Impact of Lake Morphology and Shallowing on the Rate of Overgrowth in Hard-Water Eutrophic Lakes
Abstract
1. Introduction
2. Materials and Methods
2.1. Lake Shallowing
2.2. Lake Overgrowth
2.3. Phytoplankton and Nutrient Analysis
2.4. Statistical Analysis
3. Results
3.1. Impact of Morphology on Shallowing
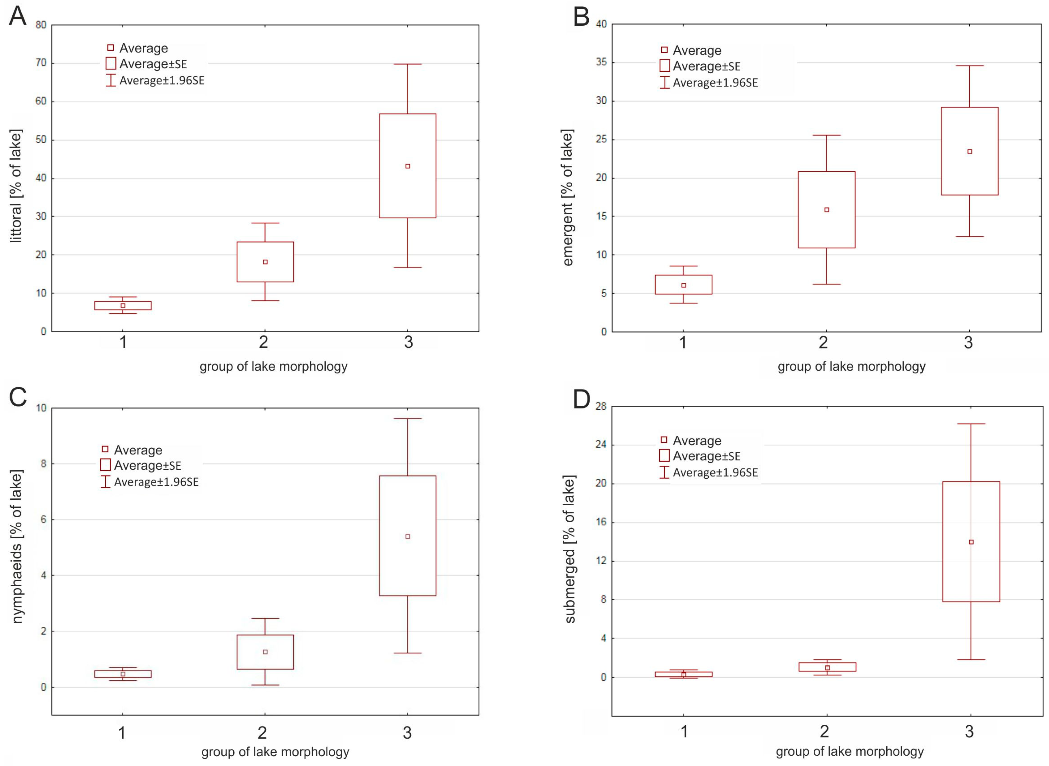
3.2. Morphology and Overgrowth
3.3. Shallowing and Overgrowth
3.4. Phytoplankton and Water Chemistry
4. Discussion
4.1. Assessment of the Impact of Lake Morphology on the Process of Shallowing
4.2. The Impact of the Shallowing Process on the Development of Macrophytes
4.3. Intensity of Phytoplankton Blooms in Lakes with Varied Morphology
5. Conclusions
Supplementary Materials
Author Contributions
Funding
Acknowledgments
Conflicts of Interest
References
- Alahuhta, J.; Kanninen, A.; Hellsten, S.; Vuori, K.M.; Kuoppala, M.; Hämäläinen, H. Variable response of functional macrophyte groups to lake characteristics, land use, and space: Implications for bioassessment. Hydrobiologia 2014, 737, 201–214. [Google Scholar] [CrossRef]
- Jeppesen, E.; Brucet, S.; Naselli-Flores, L.; Papastergiadou, E.; Stefanidis, K.; Nõges, T.; Nõges, P.; Attayde, J.L.; Zohary, T.; Coppens, J.; et al. Ecological impacts of global warming and water abstraction on lakes and reservoirs due to changes in water level and related changes in salinity. Hydrobiologia 2015, 750, 201–227. [Google Scholar] [CrossRef]
- Kolada, A. The effect of lake morphology on aquatic vegetation development and changes under the influence of eutrophication. Ecol. Indic. 2014, 38, 282–293. [Google Scholar] [CrossRef]
- Yan, L.; Zheng, M. The response of lake variations to climate change in the past forty years: A case study of the northeastern Tibetan Plateau and adjacent areas, China. Quat. Int. 2015, 371, 31–48. [Google Scholar] [CrossRef]
- Vitousek, P.M.; Howarth, R.W. Nitrogen Limitation on Land and in the Sea: How Can It Occur? Nitrogen limitation on land and in the sea: How can it occur? Biogeochemistry 2007, 13, 87–115. [Google Scholar] [CrossRef]
- Choiński, A.; Ptak, M.; Ławniczak, A.E. Changes in water resources of Polish lakes as influenced by natural and anthropogenic factors. Pol. J. Environ. Stud. 2016, 25, 1883–1890. [Google Scholar] [CrossRef]
- Partanen, S.; Luoto, M. Environmental determinants of littoral paludification in boreal lakes. Limnologica 2006, 36, 98–109. [Google Scholar] [CrossRef]
- Strayer, D.L.; Findlay, S.E.G. Ecology of freshwater shore zones. Aquat. Sci. 2010, 72, 127–163. [Google Scholar] [CrossRef]
- Dunalska, J.A.; Grochowska, J.; Wiśniewski, G.; Napiórkowska-Krzebietke, A. Can we restore badly degraded urban lakes? Ecol. Eng. 2015, 82, 432–441. [Google Scholar] [CrossRef]
- Lawniczak, A.E.; Zbierska, J.; Nowak, B.; Achtenberg, K.; Grześkowiak, A.; Kanas, K. Impact of agriculture and land use on nitrate contamination in groundwater and running waters in central-west Poland. Environ. Monit. Assess. 2016, 188, 172. [Google Scholar] [CrossRef]
