Assessing the Importance of Potholes in the Canadian Prairie Region under Future Climate Change Scenarios
Abstract
1. Introduction
2. Materials and Methods
2.1. Study Area
2.2. Geospatial and Hydroclimatic Data
2.3. Hydrological Model
2.4. Calibration and Validation
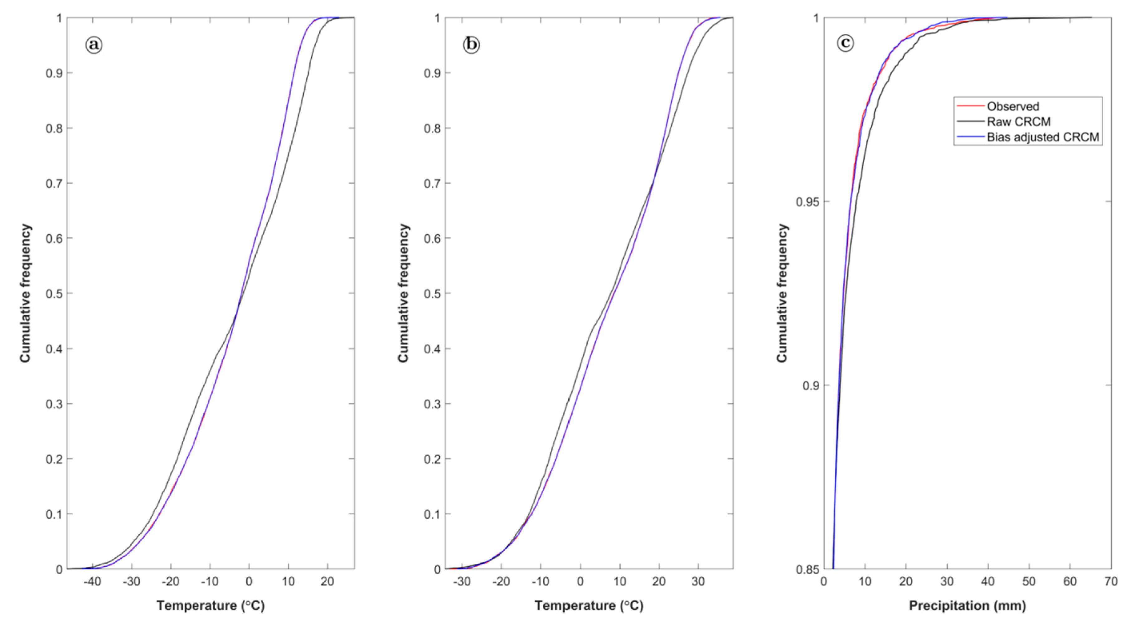
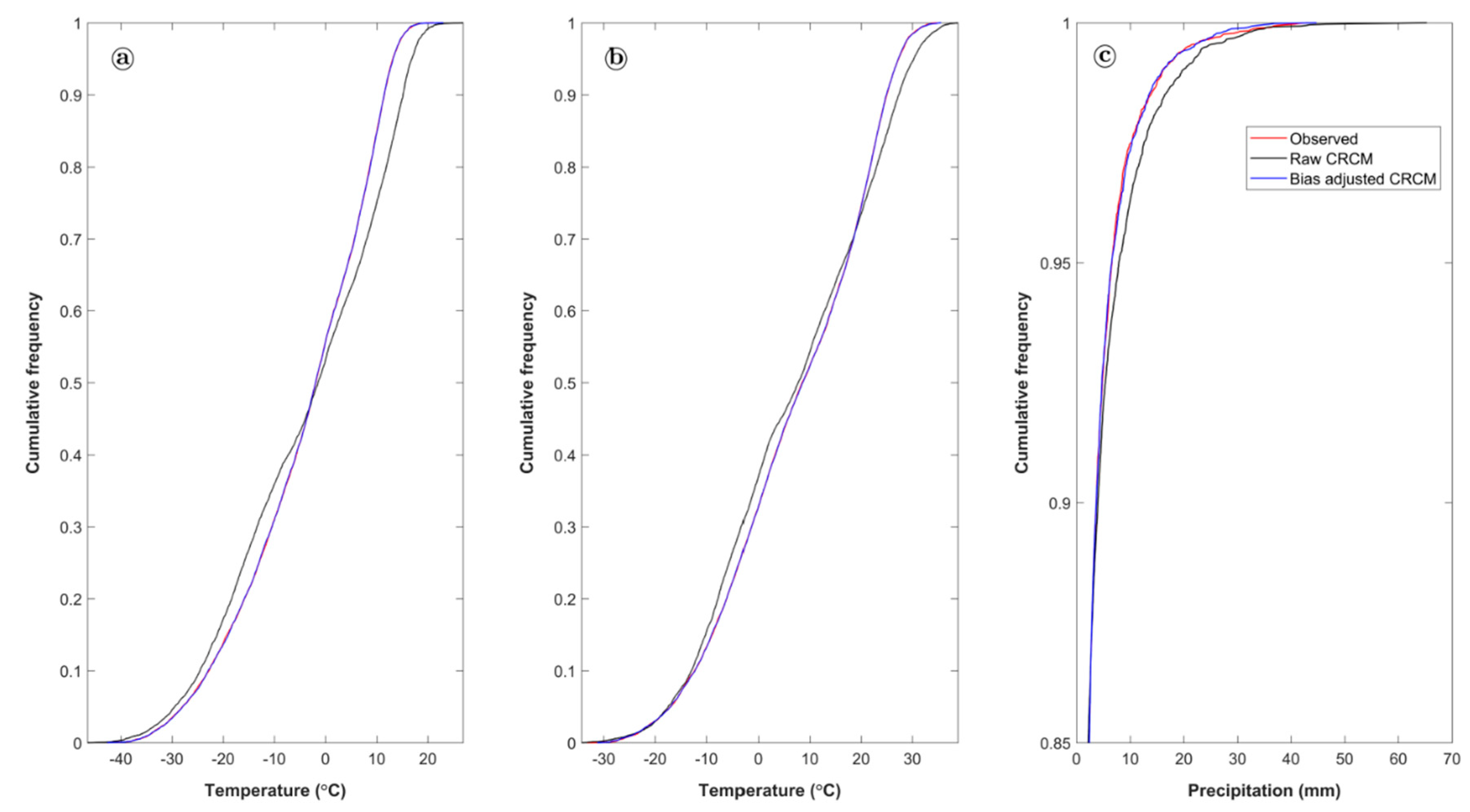
2.5. Scenario Formulation: Climate and Land Use Change
3. Results
3.1. Model Calibration and Validation
3.2. Future Climate for the 2030s and 2050s Periods under RCP 4.5 and RCP 8.5 Scenarios
3.3. Variations in Streamflow
4. Discussion
5. Study Limitations
6. Conclusions
Author Contributions
Funding
Acknowledgments
Conflicts of Interest
References
- Vanderhoof, M.K.; Alexander, L.C.; Todd, M.J. Temporal and spatial patterns of wetland extent influence variability of surface water connectivity in the Prairie Pothole Region, United States. Landsc. Ecol. 2016, 31, 805–824. [Google Scholar] [CrossRef]
- Ando, A.W.; Mallory, M.L. Optimal portfolio design to reduce climate-related conservation uncertainty in the Prairie Pothole Region. Proc. Natl. Acad. Sci. USA 2012, 109, 6484–6489. [Google Scholar] [CrossRef] [PubMed]
- Niemuth, N.D.; Wangler, B.; Reynolds, R.E. Spatial and temporal variation in wet area of wetlands in the prairie pothole region of North Dakota and South Dakota. Wetlands 2010, 30, 1053–1064. [Google Scholar] [CrossRef]
- Werner, B.A.; Johnson, W.C.; Guntenspergen, G.R. Evidence for 20th century climate warming and wetland drying in the North American Prairie Pothole Region. Ecol. Evol. 2013, 3. [Google Scholar] [CrossRef] [PubMed]
- Gleason, R.A.; Euliss, N.H.; Tangen, B.A.; Laubhan, M.K.; Browne, B.A. USDA conservation program and practice effects on wetland ecosystem services in the Prairie Pothole Region. Ecol. Appl. 2011, 21, 65–81. [Google Scholar] [CrossRef]
- Conly, F.M.; van der Kamp, G. Monitoring the hydrology of Canadian Prairie wetlands to detect the effects of climate change and land use changes. Environ. Monit. Assess. 2001, 67, 195–215. [Google Scholar] [CrossRef] [PubMed]
- Rashford, B.S.; Adams, R.M.; Wu, J.; Voldseth, R.A.; Guntenspergen, G.R.; Werner, B.; Johnson, W.C. Impacts of climate change on land-use and wetland productivity in the Prairie Pothole Region of North America. Reg. Environ. Chang. 2016, 16, 515–526. [Google Scholar] [CrossRef]
- Weller, C.M.; Watzin, M.C.; Wang, D. Role of wetlands in reducing phosphorus loading to surface water in eight watersheds in the Lake Champlain Basin. Environ. Manag. 1996, 20, 731–739. [Google Scholar] [CrossRef]
