Potential of Deficit and Supplemental Irrigation under Climate Variability in Northern Togo, West Africa
Abstract
:1. Introduction
2. Materials and Methods
2.1. Study Area
2.2. Methods
2.2.1. Adapted Framework for the Evaluation of Irrigation Management Alternatives
2.2.2. Processing of Climate Data and Set-Up of the LARS Weather Generator
2.2.3. Description and Set-Up of the Crop Simulation Model
2.2.4. Soil Data and Calibration of the Crop Simulation Model
2.2.5. Optimal Irrigation Scheduling with Limited Water Supply
3. Results and Discussion
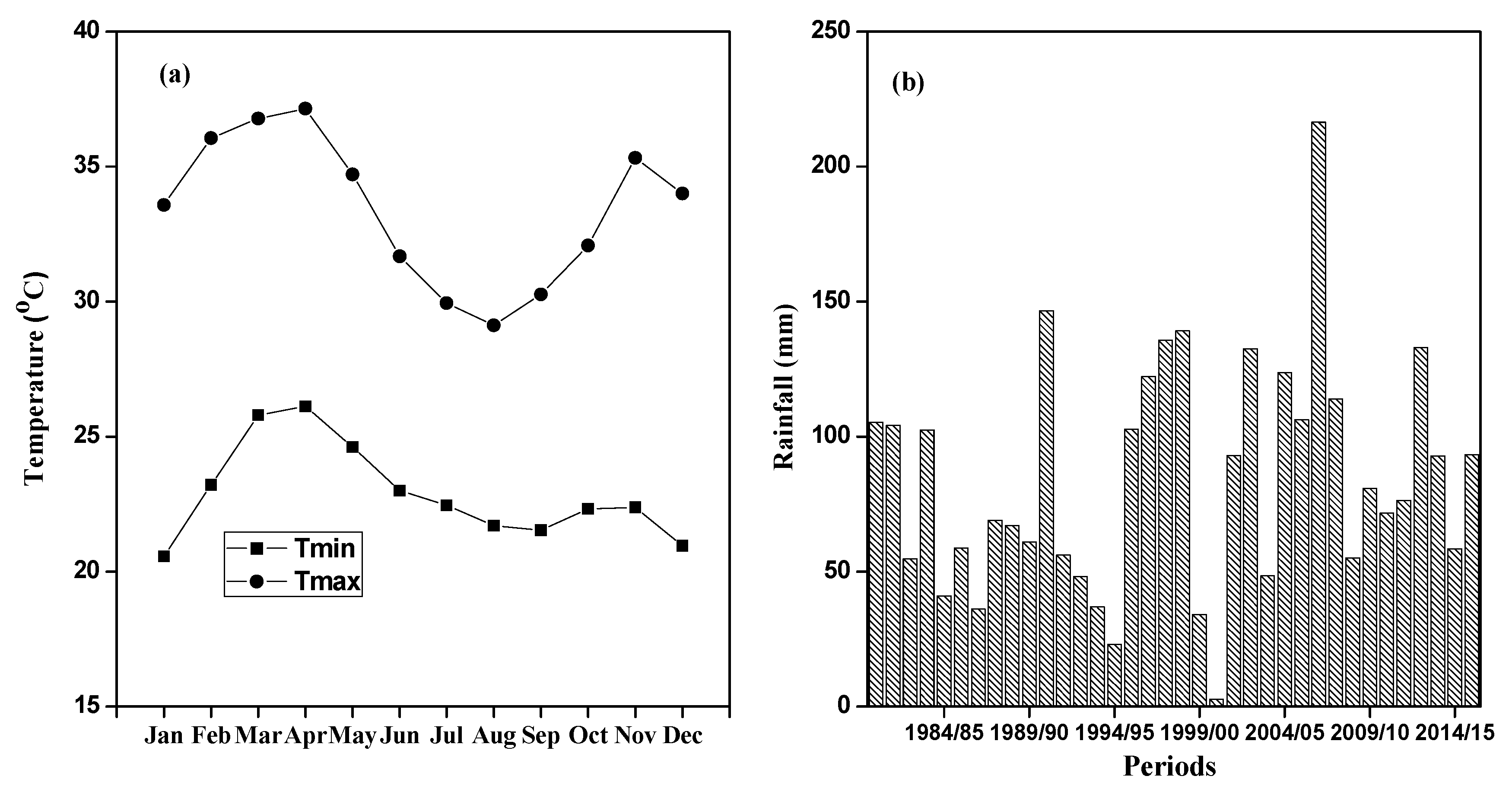
3.1. Traits of the Climate in Dapaong
3.2. Validation and Application of the LARS Weather Generator
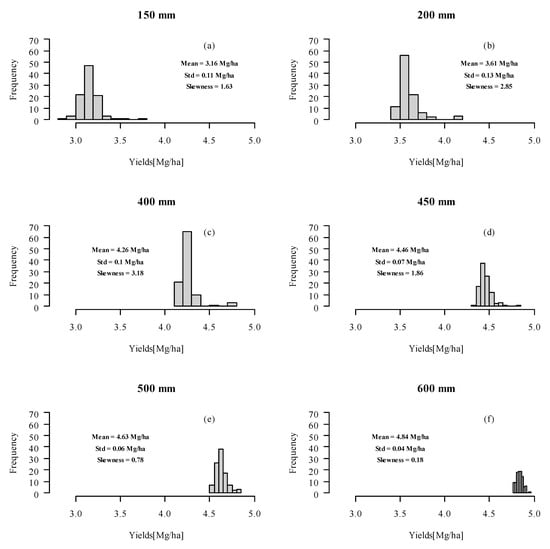
3.3. Evaluation of Irrigation Management Strategies
3.3.1. Wet Season—Rainfed and Supplemental Irrigation Systems
3.3.2. Dry Season—Conventional Irrigation System (DS-CDI and DS-FI)
3.4. Summary of the Discussion
4. Conclusions
Author Contributions
Funding
Acknowledgments
Conflicts of Interest
Appendix A
| APSI MCDI | Agricultural Production Systems Simulator Controlled Deficit Irrigation |
| CWPF | Crop-Water Production Functions |
| DAISY DAP | Danish simulation model for transformation and transport of energy and matter in the soil plant atmosphere system Days After Planting |
| DI | Deficit Irrigation |
| DS | Dry Season |
| DSSAT FI | Decision Support System for Agrotechnology Transfer Full Irrigation |
| GET-OPTIS | Global Evolutionary Technique for OPTimal Irrigation Scheduling |
| GDD | Growing Degree Days |
| HI | Harvest index |
| ICID | International Commission on Irrigation and Drainage |
| IPCC | Intergovernmental Panel on Climate Change |
| ISRIC | International Soil Reference and Information Centre |
| ITRA | Togolese Institute of Agricultural Research |
| LARS-WG | Long Ashton Research Station Weather Generator |
| MERF | Togolese Ministry of the Environment and Forestry |
| NI | No Irrigation |
| OCCASION | Optimal Climate Change Adaption Strategies in Irrigation |
| PILOTE REW | An operative crop model for soil water balance and yield estimations under conventional tillage Readily Evaporable Water |
| SCWPF | Stochastic Crop-Water Production Functions |
| SI | Supplemental Irrigation |
| SSA | Sub-Saharan Africa |
| WGEN | Weather Generator |
| WS | Wet Season |
References
- UN DESA. World Population Prospects: The 2015 Revision, Key Findings and Advance Tables; UN DESA: New York, NY, USA, 2015. [Google Scholar]
- UN DESA. World Population Prospects: The 2017 Revision, Key Findings and Advance Tables; UN DESA: New York, NY, USA, 2017. [Google Scholar]
- FAO. Climate-Smart Agriculture Sourcebook; FAO: Rome, Italy, 2013; ISBN 978-92-5-107720-7. [Google Scholar]
- Liniger, H.; Mekdaschi Studer, R.; Hauert, C.; Gurtner, M. Sustainable Land Management in Practice: Guidelines and Best Practices for Sub-Saharan Africa; TerrAfrica, World Overview of Conservation Approaches and Technologies (WOCAT) and Food and Agriculture Organization of the United Nations (FAO): Rome, Italy, 2011; ISBN 9789250000000. [Google Scholar]
