Application of Multiple Approaches to Investigate the Hydrochemistry Evolution of Groundwater in an Arid Region: Nomhon, Northwestern China
Abstract
1. Introduction
2. Materials and Methods
2.1. Outline of Study Area
2.2. Geological and Hydrogeological Settings
2.3. Sampling and Analytical Method
2.4. Inverse Geochemistry Modeling
3. Results and Discussion
3.1. Hydrogen and Oxygen Isotopes
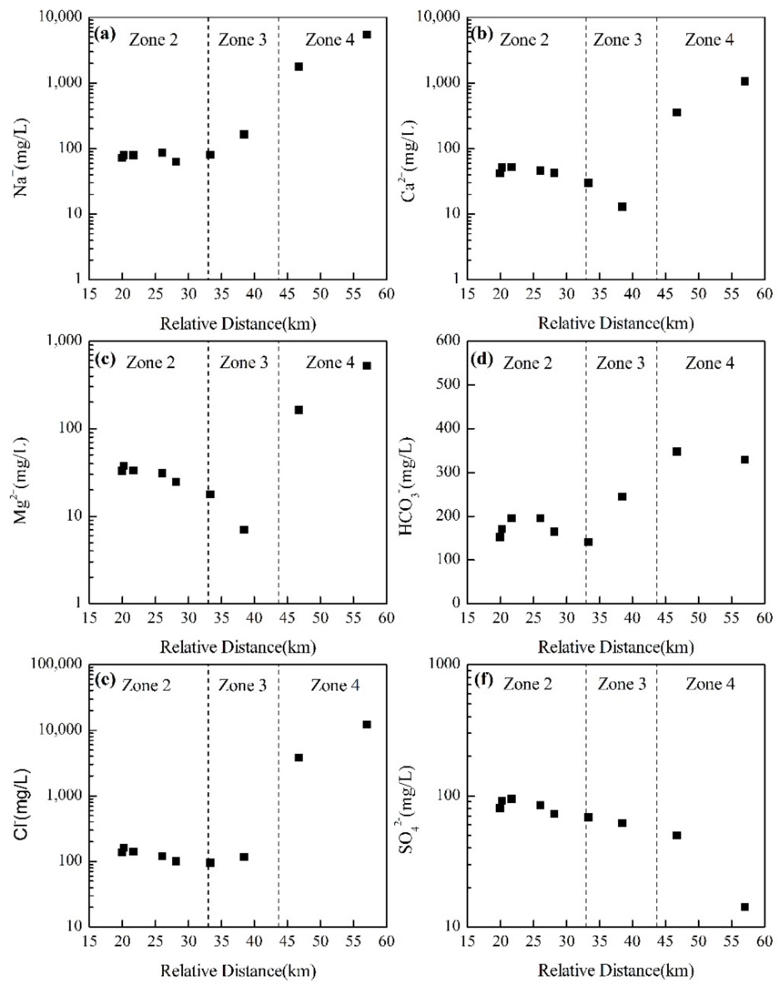
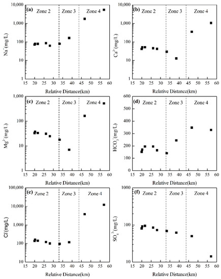
3.2. Hydrochemistry Characteristics
3.3. Hydrogeochemical Processes
3.3.1. Thermodynamic Stability
3.3.2. Dissolution and Precipitation
3.3.3. Cation Exchange
3.3.4. Evaporation
3.3.5. Strontium Signature in Groundwater
3.4. Hydrogeochemical Modeling
3.4.1. Possible Mineral Phases and Constraints
3.4.2. Results of Inverse Modeling
4. Conclusions
Author Contributions
Funding
Conflicts of Interest
References
- Appelo, C.A.J.; Postma, D. Geochemistry, Groundwater and Pollution, 2nd ed.; August Aimé Balkema: Leiden, The Netherlands, 2004. [Google Scholar]
- Rattan, R.K.; Datta, S.P.; Chhonkar, P.K.; Suribabu, K.; Singh, A.K. Long-term impact of irrigation with sewage effluents on heavy metal content in soils, crops and groundwater—A case study. Agric. Ecosyst. Environ. 2005, 109, 310–322. [Google Scholar] [CrossRef]
- Suma, C.S.; Srinivasamoorthy, K.; Saravanan, K.; Faizalkhan, A.; Prakash, R.; Gopinath, S. Geochemical Modeling of Groundwater in Chinnar River Basin: A Source Identification Perspective. Aquat. Procedia 2015, 4, 986–992. [Google Scholar] [CrossRef]
- Shen, Z.L.; Zhu, W.H.; Zhong, Z.S. Basis of Hydrogeochemistry; Geology Press: Beijing, China, 1993. [Google Scholar]
- Sharif, M.U.; Davis, R.K.; Steele, K.F.; Kim, B.; Kresse, T.M.; Fazio, J.A. Inverse geochemical modeling of groundwater evolution with emphasis on arsenic in the Mississippi River Valley alluvial aquifer, Arkansas (USA). J. Hydrol. 2008, 350, 41–55. [Google Scholar] [CrossRef]
- Gastmans, D.; Chang, H.K.; Hutcheon, I. Groundwater geochemical evolution in the northern portion of the Guarani Aquifer System (Brazil) and its relationship to diagenetic features. Appl. Geochem. 2010, 25, 16–33. [Google Scholar] [CrossRef]
- Wang, G.C.; Duan, Q.; Chang, Y.S. Hydrogeochemical exploration methods for mine water hazard prevention and control. Chin. J. Geol. Hazard Control 2000, 11, 33–37. [Google Scholar]
- Simpson, H.J.; Herczeg, A.L. Stable Isotopes as an Indicator of Evaporation in the River Murray, Australia. Water Resour. Res. 1991, 27, 1925–1935. [Google Scholar] [CrossRef]
