Assessment of Baseflow Estimates Considering Recession Characteristics in SWAT
Abstract
:1. Introduction
2. Materials and Methods
2.1. Study Area and Data
2.2. Description of SWAT and SWAT-CUP
2.3. Alpha Factor Calculation and Baseflow Estimation Using Bflow
2.4. Evaluation of Streamflow and Baseflow Estimation from Scenario I and II
3. Results
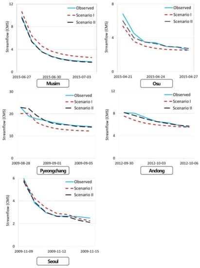
3.1. Comparison of Streamflow and Alpha Factor in Scenarios I and II
3.2. Comparison of Baseflow and Recession Estimates in Scenarios I and II
4. Conclusions
Acknowledgments
Author Contributions
Conflicts of Interest
References
- Hong, J.; Lim, K.J.; Shin, Y.; Jung, Y. Quantifying Contribution of Direct Runoff and Baseflow to Rivers in Han River System, South Korea. J. Korea Water Resour. Assoc. 2015, 48, 309–319. [Google Scholar] [CrossRef]
- Eckhardt, K. A comparison of baseflow indices, which were calculated with seven different baseflow separation methods. J. Hydrol. 2008, 352, 168–173. [Google Scholar] [CrossRef]
- Cherkauer, D.S.; Ansari, S.A. Estimating groundwater recharge from topography, hydrogeology, and land cover. Groundwater 2005, 43, 102–112. [Google Scholar] [CrossRef]
- Santhi, C.; Allen, P.; Muttiah, R.; Arnold, J.; Tuppad, P. Regional estimation of baseflow for the conterminous United States by hydrologic landscape regions. J. Hydrol. 2008, 351, 139–153. [Google Scholar] [CrossRef]
- Joo, S.W.; Park, Y.S.; Kim, J.G.; Heo, S.G.; Choi, J.D.; Lim, K.J. Estimation of BFI max value for accurate baseflow separation using WHAT system. J. Agric. Sci. Kangwon Natl. Univ. 2007, 18, 155–162. [Google Scholar]
- Ahiablame, L.; Chaubey, I.; Engel, B.; Cherkauer, K.; Merwade, V. Estimation of annual baseflow at ungauged sites in Indiana USA. J. Hydrol. 2013, 476, 13–27. [Google Scholar] [CrossRef]
- Lin, K.R.; Guo, S.L.; Zhang, W.H.; Liu, P. A new baseflow separation method based on analytical solutions of the Horton infiltration capacity curve. Hydrol. Process. 2007, 21, 1719–1736. [Google Scholar] [CrossRef]
- Datta, A.R.; Bolisetti, T.; Balachandar, R. Automated linear and nonlinear reservoir approaches for estimating annual baseflow. J. Hydrol. Eng. 2011, 17, 554–564. [Google Scholar] [CrossRef]
- Cheng, Q.B.; Chen, X.; Xu, C.Y.; Imjela, C.R.; Schulte, A. Improvement and comparison of like likelihood functions for model calibration and parameter uncertainty analysis within a Markow chain Monte Carlo scheme. J. Hydrol. 2014, 519, 2202–2214. [Google Scholar] [CrossRef]
- Evenson, G.R.; Golden, H.E.; Lane, C.R.; D’Amico, E. Geographically isolated wetlands and watershed hydrology: A modified model analysis. J. Hydrol. 2015, 529, 240–256. [Google Scholar] [CrossRef]
- Leta, O.T.; El-Kadi, A.I.; Dulai, H.; Ghazal, K. Assessment of climate change impacts on water balance components of Heeia watershed in Hawaii. J. Hydrol. Reg. Stud. 2016, 8, 182–197. [Google Scholar] [CrossRef]
- Thomas, B.F.; Vogel, R.M.; Famiglietti, J.S. Objective hydrograph baseflow recession analysis. J. Hydrol. 2015, 525, 102–112. [Google Scholar] [CrossRef]