- Bullock, A.; Acreman, M. The role of wetlands in the hydrological cycle. Hydrol. Earth Syst. Sci. 2003, 7, 358–389. [Google Scholar] [CrossRef]
- Revenga, C.; Tyrrell, T. Major River Basins of the World. In The Wetland Book; Springer: Dordrecht, The Netherlands, 2016; pp. 1–16. [Google Scholar]
- Hunter, M.L.; Acuña, V.; Bauer, D.M.; Bell, K.P.; Calhoun, A.J.K.; Felipe-Lucia, M.R.; Fitzsimons, J.A.; González, E.; Kinnison, M.; Lindenmayer, D.; et al. Conserving small natural features with large ecological roles: A synthetic overview. Biol. Conserv. 2017, 211, 88–95. [Google Scholar] [CrossRef]
- Shook, K.; Pomeroy, J.W.; Spence, C.; Boychuk, L. Storage dynamics simulations in prairie wetland hydrology models: Evaluation and parameterization. Hydrol. Process. 2013, 27, 1875–1889. [Google Scholar] [CrossRef]
- Shaw, D.A.; Vanderkamp, G.; Conly, F.M.; Pietroniro, A.; Martz, L. The fill-spill hydrology of prairie wetland complexes during drought and deluge. Hydrol. Process. 2012, 26, 3147–3156. [Google Scholar] [CrossRef]
- Millett, B.; Johnson, W.C.; Guntenspergen, G. Climate trends of the North American prairie pothole region 1906–2000. Clim. Chang. 2009, 93, 243–267. [Google Scholar] [CrossRef]
- Dumanski, S.; Pomeroy, J.W.; Westbrook, C.J. Hydrological regime changes in a Canadian Prairie basin. Hydrol. Process. 2015, 29, 3893–3904. [Google Scholar] [CrossRef]
- IPCC Climate Change 2013: The Physical Science Basis. Contribution of Working Group I to the Fifth Assessment Report of the Intergovernmental Panel on Climate Change. In Intergovernmental Panel on Climate Change, Working Group I Contribution to the IPCC Fifth Assessment Report (AR5); Cambridge University Press: New York, NY, USA, 2013; p. 1535. [Google Scholar]
- Collins, M.; Knutti, R.; Arblaster, J.; Dufresne, J.-L.; Fichefet, T.; Friedlingstein, P.; Gao, X.; Gutowski, W.J.; Johns, T.; Krinner, G.; et al. Chapter 12—Long-term climate change: Projections, commitments and irreversibility. In Climate Change 2013: The Physical Science Basis. IPCC Working Group I Contribution to AR5; IPCC, Ed.; Cambridge University Press: Cambridge, UK, 2013. [Google Scholar]
- Trenberth, K.E. The impact of climate change and variability on heavy precipitation, floods, and droughts. Encycl. Hydrol. Sci. 2008. [Google Scholar] [CrossRef]
- Field, C.; Barros, V. Climate Change 2014—Impacts, Adaptation and Vulnerability: Regional Aspects—Intergovernmental Panel on Climate Change; Cambridge University Press: Cambridge, UK, 2014. [Google Scholar]