- Elliott, J.; Deryng, D.; Müller, C.; Frieler, K.; Konzmann, M.; Gerten, D.; Glotter, M.; Flörke, M.; Wada, Y.; Best, N.; et al. Constraints and potentials of future irrigation water availability on agricultural production under climate change. Proc. Natl. Acad. Sci. USA 2014, 111, 3239–3244. [Google Scholar] [CrossRef] [PubMed]
- Edgerton, M.D. Increasing Crop Productivity to Meet Global Needs for Feed, Food, and Fuel. Plant Physiol. 2009, 149, 7–13. [Google Scholar] [CrossRef] [PubMed] [Green Version]
- World Bank. World Development Report 2008: Agriculture for Development; World Bank: Washington, DC, USA, 2008. [Google Scholar]
- Rosegrant, M.W.; Paisner, M.S.; Siet, M.; Witcover, J. 2020 Global Food Outlook; International Food Policy Research Institution: Washington, DC, USA, 2001; pp. 1–24. [Google Scholar]
- van Ittersum, M.K.; van Bussel, L.G.J.; Wolf, J.; Grassini, P.; van Wart, J.; Guilpart, N.; Claessens, L.; de Groot, H.; Wiebe, K.; Mason-D’Croz, D.; et al. Can sub-Saharan Africa feed itself? Proc. Natl. Acad. Sci. USA 2016, 113, 14964–14969. [Google Scholar] [CrossRef] [PubMed]
- Lobell, D.B.; Gourdji, S.M. The Influence of Climate Change on Global Crop Productivity. Plant Physiol. 2012, 160, 1686–1697. [Google Scholar] [CrossRef] [PubMed] [Green Version]
- Kotir, J.H. Climate change and variability in Sub-Saharan Africa: A review of current and future trends and impacts on agriculture and food security. Environ. Dev. Sustain. 2011, 13, 587–605. [Google Scholar] [CrossRef]
- Druyan, L.M. Studies of 21st-century precipitation trends over West Africa. Int. J. Climatol. 2011, 31, 1415–1424. [Google Scholar] [CrossRef]
- Sarr, B. Present and future climate change in the semi-arid region of West Africa: A crucial input for practical adaptation in agriculture. Atmos. Sci. Lett. 2012, 13, 108–112. [Google Scholar] [CrossRef]
- Ministère de l’Environnement et des Ressources Forestières (MERF). Plan d’Action National d’Adaptation aux Changements Climatiques (PANA); MERF: Lome, Togo, 2009. (In French) [Google Scholar]
- Mcsweeney, C.; New, M.; Lizcano, G. UNDP Climate Change Country Profiles, Togo; School of Geography and Environment, Oxford University: Oxford, UK, 2009. [Google Scholar]
- Ogounde, L.; Abotchi, T. Quelques contraintes à la croissance Agricole dans la région des Savanes du Nord-Togo. Bulletin de la société Neuchâteloise de Geographie; Société Neuchâteloise de Geographie: Neuchâtel, Switzerland, 2003. (In French) [Google Scholar]
- Dobermann, A.; Nelson, R.; Beever, D.; Bergvinson, D.; Crowley, E.; Denning, G.; Griller, K.; d’Arros Hughes, J.; Jahn, M.; Lynam, J.; et al. Solutions for Sustainable Agriculture and Food Systems—Technical Report for the Post-2015 Development Agenda; The United Nations Sustainable Development Solutions Network (UNSDSN): New York, NY, USA, 2013. [Google Scholar]
- Rockström, J.; Williams, J.; Daily, G.; Noble, A.; Matthews, N.; Gordon, L.; Wetterstrand, H.; De Clerck, F.; Shah, M.; Steduto, P.; et al. Sustainable intensification of agriculture for human prosperity and global sustainability. Ambio 2017, 46, 4–17. [Google Scholar] [CrossRef]
- Godfray, H.C.J.; Garnett, T. Food security and sustainable intensification. Philos. Trans. R. Soc. Lond. B. Biol. Sci. 2014, 369, 1–10. [Google Scholar] [CrossRef]