- Sposito, G. Topological groundwater hydrodynamics. Adv. Water Resour. 2001, 24, 793–801. [Google Scholar] [CrossRef]
- Jung, Y.; Shin, Y.; Won, N.; Lim, K.J. Web-Based Bflow system for the Assessment of Streamflow characteristics at National Level. Water 2016, 8, 384. [Google Scholar] [CrossRef]
- Lim, K.J.; Park, Y.S.; Kim, J.G.; Shin, Y.C.; Kim, N.W.; Jeon, J.H.; Engel, B.A.; Kim, S.J.; Jeon, J.H. Development of Genetic Algorithm-Based Optimization Module in WHAT System for Hydrograph Analysis and Model Application. Comput. Geosci. 2010, 36, 936–944. [Google Scholar] [CrossRef]
- Lee, J.; Park, Y.S.; Jung, Y.; Cho, J.; Yang, J.E.; Lee, G.; Kim, K.S.; Lim, K.J. Analysis of spatio-temporal changes in groundwater recharge and baseflow using SWAT and Bflow models. J. Korean Soc. Water Environ. 2014, 30, 549–558. [Google Scholar] [CrossRef]
- Rutledge, A.T.; Mesko, T.O. Estimated Hydrologic Characteristics of Shallow Aquifer Systems in the Valley and Ridge, the Blue Ridge, and the Piedmont Physiographic Provinces Based on Analysis of Streamflow Recession and Base Flow; U.S. Geological Survey: Reston, VA, USA, 1996; pp. 1–58.
- Molugaram, K.; Rao, G.S.; Shah, A.; Davergave, N. Chapter 5—Curve Fitting. In Statistical Techniques for Transportation Engineering; Butterworth-Heinemann: Woburn, MA, USA, 2017; pp. 281–292. [Google Scholar]
- Healy, R.W.; Cook, P.G. Using groundwater levels to estimate recharge. Hydrogel. J. 2002, 10, 91–109. [Google Scholar] [CrossRef]
- Sloto, R.A.; Crouse, M.Y. HYSEP: A Computer Program for Streamflow Hydrograph Separation and Analysis; No. 96–4040; U.S. Geological Survey Water-Resources Investigations Report; U.S. Geological Survey: Reston, VA, USA, 1996; pp. 1–54.
- Rutledge, A. Computer Programs for Describing the Recession of Ground-Water Discharge and for Estimating Mean Ground-Water Recharge and Discharge from Stream-flow Records: Update; U.S. Geological Survey Water-Resources Investigations Report; U.S. Geological Survey: Reston, VA, USA, 1998; pp. 98–4148.
- Arnold, J.G.; Allen, P.M. Automated Methods for Estimating Baseflow and Groundwater Recharge from Streamflow Records. J. Am. Water Resour. Assoc. 1999, 35, 411–424. [Google Scholar] [CrossRef]
- Arnold, J.G.; Allen, P.M.; Muttiah, R.; Bernhardt, G. Automated Base Flow Separation and Recession Analysis Techniques. Groundwater 1995, 33, 1010–1018. [Google Scholar] [CrossRef]
- Lim, K.J.; Engel, B.A.; Tang, Z.; Choi, J.; Kim, K.; Muthu, K.S.; Tripathy, D. Automated Web GIS Based Hydrograph Analysis Tool, WHAT 1. J. Am. Water Resour. Assoc. 2005, 41, 1407–1416. [Google Scholar] [CrossRef]
- Yang, J.S.; Chi, D.K. Correlation Analysis between Groundwater Level and Baseflow in the Geum River Water-shed, Calculated Using the WHAT System. J. Eng. Geol. 2011, 21, 107–116. [Google Scholar] [CrossRef]
- Chapman, T.G.; Maxwell, A.I. Baseflow Separation Comparison of Numerical Methods with Tracer Experiments. In Proceedings of the 23rd Hydrology and Water Resources Symposium, Hobart, Tasmania, Australia, 21–24 May 1996; Volume 96, pp. 539–545. [Google Scholar]