- Zhang, Y.; You, Q.; Chen, C.; Ge, J. Impacts of climate change on streamflows under RCP scenarios: A case study in Xin River Basin, China. Atmos. Res. 2016, 178–179, 521–534. [Google Scholar] [CrossRef]
- Moss, R.H.; Edmonds, J.A.; Hibbard, K.A.; Manning, M.R.; Rose, S.K.; Van Vuuren, D.P.; Carter, T.R.; Emori, S.; Kainuma, M.; Kram, T.; et al. The next generation of scenarios for climate change research and assessment. Nature 2010. [Google Scholar] [CrossRef] [PubMed]
- Morita, T.; Robinson, J.R.; Alcamo, J.; Nakicenovic, N.; Riahi, K. Greenhouse gas emission mitigation scenarios and implications. In Climate Change 2001: Mitigation, Contribution of Working Group III to the Third Assessment Report of the Intergovernmental Panel Climate Change; Metz, B., Davidson, O., Swart, R., Pan, J., Eds.; Cambridge University Press: Cambridge, UK, 2001. [Google Scholar]
- Carter, T.R.; La Rovere, E.L.; Jones, R.N.; Leemans, R.; Nakicenovic, N. Developing and applying scenarios. In Climate Change 2001: Impacts, Adaptation, and Vulnerability, Third Assessment Report; Working Group II of the Intergovernmental Panel on Climate Change: Geneva, Switzerland, 2001. [Google Scholar]
- Shrestha, R.R.; Dibike, Y.B.; Prowse, T.D. Modelling of climate-induced hydrologic changes in the Lake Winnipeg watershed. J. Great Lakes Res. 2012, 38, 83–94. [Google Scholar] [CrossRef]
- Johnson, W.C.; Poiani, K.A. Climate change effects on prairie pothole wetlands: Findings from a twenty-five year numerical modeling project. Wetlands 2016, 36, 273–285. [Google Scholar] [CrossRef]
- Qian, B.; De Jong, R.; Huffman, T.; Wang, H.; Yang, J. Projecting yield changes of spring wheat under future climate scenarios on the Canadian Prairies. Theor. Appl. Climatol. 2016, 123, 651–669. [Google Scholar] [CrossRef]
- Betts, A.K.; Desjardins, R.; Worth, D.; Cerkowniak, D. Impact of land use change on the diurnal cycle climate of the Canadian Prairies. J. Geophys. Res. Atmos. 2013, 118, 11996–12011. [Google Scholar] [CrossRef]
- Herring, S.C.; Hoerling, M.P.; Kossin, J.P.; Peterson, T.C.; Stott, P.A.; Herring, S.C.; Hoerling, M.P.; Kossin, J.P.; Peterson, T.C.; Stott, P.A. Explaining extreme events of 2014 from a climate perspective. Bull. Am. Meteorol. Soc. 2015, 96, S1–S172. [Google Scholar] [CrossRef]
- Actuaries, C.I. Of Climate Change and Resource Sustainability an Overview for Actuaries Climate Change and Sustainability Committee. Canadian Institute of Actuaries. 2015. Available online: https://www.cia-ica.ca/docs/default-source/2015/215068e.pdf (accessed on 13 November 2018).
