Removal of Organic Micropollutants by Grainy Bentonite-Activated Carbon Adsorbent in a Fixed Bed Column
Abstract
1. Introduction
2. Materials and Methods
2.1. Materials
2.2. Micropollutants and Feed Solution
2.3. Bentonite-Activated Carbon Adsorbent Preparation
2.4. Batch Adsorption Studies
2.5. Fixed Bed Column Experiments
2.6. Water Quality Analysis
3. Results and Discussion
3.1. Morphology of Bentonite-Activated Carbon Nanocomposite
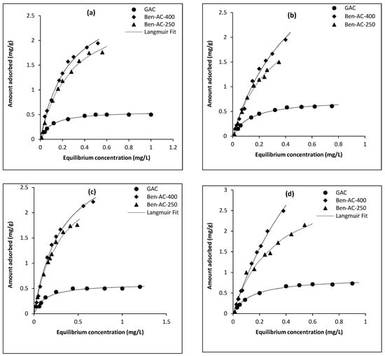
3.2. Adsorption Isotherms
3.3. Removal Performance in Fixed Bed Columns
3.3.1. Effect of Column Filling
3.3.2. Effect of Filtration Time
4. Conclusions
Supplementary Materials
Funding
Conflicts of Interest
References
- Luo, Y.; Guo, W.; Ngo, H.H.; Nghiem, L.D.; Hai, F.I.; Zhang, J.; Liang, S.; Wang, X.C. A review on the occurrence of micropollutants in the aquatic environment and their fate and removal during wastewater treatment. Sci. Total Environ. 2014, 473–474, 619–641. [Google Scholar] [CrossRef] [PubMed]
- K’oreje, K.O.; Kandie, F.J.; Vergeynst, L.; Abira, M.A.; Langenhove, H.V.; Okoth, M.; Demeestere, K. Occurrence, fate and removal of pharmaceuticals, personal care products and pesticides in wastewater stabilization ponds and receiving rivers in the Nzoia Basin, Kenya. Sci. Total Environ. 2018, 637–638, 336–348. [Google Scholar] [CrossRef] [PubMed]
- Sousa, J.C.G.; Ribeiro, A.R.; Barbosa, M.O.; Pereira, M.F.R.; Silva, A.M.T. A review on environmental monitoring of water organic pollutants identified by EU guidelines. Sci. Total Environ. 2018, 344, 146–162. [Google Scholar] [CrossRef] [PubMed]
- Barco-Bonilla, N.; Romero-González, R.; Plaza- Bolaños, P. Systematic study of the contamination of wastewater treatment plant effluents by organic priority compounds in Almeria province. Sci. Total Environ. 2013, 447, 381–389. [Google Scholar] [CrossRef] [PubMed]
- Gardner, M.; Comber, S.; Scrimshaw, M.D.; Cartmell, E.; Lester, J.; Ellor, B. The significance of hazardous chemicals in wastewater treatment works effluents. Sci. Total Environ. 2012, 437, 363–372. [Google Scholar] [CrossRef] [PubMed]
- Carballa, M.; Fink, G.; Omil, F.; Lema, J.; Ternes, T. Determination of the solid–water distribution coefficient (Kd) for pharmaceuticals, estrogens and musk fragrances in digested sludge. Water Res. 2008, 42, 285–295. [Google Scholar] [CrossRef] [PubMed]
- Gavrilescu, M.; Demnerová, K.; Aamand, J.; Agathos, S.; Fava, F. Emerging pollutants in the environment: Present and future challenges in biomonitoring, ecological risks and bioremediation. New Biotechnol. 2015, 32, 147–156. [Google Scholar] [CrossRef] [PubMed]
- Desbiolles, F.; Malleret, L.; Tiliacos, C.; Wong-Wah-Chung, P.; Laffont-Schwob, I. Occurrence and ecotoxicological assessment of pharmaceuticals: Is there a risk for the Mediterranean aquatic environment? Sci. Total Environ. 2018, 639, 1334–1348. [Google Scholar] [CrossRef] [PubMed]