- Bolor, J.K. Analyse de l’état actuel de développement de l’irrigation au Togo. In Irrigation in West Africa: Current Status and a View to the Future; Namara, R.E., Sally, H., Eds.; International Water Management Institute (IWMI), Colombo, Sri Lanka: Ouagadougou, Burkina Faso, 2010; pp. 305–312. [Google Scholar]
- Jalloh, A.; Nelson, G.C.; Thomas, T.S.; Zougmoré, R.; Roy-Macauley, H. West African Agriculture and Climate Change: A Comprehensive Analysis; IFPRI Research Monograph; International Food Policy Research: Washington, DC, USA, 2013. [Google Scholar]
- International Commission on Irrigation and Drainage (ICID). Basic Introduction: Irrigation. Available online: http://www.icid.org/res_irrigation.html (accessed on 10 September 2018).
- Rockström, J.; Hatibu, N.; Oweis, T.; Wani, S.; Barron, J.; Bruggeman, A.; Qiang, Z.; Farahani, J.; Karlberg, L. Managing Water in Rainfed Agriculture. In Water for Food, Water for Life: A Comprehensive Assessment of Water Management in Agriculture; Molden, D., Ed.; Earthscan: London, UK, 2007; pp. 315–352. [Google Scholar]
- Pereira, L.S. Higher performance through combined improvements in irrigation methods and scheduling: A discussion. Agric. Water Manag. 1999, 40, 153–169. [Google Scholar] [CrossRef]
- English, M.J.; Nuss, G.S. Designing for Deficit Irrigation. J. Irrig. Drain. Div. 1982, 108, 91–106. [Google Scholar]
- Djaman, K.; Irmak, S.; Rathje, W.R.; Martin, D.L.; Eisenhauer, D.E. Maize evapotranspiration, yield production functions, biomass, grain yield, harvest index, and yield response factors under full and limited irrigation. Am. Soc. Agric. Biol. Eng. 2013, 56, 273–293. [Google Scholar]
- English, M. Deficit Irrigation. I: Analytical Framework. J. Irrig. Drain. Eng. 1990, 116, 399–412. [Google Scholar] [CrossRef]
- English, M.; Raja, S.N. Perspectives on deficit irrigation. Agric. Water Manag. 1996, 32, 1–14. [Google Scholar] [CrossRef]
- Lecler, N.L. Integrated methods and models for deficit irrigation planning. In Agricultural Systems Modeling and Simulation; Lecler, N.L., Peart, R.M., Eds.; Marcel Dekker Inc.: New York, NY, USA, 1998; pp. 283–299. [Google Scholar]
- Fereres, E.; Soriano, M.A. Deficit irrigation for reducing agricultural water use. J. Exp. Bot. 2006, 58, 147–159. [Google Scholar] [CrossRef] [PubMed] [Green Version]
- Kögler, F.; Söffker, D. Water (stress) models and deficit irrigation: System-theoretical description and causality mapping. Ecol. Model. 2017, 361, 135–156. [Google Scholar] [CrossRef]
- Kloss, S.; Pushpalatha, R.; Kamoyo, K.J.; Schütze, N. Evaluation of Crop Models for Simulating and Optimizing Deficit Irrigation Systems in Arid and Semi-arid Countries Under Climate Variability. Water Resour. Manag. 2012, 26, 997–1014. [Google Scholar] [CrossRef]
- Schütze, N.; De Paly, M.; Shamir, U. Novel simulation-based algorithms for optimal open-loop and closed-loop scheduling of deficit irrigation systems. J. Hydroinformatics 2012, 14, 136–151. [Google Scholar] [CrossRef] [Green Version]
- Semenov, M.A. Development of high-resolution UKCIP02-based climate change scenarios in the UK. Agric. For. Meteorol. 2007, 144, 127–138. [Google Scholar] [CrossRef]
