Treatment of Source-Separated Blackwater: A Decentralized Strategy for Nutrient Recovery towards a Circular Economy
Abstract
:1. Introduction
2. Materials and Methods
2.1. Composition of Anaerobically Digested Blackwater Effluent
2.2. Filtration Column Study
Experimental Setup
2.3. Effluent Analysis
3. Results and Discussions
3.1. Composition of Anaerobically Digested Blackwater Effluent
3.2. Removal of Organic Matter and Suspended Solids
3.3. Nutrient Recovery from Anaerobically Digested Blackwater Effluent
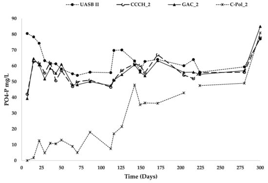
3.3.1. Phosphorus Recovery
3.3.2. Ammonium–Nitrogen Recovery
3.3.3. Other Essential Macronutrient Concentrations in the Raw Blackwater and Effluents
3.3.4. Micronutrients and Heavy Metals
3.4. Pathogen Removal in the Treatment Chain
4. Conclusions
Acknowledgments
Author Contributions
Conflicts of Interest
References
- Cordell, D.; Drangert, J.-O.; White, S. The Story of Phosphorus: Global Food Security and Food for Thought. Glob. Environ. Chang. 2009, 19, 292–305. [Google Scholar] [CrossRef]
- Galloway, J.N.; Cowling, E.B. Reactive Nitrogen and the World: 200 Years of Change. AMBIO J. Hum. Environ. 2002, 31, 64–71. [Google Scholar] [CrossRef]
- Carey, D.E.; Yang, Y.; McNamara, P.J.; Mayer, B.K. Recovery of Agricultural Nutrients from Biorefineries. Bioresour. Technol. 2016, 215, 186–198. [Google Scholar] [CrossRef] [PubMed]
- Batstone, D.J.; Hülsen, T.; Mehta, C.M.; Keller, J. Platforms for Energy and Nutrient Recovery from Domestic Wastewater: A Review. Chemosphere 2015, 140, 2–11. [Google Scholar] [CrossRef] [PubMed]
- Matassa, S.; Batstone, D.J.; Hülsen, T.; Schnoor, J.; Verstraete, W. Can Direct Conversion of Used Nitrogen to New Feed and Protein Help Feed the World? Environ. Sci. Technol. 2015, 49, 5247–5254. [Google Scholar] [CrossRef] [PubMed]
- Vinneras, B.; Palmquist, P.; Balmer, P.; Jonsson, H. The Characteristics of Household Wastewater and Biodegradable Solid Waste—A Proposal for New Swedish Design Values. Urban Water J. 2006, 3, 3–11. [Google Scholar] [CrossRef]
- Todt, D.; Heistad, A.; Jenssen, P.D. Load and Distribution of Organic Matter and Nutrients in a Separated Household Wastewater Stream. Environ. Technol. 2015, 36, 1584–1593. [Google Scholar] [CrossRef] [PubMed]
- Wilderer, P.A.; Schreff, D. Decentralized and Centralized Wastewater Management: A Challenge for Technology Developers. Water Sci. Technol. 2000, 41, 1–8. [Google Scholar]
- Larsen, T.A.; Hoffmann, S.; Lüthi, C.; Truffer, B.; Maurer, M. Emerging Solutions to the Water Challenges of an Urbanizing World. Science 2016, 352, 928–933. [Google Scholar] [CrossRef] [PubMed]
- Langergraber, G.; Muellegger, E. Ecological Sanitation—A Way to Solve Global Sanitation Problems? Environ. Int. 2005, 31, 433–444. [Google Scholar] [CrossRef] [PubMed]
- McConville, J.R.; Kvarnström, E.; Jönsson, H.; Kärrman, E.; Johansson, M. Source Separation: Challenges & Opportunities for Transition in the Swedish Wastewater Sector. Resour. Conserv. Recycl. 2017, 120, 144–156. [Google Scholar]
- Zoboli, O.; Zessner, M.; Rechberger, H. Supporting Phosphorus Management in Austria: Potential, Priorities and Limitations. Sci. Total Environ. 2016, 565, 313–323. [Google Scholar] [CrossRef] [PubMed]
- Larsen, T.A.; Alder, A.C.; Eggen, R.I.L.; Maurer, M.; Lienert, J. Source Separation: Will We See a Paradigm Shift in Wastewater Handling? Environ. Sci. Technol. 2009, 43, 6121–6125. [Google Scholar] [CrossRef] [PubMed]
- Metcalf & Eddy Inc. an AECOM Company; Asano, T.; Burton, F.L.; Leverenz, H.L.; Tsuchihashi, R.; Tchobanoglous, G. Water Reuse Applications: An Overview. In Water Reuse: Issues, Technologies, and Applications; McGraw Hill: New York, NY, USA, 2007. [Google Scholar]
- McCarty, P.L.; Bae, J.; Kim, J. Domestic Wastewater Treatment as a Net Energy Producer—Can This Be Achieved? Environ. Sci. Technol. 2011, 45, 7100–7106. [Google Scholar] [CrossRef] [PubMed]