- Gurrapu, S.; Chipanshi, A.C.; Sauchyn, D.; Howard, A. Comparison of the SPI and SPEI on Predicting Drought Conditions and Steamflow in the Canadian Praries. 2014. Available online: https://www.google.com/url?sa=t&rct=j&q=&esrc=s&source=web&cd=2&ved=2ahUKEwiF34LU7NLeAhUGUt8KHdjKDf4QFjABegQIBBAC&url=https%3A%2F%2Fams.confex.com%2Fams%2F94Annual%2Fwebprogram%2FManuscript%2FPaper241519%2FHoward_AMS_2014_Conference_Extended%2520Abstract.pdf&usg=AOvVaw24kUqMFniE9I-cOZ0ZTpr9 (accessed on 13 November 2018).
- Olmstead, S.M. Climate change adaptation and water resource management: A review of the literature. Energy Econ. 2014, 46, 500–509. [Google Scholar] [CrossRef]
- Shook, K.; Pomeroy, J.; van der Kamp, G. The transformation of frequency distributions of winter precipitation to spring streamflow probabilities in cold regions; case studies from the Canadian Prairies. J. Hydrol. 2015, 521, 395–409. [Google Scholar] [CrossRef]
- Fang, X.; Pomeroy, J.W. Snowmelt runoff sensitivity analysis to drought on the Canadian prairies. Hydrol. Process. 2007, 21, 2594–2609. [Google Scholar] [CrossRef]
- Mekonnen, B.A.; Nazemi, A.; Mazurek, K.A.; Elshorbagy, A.; Putz, G. Hybrid modelling approach to prairie hydrology: Fusing data-driven and process-based hydrological models. Hydrol. Sci. J. 2015, 60, 1473–1489. [Google Scholar] [CrossRef]
- Mekonnen, B.; Mazurek, K.A.; Putz, G. Modeling of nutrient export and effects of management practices in a cold-climate prairie watershed: Assiniboine River watershed, Canada. Agric. Water Manag. 2017, 180, 235–251. [Google Scholar] [CrossRef]
- Fang, X.; Minke, A.; Pomeroy, J.W.; Brown, T.; Westbrook, C.; Guo, X.; Guangul, S. A Review of Canadian Prairie Hydrology: Principles, Modelling and Response to Land Use and Drainage Change; Center for Hydrology Report No. 2; Centre for Hydrology, University of Saskatchewan: Saskatoon, SK, Canada, 2007. [Google Scholar]
- Shook, K. Complexity of Prairie Hydrology Distinctiveness of Prairie Hydrology. 2012. Available online: https://www.google.com/url?sa=t&rct=j&q=&esrc=s&source=web&cd=1&ved=2ahUKEwjE9bj979LeAhVohuAKHblgCL4QFjAAegQIBxAC&url=https%3A%2F%2Fwiki.usask.ca%2Fdownload%2Fattachments%2F516948256%2F01_ComplexityOfPrairieHydrology_KShook.pdf&usg=AOvVaw1gWgzZDRY-iJiVc6aiSERo (accessed on 13 November 2018).
- Hayashi, M.; Van Der Kamp, G.; Schmidt, R. Focused infiltration of snowmelt water in partially frozen soil under small depressions. J. Hydrol. 2003, 270, 214–229. [Google Scholar] [CrossRef]
- Muhammad, A.; Stadnyk, T.A.; Unduche, F.; Coulibaly, P. Multi-model approaches for improving seasonal ensemble streamflow prediction scheme with various statistical post-processing techniques in the Canadian Prairie region. Water 2018, 10, 1604. [Google Scholar] [CrossRef]
- Van der Kamp, G.; Hayashi, M. Groundwater-wetland ecosystem interaction in the semiarid glaciated plains of North America. Hydrogeol. J. 2009, 17, 203–214. [Google Scholar] [CrossRef]
- Jayakrishnan, R.; Srinivasan, R.; Santhi, C.; Arnold, J.G. Advances in the application of the SWAT model for water resources management. Hydrol. Process. 2005, 19, 749–762. [Google Scholar] [CrossRef]
- Arnold, J.G.; Srinivasan, R.; Muttiah, R.S.; Williams, J.R. Large area hydrologic modeling and assessment part 1: Model development. J. Am. Water Resour. Assoc. 1998, 34, 73–89. [Google Scholar] [CrossRef]
- Srinivasan, R.; Ramanarayanan, T.S.; Arnold, J.G.; Bednarz, S.T. Large area hydrologic modeling and assessment part II: Model application. J. Am. Water Resour. Assoc. 1998, 34, 91–101. [Google Scholar] [CrossRef]
- Krysanova, V.; White, M. Advances in water resources assessment with SWAT—An overview. Hydrol. Sci. J. 2015, 1–13. [Google Scholar] [CrossRef]
- Abbaspour, K.C.; Faramarzi, M.; Ghasemi, S.S.; Yang, H. Assessing the impact of climate change on water resources in Iran. Water Resour. Res. 2009, 45. [Google Scholar] [CrossRef]
- Jha, M.; Arnold, J.G.; Gassman, P.W.; Giorgi, F.; Gu, R.R. Climate change sensitivity assessment on Upper Mississippi River Basin streamflows using SWAT. J. Am. Water Resour. Assoc. 2006, 42, 997–1015. [Google Scholar] [CrossRef]