- Herczeg, A.L.; Simpson, H.J.; Mazor, E. Transport of soluble salts in a large semiarid basin: River Murray, Australia. J. Hydrol. 1993, 144, 59–84. [Google Scholar] [CrossRef]
- Adams, S.; Titus, R.; Pietersen, K.; Tredoux, G.; Harris, C. Hydrochemical characteristics of aquifers near Sutherland in the Western Karoo, South Africa. J. Hydrol. 2001, 241, 91–103. [Google Scholar] [CrossRef]
- Dessert, C.; Dupré, B.; François, L.M.; Schott, J.; Gaillardet, J.; Chakrapani, G.; Bajpai, S. Erosion of Deccan Traps determined by river geochemistry: Impact on the global climate and the 87Sr/86Sr ratio of seawater. Earth Planet. Sci. Lett. 2001, 188, 459–474. [Google Scholar] [CrossRef]
- Tizro, A.T.; Voudouris, K.S. Groundwater quality in the semi-arid region of the Chahardouly basin, West Iran. Hydrol. Process. 2008, 22, 3066–3078. [Google Scholar] [CrossRef]
- Beaucaire, C.; Gassama, N.; Tresonne, N.; Louvat, D. Geochemical evolution of saline waters in crystalline rocks: Chardon mine (France)—Part I: Behavior of main ions. In Water–Rock Interaction, Proceedings of the 8th International Symposium on Water–Rock Interaction, Vladivostok, Russia, 15–19 August 1995; Kharaka, Y.K., Chudaev, O.V., Eds.; A.A. Balkema: Rotterdam, The Netherlands, 1995; pp. 433–436. [Google Scholar]
- Subramani, T.; Rajmohan, N.; Elango, L. Groundwater geochemistry and identification of hydrogeochemical processes in a hard rock region, Southern India. Environ. Monit. Assess. 2010, 162, 123–137. [Google Scholar] [CrossRef] [PubMed]
- Gastmans, D.; Hutcheon, I.; Menegário, A.A.; Chang, H.K. Geochemical evolution of groundwater in a basaltic aquifer based on chemical and stable isotopic data: Case study from the Northeastern portion of Serra Geral Aquifer, São Paulo state (Brazil). J. Hydrol. 2016, 535, 598–611. [Google Scholar] [CrossRef]
- Bretzler, A.; Osenbrück, K.; Gloaguen, R.; Ruprecht, J.S.; Kebede, S.; Stadler, S. Groundwater origin and flow dynamics in active rift systems—A multi-isotope approach in the Main Ethiopian Rift. J. Hydrol. 2011, 402, 274–289. [Google Scholar] [CrossRef]
- Plummer, L.N.; Busby, J.F.; Lee, R.W.; Hanshaw, B.B. Geochemical modeling of the Madison Aquifer in parts of Montana, Wyoming and South Dakota. Water Resour. Res. 1990, 26, 1981–2014. [Google Scholar] [CrossRef]
- Dhiman, S.D.; Keshari, A.K. GIS assisted inverse geochemical modeling for plausible phase transfers in aquifers. Environ. Geol. 2006, 50, 1211–1219. [Google Scholar] [CrossRef]
- Bozau, E.; Häußler, S.; Berk, W.V. Hydrogeochemical modelling of corrosion effects and barite scaling in deep geothermal wells of the North German Basin using PHREEQC and PHAST. Geothermics 2015, 53, 540–547. [Google Scholar] [CrossRef]
