Draining Effects on Recent Accumulation Rates of C and N in Zoige Alpine Peatland in the Tibetan Plateau
Abstract
:1. Introduction
2. Materials and Methods
2.1. Site Description
2.2. Core Sampling
2.3. Physicochemical Analysis
2.4. Dating and Estimating RERCA and RERNA
2.5. Data Analysis
3. Results
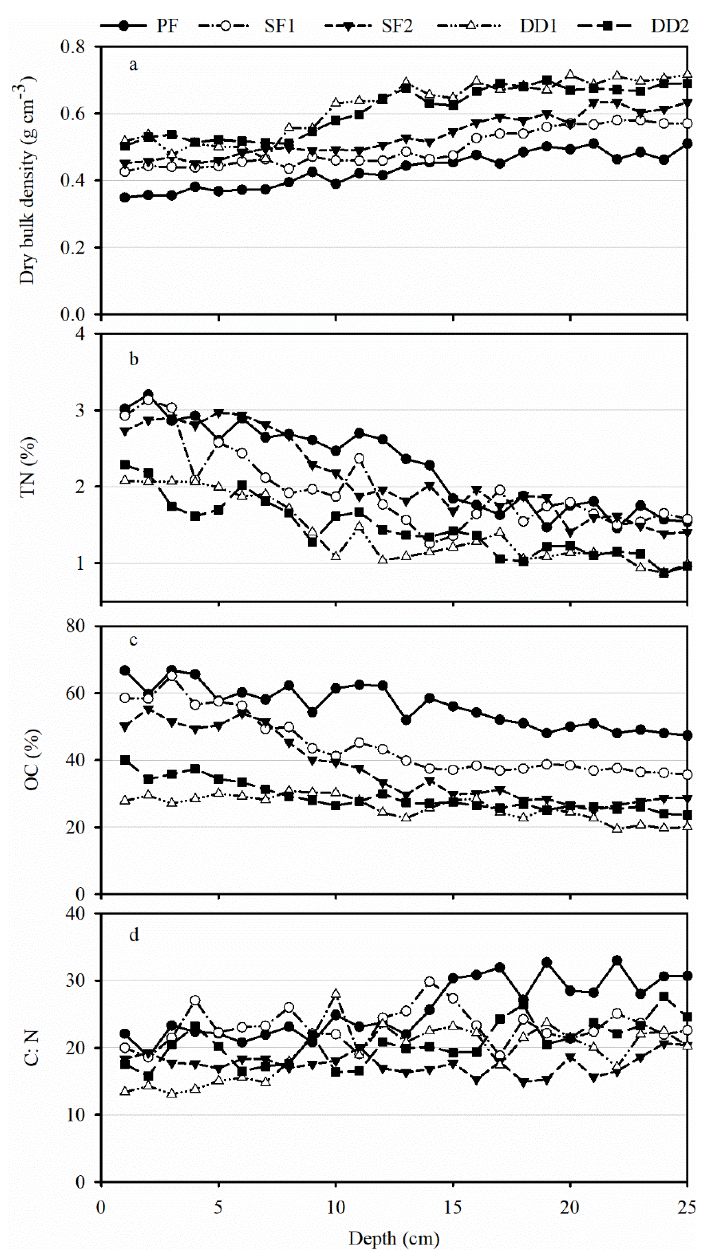
3.1. Peat Properties
3.2. Age Dating
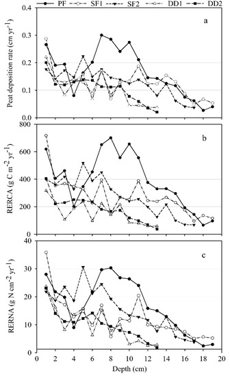
3.3. Peat Accumulation
3.4. Recent Rates of C and N Accumulation
4. Discussion
4.1. OC and TN in the Zoige Peatland
4.2. Radioisotope Chronology and Peat Deposition
4.3. RERCA and RERNA in the Zoige Peatland
4.4. Water Table Level and Drainage Impacts
5. Conclusions
Author Contributions
Funding
Acknowledgments
Conflicts of Interest
References
- Hribljan, J.A.; Cooper, D.J.; Sueltenfuss, J.; Wolf, E.C.; Heckman, K.A.; Lilleskov, E.A.; Chimner, R.A. Carbon storage and long-term rate of accumulation in high-altitude Andean peatlands of Bolivia. Mires Peat 2015, 15, 1–14. [Google Scholar]
- Hobbie, E.A.; Chen, J.; Hanson, P.J.; Iversen, C.M.; McFarlane, K.J.; Thorp, N.R.; Hofmockel, K.S. Long-term Carbon and Nitrogen Dynamics at SPRUCE Revealed through Stable Isotopes in Peat Profiles. Biogeosciences 2017, 14, 2481–2494. [Google Scholar] [CrossRef]
- Stivrins, N.; Ozola, I.; Gałka, M.; Kuske, E.; Alliksaar, T.; Andersen, T.J.; Lamentowicz, M.; Wulf, S.; Reitalu, T. Drivers of peat accumulation rate in a raised bog: Impact of drainage, climate, and local vegetation composition. Mires Peat 2017, 19, 1–19. [Google Scholar] [CrossRef]
- Turner, T.E.; Swindles, G.T.; Roucoux, K.H. Late Holocene ecohydrological and carbon dynamics of a UK raised bog: Impact of human activity and climate change. Quat. Sci. Rev. 2014, 84, 65–85. [Google Scholar] [CrossRef]
- Panait, A.; Diaconu, A.; Galka, M.; Grindean, R.; Hutchinson, S.M.; Hickler, T.; Lamentowicz, M.; Mulch, A.; Tanţău, I.; Werner, C.; et al. Hydrological conditions and carbon accumulation rates reconstructed from a mountain raised bog in the Carpathians: A multi-proxy approach. CATENA 2017, 152, 57–68. [Google Scholar] [CrossRef]
- Ott, C.A.; Chimner, R.A. Long-term peat accumulation in temperate forested peatlands (Thuja occidentalis swamps) in the Great Lakes region of North America. Mires Peat 2016, 18, 1–9. [Google Scholar] [CrossRef]
- León, C.A.; Oliván, G. Recent rates of carbon and nitrogen accumulation in peatlands of Isla Grande de Chiloé-Chile. Rev. Chil. Hist. Nat. 2014, 87, 26. [Google Scholar] [CrossRef]
- Schlesinger, W.H.; Cole, J.J.; Finzi, A.C.; Holland, E.A. Introduction to coupled biogeochemical cycles. Front. Ecol. Environ. 2011, 9, 5–8. [Google Scholar] [CrossRef]
- Paal, J.; Jürjendal, I.; Suija, A.; Kull, A. Impact of drainage on vegetation of transitional mires in Estonia. Mires Peat 2016, 18, 1–19. [Google Scholar] [CrossRef]