- Brutsaert, W.; Nieber, J.L. Regionalized drought flow hydrographs from a mature glaciated plateau. Water Resour. 1977, 13, 637–643. [Google Scholar] [CrossRef]
- Navarro, E.M.; Alegria, M.H.; Perez, S.M.; Hernandez, J.R.; Moctezuma, A.M.; Merlin, A.S. Hydrological modeling and climate change impacts in an agricultural semiarid region. Case study: Guadalupe river basin, Mexico. Agric. Water Manag. 2016, 175, 29–42. [Google Scholar] [CrossRef]
- Mehran, N.; Christopher, O.; Robert, M. Pathogen transport and fate modeling in the upper Salem river watershed using SWAT model. J. Environ. Manag. 2015, 151, 167–177. [Google Scholar]
- Lee, J.E.; Heo, J.H.; Lee, J.; Kim, N.W. Assessment of Flood frequency alteration by Dam construction via SWAT simulation. Water 2014, 9, 264. [Google Scholar] [CrossRef]
- Ligaray, M.; Kim, H.; Sthiannopkao, S.; Lee, S.; Cho, K.H.; Kim, J.H. Assessment on Hydrologic Response by climate change in the Chao Phraya river basin, Thailand. Water 2015, 7, 6892–6909. [Google Scholar] [CrossRef]
- Lee, J.; Park, Y.S.; Kum, D.; Jung, Y.; Kim, B.; Hwang, S.J.; Kim, H.B.; Kim, C.; Lim, K.J. Assessing the effect of watershed slopes on recharge/baseflow and soil erosion. Paddy Water Environ. 2014, 12 (Suppl. 1), S169–S183. [Google Scholar] [CrossRef]
- Arnold, J.G. Spatial Scale Variability in Model Development and Parameterization. Ph.D. Thesis, Purdue University, West Lafayette, IN, USA, 1992; pp. 1–186. [Google Scholar]
- Arnold, J.G.; Srubuvasan, R.; Muttiah, R.; Muttiah., R.S.; Williams, J.R. Large area hydrologic modeling and assessment, part I: Model development. J. Am. Water Resour. Assoc. 1998, 34, 73–89. [Google Scholar] [CrossRef]
- Lee, G.; Shin, Y.; Jung, Y. Development of WEB-Based RECESS model for estimating baseflow using SWAT. Sustainability 2014, 6, 2357–2378. [Google Scholar] [CrossRef]
- Abbaspour, K.C. SWAT-CUP4: SWAT Calibration and Uncertainty Programs—A User Manual; EAWAG Swiss Federal Institute of Aquatic Science and Technology: Dubendorf, Switzerland, 2011; pp. 1–103. [Google Scholar]
- Abbaspour, K.C.; Yang, J.; Maximov, I.; Siber, R.; Bonger, K.; Mieleitner, J.; Zobrist, J.; Srinivasan, R. Modeling hydrology and water quality in the pre-alpine Thur watershed using SWAT. J. Hydrol. 2007, 332, 413–430. [Google Scholar] [CrossRef]
- Van Griensven, A.; Meixner, T. Methods to quantify and identify the sources of uncertainty for river basin water quality models. J. Water Sci. Technol. 2006, 53, 51–59. [Google Scholar] [CrossRef]
- Beven, K.J.; Binley, A.M. The future of distributed models: model calibration and uncertainty prediction. J. Hydrol. Process. 1992, 6, 273–298. [Google Scholar] [CrossRef]
- Eberhart, R.; Kennedy, J. A New optimizer using particle swarm theory. In Proceedings of the Sixth International Symposium on Micro Machine and Human Science, Nagoya, Japan, 4–6 October 1995; pp. 39–43. [Google Scholar]
- Kuczera, G.; Parent, E. Monte Carlo assessment of parameter uncertainty in conceptual catchment models: The Metropolis algorithm. J. Hydrol. 1998, 211, 69–85. [Google Scholar] [CrossRef]