- Li, P.; Wu, J.; Qian, H.; Zhang, Y.; Yang, N.; Jing, L.; Yu, P. Hydrogeochemical Characterization of Groundwater in and around a Wastewater Irrigated Forest in the Southeastern Edge of the Tengger Desert, Northwest China. Expo. Health 2016, 8, 331–348. [Google Scholar] [CrossRef]
- Walraevens, K.; Bakundukize, C.; Mtoni, Y.E.; Camp, M.V. Understanding the hydrogeochemical evolution of groundwater in Precambrian basement aquifers: A case study of Bugesera region in Burundi. J. Geochem. Explor. 2018, 188, 24–42. [Google Scholar] [CrossRef]
- Wang, D.S.; Ren, F.H. Groundwater Hydrochemical anomalies and genesis in Golmud Alluvial Fan. J. Changchun Univ. Geol. 1996, 26, 191–195. [Google Scholar]
- Tan, H.B.; Yu, S.S.; Liu, X.Q. Characteristics of trace element geochemistry in the middle and lower reaches of the Golmud River. J. Jilin Univ. (Earth) 2001, 31, 273–278. [Google Scholar]
- Zhu, P.C.; Xiao, S.S.; Zhang, S.G.; Huang, Y.; Yang, F.T.; Wei, X.U. Study on interaction relationship between surface water and groundwater in Nalenggele River. Yellow River 2014, 13, 239–240. [Google Scholar]
- Xu, W.D.; Wu, Y.J.; Liang, J.; Zheng, Y.F.; Liu, G.H.; Zhang, B.S. Hydrochemical characteristics and distribution of Nomhon area in southern margin of Qaidam Basin. J. Hebei Acad. Sci. 2009, 26, 63–66. [Google Scholar]
- Xiao, Y.; Shao, J.; Cui, Y.; Zhang, G.; Zhang, Q. Groundwater circulation and hydrogeochemical evolution in Nomhon of Qaidam Basin, northwest China. J. Earth Syst. Sci. 2017, 126, 26. [Google Scholar] [CrossRef]
- Sun, C.Y. Isotope Hydrogeology of Nomhon Area. Qinghai Land Resour. 1991, 1, 26–31. [Google Scholar]
- Yang, B.C.; Li, X.D.; Zhang, G.; Li, C.Z. Groundwater hydrochemical characteristics and evolution of the Nomhon River Basin. J. Northwest A F Univ. (Nat. Sci. Ed.) 2016, 44, 214–220. [Google Scholar]
- Cui, Y.; Liu, F.; Hao, Q.; Zhang, G. Study on hydrogen and oxygen isotope characteristics and renewal capacity of groundwater in Nomhon alluvial fan. Hydrogeol. Eng. Geol. 2015, 42, 1–7. [Google Scholar]
- Gonfiantini, R. Standards for stable isotope measurements in natural compounds. Nature 1978, 271, 534–536. [Google Scholar] [CrossRef]
- Plummer, L.N.; Prestemon, E.C.; Parkhurst, D.L. An Interactive Code (NETPATH) for Modeling NET Geochemical Reactions along a Flow PATH; Water-Resources Investigations Report 94-4169; U.S. Geological Survey: Reston, VA, USA, 1994; 130p.
- Parkhurst, D.L.; Charlton, S.R. NetpathXL—An Excel Interface to the Program NETPATH; Techniques and Methods 6-A26; U.S. Geological Survey: Reston, VA, USA, 2008; 11p.