- Narsimlu, B.; Gosain, A.K.; Chahar, B.R. Assessment of future climate change impacts on water resources of Upper Sind River Basin, India using SWAT model. Water Resour. Manag. 2013, 27, 3647–3662. [Google Scholar] [CrossRef]
- Li, Z.; Liu, W.; Zhang, X.; Zheng, F. Impacts of land use change and climate variability on hydrology in an agricultural catchment on the Loess Plateau of China. J. Hydrol. 2009, 377, 35–42. [Google Scholar] [CrossRef]
- Mango, L.M.; Melesse, A.M.; Mcclain, M.E.; Gann, D.; Setegn, S.G. Land use and climate change impacts on the hydrology of the upper Mara River Basin, Kenya: Results of a modeling study to support better resource management. Hydrol. Earth Syst. Sci. 2011, 15, 2245–2258. [Google Scholar] [CrossRef]
- Jha, M.K.; Gassman, P.W.; Arnold, J.G. Water quality modeling for the Raccoon River watershed using SWAT. Trans. ASABE 2007, 50, 479–493. [Google Scholar] [CrossRef]
- Abbaspour, K.C.; Yang, J.; Maximov, I.; Siber, R.; Bogner, K.; Mieleitner, J.; Zobrist, J.; Srinivasan, R. Modelling hydrology and water quality in the pre-alpine/alpine Thur watershed using SWAT. J. Hydrol. 2007, 333, 413–430. [Google Scholar] [CrossRef]
- Srinivasan, R.; Arnold, J.G. Integration of basin-scale water quality model with GIS. J. Am. Water Resour. Assoc. 1994, 30, 453–462. [Google Scholar] [CrossRef]
- Santhi, C.; Arnold, J.G.; Williams, J.R.; Dugas, W.A.; Srinivasan, R.; Hauck, L.M. Validation of the SWAT model on a large river basin with point and nonpoint sources. J. Am. Water Resour. Assoc. 2001, 37, 1169–1188. [Google Scholar] [CrossRef]
- Tripathi, M.P.; Panda, R.K.; Raghuwanshi, N.S. Identification and prioritisation of critical sub-watersheds for soil conservation management using the SWAT model. Biosyst. Eng. 2003, 85, 365–379. [Google Scholar] [CrossRef]
- Betrie, G.D.; Mohamed, Y.A.; Van Griensven, A.; Srinivasan, R. Sediment management modelling in the Blue Nile Basin using SWAT model. Hydrol. Earth Syst. Sci. 2011, 15, 807–818. [Google Scholar] [CrossRef]
- Singh, J.; Knapp, H.V.; Arnold, J.G.; Demissie, M. Hydrological modeling of the Iroquois River watershed using HSPF and SWAT. J. Am. Water Resour. Assoc. 2005, 41, 343–360. [Google Scholar] [CrossRef]
- Shrestha, R.R.; Dibike, Y.B.; Prowse, T.D. Modeling climate change impacts on hydrology and nutrient loading in the upper Assiniboine catchmen. J. Am. Water Resour. Assoc. 2012, 48, 74–89. [Google Scholar] [CrossRef]
- Zhang, H.; Huang, G.H.; Wang, D.; Zhang, X. Uncertainty assessment of climate change impacts on the hydrology of small prairie wetlands. J. Hydrol. 2011, 396, 94–103. [Google Scholar] [CrossRef]
- Zhang, H.; Huang, G.H. Development of climate change projections for small watersheds using multi-model ensemble simulation and stochastic weather generation. Clim. Dyn. 2013, 40, 805–821. [Google Scholar] [CrossRef]
- Mekonnen, B.A.; Mazurek, K.A.; Putz, G. Incorporating landscape depression heterogeneity into the Soil and Water Assessment Tool (SWAT) using a probability distribution. Hydrol. Process. 2016, 30, 2373–2389. [Google Scholar] [CrossRef]
- Yang, W.; Wang, X.; Liu, Y.; Gabor, S.; Boychuk, L.; Badiou, P. Simulated environmental effects of wetland restoration scenarios in a typical Canadian prairie watershed. Wetl. Ecol. Manag. 2010, 18, 269–279. [Google Scholar] [CrossRef]
- Muhammad, A.; Evenson, G.R.; Boluwade, A.; Jha, S.K.; Rasmussen, P.F. Quantifying the impact of geographically isolated wetlands on the downstream hydrology of a Canadian Prairie watershed. In Proceedings of the American Geophysical Union, Fall General Assembly, San Francisco, CA, USA, 12–16 December 2016. [Google Scholar]
- Saskatchewan Water Security Agency. Upper Assiniboine River Basin Study. 2000. Available online: https://docs.google.com/viewer?a=v&pid=sites&srcid=YXNzaW5pYm9pbmV3YXRlcnNoZWQuY29tfGFzc2luaWJvaW5lLXdhdGVyc2hlZC1zdGV3YXJkc2hpcC1hc3NvY2lhdGlvbnxneDo1YWJmMjIwMmMwYjc1MTYw (accessed on 13 November 2018).
- Saskatchewan Water Security Agency. Upper Assiniboine River Basin Study. Assiniboine Watershed Stewardship Association: 2000. pp. 1–146. Available online: https://docs.google.com/viewer?a=v&pid=sites&srcid=YXNzaW5pYm9pbmV3YXRlcnNoZWQuY29tfGFzc2luaWJvaW5lLXdhdGVyc2hlZC1zdGV3YXJkc2hpcC1hc3NvY2lhdGlvbnxneDoyZmI3NWZkYzFmNDdjZjNi (accessed on 13 November 2018).