- Kudlek, E. Decomposition of contaminants of emerging concern in advanced oxidation processes. Water 2018, 10, 955–973. [Google Scholar] [CrossRef]
- Borowska, E.; Bourgin, M.; Hollender, J.; Kienle, C.; McArdell, C.S.; Von Gunten, U. Oxidation of cetirizine, fexofenadine and hydrochlorothiazide during ozonation: Kinetics and formation of transformation product. Water Res. 2016, 94, 350–362. [Google Scholar] [CrossRef]
- Borowska, E.; Felis, E.; Kalka, J. Oxidation of benzotriazole and benzothiazole in photochemical processes: Kinetics and formation of transformation products. Chem. Eng. J. 2016, 304, 852–863. [Google Scholar] [CrossRef]
- Kamińska, G.; Bohdziewicz, J.; Calvo, J.I.; Prádanos, P.; Palacio, L.; Hernández, A. Fabrication and characterization of polyethersulfone nanocomposite membranes for the removal of endocrine disrupting micropollutants from wastewater. Mechanisms and performance. J. Membr. Sci. 2015, 493, 66–79. [Google Scholar] [CrossRef]
- Dudziak, M.; Burdzik-Niemiec, E. Ultrafiltration in the treatment of 17 β-estradiol and bisphenol A containing wastewaters through modified membranes. Przem. Chem. 2017, 1, 202–206. [Google Scholar] [CrossRef]
- Cook, M.M.; Symonds, E.M.; Gerber, B.; Hoare, A.; Van Vleet, E.S.; Breitbart, M. Removal of Six Estrogenic Endocrine-Disrupting Compounds (EDCs) from Municipal Wastewater Using Aluminum Electrocoagulation. Water 2016, 8, 128–143. [Google Scholar] [CrossRef]
- Kamińska, G.; Bohdziewicz, J. Potential of various materials for adsorption of micropollutants from wastewater. Environ. Prot. Eng. 2016, 42, 161–178. [Google Scholar] [CrossRef]
- Bohdziewicz, J.; Kamińska, G. Kinetics and equilibrium of the sorption of bisphenol a by carbon nanotubes from wastewater. Water Sci. Technol. 2013, 68, 1306–1314. [Google Scholar] [CrossRef] [PubMed]
- Acero, J.L.; Benitez, J.; Real, F.J.; Teva, F. Micropollutants removal from retentates generated in ultrafiltration and nanofiltration treatments of municipal secondary effluents by means of coagulation, oxidation, and adsorption processes. Chem. Eng. J. 2016, 289, 48–58. [Google Scholar] [CrossRef]
- Sotelo, J.L.; Rodriguez, A.; Alvarez, S.; Garcia, J. Removal of caffeine and diclofenac on activated carbon in fixed bed column. Chem. Eng. Res. Des. 2012, 90, 967–974. [Google Scholar] [CrossRef]
- Singh, N.B.; Nagpal, G.; Agrawal, S. Water purification by using adsorbents: A Review. Environ. Technol. Innov. 2018, 11, 187–240. [Google Scholar] [CrossRef]
- Hiew, B.Y.Z.; Lee, L.Y.; Lai, K.C.; Gan, S.; Thangalazhy-Gopakumar, S.; Pan, G.-T.; Yang, T.C.-K. Adsorptive decontamination of diclofenac by three-dimensional graphene-based adsorbent: Response surface methodology, adsorption equilibrium, kinetic and thermodynamic studies. Environ. Res. 2019, 168, 241–253. [Google Scholar] [CrossRef]
- Anastopoulos, I.; Mittal, A.; Usman, M.; Mittal, Y.; Yu, G.; Núñez-Delgadofez, A.; Kornaros, M. A review on halloysite-based adsorbents to remove pollutants in water and wastewater. J. Mol. Liq. 2018, 269, 855–868. [Google Scholar] [CrossRef]