- Gao, J.Q.; Zhang, X.W.; Lei, G.C.; Wang, G.X. Soil Organic Carbon and its Fractions in Relation to Degradation and Restoration of Wetlands on the Zoigê Plateau, China. Wetlands 2014, 34, 235–241. [Google Scholar] [CrossRef]
- Nakatsubo, T.; Uchida, M.; Sasaki, A.; Kondo, M.; Yoshitake, S.; Kanda, H. Carbon accumulation rate of peatland in the High Arctic, Svalbard: Implications for carbon sequestration. Polar Sci. 2015, 9, 267–275. [Google Scholar] [CrossRef]
- Olson, K.R.; Al-Kaisi, M.M.; Lal, R.; Lowery, B. Experimental Consideration, Treatments, and Methods in Determining Soil Organic Carbon Sequestration Rates. Soil Sci. Soc. Am. J. 2014, 78, 348–360. [Google Scholar] [CrossRef]
- Xiang, S.A.; Guo, R.Q.; Wu, N.; Sun, S.C. Current status and future prospects of Zoige Marsh in eastern Qinghai-Tibet Plateau. Ecol. Eng. 2009, 35, 553–562. [Google Scholar] [CrossRef]
- Zhou, W.C.; Cui, L.J.; Wang, Y.F.; Li, W. Methane emissions from natural and drained peatlands in the Zoigê, eastern Qinghai-Tibet Plateau. J. For. Res. 2017, 28, 539–547. [Google Scholar] [CrossRef]
- Wang, G.; Qian, J.; Cheng, G.; Lai, Y. Soil organic carbon pool of grassland soils on the Qinghai–Tibetan Plateau and its global implication. Sci. Total Environ. 2002, 291, 207–217. [Google Scholar] [CrossRef]
- Luan, J.W.; Cui, L.J.; Xiang, C.H.; Wu, J.H.; Song, H.T.; Ma, Q.F.; Hu, Z.D. Different grazing removal exclosures effects on soil C stocks among alpine ecosystems in east Qinghai–Tibet Plateau. Ecol. Eng. 2014, 64, 262–268. [Google Scholar] [CrossRef]
- Zhang, W.J.; Lu, Q.F.; Song, K.C.; Qin, G.H.; Wang, Y.; Wang, X.; Li, H.X.; Li, J.; Liu, G.D.; Li, H. Remotely sensing the ecological influences of ditches in Zoige peatland, eastern Tibetan Plateau. Int. J. Remote Sens. 2014, 35, 5186–5197. [Google Scholar] [CrossRef]
- Zhao, K.Y.; He, C.Q. Influence of human activities on the mire in Zoige Plateau and countermeasure. Sci. Geogr. Sin. 2000, 20, 444–449. [Google Scholar]
- Luan, J.W.; Cui, L.J.; Xiang, C.H.; Wu, J.H.; Song, H.T.; Ma, Q.F. Soil carbon stocks and quality across intact and degraded alpine wetlands in Zoige, east Qinghai-Tibet Plateau. Wetlands Ecol. Manag. 2014, 22, 427–438. [Google Scholar] [CrossRef]
- Gao, J.; Li, X.L.; Cheung, A.; Yang, Y.W. Degradation of Wetlands on the Qinghai-Tibet Plateau: A Comparison of the Effectiveness of Three Indicators. J. Mt. Sci. 2013, 10, 658–667. [Google Scholar] [CrossRef]
- Cui, L.J.; Kang, X.M.; Li, W.; Hao, Y.B.; Zhang, Y.; Wang, J.Z.; Yan, L.; Zhang, X.D.; Zhang, M.Y.; Zhou, J.; et al. Rewetting Decreases Carbon Emissions from the Zoige Alpine Peatland on the Tibetan Plateau. Sustainability 2017, 9, 948. [Google Scholar] [CrossRef]
