563.173.533.292.651.941.270.740.600.941.411.882.342.763.163.543.894.224.534.82
9aMedian5.525.154.193.232.331.490.680.30 a0.591.261.952.693.363.974.444.905.335.756.146.53
MEAN4.934.653.802.942.151.410.750.380.681.261.812.342.833.303.754.174.584.975.345.70
SDEV2.632.632.251.861.431.030.670.340.380.520.740.991.241.481.721.952.162.372.572.77
RMSE5.244.994.133.242.401.620.930.470.731.281.842.392.913.403.874.324.755.175.565.95
10Median0.840.760.430.310.240.410.29 a0.350.511.061.592.232.723.193.634.234.815.385.866.24
MEAN1.120.850.500.340.430.680.570.460.631.011.532.022.502.953.393.814.214.604.985.35
SDEV0.620.470.350.260.560.720.710.420.350.590.730.921.141.361.581.802.012.222.422.62
RMSE1.200.900.570.400.650.910.830.570.671.101.592.092.583.053.513.964.384.805.205.59
11Median2.312.121.871.511.020.580.32 a0.32 a0.510.721.061.542.012.453.013.433.834.224.705.23
MEAN2.392.111.741.300.830.600.520.590.620.770.921.371.832.272.703.113.513.894.274.63
SDEV1.231.100.950.800.640.320.570.710.540.270.640.720.830.981.161.341.541.731.922.11
RMSE2.522.231.861.430.970.640.710.850.760.771.051.451.882.332.763.193.604.004.404.78
12Median2.483.063.302.932.191.400.560.39 a0.611.191.772.332.803.293.784.234.655.055.065.37
MEAN2.242.763.022.702.041.340.690.380.651.191.702.182.633.043.423.784.124.444.735.01
SDEV0.931.421.741.671.360.990.670.330.420.550.740.961.171.371.561.741.912.072.222.36
RMSE2.292.913.262.972.281.550.890.470.721.231.752.242.703.133.543.914.274.604.915.20
13Median2.041.841.591.230.740.610.21 a0.300.460.650.931.411.882.332.883.303.714.104.655.19
MEAN2.171.891.531.090.660.510.520.640.560.710.861.271.732.182.613.023.423.804.184.54
SDEV1.110.970.820.680.500.330.690.770.620.270.560.680.780.941.121.311.501.691.892.08
RMSE2.291.991.621.190.770.570.790.920.770.710.961.351.792.232.673.093.513.914.314.69
15Median3.453.322.982.542.011.430.840.31 a0.560.811.331.822.302.843.283.704.114.504.995.52
MEAN3.263.192.912.532.091.591.100.700.680.861.141.622.092.542.973.393.794.174.544.91
SDEV1.681.841.841.751.561.331.080.810.420.390.710.790.921.091.281.481.671.872.062.25
RMSE3.443.453.212.872.421.921.420.980.750.881.251.692.152.603.043.473.894.304.695.07
16Median4.284.855.405.555.054.423.743.072.441.861.320.810.66 a0.730.790.851.121.451.732.33
MEAN3.974.535.085.244.824.293.703.132.582.081.601.160.870.710.800.921.121.391.691.97
SDEV2.102.643.143.383.172.862.482.111.771.481.241.050.800.620.390.460.610.670.690.74
RMSE4.214.915.575.815.384.804.153.522.922.371.881.451.100.880.840.971.191.451.721.98
17Median2.462.322.071.711.290.930.75 a0.921.261.732.202.663.113.544.054.464.855.235.605.95
MEAN2.272.001.651.281.010.950.951.041.181.371.762.212.653.083.493.894.284.665.025.37
SDEV1.231.181.100.950.710.400.430.370.510.881.031.111.221.371.531.691.872.042.222.39
RMSE2.422.171.841.481.150.970.981.041.211.521.902.322.743.173.583.994.394.785.165.53
19Median5.205.646.116.596.705.945.214.523.873.262.692.151.651.170.810.560.800.67 a1.021.28
MEAN4.685.145.616.096.245.574.954.353.783.242.732.241.781.340.950.730.600.811.041.39
SDEV2.462.933.393.844.003.623.212.812.442.091.761.471.211.000.820.560.510.360.510.48
RMSE4.965.536.136.726.926.205.504.834.203.603.032.502.001.551.160.850.730.831.081.39
21aMedian2.552.432.181.841.441.191.10 a1.391.862.362.863.343.804.244.675.085.475.856.226.58
MEAN2.131.911.661.461.301.171.191.381.661.942.372.793.203.593.974.344.695.035.355.67
SDEV1.331.361.271.020.680.490.460.530.811.181.301.441.581.741.902.062.222.382.542.70
RMSE2.202.051.831.561.301.131.131.321.632.002.382.773.153.533.894.254.594.925.245.55
31Median0.440.390.430.781.121.210.920.540.36 a0.600.981.481.962.412.853.283.684.104.565.01
MEAN0.470.470.590.851.121.221.040.660.460.680.981.371.792.192.582.963.323.664.004.33
SDEV0.280.320.490.680.850.940.830.680.480.270.500.690.830.991.161.341.521.701.872.04
RMSE0.480.500.670.941.231.351.160.820.570.650.971.351.742.132.512.873.233.573.914.23
Group II (Lower temperature thermal CO2-rich waters)
2Median0.771.191.651.330.480.45 a0.801.472.132.773.313.814.274.705.105.475.826.156.466.75
MEAN3.043.122.902.431.911.421.010.841.001.321.722.102.462.793.103.393.673.924.174.40