- Bai, J.; Chen, X.; Li, J.; Yang, L.; Fang, H. Changes in the area of inland lakes in arid regions of central Asia during the past 30 years. Environ. Monit. Assess. 2011, 178, 247–256. [Google Scholar] [CrossRef] [PubMed]
- Søndergaard, M.; Phillips, G.; Hellsten, S.; Kolada, A.; Ecke, F.; Mäemets, H.; Mjelde, M.; Azzella, M.M.; Oggioni, A. Maximum growing depth of submerged macrophytes in European lakes. Hydrobiologia 2013, 704, 165–177. [Google Scholar] [CrossRef]
- Mohamed, Z.A. Macrophytes-cyanobacteria allelopathic interactions and their implications for water resources management—A review. Limnologica 2017, 63, 122–132. [Google Scholar] [CrossRef]
- Silliman, J.E.; Schelske, C.L. Saturated hydrocarbons in the sediments of Lake Apopka, Florida. Org. Geochem. 2003, 34, 253–260. [Google Scholar] [CrossRef]
- Scheffer, M.; Hosper, S.H.; Meijer, M.L.; Moss, B.; Jeppesen, E. Alternative equilibria in shallow lakes. Trends Ecol. Evol. 1993, 8, 275–279. [Google Scholar] [CrossRef]
- Hilt, S.; Brothers, S.; Jeppesen, E.; Veraart, A.J.; Kosten, S. Translating Regime Shifts in Shallow Lakes into Changes in Ecosystem Functions and Services. BioScience 2017, 67, 928–936. [Google Scholar] [CrossRef]
- EU. Directive 2000/60/EC of the European Parliament and of the Council of 23 Oct. 2000 Establishing a Frame-Work for Community Action in the Field of Water Policy; The Publications Office of the European Union: Luxembourg, 2000. [Google Scholar]
- Lawniczak-Malińska, A.E.; Achtenberg, K. Indicator values of emergent vegetation in overgrowing lakes in relation to water and sediment chemistry. Water 2018, 10, 498. [Google Scholar] [CrossRef]
- Carlson, R.E. A trophic state index for lakes. Limnol. Oceanogr. 1977, 22, 361–369. [Google Scholar] [CrossRef]
- Choiński, A. Physical Limnology of Poland; Adam Mickiewicz University in Poznań: Poznań, Poland, 2007. [Google Scholar]
- Braun-Blanquet, J. Pflanzensoziologie; Grundzüge der Vegetationskunde; Springer-Verlag Wien: New York, NY, USA, 1964. (In German) [Google Scholar]
- Maimon, O.; Rokach, L. Data Mining and Knowledge Discovery Handbook; Springer: Boston, MA, USA, 2005. [Google Scholar]
- Ter Braak, C.J.F.; Smilauer, P. CANOCO Reference Manual and CanoDraw for Windows User’s Guide Software for Canonical Community Ordination (Version 4.5); Biometris: Wageningen, The Netherlands, 2002. [Google Scholar]
- Brenner, M.; Schelske, C.L.; Keenan, L.W. Historical rates of sediment and nutrient accumulation in marshes of the upper St. Johns River Basin, Florida, USA. J. Paleolimnol. 2001, 26, 241–257. [Google Scholar] [CrossRef]
- Schelske, C.L.; Lowe, E.F.; Kenney, W.F.; Battoe, L.E.; Brenner, M.; Coveney, M.F. How anthropogenic darkening of Lake Apopka induced benthic light limitation and forced the shift from macrophyte to phytoplankton dominance. Limnol. Oceanogr. 2010, 55, 1201–1212. [Google Scholar] [CrossRef]