- Appleby, P.G.; Oldfield, F. The calculation of 210Pb dates assuming a constant rate of supply of unsupported 210Pb to the sediment. CATENA 1978, 5, 1–8. [Google Scholar] [CrossRef]
- Bao, K.S.; Yu, X.F.; Jia, L.; Wang, G.P. Recent Carbon Accumulation in Changbai Mountain Peatlands, Northeast China. Mt. Res. Dev. 2010, 30, 33–41. [Google Scholar] [CrossRef]
- Zaccone, C.; Lobianco, D.; Shotyk, W.; Ciavatta, C.; Appleby, P.G.; Brugiapaglia, E.; Casella, L.; Miano, T.M.; D’Orazio, V. Highly anomalous accumulation rates of C and N recorded by a relic, free-floating peatland in Central Italy. Sci. Rep.-UK 2017, 7, 43040. [Google Scholar] [CrossRef] [PubMed]
- Craft, C.; Vymazal, J.; Kröpfelová, L. Carbon sequestration and nutrient accumulation in floodplain and depressional wetlands. Ecol. Eng. 2018, 114, 137–145. [Google Scholar] [CrossRef]
- Ritchie, J.C.; McHenry, J.R. Application of radioactive fallout Cesium-137 for measuring soil erosion and sediment accumulation rates and patterns: A review. J. Environ. Qual. 1990, 19, 215–233. [Google Scholar] [CrossRef]
- Fesenko, S.V.; Spiridonov, S.I.; Sanzharova, N.I.; Anisimov, V.S.; Aleksakhin, R.M. Simulation of 137Cs Migration over the Soil-plant System of Peat Soils Contaminated at the Chernobyl Accident. Russ. J. Ecol. 2002, 33, 170–177. [Google Scholar] [CrossRef]
- Rosen, K.; Vinichuk, M.; Johanson, K.J. 137Cs in a raised bog in central Sweden. J. Environ. Radioact. 2009, 100, 534–539. [Google Scholar] [CrossRef] [PubMed]
- Laasimer, L. Eesti NSV taimkate. In Vegetation of the Estonian S.S.R.; Valgus: Tallinn, Estonia, 1965. [Google Scholar]
- Paal, J.; Leibak, E. Estonian Mires: Inventory of Habitats; Regio Ltd.: Tartu, Estonia, 2011. [Google Scholar]
- Wieder, R.K.; Novak, M.; Schell, W.R.; Rhodes, T. Rates of peat accumulation over the past 200 years in five Sphagnum-dominated peatlands in the United States. J. Paleolimnol. 1994, 12, 35–47. [Google Scholar] [CrossRef]
- Marchio, D.A.; Savarese, M.; Bovard, B.; Mitsch, W.J. Carbon Sequestration and Sedimentation in Mangrove Swamps Influenced by Hydrogeomorphic Conditions and Urbanization in Southwest Florida. Forests 2016, 7, 116. [Google Scholar] [CrossRef]
- Bao, K.S.; Quan, G.X.; Liu, F.G. Recent History of Carbon and Nitrogen Accumulation Rates in Yancheng Coastal Wetland, China. Open J. Nat. Sci. 2015, 3, 137–146. [Google Scholar] [CrossRef]
- Hribljan, J.A.; Suarez, E.; Heckman, K.A.; Lilleskov, E.A.; Chimner, R.A. Peatland carbon stocks and accumulation rates in the Ecuadorian paramo. Wetlands Ecol. Manag. 2016, 24, 113–127. [Google Scholar] [CrossRef]
- Kurnianto, S.; Warren, M.; Talbot, J.; Kauffman, B.; Murdiyarso, D.; Frolking, S. Carbon accumulation of tropical peatlands over millennia: A modeling approach. Glob. Chang. Biol. 2015, 21, 431–444. [Google Scholar] [CrossRef] [PubMed]