- Park, S.C.; Yun, S.T.; Chae, G.T.; Yoo, I.S.; Shin, K.S. Regional hydrochemical study on salinization of coastal aquifers, western coastal area of South Korea. J. Hydrol. 2005, 313, 182–194. [Google Scholar] [CrossRef]
- Bertolo, R.; Hirata, R.; Sracek, O. Geochemistry and geochemical modeling of unsaturated zone in a tropical region in Urânia, São Paulo state, Brazil. J. Hydrol. 2006, 329, 49–62. [Google Scholar] [CrossRef]
- Feng, B.; Xiao, C.L.; Liang, X.J.; Fang, Z.; Li, Y.Q. Inverse geochemical simulation of water-rock reaction in western Jilin Province. Water Resour. Prot. 2009, 25, 1–37. [Google Scholar]
- Li, P.; Qian, H.; Wu, J.; Ding, J. Geochemical modeling of groundwater in southern plain area of Pengyang County, Ningxia, China. Water Sci. Eng. 2010, 3, 282–291. [Google Scholar]
- Herczeg, A.L.; Leaney, F.W. Review: Environmental tracers in arid-zone hydrology. Hydrogeol. J. 2011, 19, 17–29. [Google Scholar] [CrossRef]
- Gat, J.R.; Carmi, I. Evolution of the isotopic composition of atmospheric waters in the Mediterrane sea area. J. Geophys. Res. 1970, 75, 3039–3048. [Google Scholar] [CrossRef]
- Clark, I.D.; Fritz, P. Environmental Isotopes in Hydrogeology; Lewis Publishers: New York, NY, USA, 1997. [Google Scholar]
- Liu, F.; Cui, Y.; Zhang, G.; Geng, F.; Liu, J. Determination of groundwater age in the Nomhon area of Qaidam basin by using 3H and 14C methods. Geoscience 2014, 28, 1322–1328. [Google Scholar]
- Li, P.; Wu, J.; Qian, H. Hydrogeochemistry and quality assessment of shallow groundwater in the southern part of the Yellow River Alluvial Plain (Zhongwei Section), China. Earth Sci. Res. J. 2014, 18, 27–38. [Google Scholar] [CrossRef]
- Piper, A.M. A graphic procedure in the geochemical interpretation of water-analyses. Neurochem. Int. 1944, 25, 27. [Google Scholar] [CrossRef]
- Stumm, W.; Morgan, J.J. Aquatic Chemistry: Chemical Equilibria and Rates in Natural Waters, 2nd ed.; Wiley-Interscience: New York, NY, USA, 1996; p. 179. [Google Scholar]
- Xing, L.; Guo, H.; Zhan, Y. Groundwater hydrochemical characteristics and processes along flow paths in the North China Plain. J. Asian Earth Sci. 2013, 70–71, 250–264. [Google Scholar] [CrossRef]
- Raju, N.J.; Patel, P.; Reddy, B.; Suresh, U.; Reddy, T. Identifying source and evaluation of hydrogeochemical processes in the hard rock aquifer system: Geostatistical analysis and geochemical modeling techniques. Environ. Earth Sci. 2016, 75, 1157. [Google Scholar] [CrossRef]
- Hussein, M.T. Hydrochemical evaluation of groundwater in the Blue Nile Basin, eastern Sudan, using conventional and multivariate techniques. Hydrogeol. J. 2004, 12, 144–158. [Google Scholar] [CrossRef]
- Jankowski, J.; Acworth, R.I. Impact of depris-flow deposits on hydrogeochemical processes and the development of dryland salinity in the Yass River catchment, New South Wales. Aust. Hydrogeol. J. 1997, 5, 71–88. [Google Scholar] [CrossRef]
- Dogramaci, S.; Skrzypek, G.; Dodson, W.; Grierson, P.F. Stable isotope and hydrochemical evolution of groundwater in the semi-arid Hamersley Basin of sub-tropical northwest Australia. J. Hydrol. 2012, 475, 281–293. [Google Scholar] [CrossRef]