SDEV2.692.592.361.961.561.200.980.830.750.790.800.921.091.291.491.691.882.072.252.42
RMSE4.014.003.693.082.431.841.391.161.241.521.892.282.683.063.423.764.094.404.704.98
3Median2.762.571.961.060.24 a0.471.111.802.523.133.694.234.765.406.036.627.207.638.018.38
MEAN2.582.351.831.140.480.561.021.672.282.863.413.924.414.885.325.746.146.526.897.24
SDEV1.281.331.180.900.610.290.620.831.081.351.621.882.132.382.612.843.053.263.463.65
RMSE2.702.532.031.350.710.591.121.752.372.973.544.084.605.095.566.016.436.847.237.60
4Median2.753.293.402.822.141.440.760.54 a0.860.941.451.932.382.793.173.694.034.354.494.94
MEAN2.663.213.372.902.341.761.180.880.931.111.311.712.142.542.923.273.593.894.184.45
SDEV1.612.132.332.111.781.481.240.890.480.420.810.931.011.111.241.371.501.631.751.87
RMSE4.014.003.693.082.431.841.391.161.241.521.892.282.683.063.423.764.094.404.704.98
5Median2.932.993.042.902.471.841.180.630.62 a0.821.101.622.102.563.153.573.974.364.745.27
MEAN2.762.882.972.912.582.061.500.960.720.881.041.481.962.422.863.283.684.064.434.78
SDEV1.511.782.012.041.881.581.291.040.700.290.640.750.830.971.141.321.511.701.882.07
RMSE2.953.163.353.312.962.421.831.300.930.871.151.562.012.462.903.333.744.144.534.90
23Median2.602.983.322.842.211.560.920.57 a0.620.811.071.632.112.583.023.443.854.244.624.98
MEAN2.352.693.022.672.231.751.270.830.690.911.211.491.862.272.663.043.403.744.084.40
SDEV1.331.722.011.851.561.291.080.930.710.430.420.750.931.041.171.321.471.631.781.94
RMSE2.382.813.182.842.381.911.451.070.850.891.131.471.842.212.572.933.283.613.944.26
24Median1.821.691.451.130.960.84 a1.111.642.222.773.313.814.304.765.205.626.036.426.797.16
MEAN1.611.401.141.000.890.901.111.431.842.332.803.243.674.084.474.845.205.555.886.20
SDEV0.950.970.900.630.420.380.450.791.061.221.401.591.781.972.162.342.522.702.873.04
RMSE1.651.491.271.030.870.861.071.431.872.322.763.193.604.004.394.755.115.455.786.10
26Median0.750.600.520.290.24 a0.360.270.460.861.271.762.242.703.143.563.974.364.745.115.47
MEAN0.840.740.590.430.430.540.530.650.941.221.531.952.362.753.133.493.844.184.514.83
SDEV0.550.400.370.540.720.780.700.510.350.580.901.021.161.321.481.651.811.982.142.30
RMSE0.880.740.610.590.710.810.760.720.891.201.561.942.322.693.063.413.764.094.414.73
27Median3.443.413.192.621.871.100.41 a0.620.911.512.072.653.193.674.124.615.195.746.286.80
MEAN3.163.193.022.551.921.270.710.650.861.371.912.432.923.383.834.254.655.045.415.76
SDEV1.701.911.971.761.431.080.780.340.530.670.811.011.221.441.661.882.092.292.492.67
RMSE3.363.483.372.892.221.550.970.690.941.431.952.472.983.463.924.374.795.205.595.97
28Median0.680.740.550.25 a0.270.400.530.971.472.002.513.003.473.924.354.765.165.545.916.27
MEAN0.800.720.600.470.510.550.771.081.381.682.132.562.973.373.754.124.474.815.145.46
SDEV0.420.380.460.660.760.760.540.390.631.021.141.281.441.611.781.952.112.282.442.60
RMSE0.800.720.660.690.780.800.821.021.341.732.132.532.923.303.674.034.384.715.035.35
30Median2.232.091.791.240.620.39 a0.691.241.862.443.003.524.014.484.925.345.756.136.516.95
MEAN2.001.911.701.310.820.540.851.221.622.132.613.073.503.914.314.685.045.385.716.03
SDEV1.121.251.221.050.850.640.340.560.921.071.261.451.641.842.032.222.402.572.742.91
RMSE2.022.001.831.471.020.720.811.191.642.102.563.003.423.824.214.584.935.275.605.92
Shallow groundwaters
29Median0.90 a1.793.074.185.055.846.557.197.858.378.869.309.7010.0810.4410.7711.0911.3911.6711.94
MEAN0.951.652.593.454.234.945.586.156.687.157.597.998.378.719.049.369.659.9410.2110.47
SDEV0.540.881.081.351.641.932.212.472.712.933.143.333.513.683.833.984.134.264.394.52
RMSE1.021.752.643.494.284.995.656.246.787.277.738.158.538.909.249.579.8710.1710.4510.72
33Median1.17 a2.163.043.824.525.145.696.196.627.027.377.707.998.268.528.758.979.199.399.58
MEAN1.322.102.793.413.954.444.875.265.615.926.216.476.716.937.137.337.517.697.858.02
SDEV0.841.101.391.671.932.172.382.582.762.933.073.213.343.463.563.673.763.863.944.03
RMSE1.382.092.763.353.894.364.795.185.525.846.126.386.626.847.047.247.427.597.767.92
The bold text in the table is the minimum value of the median for each sample.