- Bao, K.S.; Wang, G.P.; Xing, W.; Shen, J. Accumulation of organic carbon over the past 200 years in alpine peatlands, northeast China. Environ. Earth Sci. 2015, 73, 7489–7503. [Google Scholar] [CrossRef]
- Hansen, V.D.; Nestlerode, J.A. Carbon sequestration in wetland soils of the northern Gulf of Mexico coastal region. Wetlands Ecol. Manag. 2014, 22, 289–303. [Google Scholar] [CrossRef]
- Bernal, B.; Mitsch, W.J. Carbon sequestration in freshwater wetlands in Costa Rica and Botswana. Biogeochemistry 2013, 115, 77–93. [Google Scholar] [CrossRef]
- Turunen, J.; Roulet, N.T.; Moore, T.R. Nitrogen deposition and increased carbon accumulation in ombrotrophic peatlands in eastern Canada. Glob. Biogeochem. Cycles 2004, 18, 1–12. [Google Scholar] [CrossRef]
- Tolonen, K.; Turunen, J. Accumulation rates of carbon in mires in Finland and implications for climate change. Holocene 1996, 6, 171–178. [Google Scholar] [CrossRef]
- Clymo, R.S. The limits to peat bog growth. Philos. Trans. R. Soc. Lond. B Biol. Sci. 1984, 303, 605–654. [Google Scholar] [CrossRef]
- Gorham, E. Northern peatlands: Role in the carbon cycle and probable responses to climatic warming. Ecol. Appl. 1991, 1, 182–195. [Google Scholar] [CrossRef] [PubMed]
- Squeo, F.A.; Warner, B.G.; Aravena, R.; Espinoza, D. Bofedales: High altitude peatlands of the central Andes. Rev. Chil. Hist. Nat. 2006, 79, 245–255. [Google Scholar] [CrossRef]
- Zhang, L.; Guo, H.; Ji, L.; Lei, L.; Wang, C.; Yan, D.; Li, B.; Li, J. Vegetation greenness trend (2000 to 2009) and the climate controls in the Qinghai-Tibetan Plateau. Appl. Remote Sens. 2013, 7, 073572. [Google Scholar] [CrossRef]
- Wang, M.; Yang, G.; Gao, Y.H.; Chen, H.; Wu, N.; Peng, C.H.; Zhu, Q.A.; Zhu, D.; Wu, J.H.; He, Y.X.; et al. Higher recent peat C accumulation than that during the Holocene on the Zoige Plateau. Quat. Sci. Rev. 2015, 114, 116–125. [Google Scholar] [CrossRef]
- Bagchi, S.; Ritchie, M.E. Introduced grazers can restrict potential soil carbon sequestration through impacts on plant community composition. Ecol. Lett. 2010, 13, 959–968. [Google Scholar] [CrossRef] [PubMed]
- Anderson, D.E. Carbon Accumulation and C/N Ratios of Peat Bogs in North-West Scotland. Scott. Geogr. J. 2002, 118, 323–341. [Google Scholar] [CrossRef]
- Lindsay, R.; Campus, S.; Lane, W. Peatbogs and Carbon: A Critical Synthesis to Inform Policy Development in Oceanic Peat Bog Conservation and Restoration in the Context of Climate Change; University of East London: London, UK, 2010. [Google Scholar]





| Sites | DBD (g cm−3) | OC (%) | TN (%) | C:N |
|---|---|---|---|---|
| PF | 0.43 ± 0.05 | 56.10 ± 6.30 | 2.25 ± 0.56 | 25.86 ± 4.29 |
| SF1 | 0.50 ± 0.06 | 44.46 ± 9.10 | 1.96 ± 0.52 | 23.11 ± 2.71 |