- Crisman, T.L.; Mitraki, C.; Zalidis, G. Integrating vertical and horizontal approaches for management of shallow lakes and wetlands. Ecol. Eng. 2005, 24, 379–389. [Google Scholar] [CrossRef]
- Bachmann, R.W.; Hoyer, M.V.; Vinzon, S.B.; Canfield, D.E. The origin of the fluid mud layer in Lake Apopka, Florida. Limnol. Oceanogr. 2005, 50, 629–635. [Google Scholar] [CrossRef]
- Trepagnier, C.M.; Kogas, M.A.; Turner, R.E. Evaluation of Wetland Gain and Loss of Abandoned Agricultural Impoundments in South Louisiana, 1978–1988. Restor. Ecol. 1995, 3, 299–303. [Google Scholar] [CrossRef]
- Alahuhta, J.; Luukinoja, J.; Tukiainen, H.; Hjort, J. Importance of spatial scale in structuring emergent lake vegetation across environmental gradients and scales: GIS-based approach. Ecol. Indic. 2016, 60, 1164–1172. [Google Scholar] [CrossRef]
- Citterio, A.; Piégay, H. Overbank sedimentation rates in former channel lakes: Characterization and control factors. Sedimentology 2009, 56, 461–482. [Google Scholar] [CrossRef]
- Tammeorg, O.; Niemistö, J.; Möls, T.; Laugaste, R.; Panksep, K.; Kangur, K. Wind-induced sediment resuspension as a potential factor sustaining eutrophication in large and shallow Lake Peipsi. Aquat. Sci. 2013, 75, 559–570. [Google Scholar] [CrossRef]
- Egertson, C.J.; Kopaska, J.A.; Downing, J.A. A century of change in macrophyte abundance and composition in response to agricultural eutrophication. Hydrobiologia 2004, 524, 145–156. [Google Scholar] [CrossRef]
- Smith, V.H.; Wallsten, M. Prediction of Emergent and Floating-leaved Macrophyte Cover Swedish Lakes. Can. J. Fish. Aquat. Sci. 1986, 43, 2519–2523. [Google Scholar] [CrossRef]
- Vestergaard, O.; Sand-Jensen, K. Aquatic macrophyte richness in Danish lakes in relation to alkalinity, transparency, and lake area. Can. J. Fish. Aquat. Sci. 2000, 57, 2022–2031. [Google Scholar] [CrossRef]
- Riis, T.; Hawes, I. Effect of wave exposure on vegetation abundance, richness and depth distribution of shallow water plants in a New Zealand lake. Freshw. Biol. 2003, 48, 75–87. [Google Scholar] [CrossRef]
- Ogdahl, M.E.; Steinman, A.D. Factors influencing macrophyte growth and recovery following shoreline restoration activity. Aquat. Bot. 2015, 120, 363–370. [Google Scholar] [CrossRef]
- Ptak, M. Historical medium-scale maps as a source of information on the overgrowing of lakes. Limnol. Rev. 2013, 13, 155–162. [Google Scholar] [CrossRef]
- Jagus, A.; Rzetala, M. Influence of Agricultural Anthropopression on Water Quality of the Dam Reservoirs. Ecol. Chem. Eng. S/Chem. I Inzynieria Ekologiczna S 2011, 18, 359–367. [Google Scholar]
- Reddy, K.R.; DeBusk, W.F.; DeLaune, R.D.; Koch, M.S. Long-Term Nutrient Accumulation Rates in the Everglades. Soil Sci. Soc. Am. J. 1993, 57, 1147. [Google Scholar] [CrossRef]