- Pennock, D.; Bedard-Haughn, A.; Kiss, J.; van der Kamp, G. Application of hydropedology to predictive mapping of wetland soils in the Canadian Prairie Pothole Region. Geoderma 2014, 235–236, 199–211. [Google Scholar] [CrossRef]
- Richardson, J.L.; Arndt, J.L.; Freeland, J. Wetland Soils of the Prairie Potholes. In Advances in Agronomy; Sparks, D.L., Ed.; Academic Press: Waltham, MA, USA, 1994; Volume 52, pp. 121–171. [Google Scholar]
- NRC Level 1 Canadian Digital Elevation Data Product Specifications 2007, 48. Available online: https://www.google.com/url?sa=t&rct=j&q=&esrc=s&source=web&cd=3&cad=rja&uact=8&ved=2ahUKEwiL9MHL9dLeAhUGU98KHZ86C4sQFjACegQIBBAC&url=ftp%3A%2F%2Fftp.geogratis.gc.ca%2Fpub%2Fnrcan_rncan%2Felevation%2Fcdem_mnec%2Fdoc%2FCDEM_product_specs.pdf&usg=AOvVaw3OXCnIEIuVh9zljlJppplZ (accessed on 13 November 2018).
- Olthof, I.; Latifovic, R.; Pouliot, D. Development of a circa 2000 land cover map of northern Canada at 30 m resolution from Landsat. Can. J. Remote Sens. 2009, 35, 152–165. [Google Scholar] [CrossRef]
- Evenson, G.R.; Golden, H.E.; Lane, C.R.; Amico, E.D.; D’Amico, E. Geographically isolated wetlands and watershed hydrology: A modified model analysis. J. Hydrol. 2015, 529, 240–256. [Google Scholar] [CrossRef]
- Evenson, G.R.; Golden, H.E.; Lane, C.R.; D’Amico, E. An improved representation of geographically isolated wetlands in a watershed-scale hydrologic model. Hydrol. Process. 2016, 30, 4168–4184. [Google Scholar] [CrossRef]
- Abbaspour, K.C. SWAT-CUP SWAT Calibration and Uncertainty Programs. Eawag Aquatic Research, Switzerland. 2007, pp. 1–100. Available online: https://swat.tamu.edu/media/114860/usermanual_swatcup.pdf (accessed on 13 November 2018).
- Abbaspour, K.C.; Johnson, C.A.; van Genuchten, M.T. Estimating Uncertain Flow and Transport Parameters Using a Sequential Uncertainty Fitting Procedure. Vadose Zone J. 2004, 3, 1340. [Google Scholar] [CrossRef]
- Abbaspour, K.C.; Rouholahnejad, E.; Vaghefi, S.; Srinivasan, R.; Yang, H.; Kløve, B. A continental-scale hydrology and water quality model for Europe: Calibration and uncertainty of a high-resolution large-scale SWAT model. J. Hydrol. 2015, 524, 733–752. [Google Scholar] [CrossRef]
- Gupta, H.V.; Kling, H.; Yilmaz, K.K.; Martinez, G.F. Decomposition of the mean squared error and NSE performance criteria: Implications for improving hydrological modelling. J. Hydrol. 2009, 377, 80–91. [Google Scholar] [CrossRef]
- Pechlivanidis, I.G.; Arheimer, B. Large-scale hydrological modelling by using modified PUB recommendations: The India-HYPE case. Hydrol. Earth Syst. Sci. 2015, 19, 4559–4579. [Google Scholar] [CrossRef]
- Nash, J.E.; Sutcliffe, J.V. River flow forecasting through conceptual models part I—A discussion of principles. J. Hydrol. 1970, 10, 282–290. [Google Scholar] [CrossRef]
- Yapo, P.O.; Gupta, H.V.; Sorooshian, S. Automatic calibration of conceptual rainfall-runoff models: Sensitivity to calibration data. J. Hydrol. 1996, 181, 23–48. [Google Scholar] [CrossRef]
- Moriasi, D.N.; Arnold, J.G.; Van Liew, M.W.; Binger, R.L.; Harmel, R.D.; Veith, T.L. Model evaluation guidelines for systematic quantification of accuracy in watershed simulations. Trans. ASABE 2007, 50, 885–900. [Google Scholar] [CrossRef]
- Diaconescu, E.P.; Gachon, P.; Laprise, R.; Scinocca, J.F. Evaluation of precipitation indices over north America from various configurations of regional climate models. Atmos. Ocean 2016, 54, 418–439. [Google Scholar] [CrossRef]
- Martynov, A.; Laprise, R.; Sushama, L.; Winger, K.; Šeparović, L.; Dugas, B. Reanalysis-driven climate simulation over CORDEX North America domain using the Canadian Regional Climate Model, version 5: Model performance evaluation. Clim. Dyn. 2013, 41, 2973–3005. [Google Scholar] [CrossRef]
- Šeparović, L.; Alexandru, A.; Laprise, R.; Martynov, A.; Sushama, L.; Winger, K.; Tete, K.; Valin, M. Present Climate and Climate Change over North America as Simulated by the Fifth-Generation Canadian Regional Climate Model; Springer: Berlin/Heidelberg, Germany, 2013; Volume 41, ISBN 0038201317375. [Google Scholar]