- Bracken, P.; Wachtler, A.; Panesar, A.R.; Lange, J. The Road Not Taken: How Traditional Excreta and Greywater Management May Point the Way to a Sustainable Future. Water Sci. Technol. Water Supply 2007, 7, 219–227. [Google Scholar] [CrossRef]
- Guest, J.S.; Skerlos, S.J.; Barnard, J.L.; Beck, M.B.; Daigger, G.T.; Hilger, H.; Jackson, S.J.; Karvazy, K.; Kelly, L.; Macpherson, L. A New Planning and Design Paradigm to Achieve Sustainable Resource Recovery from Wastewater. Environ. Sci. Technol. 2009, 43, 6126–6130. [Google Scholar] [CrossRef] [PubMed]
- Van Lier, J.B. High-Rate Anaerobic Wastewater Treatment: Diversifying from End-of-the-Pipe Treatment to Resource-Oriented Conversion Techniques. Water Sci. Technol. 2008, 57, 1137–1148. [Google Scholar] [CrossRef] [PubMed]
- Medina, V.F.; Scholze, R.J.; Waisner, S.A.; Griggs, C.S. Energy and Resource Recovery from Wastewater Treatment: State of the Art and Potential Application for the Army and the Dod; Engineer Research and Development Center & Construction Engineering Research Lab: Champaign, IL, USA, 2015. [Google Scholar]
- Zeeman, G.; Kujawa-Roeleveld, K. Resource Recovery from Source Separated Domestic Waste (Water) Streams; Full-Scale Results. Water Sci. Technol. 2011, 64, 1987–1992. [Google Scholar] [CrossRef] [PubMed]
- De Graaff, M.S.; Temmink, H.; Zeeman, G.; Buisman, C.J.N. Anaerobic Treatment of Concentrated Black Water in a Uasb Reactor at a Short Hrt. Water 2010, 2, 101–119. [Google Scholar] [CrossRef]
- Jenssen, P.D.; Heyerdahl, P.H.; Warner, W.S.; Greatorex, J.M. Local Recycling of Wastewater and Wet Organic Waste–a Step Towards the Zero-Emission Community. In Proceedings of the 8th International Conference on Environmental Technology, Lemnos Island, Greece, 8–10 September 2003. [Google Scholar]
- Kujawa-Roeleveld, K.; Zeeman, G. Anaerobic Treatment in Decentralized and Source-Separation-Based. Rev. Environ. Sci. Bio/Technol. 2006, 5, 115–139. [Google Scholar] [CrossRef]
- Moges, M.E.; Todt, D.; Janka, E.; Bakke, R.; Heistad, A. Sludge Blanket Anaerobic Baffled Reactor for Source-Separated Blackwater Treatment. Water Sci. Technol. 2018, in press. [Google Scholar]
- American Public Health Association (APHA); American Water Work Association (AWWA); Water Environment Federation (WEF). Standard Methods for the Examination of Water and Wastewater, 21st ed.; American Public Health Association (APHA); American Water Work Association (AWWA); Water Environment Federation (WEF): Washington, DC, USA, 2005. [Google Scholar]
- Winker, M.; Vinnerås, B.; Muskolus, A.; Arnold, U.; Clemens, J. Fertiliser Products from New Sanitation Systems: Their Potential Values and Risks. Bioresour. Technol. 2009, 100, 4090–4096. [Google Scholar] [CrossRef] [PubMed]
- De Graaff, M.S.; Temmink, H.; Zeeman, G.; Buisman, C.J.N. Energy and Phosphorus Recovery from Black Water. Water Sci. Technol. 2011, 63, 2759–2765. [Google Scholar] [CrossRef] [PubMed]
- Renman, A. On-Site Wastewater Treatment-Polonite and Other Filter Materials for Removal of Metals, Nitrogen and Phosphorus. Ph.D. Thesis, Royal Institute of Technology (KTH), Stockholm, Sweden, 2008. [Google Scholar]
- Guppy, C.N.; Menzies, N.W.; Moody, P.W.; Blamey, F.P.C. Competitive Sorption Reactions between Phosphorus and Organic Matter in Soil: A Review. Soil Res. 2005, 43, 189–202. [Google Scholar] [CrossRef]
- Nilsson, C.; Renman, G.; Westholm, L.J.; Renman, A.; Drizo, A. Effect of Organic Load on Phosphorus and Bacteria Removal from Wastewater Using Alkaline Filter Materials. Water Res. 2013, 47, 6289–6297. [Google Scholar] [CrossRef] [PubMed]
- Gustafsson, J.P.; Renman, A.; Renman, G.; Poll, K. Phosphate Removal by Mineral-Based Sorbents Used in Filters for Small-Scale Wastewater Treatment. Water Res. 2008, 42, 189–197. [Google Scholar] [CrossRef] [PubMed]