- Schoelynck, J.; Bal, K.; Verschoren, V.; Penning, E.; Struyf, E.; Bouma, T.; Meire, D.; Meire, P.; Temmerman, S. Different morphology of Nuphar lutea in two contrasting aquatic environments and its effect on ecosystem engineering. Earth Surf. Process. Landf. 2014, 39, 2100–2108. [Google Scholar] [CrossRef]
- Lawniczak, A.E.; Zbierska, J.; Choiński, A.; Szczepaniak, W. Response of emergent macrophytes to hydrological changes in a shallow lake, with special reference to nutrient cycling. Hydrobiologia 2010, 656, 243–254. [Google Scholar] [CrossRef]
- Bornette, G.; Puijalon, S. Response of aquatic plants to abiotic factors: A review. Aquat. Sci. 2011, 73, 1–14. [Google Scholar] [CrossRef]
- Crisman, T.L.; Alexandridis, T.K.; Zalidis, G.C.; Takavakoglou, V. Phragmites distribution relative to progressive water level decline in Lake Koronia, Greece. Ecohydrology 2014, 7, 1403–1411. [Google Scholar] [CrossRef]
- Carvalho, L.; Mcdonald, C.; de Hoyos, C.; Mischke, U.; Phillips, G.; Borics, G.; Poikane, S.; Skjelbred, B.; Solheim, A.L.; Van Wichelen, J.; et al. Sustaining recreational quality of European lakes: Minimizing the health risks from algal blooms through phosphorus control. J. Appl. Ecol. 2013, 50, 315–323. [Google Scholar] [CrossRef]
- Descy, J.P.; Leprieur, F.; Pirlot, S.; Leporcq, B.; Van Wichelen, J.; Peretyatko, A.; Teissier, S.; Codd, G.A.; Triest, L.; Vyverman, W.; et al. Identifying the factors determining blooms of cyanobacteria in a set of shallow lakes. Ecol. Inform. 2016, 34, 129–138. [Google Scholar] [CrossRef]
- Izaguirre, I.; Allende, L.; Escaray, R.; Bustingorry, J.; Pérez, G.; Tell, G. Comparison of morpho-functional phytoplankton classifications in human-impacted shallow lakes with different stable states. Hydrobiologia 2012, 698, 203–216. [Google Scholar] [CrossRef]
- Søndergaard, M.; Lauridsen, T.L.; Johansson, L.S.; Jeppesen, E. Nitrogen or phosphorus limitation in lakes and its impact on phytoplankton biomass and submerged macrophyte cover. Hydrobiologia 2017, 795, 35–48. [Google Scholar] [CrossRef]
- Dolman, A.M.; Rücker, J.; Pick, F.R.; Fastner, J.; Rohrlack, T.; Mischke, U.; Wiedner, C. Cyanobacteria and cyanotoxins: The influence of nitrogen versus phosphorus. PLoS ONE 2012, 7, e38757. [Google Scholar] [CrossRef] [PubMed]
- Havens, K.E.; Walker, W.W. Development of a total phosphorus concentration goal in the TMDL process for Lake Okeechobee, Florida (USA). Lake Reserv. Manag. 2002, 18, 227–238. [Google Scholar] [CrossRef]
- Vermonden, K.; Leuven, R.S.E.W.; van der Velde, G.; Hendriks, A.J.; van Katwijk, M.M.; Roelofs, J.G.M.; Lucassen, E.C.H.E.T.; Pedersen, O.; Sand-Jensen, K. Species pool versus site limitations of macrophytes in urban waters. Aquat. Sci. 2010, 72, 379–389. [Google Scholar] [CrossRef]







| Parameter | Unit | Group of Morphology | F | p | ||
|---|---|---|---|---|---|---|
| 1 | 2 | 3 | ||||
| Surface area | ha | 84.7 ± 10.83 a | 49.92 ± 10.26 b | 22.06 ± 6.44 c | 76.73 | 0.000 |