- Brumbelow, K.; Georgakakos, A. Consideration of Climate Variability and Change in Agricultural Water Resources Planning. J. Water Resour. Plan. Manag. 2007, 133, 275–285. [Google Scholar] [CrossRef]
- Schütze, N.; Schmitz, G.H. OCCASION: New Planning Tool for Optimal Climate Change Adaption Strategies in Irrigation. J. Irrig. Drain. Eng. 2010, 136, 836–846. [Google Scholar] [CrossRef]
- Jones, J.W.; Hoogenboom, G.; Porter, C.H.; Boote, K.J.; Batchelor, W.D.; Hunt, L.A.; Wilkens, P.W.; Singh, U.; Gijsman, A.J.; Ritchie, J.T. The DSSAT cropping system model J.W. Eur. J. Agron. 2003, 18, 235–263. [Google Scholar] [CrossRef]
- Hsiao, T.C.; Heng, L.; Steduto, P.; Rojas-Lara, B.; Raes, D.; Fereres, E. Aquacrop-The FAO crop model to simulate yield response to water: III. Parameterization and testing for maize. Agron. J. 2009, 101, 448–459. [Google Scholar] [CrossRef]
- Raes, D.; Steduto, P.; Hsiao, T.C.; Fereres, E. Aquacrop-The FAO crop model to simulate yield response to water: II. main algorithms and software description. Agron. J. 2009, 101, 438–447. [Google Scholar] [CrossRef]
- Steduto, P.; Hsiao, T.C.; Raes, D.; Fereres, E. Aquacrop-the FAO crop model to simulate yield response to water: I. concepts and underlying principles. Agron. J. 2009, 101, 426–437. [Google Scholar] [CrossRef]
- Hansen, S.; Jensen, H.E.; Nielsen, N.E.; Svendsen, H. DAISY: A Soil Plant System Model. Danish simulation Model for Transformation and Transport of Energy and Matter in the Soil Plant Atmosphere System; The National Agency for Environmental Protection: Copenhagen, Denmark, 1990.
- Smith, M. CROPWAT: A Computer Program for Irrigation Planning and Management; Food and Agriculture Organization of the United Nations, Ed.; FAO irrigation and drainage paper 46; ISBN1 9251031061. Food and Agriculture Organization of the United Nations: Rome, Italy, 1992; ISBN2 9251031061. [Google Scholar]
- Keating, B.A.; Carberry, P.S.; Hammer, G.L.; Probert, M.E.; Robertson, M.J.; Holzworth, D.; Huth, N.I.; Hargreaves, J.N.G.; Meinke, H.; Hochman, Z.; et al. An overview of APSIM, a model designed for farming systems simulation. Eur. J. Agron. 2003, 18, 267–288. [Google Scholar] [CrossRef]
- Mailhol, J.C.; Olufayo, A.A.; Ruelle, P. Sorghum and sunflower evapotranspiration and yield from simulated leaf area index. Agric. Water Manag. 1997, 35, 167–182. [Google Scholar] [CrossRef]
- Iqbal, M.A.; Shen, Y.; Stricevic, R.; Pei, H.; Sun, H.; Amiri, E.; Penas, A.; del Rio, S. Evaluation of the FAO AquaCrop model for winter wheat on the North China Plain under deficit irrigation from field experiment to regional yield simulation. Agric. Water Manag. 2014, 135, 61–72. [Google Scholar] [CrossRef] [Green Version]
- Vanuytrecht, E.; Raes, D.; Steduto, P.; Hsiao, T.C.; Fereres, E.; Heng, L.K.; Garcia Vila, M.; Mejias Moreno, P. AquaCrop: FAO’s crop water productivity and yield response model. Environ. Model. Softw. 2014, 62, 351–360. [Google Scholar] [CrossRef]
- Department of Immigration and Citizenship (DIC). Togolese Community Profile; Department of Immigration and Citizenship, Commonwealth of Australia: Lomé, Togo, 2007.