- Riahi, K.; Rao, S.; Krey, V.; Cho, C.; Chirkov, V.; Fischer, G.; Kindermann, G.; Nakicenovic, N.; Rafaj, P. RCP 8.5—A scenario of comparatively high greenhouse gas emissions. Clim Chang. 2011, 109, 33–57. [Google Scholar] [CrossRef]
- Ines, A.V.M.; Hansen, J.W. Bias correction of daily GCM rainfall for crop simulation studies. Agric. Forest Meteorol. 2006, 138, 44–53. [Google Scholar] [CrossRef]
- Hagemann, S.; Chen, C.; Haerter, J.O.; Heinke, J.; Gerten, D.; Piani, C.; Hagemann, S.; Chen, C.; Haerter, J.O.; Heinke, J.; et al. Impact of a statistical bias correction on the projected hydrological changes obtained from three GCMs and two hydrology models. J. Hydrometeorol. 2011, 12, 556–578. [Google Scholar] [CrossRef]
- Teutschbein, C.; Seibert, J. Bias correction of regional climate model simulations for hydrological climate-change impact studies: Review and evaluation of different methods. J. Hydrol. 2012, 456, 12–29. [Google Scholar] [CrossRef]
- Piani, C.; Weedon, G.P.; Best, M.; Gomes, S.M.; Viterbo, P.; Hagemann, S.; Haerter, J.O. Statistical bias correction of global simulated daily precipitation and temperature for the application of hydrological models. J. Hydrol. 2010, 395, 199–215. [Google Scholar] [CrossRef]
- Van Roosmalen, L.; Christensen, J.H.; Butts, M.B.; Jensen, K.H.; Refsgaard, J.C. An intercomparison of regional climate model data for hydrological impact studies in Denmark. J. Hydrol. 2010, 380, 406–419. [Google Scholar] [CrossRef]
- Chen, J.; Brissette, F.P.; Chaumont, D.; Braun, M. Finding appropriate bias correction methods in downscaling precipitation for hydrologic impact studies over North America. Water Resour. Res. 2013, 49, 4187–4205. [Google Scholar] [CrossRef]
- Mpelasoka, F.S.; Chiew, F.H.S. Influence of rainfall scenario construction methods on runoff projections. J. Hydrometeorol. 2009, 10, 1168–1183. [Google Scholar] [CrossRef]
- Vieira, M.J.F. 738 Years of Global Climate Model Simulated Streamflow in the Nelson-Churchill River Basin. 2016. Available online: https://www.google.com/url?sa=t&rct=j&q=&esrc=s&source=web&cd=1&cad=rja&uact=8&ved=2ahUKEwinyPvfgdPeAhXQmuAKHfaKCvwQFjAAegQIABAC&url=http%3A%2F%2Fwww.biology.ualberta.ca%2Fbsc%2Fenglish%2Fgrasslandsbook%2FChapter5_ACG.pdf&usg=AOvVaw0DM0JRUEqb_nDn9jTUgMSH (accessed on 13 November 2018).
- Zhang, H.; Huang, G.H.; Wang, D.; Zhang, X. Multi-period calibration of a semi-distributed hydrological model based on hydroclimatic clustering. Adv. Water Resour. 2011, 34, 1292–1303. [Google Scholar] [CrossRef]
- Rahbeh, M.; Chanasyk, D.; Miller, J. Two-way calibration-validation of SWAT model for a small prairie watershed with short observed record. Can. Water Resour. J. 2011, 36, 247–270. [Google Scholar] [CrossRef]
- Mekonnen, M.A.; Wheater, H.S.; Ireson, A.M.; Spence, C.; Davison, B.; Pietroniro, A. Towards an improved land surface scheme for prairie landscapes. J. Hydrol. 2014, 511, 105–116. [Google Scholar] [CrossRef]
- Mcginn, S.M. Weather and Climate Patterns in Canada’s Prairie Grasslands. In Arthropods of Canadian Grasslands (Volume 1): Ecology and Interactions in Grassland Habitats; 2010; Volume 1, pp. 105–119. Available online: https://www.google.com/url?sa=t&rct=j&q=&esrc=s&source=web&cd=1&cad=rja&uact=8&ved=2ahUKEwinyPvfgdPeAhXQmuAKHfaKCvwQFjAAegQIABAC&url=http%3A%2F%2Fwww.biology.ualberta.ca%2Fbsc%2Fenglish%2Fgrasslandsbook%2FChapter5_ACG.pdf&usg=AOvVaw0DM0JRUEqb_nDn9jTUgMSH (accessed on 13 November 2018). [CrossRef]
- Henderson, N.; Sauchyn, D. Climate Change Impacts on Canada’s Prairie Provinces: A Summary of our State of Knowledge; No. 08-01; Prairie Adaptation Research Collaborative: Ottawa, ON, Canada, 2008; pp. 1–20. Available online: http://www.parc.ca/pdf/research_publications/summary_docs/SD2008-01.pdf (accessed on 13 November 2018).