| SF2 | 0.53 ± 0.06 | 37.27 ± 10.38 | 2.11 ± 0.55 | 17.64 ± 1.53 |
| DD1 | 0.62 ± 0.09 | 25.91 ± 3.63 | 1.41 ± 0.42 | 19.39 ± 3.94 |
| DD2 | 0.61 ± 0.07 | 29.01 ± 4.42 | 1.45 ± 0.37 | 20.69 ± 3.21 |
| Study Sites | Peatland Type | Peat Accumulation Rate (cm yr−1) | RERCA (g C m−2 yr−1) | RERNA (g N m−2 yr−1) | Method | References |
|---|---|---|---|---|---|---|
| The Zoige Plateau | Permanently, seasonally flooded and drainage peatland | 0.10–0.17 | 157–392 | 10.0–17.0 | 210Pb | This study |
| The Changbai Mountains | Carex moss, woody moss, herbaceous | - | 124–293 | - | 210Pb | [23] |
| Yancheng, Jiangsu province | Bare flat, Spartinaalterniflora flat | 0.93–1.28 | 116–165 | 1.7–4.0 | 210Pb | [33] |
| Tropical peatlands | Tropical peatlands | 0.16 | - | - | The Holocene Peat Model | [35] |
| Northeast China | Alpine peatland | 0.25–0.61 | 129–204 | - | 137Cs and 210Pb | [36] |
| Northern Gulf of Mexico | Emergent and forested peatlands | 0.23–0.94 | 47–372 | - | 137Cs and feldspar marker | [37] |
| US | Five Sphagnum-dominated peatlands | 0.22 | - | - | 210Pb | [31] |
| Southwest Florida | Mangrove Swamps | 2.52 | 98 | - | 210Pb CRS | [32] |
| Northeastern Costa Rica | Rainforest and seasonal riverine wetland | 0.21–0.92 | 42–306 | - | 137Cs and 210Pb | [38] |
| Eastern Canada | Ombrotrophic peatlands | - | 40–117 | 1.4–3.2 | 210Pb | [39] |
| Finland | Finnish peatlands | - | 12–290 | - | The pine method | [40] |
| Isla Grande de Chiloé | Glaciogenic | - | 6–23 | 0.2–0.6 | 210Pb | [7] |
| Anthropogenic | 24–87 | 0.4–2.4 | ||||
| Northeastern Ecuador | Cushion | 0.05–0.81 | 43–224 | - | 14C | [34] |
© 2018 by the authors. Licensee MDPI, Basel, Switzerland. This article is an open access article distributed under the terms and conditions of the Creative Commons Attribution (CC BY) license (http://creativecommons.org/licenses/by/4.0/).
Share and Cite
Li, C.; Huang, Y.; Guo, H.; Cui, L.; Li, W. Draining Effects on Recent Accumulation Rates of C and N in Zoige Alpine Peatland in the Tibetan Plateau. Water 2018, 10, 576. https://doi.org/10.3390/w10050576
Li C, Huang Y, Guo H, Cui L, Li W. Draining Effects on Recent Accumulation Rates of C and N in Zoige Alpine Peatland in the Tibetan Plateau. Water. 2018; 10(5):576. https://doi.org/10.3390/w10050576
Chicago/Turabian StyleLi, Chunyi, Yilan Huang, Huanhuan Guo, Lijuan Cui, and Wei Li. 2018. "Draining Effects on Recent Accumulation Rates of C and N in Zoige Alpine Peatland in the Tibetan Plateau" Water 10, no. 5: 576. https://doi.org/10.3390/w10050576
APA StyleLi, C., Huang, Y., Guo, H., Cui, L., & Li, W. (2018). Draining Effects on Recent Accumulation Rates of C and N in Zoige Alpine Peatland in the Tibetan Plateau. Water, 10(5), 576. https://doi.org/10.3390/w10050576