- Eberhardt, T.L.; Min, S.; Han, J.S. Phosphate Removal by Refined Aspen Wood Fiber Treated with Carboxymethyl Cellulose and Ferrous Chloride. Bioresour. Technol. 2006, 97, 2371–2376. [Google Scholar] [CrossRef] [PubMed]
- Yao, Y.; Gao, B.; Inyang, M.; Zimmerman, A.R.; Cao, X.; Pullammanappallil, P.; Yang, L. Biochar Derived from Anaerobically Digested Sugar Beet Tailings: Characterization and Phosphate Removal Potential. Bioresour. Technol. 2011, 102, 6273–6278. [Google Scholar] [CrossRef] [PubMed]
- Erich, M.S.; Fitzgerald, C.B.; Porter, G.A. The Effect of Organic Amendments on Phosphorus Chemistry in a Potato Cropping System. Agric. Ecosyst. Environ. 2002, 88, 79–88. [Google Scholar] [CrossRef]
- Yao, Y.; Gao, B.; Inyang, M.; Zimmerman, A.R.; Cao, X.; Pullammanappallil, P.; Yang, L. Removal of Phosphate from Aqueous Solution by Biochar Derived from Anaerobically Digested Sugar Beet Tailings. J. Hazard. Mater. 2011, 190, 501–507. [Google Scholar] [CrossRef] [PubMed]
- Metcalf & Eddy, Inc. Wastewater Engineering: Treatment, Disposal and Reuse, 4th ed.; McGraw Hill: New York, NY, USA, 2003. [Google Scholar]
- Renman, A.; Hylander, L.D.; Renman, G. Transformation and Removal of Nitrogen in Reactive Bed Filter Materials Designed for on-Site Wastewater Treatment. Ecol. Eng. 2008, 34, 207–214. [Google Scholar] [CrossRef]
- World Health Organization (WHO). Guidelines for Drinking-Water Quality: Recommendations; World Health Organization: Geneva, Switzerland, 2004; Volume 1. [Google Scholar]
- Tervahauta, T.; Rani, S.; Leal, L.H.; Buisman, C.J.N.; Zeeman, G. Black Water Sludge Reuse in Agriculture: Are Heavy Metals a Problem? J. Hazard. Mater. 2014, 274, 229–236. [Google Scholar] [CrossRef] [PubMed]
- De Chernicharo, C.A.L. Post-Treatment Options for the Anaerobic Treatment of Domestic Wastewater. Rev. Environ. Sci. Bio/Technol. 2006, 5, 73–92. [Google Scholar] [CrossRef]











| Influent | Anaerobically Digested Blackwater Effluent |
|---|---|
| Column height (cm) | 50 |
| Internal diameter (cm) | 4.2 |
| Area of column (cm2) | 13.85 |
| Column material | Plexi Glass |
| Bed height (cm) | 41 of which 2 cm is filled with 3 mm glass beads at the bottom and on the top of the filter media |
| Bed volume (cm3) | 553.5 |
| Filter media (adsorbents) | Granular activated carbon, Cocos char (CCCH) and polonite |
| Mass of adsorbent (g) | 200, 200, 741, respectively |
| Particle size range (mm) | 0.5–1.4, 0.35–1.18, and 2.8–4 for GAC, CCCH and polonite, respectively |
| Flow rate (mL/h) | 35 (corresponds to—600 L m−2 day−1) |
| Retention time (h) | 5 h for GAC and CCCH and 7 h for polonite |
| Mode of flow | Continuous upflow mode for saturated condition followed by downflow mode for unsaturated step (without effluent recycling) |
| Organic loading rate (g COD m−2 day−1) | 430 |
© 2018 by the authors. Licensee MDPI, Basel, Switzerland. This article is an open access article distributed under the terms and conditions of the Creative Commons Attribution (CC BY) license (http://creativecommons.org/licenses/by/4.0/).
Share and Cite
Eshetu Moges, M.; Todt, D.; Heistad, A. Treatment of Source-Separated Blackwater: A Decentralized Strategy for Nutrient Recovery towards a Circular Economy. Water 2018, 10, 463. https://doi.org/10.3390/w10040463
Eshetu Moges M, Todt D, Heistad A. Treatment of Source-Separated Blackwater: A Decentralized Strategy for Nutrient Recovery towards a Circular Economy. Water. 2018; 10(4):463. https://doi.org/10.3390/w10040463
Chicago/Turabian StyleEshetu Moges, Melesse, Daniel Todt, and Arve Heistad. 2018. "Treatment of Source-Separated Blackwater: A Decentralized Strategy for Nutrient Recovery towards a Circular Economy" Water 10, no. 4: 463. https://doi.org/10.3390/w10040463
APA StyleEshetu Moges, M., Todt, D., & Heistad, A. (2018). Treatment of Source-Separated Blackwater: A Decentralized Strategy for Nutrient Recovery towards a Circular Economy. Water, 10(4), 463. https://doi.org/10.3390/w10040463