- Paul, S.; Cashman, M.A.; Szura, K.; Pradhanang, S.M. Assessment of nitrogen inputs into Hunt river by onsite wastewater treatment system via SWAT simulation. Water 2017, 9, 610. [Google Scholar] [CrossRef]
- Gebiaw, T.A.; Engidasew, Z.T.; Bofu, Y.; Ian, D.R.; Jaehak, J. Streamflow and sediment yield prediction for watershed prioritization in the upper Blue Nile river basin, Ethiopia. Water 2017, 9, 782. [Google Scholar]
- Gokhan, C.; Karim, C.A.; Izzet, O. Assessing the water-resource potential of Istanbul by using a soil and water assessment tool (SWAT) hydrological model. Water 2017, 9, 814. [Google Scholar]
- Lyne, V.D.; Hollick, M. Stochastic Time-Variable Rainfall Runoff Modeling. In Proceedings of the Institute of Engineers Australia National Conference, Perth, Australia, 10–12 September 1979; pp. 89–92. [Google Scholar]
- Schwartz, S.S.; Smith, B.; McGuire, M. Baseflow Signatures of Sustainable Water Resources; Final Report to the Hughes Center for Agroecology; Hughes Center for Agroecology: Queenstown, MD, USA, 2012. [Google Scholar]
- Willmott, C.J.; Wicks, D.E. An empirical method for the spatial interpolation of monthly precipitation within California. Phys. Geogr. 1980, 1, 59–73. [Google Scholar]
- Willmott, C.J. On the validation of models. Phys. Geogr. 1981, 2, 184–194. [Google Scholar]
- Moriasi, D.N.; Arnold, J.G.; Van Liew, M.W.; Binger, R.L.; Harmel, R.D.; Veith, T.L. Model evaluation guidelines for systematic quantification of accuracy in Watershed simulations. Am. Soc. Agric. Biol. Eng. 2007, 50, 885–900. [Google Scholar]
- Singh, J.; Knapp, H.V.; Demissie, M. Hydrologic Modeling of the Iroquois River Watershed Using HSPF and SWAT; ISWS CR 2004-08; Illinois State Water Survey: Champaign, IL, USA, 2004; pp. 1–24. [Google Scholar]
- Saleh, A.; Arnold, J.; Gassman, P.W.A.; Huack, L.; Rosenthal, W.; Williams, J.; McFarland, A. Application of SWAT for the upper north Bosque river watershed. Am. Soc. Agric. Biol. Eng. 2000, 43, 1077–1087. [Google Scholar] [CrossRef]
- Ramanarayanan, T.S.; Wiliams, J.R.; Dugas, W.A.; Hauck, L.M.; McFarland, A.M.S. Using APEX to Identify Alternative Practices for Animal Waste management. In Proceedings of the ASAE International Meeting, Minneapolis, MN, USA, 10–14 August 1997; pp. 97–2209. [Google Scholar]
- Santhi, C.; Arnold, J.G.; Williams, R.; Dugas, W.A.; Srinivasan, R.; Hauck, L.M. Validation of the SWAT model on a large river basin with point and nonpoint sources. J. Am. Water Resour. Assoc. 2001, 37, 1169–1188. [Google Scholar] [CrossRef]
- Van Liew, M.W.; Arnold, J.G.; Garbrecht, J.D. Hydrologic simulation on agricultural watershed: Choosing between two models. Trans. ASAE 2003, 46, 1539–1551. [Google Scholar] [CrossRef]






| Study Watershed | Periods | Area (km2) | Precipitation (mm/year) | Average Slope (%) | Highest Elevation (m) |
|---|---|---|---|---|---|
| Seoul | 2008~2011 | 99.2 | 1751 | 9 | 600 |
| Musim | 2014~2016 | 156.7 | 869 | 11 | 595 |
| Osu | 2013~2016 | 392.0 | 1268 | 13 | 900 |
| Andong | 2010~2013 | 649.8 | 1237 | 27 | 1560 |
| Pyeongchang | 2007~2010 | 696.0 | 1310 | 21 | 1560 |