- RGPH. Recensement Générale de la population et de l’habitat. Direction Générale de la Statistique et de la Comptabilité Nationale; RGPH: Lomé, Togo, 2010. [Google Scholar]
- Ali, E. A review of agricultural policies in independent Togo. Int. J. Agric. Policy Res. 2017, 5, 104–116. [Google Scholar] [CrossRef]
- Poch, R.M.; Ubalde, J.M. Diagnostic of degradation processes of soils from northern Togo (West Africa) as a tool for soil and water management. In Proceedings of the Workshop for Alumni of the M.Sc. Programmes in Soil Science, Eremology and Physical Land Resources; Langouche, D., Van Ranst, E., Eds.; Workshop IC-PLR: Ghent, Belgium, 2006; pp. 187–194. [Google Scholar]
- Institut Togolais de Recherche Agronomique (ITRA). Bien cultiver et conserver le maïs. Collection Brochures et Fiches Techniques; ITRA: Lomé, Togo, 2008. (In French) [Google Scholar]
- Didjeira, A.; Adourahim, A.A.; Sedzro, K. Situation de référence sur les principales céréales cultivées au Togo: Maïs, Riz, Sorgho, Mil; ITRA: Lomé, Togo, 2007. [Google Scholar]
- Desplat, A.; Rouillon, A. Diagnostic agraire dans la région des Savanes au Togo: Cantons de Nioukpourma, Naki-Ouest et Tami; Master de Recherche, Institut des Sciences et Industries du Vivant et de L’environnement, AgroParisTech: Paris, France, 2011. [Google Scholar]
- Kottek, M.; Grieser, J.; Beck, C.; Rudolf, B.; Rubel, F. World Map of the Köppen-Geiger climate classification updated. Meteorol. Z. 2006, 15, 259–263. [Google Scholar] [CrossRef]
- Walter, H.; Lieth, H.H.F. Klimadiagramm-Weltatlas; G. Fischer Verlag: Jena, Germany, 1967. [Google Scholar]
- Institut National de la Statistique et des Etudes Economiques et Démographiques (INSEED). Profil de pauvreté: Togo; INSEED: Lomé, Togo, 2016. [Google Scholar]
- Institut National de la Statistique et des Etudes Economiques et Démographiques (INSEED). Statistiques Nationales: Togo 2015. Available online: http://togo.opendataforafrica.org/# (accessed on 13 September 2018).
- NASA POWER Project-Agroclimatology Data. Available online: https://power.larc.nasa.gov/data-access-viewer/ (accessed on 10 September 2017).
- Van Wart, J.; Grassini, P.; Yang, H.; Claessens, L.; Jarvis, A.; Cassman, K.G. Creating long-term weather data from thin air for crop simulation modeling. Agric. For. Meteorol. 2015, 209–210, 49–58. [Google Scholar] [CrossRef]
- Semenov, M.A.; Brooks, R.J.; Barrow, E.M.; Richardson, C.W. Comparison of the WGEN and LARS-WG stochastic weather generators for diverse climates. Clim. Res. 1998, 10, 95–107. [Google Scholar] [CrossRef] [Green Version]
- Semenov, M.A. Simulation of extreme weather events by a stochastic weather generator. Clim. Res. 2008, 35, 203–212. [Google Scholar] [CrossRef] [Green Version]
- Mehan, S.; Guo, T.; Gitau, M.; Flanagan, D.C.; Mehan, S.; Guo, T.; Gitau, M.W.; Flanagan, D.C. Comparative Study of Different Stochastic Weather Generators for Long-Term Climate Data Simulation. Climate 2017, 5, 26. [Google Scholar] [CrossRef]
- Guo, T.; Mehan, S.; Gitau, M.W.; Wang, Q.; Kuczek, T.; Flanagan, D.C. Impact of number of realizations on the suitability of simulated weather data for hydrologic and environmental applications. Stoch. Environ. Res. Risk Assess. 2018, 32, 2405–2421. [Google Scholar] [CrossRef]
- Chakravarti, I.M.; Laha, R.G.; Roy, J. Handbook of Methods of Applied Statistics; Wiley: New York, NY, USA, 1967. [Google Scholar]
- Semenov, M.A.; Barrow, E.M. Use of a stochastic weather generator in the development of climate change scenarios. Clim. Chang. 1997, 35, 397–414. [Google Scholar] [CrossRef]
- Doorenbos, J.; Kassam, A.H. Yield Response to Water; FAO Irrigation and Drainage Paper No. 33; FAO: Rome, Italy, 1979. [Google Scholar]
- Greaves, G.E.; Wang, Y.-M. Assessment of FAO AquaCrop Model for Simulating Maize Growth and Productivity under Deficit Irrigation in a Tropical Environment. Water 2016, 8, 557. [Google Scholar] [CrossRef]