- Huang, X.; An, D.; Song, J.; Gao, W.; Shen, Y. Persulfate/electrochemical/FeCl2 system for the degradation of phenol adsorbed on granular activated carbon and adsorbent regeneration. J. Clean. Prod. 2017, 165, 637–644. [Google Scholar] [CrossRef]
- Wei, H.; Deng, S.; Huang, Q.; Nie, Y.; Wang, B.; Huang, J.; Yu, G. Regenerable granular carbon nanotubes/alumina hybrid adsorbents for diclofenac sodium and carbamazepine removal from aqueous solution. Water Res. 2013, 47, 4139–4147. [Google Scholar] [CrossRef] [PubMed]
- Shu, Z.; Chen, Y.; Zhou, J.; Li, T.; Sheng, Z.; Tao, C.; Wang, Y. Preparation of halloysite-derived mesoporous silica nanotube with enlarged specific surface area for enhanced dye adsorption. Appl. Clay Sci. 2016, 132–133, 114–121. [Google Scholar] [CrossRef]
- Siddiqui, S.I.; Fatima, B.; Tara, N.; Rathi, G.; Chaudhry, S.A. Recent Advances in remediation of synthetic dyes from wastewaters using sustainable and low-cos adsorbents. In The Impact of and Prospects of Green Chemistry for Textile Technology; The textile Institute Book Series; ul-Islam, S., Ed.; Elsevier Science: Amsterdam, The Netherlands, 2019; pp. 471–507. [Google Scholar]
- Mo, W.; He, Q.; Su, X.; Ma, S.; Feng, J.; He, Z. Preparation and characterization of a granular bentonite composite adsorbent and its application for Pb2+ adsorption. Appl. Clay Sci. 2018, 159, 68–73. [Google Scholar] [CrossRef]
- Mangwandi, C.; Suhaimi, S.N.A.; Liu, J.T.; Dhenge, R.M.; Albadarin, A.B. Design, production and characterisation of granular adsorbent material for arsenic removal from contaminated wastewater. Chem. Eng. Res. Des. 2016, 110, 70–81. [Google Scholar] [CrossRef]
- Golie, W.; Upadhyayula, S. Continuous fixed-bed column study for the removal of nitrate from water using chitosan/alumina composite. J. Water Process Eng. 2016, 12, 58–65. [Google Scholar] [CrossRef]
- Ahmed, M.J.; Hameed, B.H. Removal of emerging pharmaceutical contaminants by adsorption in a fixed-bed column: A review. Ecotoxicol. Environ. Saf. 2018, 149, 257–266. [Google Scholar] [CrossRef]
- Mohammad, B.; Alighardashi, A.; Sadeghasadi, A. Fixed-bed column and batch reactors performance in removal of diazinon pesticide from aqueous solutions by using walnut shell-modified activated carbon. Environ. Technol. Innov. 2018, 12, 148–159. [Google Scholar] [CrossRef]
- Shan, D.; Deng, S.; Zhao, T.; Yu, G.; Winglee, J.; Wiesner, M.R. Preparation of regenerable granular carbon nanotubes by a simple heating-filtration method for efficient removal of typical pharmaceuticals. Chem. Eng. J. 2016, 294, 353–361. [Google Scholar] [CrossRef]