| Streamflow | Scenario I | Scenario II | ||||||||
|---|---|---|---|---|---|---|---|---|---|---|
| NSE | R2 | RMSE | MAE | d | NSE | R2 | RMSE | MAE | d | |
| Seoul | 0.573 | 0.762 | 21.454 | 5.000 | 0.790 | 0.579 | 0.763 | 21.382 | 4.978 | 0.793 |
| Musim | 0.974 | 0.974 | 1.040 | 0.845 | 0.970 | 0.989 | 0.989 | 0.258 | 0.161 | 0.995 |
| Osu | 0.666 | 0.672 | 13.771 | 4.265 | 0.898 | 0.666 | 0.673 | 13.240 | 4.041 | 0.901 |
| Andong | 0.546 | 0.549 | 30.500 | 10.500 | 0.837 | 0.547 | 0.558 | 30.470 | 10.390 | 0.840 |
| Pyeongchang | 0.562 | 0.564 | 34.060 | 11.708 | 0.840 | 0.567 | 0.569 | 33.850 | 11.340 | 0.845 |
| Method | Value | Performance Rating |
|---|---|---|
| NSE | NSE ≥ 0.65 | Very good |
| 0.54 ≤ NSE ≤ 0.65 | Adequate | |
| NSE ≥ 0.50 | Satisfactory |
| Recession Curve | Scenario I | Scenario II | ||||||||
|---|---|---|---|---|---|---|---|---|---|---|
| NSE | R2 | RMSE | MAE | d | NSE | R2 | RMSE | MAE | d | |
| Seoul | 0.534 | 0.723 | 30.585 | 7.920 | 0.766 | 0.537 | 0.725 | 30.480 | 7.751 | 0.768 |
| Musim | 0.969 | 0.971 | 1.089 | 0.893 | 0.981 | 0.988 | 0.989 | 0.288 | 0.169 | 0.992 |
| Osu | 0.745 | 0.752 | 18.031 | 5.233 | 0.916 | 0.746 | 0.752 | 18.010 | 5.202 | 0.917 |
| Andong | 0.604 | 0.639 | 34.276 | 12.066 | 0.834 | 0.606 | 0.640 | 34.183 | 12.026 | 0.836 |
| Pyeongchang | 0.696 | 0.794 | 38.180 | 13.206 | 0.876 | 0.704 | 0.797 | 37.678 | 12.711 | 0.881 |
| Baseflow | Scenario I | Scenario II | ||||||||
|---|---|---|---|---|---|---|---|---|---|---|
| NSE | R2 | RMSE | MAE | d | NSE | R2 | RMSE | MAE | d | |
| Seoul | 0.479 | 0.853 | 5.449 | 2.397 | 0.738 | 0.503 | 0.853 | 5.324 | 2.387 | 0.758 |
| Musim | 0.902 | 0.932 | 0.512 | 0.384 | 0.961 | 0.982 | 0.987 | 0.156 | 0.143 | 0.996 |
| Osu | 0.509 | 0.511 | 3.159 | 2.134 | 0.824 | 0.586 | 0.589 | 2.900 | 2.051 | 0.863 |
| Andong | 0.622 | 0.689 | 6.057 | 4.657 | 0.904 | 0.627 | 0.691 | 6.022 | 4.067 | 0.906 |
| Pyeongchang | 0.788 | 0.791 | 6.473 | 4.524 | 0.934 | 0.810 | 0.811 | 6.134 | 4.179 | 0.946 |
© 2018 by the authors. Licensee MDPI, Basel, Switzerland. This article is an open access article distributed under the terms and conditions of the Creative Commons Attribution (CC BY) license (http://creativecommons.org/licenses/by/4.0/).
Share and Cite
Lee, J.; Kim, J.; Jang, W.S.; Lim, K.J.; Engel, B.A. Assessment of Baseflow Estimates Considering Recession Characteristics in SWAT. Water 2018, 10, 371. https://doi.org/10.3390/w10040371
Lee J, Kim J, Jang WS, Lim KJ, Engel BA. Assessment of Baseflow Estimates Considering Recession Characteristics in SWAT. Water. 2018; 10(4):371. https://doi.org/10.3390/w10040371
Chicago/Turabian StyleLee, Jimin, Jonggun Kim, Won Seok Jang, Kyoung Jae Lim, and Bernie A. Engel. 2018. "Assessment of Baseflow Estimates Considering Recession Characteristics in SWAT" Water 10, no. 4: 371. https://doi.org/10.3390/w10040371
APA StyleLee, J., Kim, J., Jang, W. S., Lim, K. J., & Engel, B. A. (2018). Assessment of Baseflow Estimates Considering Recession Characteristics in SWAT. Water, 10(4), 371. https://doi.org/10.3390/w10040371