- Wu, J.; Sun, Z. Evaluation of Shallow Groundwater Contamination and Associated Human Health Risk in an Alluvial Plain Impacted by Agricultural and Industrial Activities, Mid-west China. Expo. Health 2015, 8, 1–19. [Google Scholar] [CrossRef]
- Schoeller, H. Qualitative evaluation of groundwater resources. In Methods and Techniques of Groundwater Investigation and Development; Water Research Series-33; UNESCO: Delft, The Netherlands, 1965; pp. 54–83. [Google Scholar]
- García, G.M.; Hidalgo, M.D.V.; Blesa, M.A. Geochemistry of groundwater in the alluvial plain of Tucumán province, Argentina. Hydrogeol. J. 2001, 9, 597–610. [Google Scholar] [CrossRef]
- Ahmed, M.A.; Samie, S.G.; Badawy, H.A. Factors controlling mechanisms of groundwater salinization and hydrogeochemical processes in the Quaternary aquifer of the Eastern Nile Delta, Egypt. Environ. Earth Sci. 2013, 68, 369–394. [Google Scholar] [CrossRef]
- Fisher, R.S.; Mullican, W.F., III. Hydrochemical evolution of sodium-sulfate and sodium-chloride groundwater beneath the Northern Chihuahuan Desert, Trans-Pecos, Texas, USA. Hydrogeol. J. 1997, 5, 4–16. [Google Scholar] [CrossRef]
- Fontes, J.C.; Yousfi, M.; Allison, G.B. Estimation of long-term, diffuse groundwater discharge in the northern Sahara using stable isotope profiles in soil water. J. Hydrol. 1986, 86, 315–327. [Google Scholar] [CrossRef]
- Park, J.; Bethke, C.M.; Torgersen, T.; Johnson, T.M. Transport modeling applied to the interpretation of ground-water 36C1 age. Water Resour. Res. 2002, 38, 1-1–1-15. [Google Scholar] [CrossRef]
- Cartwright, I.; Weaver, T.R.; Fifield, L.K. Cl/Br ratios and environmental isotopes as indicators of recharge variability and groundwater flow: An example from the southeast Murray Basin, Australia. Chem. Geol. 2006, 231, 38–56. [Google Scholar] [CrossRef]
- Kloppmann, W.; Négrel, P.; Casanova, J.; Klinge, H.; Schelkes, K.; Guerrot, C. Halite dissolution derived brines in the vicinity of a Permian salt dome (N German Basin). Evidence from boron, strontium, oxygen, and hydrogen isotopes. Geochim. Cosmochim. Acta 2001, 65, 4087–4101. [Google Scholar] [CrossRef]
- Cartwright, I.; Weaver, T.R.; Fulton, S.; Nichol, C.; Reid, M.; Cheng, X. Hydrogeochemical and isotopic constraints on the origins of dryland salinity, Murray Basin, Victoria, Australia. Appl. Geochem. 2004, 19, 1233–1254. [Google Scholar] [CrossRef]
- Boukhari, K.; Fakir, Y.; Stigter, T.Y.; Hajhouji, Y.; Boulet, G. Origin of recharge and salinity and their role on management issues of a large alluvial aquifer system in the semi-arid Haouz plain, Morocco. Environ. Earth Sci. 2015, 73, 6195–6212. [Google Scholar] [CrossRef]
- Sahib, L.Y.; Marandi, A.; Schüth, C. Strontium isotopes as an indicator for groundwater salinity sources in the Kirkuk region, Iraq. Sci. Total Environ. 2016, 562, 935–945. [Google Scholar] [CrossRef] [PubMed]
- Carre, J. Geochemistry of Strontium in Groundwater and Surface Water of Paris Region. Ph.D. Thesis, University of Paris VI, Paris, France, 1975. [Google Scholar]
- Parkhurst, D.L.; Appelo, C. User’s Guide to PHREEQC—A Computer program for Speciation, Batch-Reaction, One-Dimensional Transport, and Inverse Geochemical Calculations; Water Resources Investigations Report 99-4259; U.S. Geological Survey: Reston, VA, USA, 1999.