- Kamińska, G.; Kuszaj, D.; Bohdziewicz, J.; Dudziak, M.; Kudlek, E. Sorption potential and ability to regenerate granular adsorbent-bentonite-activated carbon. In Technics Problem. Scientific Conference of PhD Students and Young Scientist, Young for Technics 2017; Grabowski, G.P., Krawczyńska-Piechna, A., Warszawska, J.W.P., Eds.; Faculty of Civil, Mechanics and Petrochemistry, Plock Warsaw University of Technology Institute of Civil Engineering: Warsaw, Poland, 2017; pp. 195–204. (In Polish) [Google Scholar]
- Liao, P.; Zhan, Z.; Dai, J.; Wu, X.; Zhang, W.; Wang, K.; Yuan, S. Adsorption of tetracycline and chloramphenicol in aqueous solution by bamboo charcoal: A batch and fixed bed column study. Chem. Eng. J. 2013, 228, 496–505. [Google Scholar] [CrossRef]
- Meng, M.; Feng, Y.; Zhang, M.; Liu, Y.; Ji, Y.; Wang, J.; Wu, Y.; Yan, Y. Highly efficient adsorption of salicylic acid from aqueous solution by wollastonite-based imprinted adsorbent: A fixed bed column study. Chem. Eng. J. 2013, 225, 331–339. [Google Scholar] [CrossRef]
- Bohdziewicz, J.; Dudziak, M.; Kamińska, G.; Kudlek, E. Chromatographic determination and toxicological potential evaluation of selected micropollutants in aquatic environment—Analytical problems. Desalin. Water Treat. 2016, 57, 1361–1369. [Google Scholar] [CrossRef]
- Kłosek-Wawrzyn, E.; Małolepszy, J.; Murzyn, P. Sintering behavior of kaolin with calcite. Procedia Eng. 2013, 57, 572–582. [Google Scholar] [CrossRef]
- Du, J.; Chadalavada, S.; Naidu, R. Synthesis of porous bentonite organoclay granule and its adsorption of Tributyltin. Appl. Clay Sci. 2017, 148, 131–137. [Google Scholar] [CrossRef]
- Giles, C.H.; MacEwan, T.H.; Nakhwa, D.S. Studies in adsorption. Part XI. A system of classification of solution adsorption isotherms, and its use in diagnosis of adsorption mechanisms and in measurements of specific surface areas of solids. J. Chem. Soc. 1960, 10, 3973–3999. [Google Scholar] [CrossRef]
- Limousin, G.; Gaudet, J.-P.; Charlet, L.; Szenknect, S.; Barthés, V.; Krimissa, M. Sorption isotherms: A review on physical bases, modeling and measurement. Appl. Geochem. 2007, 22, 249–275. [Google Scholar] [CrossRef]
- Nam, S.; Choi, S.; Kim, N.; Her, K.; Zoh, J. Adsorption characteristics of selected hydrophilic and hydrophobic micropollutants in water using activated carbon. J. Hazard. Mater. 2014, 270, 144–152. [Google Scholar] [CrossRef] [PubMed]
- Kamińska, G.; Dudziak, M.; Bohdziewicz, J.; Kudlek, E. Single and competitive adsorption of OMPs by carbon nanotubes—Mechanism and fitting models. E3S Web Conf. 2017, 22, 00076. [Google Scholar] [CrossRef]
- Wang, X.; Liu, Y.; Tao, S.; Xing, B. Relative importance of multiple mechanisms in sorption of organic compounds by multiwalled carbon nanotubes. Carbon 2010, 48, 3721–3728. [Google Scholar] [CrossRef]
- Yang, K.; Zhu, L.Z.; Xing, B.S. Adsorption of polycyclic aromatic hydrocarbons by carbon nanomaterials. Environ. Sci. Technol. 2006, 40, 1855–1861. [Google Scholar] [CrossRef] [PubMed]
- Ramirez, A.; Giraldo, S.; García-Nunez, J.; Flóreza, E.; Acelasa, N. Phosphate removal from water using a hybrid material in a fixed-bed column. J. Water Process Eng. 2018, 26, 131–137. [Google Scholar] [CrossRef]