Share and Cite

MDPI and ACS Style

Shestakova, A.; Guseva, N.; Kopylova, Y.; Khvaschevskaya, A.; Polya, D.A.; Tokarev, I. Geothermometry and Isotope Geochemistry of CO2-Rich Thermal Waters in Choygan, East Tuva, Russia. Water 2018, 10, 729. https://doi.org/10.3390/w10060729

AMA Style

Shestakova A, Guseva N, Kopylova Y, Khvaschevskaya A, Polya DA, Tokarev I. Geothermometry and Isotope Geochemistry of CO2-Rich Thermal Waters in Choygan, East Tuva, Russia. Water. 2018; 10(6):729. https://doi.org/10.3390/w10060729

Chicago/Turabian Style

Shestakova, Anastasia, Natalia Guseva, Yulia Kopylova, Albina Khvaschevskaya, David A. Polya, and Igor Tokarev. 2018. "Geothermometry and Isotope Geochemistry of CO2-Rich Thermal Waters in Choygan, East Tuva, Russia" Water 10, no. 6: 729. https://doi.org/10.3390/w10060729

APA Style

Shestakova, A., Guseva, N., Kopylova, Y., Khvaschevskaya, A., Polya, D. A., & Tokarev, I. (2018). Geothermometry and Isotope Geochemistry of CO2-Rich Thermal Waters in Choygan, East Tuva, Russia. Water, 10(6), 729. https://doi.org/10.3390/w10060729

Note that from the first issue of 2016, this journal uses article numbers instead of page numbers. See further details here.

Article Metrics

Back to TopTop