- Poss, R. Etude Morphopédologique du Nord du Togo à [au] 1/500,000; Institut français de recherche scientifique pour le développement en coopération (ORSTOM): Lomé, Togo, 1996. [Google Scholar]
- Akumaga, U.; Tarhule, A.; Yusuf, A.A. Validation and testing of the FAO AquaCrop model under different levels of nitrogen fertilizer on rainfed maize in Nigeria, West Africa. Agric. For. Meteorol. 2017, 232, 225–234. [Google Scholar] [CrossRef]
- IUSS Working Group WRB. World Reference Base for Soil Resources 2014, Update 2015 International Soil Classification System for Naming Soils and Creating Legends for Soil Maps; FAO: Rome, Italy, 2015. [Google Scholar]
- Worou, K.S. Sols Dominants du Togo—Corrélation avec la Base de Référence Mondiale. Quatorzième Réunion du Sous-Comité ouest et Centre Africain de Corrélation des sols. Rapport sur les Ressources en Sols du Monde 98; Food and Agriculture Organization of the United Nations (FAO): Rome, Italy, 2002. (In French) [Google Scholar]
- Raes, D.; Steduto, P.; Hsiao, T.C.; Fereres, E. Chapter 2—Users guide. In Reference Manual: AquaCrop, Version 4.0; FAO, Land and Water Division: Rome, Italy, 2012; pp. 1–164. [Google Scholar]
- Worou, S.; Saragoni, H. La Culture du Maïs de Contre Saison Est-elle Possible au Togo Meridional? Premières Conclusions d’une Experimentation sur la Station de Recherche Agronomique d’ativémé; Institut français de recherche scientifique pour le développement en coopération (ORSTOM): Lomé, Togo, 1988. [Google Scholar]
- Geerts, S.; Raes, D.; Garcia, M.; Miranda, R.; Cusicanqui, J.A.; Taboada, C.; Mendoza, J.; Huanca, R.; Mamani, A.; Condori, O.; et al. Simulating Yield Response of Quinoa to Water Availability with AquaCrop. Agron. J. 2009, 101, 499–508. [Google Scholar] [CrossRef]
- Salemi, H.; Amin, M.; Soom, M.; Lee, T.S.; Farhad Mousavi, S.; Ganji, A.; Kamilyusoff, M. Application of AquaCrop model in deficit irrigation management of Winter wheat in arid region. Afr. J. Agric. Res. 2011, 610, 2204–2215. [Google Scholar] [CrossRef]
- Silvestro, P.C.; Pignatti, S.; Yang, H.; Yang, G.; Pascucci, S.; Castaldi, F.; Casa, R. Sensitivity analysis of the Aquacrop and SAFYE crop models for the assessment of water limited winter wheat yield in regional scale applications. PLoS ONE 2017, 12, 1–30. [Google Scholar] [CrossRef] [PubMed]
- Djaman, K.; Ganyo, K. Trend analysis in reference evapotranspiration and aridity index in the context of climate change in Togo. J. Water Clim. Chang. 2015, 6, 848–864. [Google Scholar] [CrossRef]
- Osman, Y.; Abdellatif, M.; Al-Ansari, N.; Knutsson, S.; Jawad, S. Climate Change and Future Precipitation in Arid Environment of Middle East: Case study of Iraq. J. Environ. Hydrol. 2017, 25, 1–18. [Google Scholar]
- Assefa, S.; Biazin, B.; Muluneh, A.; Yimer, F.; Haileslassie, A. Rainwater harvesting for supplemental irrigation of onions in the southern dry lands of Ethiopia. Agric. Water Manag. 2016, 178, 325–334. [Google Scholar] [CrossRef]
- Fosu-Mensah, B.Y. Modelling the Impact of Climate Change on Maize (Zea mays L.) YieLd under Rainfed Conditions in Sub-Humid Ghana; United Nations University–Institute for Natural Resources in Africa (UNU-INRA): Accra, Ghana, 2013. [Google Scholar]
- Chauhan, C.P.S.; Singh, R.B.; Gupta, S.K. Supplemental irrigation of wheat with saline water. Agric. Water Manag. 2008, 95, 253–258. [Google Scholar] [CrossRef]
- Fox, P.; Rockström, J. Supplemental irrigation for dry-spell mitigation of rainfed agriculture in the Sahel. Agric. Water Manag. 2003, 61, 29–50. [Google Scholar] [CrossRef]
- Wakchaure, G.C.; Minhas, P.S.; Ratnakumar, P.; Choudhary, R.L. Optimising supplemental irrigation for wheat (Triticum aestivum L.) and the impact of plant bio-regulators in a semi-arid region of Deccan Plateau in India. Agric. Water Manag. 2016, 172, 9–17. [Google Scholar] [CrossRef]
- Heng, L.K.; Hsiao, T.; Evett, S.; Howell, T.; Steduto, P. Validating the FAO AquaCrop Model for Irrigated and Water Deficient Field Maize. Agron. J. 2009, 101, 488–498. [Google Scholar] [CrossRef]