- Zang, H.; Zheng, X.; Jia, Z.; Chen, J.; Qin, Z. The impact of hydrogeochemical processes on karst groundwater quality in arid and semiarid area: A case study in the Liulin spring area, north China. Arab. J. Geosci. 2015, 8, 1–13. [Google Scholar] [CrossRef]
- Güler, C.; Thyne, G.D. Hydrologic and geologic factors controlling surface and groundwater chemistry in Indian Wells-Owens Valley area, southeastern California, USA. J. Hydrol. 2004, 285, 177–198. [Google Scholar] [CrossRef]
- Lee, H.; Koo, M.H.; Kim, K.; Kim, Y. Spatio-Temporal Variations in Stream-Aquifer Interactions Following Construction of Weirs in Korea. Ground Water 2016, 54, 448. [Google Scholar] [CrossRef] [PubMed]










| Site No. | NR1 | NR2 | NR3 | NG1 | NG2 | NG3 |
| Type 1 | R | R | R | GW | GW | GW |
| Temperature (°C) | 14.21 | 13.30 | 22.53 | 19.58 | 9.00 | 9.60 |
| pH | 8.01 | 8.42 | 8.16 | 7.92 | 7.65 | 7.90 |
| EC (us/cm)2 | 921.50 | n.a. 3 | 1028.00 | 833.80 | 995.50 | 958.60 |
| TDS (mg/L) | 579.84 | 596.34 | 637.51 | 552.65 | 620.96 | 628.44 |
| K+ (mg/L) | 3.50 | 3.50 | 3.80 | 10.50 | 10.00 | 11.00 |
| Na+ (mg/L) | 80.00 | 81.80 | 94.40 | 71.80 | 79.60 | 79.40 |
| Ca2+ (mg/L) | 65.09 | 60.12 | 66.69 | 42.00 | 51.78 | 51.94 |
| Mg2+ (mg/L) | 26.74 | 27.22 | 29.56 | 33.15 | 37.53 | 33.64 |
| HCO3− (mg/L) | 146.44 | 152.54 | 140.34 | 152.54 | 170.85 | 195.25 |
| Cl− (mg/L) | 140.11 | 142.66 | 159.11 | 138.41 | 161.38 | 141.25 |
| SO42− (mg/L) | 100.20 | 108.50 | 123.40 | 80.80 | 91.90 | 94.50 |
| Al (mg/L) | 0.048 | 0.043 | 0.045 | 0.024 | 0.029 | 0.028 |
| Si (mg/L) | 7.94 | 7.18 | 8.20 | 10.13 | 11.37 | 11.45 |
| Br− (mg/L) | 0.20 | <0.10 | 0.15 | 0.21 | 0.10 | 0.11 |
| Sr2+ (mg/L) | 0.65 | 0.64 | 0.69 | 0.73 | 0.88 | 1.04 |
| δD (‰) | −73.95 | −73.57 | −70.55 | −75.85 | −77.67 | −73.91 |
| δ18O (‰) | −10.87 | −10.89 | −10.73 | −11.33 | −11.62 | −10.87 |
| Site No. | NG4 | NG5 | NG6 | NG7 | NG8 | NG9 |
| Type 1 | GW | GW | GW | GW | GW | GW |
| Temperature (°C) | 11.03 | 9.41 | 11.71 | n.a. 3 | 12.94 | 13.67 |
| pH | 8.31 | 7.90 | 8.03 | 8.35 | 7.82 | 7.21 |
| EC (us/cm) | 883.90 | 748.80 | 700.60 | 795.00 | 11,310.00 | 31,620.00 |
| TDS (mg/L) | 598.41 | 491.65 | 462.50 | 622.10 | 6515.20 | 19,604.40 |
| K+ (mg/L) | 6.00 | 5.00 | 4.10 | 2.40 | 7.80 | 8.60 |
| Na+ (mg/L) | 86.90 | 62.50 | 81.10 | 164.20 | 1779.30 | 5449.10 |
| Ca2+ (mg/L) | 46.65 | 42.97 | 29.82 | 12.87 | 355.27 | 1068.69 |
| Mg2+ (mg/L) | 31.11 | 24.69 | 17.69 | 7.00 | 164.21 | 522.56 |
| HCO3− (mg/L) | 195.25 | 164.75 | 140.34 | 244.07 | 347.80 | 329.492 |
| Cl− (mg/L) | 120.54 | 99.84 | 95.58 | 117.00 | 3793.47 | 12,195.83 |
| SO42− (mg/L) | 84.80 | 73.10 | 68.60 | 61.90 | 50.10 | 14.20 |
| Al (mg/L) | 0.026 | 0.027 | 0.020 | 0.018 | 0.170 | 0.370 |
| Si (mg/L) | 11.81 | 11.41 | 12.23 | 9.07 | 115.00 | 62.50 |
| Br− (mg/L) | 0.19 | 0.11 | 0.12 | 0.10 | 1.09 | 4.48 |