| Volume change | mln m3 | 4.43 ± 1.64 a | 1.86 ± 1.63 b | 0.40 ± 0.18 c | 50.52 | 0.000 |
| Average depth | m | 5.30 ± 2.19 a | 3.59 ± 2.80 b | 1.82 ± 0.61 c | 53.57 | 0.000 |
| Shallowing <0.2 m | m | 88.33 ± 7.10 a | 70.14 ± 22.54 ab | 64.36 ± 14.54 b | 7.00 | 0.006 |
| Shallowing >0.2 m | m | 11.67 ± 7.10 a | 29.86 ± 22.54 ab | 34.84 ± 13.42 b | 7.63 | 0.004 |
| Shoreline length | km | 5.24 ± 0.48 a | 4.84 ± 1.72 b | 3.25 ± 0.47 b | 16.74 | 0.000 |
| Area of isobaths 1 m | % | 8.15 ± 2.55 a | 17.42 ± 8.69 ab | 24.16 ± 8.97 b | 5.88 | 0.011 |
| Volume change (1960–2015) | % | 5.88 ± 5.51 a | 21.08 ± 15.62 a | 19.95 ± 13.58 a | 2.76 | 0.091 |
| Surface area change (1960–2015) | % | 9.37 ± 5.86 a | 22.45 ± 11.37 a | 19.98 ± 9.34 a | 3.53 | 0.052 |
| RDA Axes Summary | RDA1 | RDA2 | Total Variance |
|---|---|---|---|
| Eigenvalues | 0.642 | 0.051 | 1.000 |
| Species–environment correlation | 0.866 | 0.709 | |
| Cumulative percentage variance of species data | 64.2 | 69.4 | |
| of species–environment relation | 91.3 | 98.6 | |
| Sum of all canonical eigenvalues | 0.704 |
| Parameter | Model | R2 | F | p |
|---|---|---|---|---|
| Littoral | =42.81 + 30.59shall. − 48.49surf. | 0.80 | 15.25 | 0.00004 |
| Emergent | =−94.59 − 3.13surf. + 4.74shall.2 | 0.73 | 14.48 | 0.00008 |
| Submerged | =102.47 − 24.43surf. + 1.43surf.2 | 0.77 | 28.09 | 0.000004 |
| Nymphaeids | =29.19 − 66.5surf. + 0.37surf.2 | 0.53 | 9.58 | 0.002 |
| RDA Axes Summary | RDA1 | RDA2 | Total Variance |
|---|---|---|---|
| Eigenvalues: | 0.379 | 0.047 | 1.000 |
| Species–environment correlations: | 0.665 | 0.692 | |
| Cumulative percentage variance | |||
| of species data | 37.9 | 42.6 | |
| of species–environment relation | 87.0 | 97.8 | |
| Sum of all canonical eigenvalues | 0.435 |
© 2018 by the authors. Licensee MDPI, Basel, Switzerland. This article is an open access article distributed under the terms and conditions of the Creative Commons Attribution (CC BY) license (http://creativecommons.org/licenses/by/4.0/).
Share and Cite
Lawniczak-Malińska, A.; Ptak, M.; Celewicz, S.; Choiński, A. Impact of Lake Morphology and Shallowing on the Rate of Overgrowth in Hard-Water Eutrophic Lakes. Water 2018, 10, 1827. https://doi.org/10.3390/w10121827
Lawniczak-Malińska A, Ptak M, Celewicz S, Choiński A. Impact of Lake Morphology and Shallowing on the Rate of Overgrowth in Hard-Water Eutrophic Lakes. Water. 2018; 10(12):1827. https://doi.org/10.3390/w10121827
Chicago/Turabian StyleLawniczak-Malińska, Agnieszka, Mariusz Ptak, Sofia Celewicz, and Adam Choiński. 2018. "Impact of Lake Morphology and Shallowing on the Rate of Overgrowth in Hard-Water Eutrophic Lakes" Water 10, no. 12: 1827. https://doi.org/10.3390/w10121827
APA StyleLawniczak-Malińska, A., Ptak, M., Celewicz, S., & Choiński, A. (2018). Impact of Lake Morphology and Shallowing on the Rate of Overgrowth in Hard-Water Eutrophic Lakes. Water, 10(12), 1827. https://doi.org/10.3390/w10121827