- Stricevic, R.; Cosic, M.; Djurovic, N.; Pejic, B.; Maksimovic, L. Assessment of the FAO AquaCrop model in the simulation of rainfed and supplementally irrigated maize, sugar beet and sunflower. Agric. Water Manag. 2011, 98, 1615–1621. [Google Scholar] [CrossRef]
- Tittonell, P.; Giller, K.E. When yield gaps are poverty traps: The paradigm of ecological intensification in African smallholder agriculture. Field Crops Res. 2013, 143, 76–90. [Google Scholar] [CrossRef]
- Bell, J.M.; Schwartz, R.; McInnes, K.J.; Howell, T.; Morgan, C.L.S. Deficit irrigation effects on yield and yield components of grain sorghum. Agric. Water Manag. 2018, 203, 289–296. [Google Scholar] [CrossRef]
- Greaves, G.E.; Wang, Y.-M. Effect of regulated deficit irrigation scheduling on water use of corn in southern Taiwan tropical environment. Agric. Water Manag. 2017, 188, 115–125. [Google Scholar] [CrossRef]
- Hergert, G.W.; Margheim, J.F.; Pavlista, A.D.; Martin, D.L.; Isbell, T.A.; Supalla, R.J. Irrigation response and water productivity of deficit to fully irrigated spring camelina. Agric. Water Manag. 2016, 177, 46–53. [Google Scholar] [CrossRef]
- Kifle, M.; Gebretsadikan, T.G. Yield and water use efficiency of furrow irrigated potato under regulated deficit irrigation, Atsibi-Wemberta, North Ethiopia. Agric. Water Manag. 2016, 170, 133–139. [Google Scholar] [CrossRef]
- Li, X.; Kang, S.; Zhang, X.; Li, F.; Lu, H. Deficit irrigation provokes more pronounced responses of maize photosynthesis and water productivity to elevated CO2. Agric. Water Manag. 2018, 195, 71–83. [Google Scholar] [CrossRef]
- Mustafa, S.M.T.; Vanuytrecht, E.; Huysmans, M. Combined deficit irrigation and soil fertility management on different soil textures to improve wheat yield in drought-prone Bangladesh. Agric. Water Manag. 2017, 191, 124–137. [Google Scholar] [CrossRef]
- Lee, S.O.; Jung, Y. Efficiency of water use and its implications for a water-food nexus in the Aral Sea Basin. Agric. Water Manag. 2018, 207, 80–90. [Google Scholar] [CrossRef]
- Gunn, K.M.; Baule, W.J.; Frankenberger, J.R.; Gamble, D.L.; Allred, B.J.; Andresen, J.A.; Brown, L.C. Modeled climate change impacts on subirrigated maize relative yield in northwest Ohio. Agric. Water Manag. 2018, 206, 56–66. [Google Scholar] [CrossRef]
- Abedinpour, M.; Sarangi, A.; Rajput, T.B.S.; Singh, M.; Pathak, H.; Ahmad, T. Performance evaluation of AquaCrop model for maize crop in a semi-arid environment. Agric. Water Manag. 2012, 110, 55–66. [Google Scholar] [CrossRef]








| Type of Irrigation System | Irrigation Management Strategies | Application Scenarios | |||
|---|---|---|---|---|---|
| Limited Supply | Full Supply | ||||
| Uncontrolled | Controlled | Controlled | Wet Season (WS) | Dry Season (DS) | |
| No irrigation | NI | – | – | x | – |
| Supplemental irrigation | – | CDI | FI | x | – |
| Conventional irrigation | – | CDI | FI | – | x |
| Soil Depth (cm) | Texture | OM (%) | dB (g/cm) | SAT (Vol.%) | FC (Vol.%) | PWP (Vol.%) | Ksat (mm/da) | Textural Class | ||
|---|---|---|---|---|---|---|---|---|---|---|
| Sand (%) | Silt (%) | Clay (%) | ||||||||
| 0–20 | 72.5 | 20.5 | 7.0 | 1.5 | 1.5 | 42.7 | 13.3 | 5.3 | 1252.6 | Sandy Loam |
| 20–50 | 72.0 | 19.0 | 9.0 | 0.9 | 1.6 | 40.8 | 13.5 | 5.9 | 503.0 | Sandy Loam |
| 50–110 | 66.5 | 18.0 | 15.5 | 0.7 | 1.6 | 39.9 | 18.3 | 10.0 | 239.5 | Sandy Loam |
| Parameter Description | Value | Units or Meaning |
|---|---|---|
| Time from sowing to emergence | 7 (135) | DAP(GDD) |
| Time to maximum canopy cover | 60 (1109) | DAP(GDD) |
| Time from sowing to maximum rooting depth | 67 (1257) | DAP(GDD) |
| Time from sowing to start of canopy senescence | 76 (1408) | DAP(GDD) |
| Time from sowing to maturity | 100 (1898) | DAP(GDD) |
| Time from sowing to flowering | 54 (1018) | DAP(GDD) |
| Duration of flowering | 10 (183) | DAP(GDD) |
| Length of building up HI | 42 (778) | DAP(GDD) |
| Maximum effective rooting depth, Z | 1 | meter |
| Minimum effective rooting depth, Zn | 0.3 | meter |
| Reference harvest index, HI | 50 | % |