- Shang, Y.; Guo, K.; Jiang, P.; Xu, X.; Gao, B. Adsorption of phosphate by the cellulose-based biomaterial and its sustained release of laden phosphate in aqueous solution and soil. Int. J. Biol. Macromol. 2018, 109, 524–534. [Google Scholar] [CrossRef]
- Gouran-Orimi, R.; Mirzayi, B.; Nematollahzadeh, A.; Tardast, A. Competitive adsorption of nitrate in fixed-bed column packed with bio-inspired polydopamine coated zeolite. J. Environ. Chem. Eng. 2018, 6, 2232–2240. [Google Scholar] [CrossRef]
- Schick, J.; Caullet, P.; Paillaud, J.L.; Patarin, J.; Mangold-Callarec, C. Nitrate sorption from water on a surfactant-modified zeolite. Fixed-bed column experiments. Microporous Mesoporous Mater. 2011, 142, 549–556. [Google Scholar] [CrossRef]
- Bansal, R.C.; Goyal, M. Activated Carbon Adsorption; CRC Taylor ad Francis: Boca Raton, FL, USA, 2005; ISBN 9780824753443. [Google Scholar]
- Yanyan, L.; Kurniawan, T.A.; Zhu, M.; Ouyang, T.; Avtar, R.; Othman, M.H.D.; Mohammad, B.T.; Albadarin, A.B. Removal of acetaminophen from synthetic wastewater in a fixed-bed column adsorption using low-cost coconut shell waste pretreated with NaOH, HNO3, ozone, and/or chitosan. J. Environ. Manag. 2018, 226, 365–376. [Google Scholar] [CrossRef] [PubMed]
- Abdullah, N.; Fulazzaky, M.A.; Yong, E.L.; Yuzir, A.; Sallis, P. Assessing the treatment of acetaaminophen-contaminated brewery wastewater by an anaerobic packed-bed reactor. J. Environ. Manag. 2016, 168, 273–279. [Google Scholar] [CrossRef] [PubMed]
- Yang, K.; Xing, B. Desorption of polycyclic aromatic hydrocarbons from carbon nanomaterial in waters. Environ. Pollut. 2007, 145, 529–537. [Google Scholar] [CrossRef] [PubMed]
- Jeon, E.-K.; Ryu, S.; Park, S.W.; Wang, L.; Tsang, D.C.W.; Baek, K. Enhanced adsorption of arsenic onto alum sludge modified by calcination. J. Clean. Prod. 2018, 176, 54–62. [Google Scholar] [CrossRef]
- Elhalil, A.; Farnane, M.; Machrouhi, A.; Mahjoubi, F.Z.; Elmoubarki, R.; Tounsadi, H.; Abdennouri, M.; Barka, N. Effects of molar ratio and calcination temperature on the adsorption performance of Zn/Al layered double hydroxide nanoparticles in the removal of pharmaceutical pollutants. J. Sci. Adv. Mater. Devices 2018, 3, 188–195. [Google Scholar] [CrossRef]
- Cheng, Y.; Luo, F.; Jiang, Y.; Li, F.; Wei, C. The effect of calcination temperature on the structure and activity of TiO2/SiO2 composite catalysts derived from titanium sulfate and fly ash acid sludge. Colloid Surf. A 2018, 554, 81–85. [Google Scholar] [CrossRef]
- Sun, Q.; Hu, X.; Zheng, S.; Sun, Z.; Liu, S.; Li, H. Influence of calcination temperature on the structural, adsorption and photocatalytic properties of TiO2 nanoparticles supported on natural zeolite. Powder Technol. 2015, 274, 88–97. [Google Scholar] [CrossRef]







| Compound | Chemical Structure | Molecular Mass 1 (g/mol) | log Kow 1 (-) | Solubility in Water 20 °C 1 (mg/L) | pKa 1 (-) |