| Sr2+ (mg/L) | 0.83 | 0.71 | 0.71 | 0.34 | 17.94 | 54.19 |
| δD (‰) | −75.47 | −75.5 | −80.91 | −85.22 | −92.00 | −92.00 |
| δ18O (‰) | −11.14 | −11.13 | −11.70 | −12.38 | −12.50 | −11.90 |
| Site No. | NG1 | NG2 | NG3 | NG4 | NG5 | NG6 | NG7 | NG8 | NG9 |
|---|---|---|---|---|---|---|---|---|---|
| SIcalcite | 0.22 | −0.09 | 0.20 | 0.62 | 0.11 | 0.06 | 0.21 | 0.98 | 0.64 |
| SIdolomite | 0.61 | −0.24 | 0.32 | 1.20 | 0.09 | 0.04 | 0.30 | 1.81 | 1.20 |
| SIgypsum | −2.31 | −2.28 | −2.26 | −1.87 | −2.4 | −2.54 | −2.97 | −2.24 | −2.68 |
| SIhalite | −6.57 | −6.46 | −6.52 | −6.54 | −6.76 | −6.66 | −6.28 | −3.87 | −2.95 |
| SIalbite | −1.63 | −0.56 | −0.68 | −0.74 | −0.78 | −0.86 | −0.96 | 4.16 | 4.18 |
| SIanorthite | −3.07 | −2.38 | −2.45 | −2.58 | −2.52 | −2.95 | −3.67 | 1.54 | 2.00 |
| SISiO2 | 0.29 | 0.52 | 0.50 | 0.48 | 0.50 | 0.49 | 0.37 | 0.11 | 1.23 |
| SIkaolinite | 2.97 | 5.30 | 4.65 | 3.51 | 4.57 | 3.8 | 2.89 | 7.75 | 8.98 |
| Path | NG5–NG7 | NG7–NG8 | NG8–NG9 |
|---|---|---|---|
| NaCl | 0.485 | 104.886 | 243.195 |
| Calcite | – | −16.541 | −6.745 |
| Dolomite | −0.728 | – | −2.575 |
| Gypsum | – | 9.540 | 5.633 |
| Albite | 3.894 | – | – |
| Anorthite | – | – | 0.004 |
| Chlorite | – | 1.156 | – |
| Kaolinite | −5.853 | – | – |
| SiO2 | – | −3.407 | −0.004 |
| CH2O | – | 19.552 | 12.014 |
| H2S | −0.117 | −9.776 | −6.007 |
| CO2 | 2.677 | – | – |
| Exchange | 0.024 | −14.851 | −39.662 |
© 2018 by the authors. Licensee MDPI, Basel, Switzerland. This article is an open access article distributed under the terms and conditions of the Creative Commons Attribution (CC BY) license (http://creativecommons.org/licenses/by/4.0/).
Share and Cite
Yang, N.; Wang, G.; Shi, Z.; Zhao, D.; Jiang, W.; Guo, L.; Liao, F.; Zhou, P. Application of Multiple Approaches to Investigate the Hydrochemistry Evolution of Groundwater in an Arid Region: Nomhon, Northwestern China. Water 2018, 10, 1667. https://doi.org/10.3390/w10111667
Yang N, Wang G, Shi Z, Zhao D, Jiang W, Guo L, Liao F, Zhou P. Application of Multiple Approaches to Investigate the Hydrochemistry Evolution of Groundwater in an Arid Region: Nomhon, Northwestern China. Water. 2018; 10(11):1667. https://doi.org/10.3390/w10111667
Chicago/Turabian StyleYang, Nuan, Guangcai Wang, Zheming Shi, Dan Zhao, Wanjun Jiang, Liang Guo, Fu Liao, and Pengpeng Zhou. 2018. "Application of Multiple Approaches to Investigate the Hydrochemistry Evolution of Groundwater in an Arid Region: Nomhon, Northwestern China" Water 10, no. 11: 1667. https://doi.org/10.3390/w10111667
APA StyleYang, N., Wang, G., Shi, Z., Zhao, D., Jiang, W., Guo, L., Liao, F., & Zhou, P. (2018). Application of Multiple Approaches to Investigate the Hydrochemistry Evolution of Groundwater in an Arid Region: Nomhon, Northwestern China. Water, 10(11), 1667. https://doi.org/10.3390/w10111667