| Cultivar (TZEE-W) | – | TZEE-W |
| Planting method | – | Direct sowing |
| Planting density | 62,500 | Plants/ha |
| Soil fertility | 65 | Moderate (%) |
| Surface mulches | 0 | % |
| Curve number, CN | 66 | – |
| Readily Evaporable water, REW | 2 | mm |
| Type of Data | Possible Sources | Selected Sources for the Study | Reasons of Selecting Specific Sources for the Study |
|---|---|---|---|
| Temperature, rainfall, wind speed, and humidity | -Local meteorological station -Observed data online (NOAA, etc.) -Satellite data (NASA, etc.) | Local meteorological station | Observed data with no missing values |
| Solar radiation and sunshine hours | -Observed data online (NOAA, etc.) -Satellite data (NASA, etc.) | Satellite data (NASA-POWER project) | Publicly accessible, shows acceptable general agreement with ground data |
| Soil data | -Poss [68] -National soil survey -FAO Harmonized World Soil Database -ISRIC Soil Geographic Databases | Poss [68] | Publicly accessible and with good resolution (field) |
| Crop data: conservative parameters | AquaCrop manual | AquaCrop manual | In line with AquaCrop model |
| Crop data: non-conservative parameters | -AquaCrop manual -ITRA [51], Didjeira et al. [52], and Worou and Saragoni [73] | ITRA [51], Didjeira et al. [52], and Worou and Saragoni [73] | Specific to the maize variety used in the study |
| Month | RAINFALL | MAXIMUM TEMPERATURE | MINIMUM TEMPERATURE | |||||||||
|---|---|---|---|---|---|---|---|---|---|---|---|---|
| SD of Observed Data | SD of Simulated Data | K-S | p-Value | SD of Observed Data | SD of Simulated Data | K-S | p-Value | SD of Observed Data | SD of Simulated Data | K-S | p-Value | |
| January | 0.11 | 0.17 | 0.57 | 0.00 | 1.34 | 0.46 | 0.11 | 1.00 | 1.60 | 0.52 | 0.05 | 1.00 |
| February | 14.89 | 13.89 | 0.17 | 0.84 | 1.24 | 0.41 | 0.16 | 0.91 | 1.66 | 0.48 | 0.11 | 1.00 |
| March | 19.53 | 31.90 | 0.15 | 0.94 | 0.73 | 0.28 | 0.11 | 1.00 | 1.04 | 0.36 | 0.16 | 0.91 |
| April | 44.99 | 43.27 | 0.11 | 1.00 | 0.95 | 0.43 | 0.11 | 1.00 | 0.84 | 0.43 | 0.11 | 1.00 |
| May | 38.39 | 44.09 | 0.05 | 1.00 | 1.25 | 0.40 | 0.11 | 1.00 | 0.83 | 0.38 | 0.11 | 1.00 |
| June | 54.58 | 53.28 | 0.03 | 1.00 | 0.89 | 0.32 | 0.05 | 1.00 | 0.72 | 0.30 | 0.05 | 1.00 |
| July | 69.68 | 85.13 | 0.05 | 1.00 | 0.72 | 0.37 | 0.05 | 1.00 | 0.57 | 0.26 | 0.05 | 1.00 |
| August | 85.44 | 99.96 | 0.06 | 1.00 | 0.60 | 0.30 | 0.05 | 1.00 | 0.57 | 0.26 | 0.11 | 1.00 |
| September | 61.77 | 68.39 | 0.08 | 1.00 | 0.58 | 0.37 | 0.05 | 1.00 | 0.58 | 0.25 | 0.05 | 1.00 |
| October | 43.20 | 57.00 | 0.01 | 1.00 | 1.04 | 0.40 | 0.11 | 1.00 | 0.83 | 0.27 | 0.05 | 1.00 |
| November | 12.00 | 15.73 | 0.13 | 0.98 | 0.83 | 0.26 | 0.11 | 1.00 | 1.34 | 0.34 | 0.11 | 1.00 |
| December | 5.66 | 10.98 | 0.26 | 0.36 | 1.04 | 0.43 | 0.05 | 1.00 | 1.38 | 0.44 | 0.05 | 1.00 |
© 2018 by the authors. Licensee MDPI, Basel, Switzerland. This article is an open access article distributed under the terms and conditions of the Creative Commons Attribution (CC BY) license (http://creativecommons.org/licenses/by/4.0/).
Share and Cite
Gadédjisso-Tossou, A.; Avellán, T.; Schütze, N. Potential of Deficit and Supplemental Irrigation under Climate Variability in Northern Togo, West Africa. Water 2018, 10, 1803. https://doi.org/10.3390/w10121803
Gadédjisso-Tossou A, Avellán T, Schütze N. Potential of Deficit and Supplemental Irrigation under Climate Variability in Northern Togo, West Africa. Water. 2018; 10(12):1803. https://doi.org/10.3390/w10121803
Chicago/Turabian StyleGadédjisso-Tossou, Agossou, Tamara Avellán, and Niels Schütze. 2018. "Potential of Deficit and Supplemental Irrigation under Climate Variability in Northern Togo, West Africa" Water 10, no. 12: 1803. https://doi.org/10.3390/w10121803
APA StyleGadédjisso-Tossou, A., Avellán, T., & Schütze, N. (2018). Potential of Deficit and Supplemental Irrigation under Climate Variability in Northern Togo, West Africa. Water, 10(12), 1803. https://doi.org/10.3390/w10121803