|---|---|---|---|---|---|
| Carbamazepine (CBZ) | ![]() | 236.27 | 2.45 | 17.7 | 13.9 |
| 4-tert-octylphenol (OP) | ![]() | 206.32 | 4.12 | 7 | 10.38 |
| 4-nonylophenol (NP) | ![]() | 220.35 | 5.92 | 5.43 | 10.7–11.7 |
| Anthracene (ANT) | ![]() | 178.55 | 4.45 | 0.043 | - |
| Parameter | Color (mg Pt/L) | pH(-) | COD (mg O2/L) | Phosphate (mg P-PO4/L) | Nitrate (mg N-NO3/L) | Phenolic Index (mg/L) |
|---|---|---|---|---|---|---|
| Value | 112.0 | 7.1 | 7.2 | 2.9 | 7.8 | 0.3 |
| Layer Depth | Column I | Column II | Column III |
|---|---|---|---|
| 5 cm | GAC | Ben-AC-250 | Ben-AC-400 |
| 10 cm | Sand | Sand | Sand |
| Chemical | Conditioning | Extraction | Elution | Analysis at Wavelength | Retention Time |
|---|---|---|---|---|---|
| ANT | 5 mL MeOH 5 mL H2O | sample volume: 20 mL extraction speed: 1 mL/min | 3 mL DMF | 254 nm | 4.6 min |
| OP | 5 mL MeOH 5 mL CAN 5 mL H2O | 3 mL ACN/MeOH 60:40 v/v | 220 nm | 3.5 min | |
| NP | 220 nm | 5.2 min | |||
| CBZ | 284 nm | 3.2 min |
| Model | Langmuir | Freundlich | |||||
|---|---|---|---|---|---|---|---|
| Adsorbate | Adsorbent | a (mg/g) | b (L/mg) | R2 (-) | KF ((mg/g) L/mg) n) | n (-) | R2 (-) |
| CBZ | Ben-AC-400 | 2.99 | 3.93 | 0.988 | 3.09 | 1.75 | 0.955 |
| Ben-AC-250 | 2.72 | 3.7 | 0.995 | 2.74 | 1.72 | 0.9695 | |
| GAC | 0.57 | 10.31 | 0.988 | 0.56 | 3.4 | 0.8931 | |
| OP | Ben-AC-400 | 4.55 | 1.96 | 0.991 | 4.15 | 1.3 | 0.979 |
| Ben-AC-250 | 2.97 | 3.02 | 0.994 | 3.45 | 1.4 | 0.98 | |
| GAC | 0.74 | 7.34 | 0.993 | 0.74 | 2.64 | 0.92 | |
| NP | Ben-AC-400 | 3.33 | 3.19 | 0.995 | 2.99 | 1.77 | 0.961 |
| Ben-AC-250 | 2.94 | 3.4 | 0.994 | 2.92 | 1.7 | 0.970 | |
| GAC | 0.59 | 8.01 | 0.962 | 0.54 | 3.4 | 0.8439 | |
| ANT | Ben-AC-400 | 7.92 | 1.24 | 0.996 | 5.88 | 1.19 | 0.989 |
| Ben-AC-250 | 3.33 | 3.15 | 0.986 | 3.65 | 1.61 | 0.9739 | |
| GAC | 0.86 | 7.11 | 0.996 | 0.836 | 2.625 | 0.9435 | |
© 2018 by the author. Licensee MDPI, Basel, Switzerland. This article is an open access article distributed under the terms and conditions of the Creative Commons Attribution (CC BY) license (http://creativecommons.org/licenses/by/4.0/).
Share and Cite
Kamińska, G. Removal of Organic Micropollutants by Grainy Bentonite-Activated Carbon Adsorbent in a Fixed Bed Column. Water 2018, 10, 1791. https://doi.org/10.3390/w10121791
Kamińska G. Removal of Organic Micropollutants by Grainy Bentonite-Activated Carbon Adsorbent in a Fixed Bed Column. Water. 2018; 10(12):1791. https://doi.org/10.3390/w10121791
Chicago/Turabian StyleKamińska, Gabriela. 2018. "Removal of Organic Micropollutants by Grainy Bentonite-Activated Carbon Adsorbent in a Fixed Bed Column" Water 10, no. 12: 1791. https://doi.org/10.3390/w10121791
APA StyleKamińska, G. (2018). Removal of Organic Micropollutants by Grainy Bentonite-Activated Carbon Adsorbent in a Fixed Bed Column. Water, 10(12), 1791. https://doi.org/10.3390/w10121791