- Carter Johnson, W.; Werner, B.; Guntenspergen, G.R. Non-linear responses of glaciated prairie wetlands to climate warming. Clim. Chang. 2016, 134, 209–223. [Google Scholar] [CrossRef]
- Barnett, T.P.; Adam, J.C.; Lettenmaier, D.P. Potential impacts of a warming climate on water availability in snow-dominated regions. Nature 2005, 438, 303–309. [Google Scholar] [CrossRef] [PubMed]
- Bonsal, B.R.; Cuell, C.; Wheaton, E.; Sauchyn, D.J.; Barrow, E. An assessment of historical and projected future hydro-climatic variability and extremes over southern watersheds in the Canadian Prairies. Int. J. Climatol. 2017, 37, 3934–3948. [Google Scholar] [CrossRef]
- Pomeroy, J.W.; Shook, K.; Fang, X.; Dumanski, S.; Westbrook, C.; Brown, T. Improving and Testing the Prairie Hydrological Model at Smith Creek Research Basin; Centre for Hydrology, University of Saskatchewan: Saskatoon, TX, USA, 2014. [Google Scholar]
- Pierce, D.W.; Barnett, T.P.; Santer, B.D.; Gleckler, P.J. Selecting global climate models for regional climate change studies. Proc. Natl. Acad. Sci. USA 2009, 106, 8441–8446. [Google Scholar] [CrossRef] [PubMed]
- Diro, G.T.; Sushama, L.; Huziy, O. Snow-atmosphere coupling and its impact on temperature variability and extremes over North America. Clim. Dyn. 2017, 1–15. [Google Scholar] [CrossRef]
- Yang Kam Wing, G.; Sushama, L.; Diro, G.T. The intraannual variability of land-atmosphere coupling over North America in the Canadian Regional Climate Model (CRCM5). J. Geophys. Res. Atmos. 2016, 121, 13859–13885. [Google Scholar] [CrossRef]
- Latif, M. Uncertainty in climate change projections. J. Geochem. Explor. 2011, 110, 1–7. [Google Scholar] [CrossRef]
- Lane, C.R.; D’Amico, E.; Autrey, B. Isolated wetlands of the southeastern United States: Abundance and expected condition. Wetlands 2012, 32, 753–767. [Google Scholar] [CrossRef]









| Serial No. | Station ID | Station Name | Start Year | End Year | Drainage Area (km2) |
|---|---|---|---|---|---|
| 1 | 05MC003 | Lilian River near Lady lake | 1965 | 2015 | 229 |
| 2 | 05MC001 | Assiniboine River at Sturgis | 1944 | 2015 | 1930 |
| 3 | 05MB003 | Whitesand River near Canora | 1943 | 2015 | 8740 |
| 4 | 05MD004 | Assiniboine River at Kamsack | 1944 | 2015 | 13,000 |
| 5 | 05MB001 | Yorkton Creek near Ebenezer | 1941 | 2015 | 2320 |
| Parameter | Parameter Range | Descriptions (Units, if Applicable) | ||
|---|---|---|---|---|
| Min | Max | Fitted | ||
| ALPHA_BF | 0.01 | 0.80 | 0.43 | Base flow alpha factor (days) |
| GW_DELAY | 0.00 | 500.00 | 208.78 | Groundwater delays (days) |
| GW_REVAP | 0.02 | 0.20 | 0.17 | Groundwater revap coefficient |
| GWQMN | 0.00 | 5000.00 | 4095.50 | Threshold depth of water in the shallow aquifer (mm) |
| RCHRG_DP | 0.00 | 1.00 | 0.05 | Deep aquifer percolation faction |
| REVAPMN | 0.00 | 500.00 | 69.00 | Threshold depth of water in the shallow (mm) |
| CH_K1 | 0.00 | 150.00 | 104.60 | Effective hydraulic conductivity in tributary channel (mm h−1) |
| CH_K2 | 0.00 | 150.00 | 86.58 | Effective hydraulic conductivity in main channel (mm h−1) |
| CH_N1 | 0.01 | 0.30 | 0.09 | Manning’s N-value for the tributary channel |
| CH_N2 | 0.01 | 0.30 | 0.22 | Manning’s N-value for the main channel |
| CN2a | −0.25 | 0.25 | 0.02 | Soil Conservation Service (SCS) runoff curve number |
| SOL_AWC | −0.25 | 0.25 | −0.10 | Available water capacity (mm H2O mm−1) |
| EPCO | 0.00 | 1.00 | 0.77 | Plant uptake compensation factor |
| ESCO | 0.00 | 1.00 | 0.49 | Soil evaporation compensation factor |
| TIMP | 0.01 | 1.00 | 0.04 | Snow pack temperature lag factor |
| SFTMP | −3.00 | 3.00 | −0.85 | Snowfall temperature |
| SMTMP | −3.00 | 3.00 | −0.12 | Snowmelt base temperature |
| SMFMN | 0.00 | 10.00 | 5.53 | Melt factor for snow on winter solstice (mm c−1 day−1) |
| SNOCOVMX | 5.00 | 500.00 | 44.33 | Minimum snow water content that corresponds to 100% snow cover (mm) |
| SNO50COV | 0.05 | 0.80 | 0.12 | Snow water equivalent that corresponds to 50% snow cover (%) |
| SMFMX | 0.00 | 10.00 | 4.71 | Maximum melt rate for snow on summer solstice (mm c−1 day−1) |
| OV_N | −0.20 | 0.20 | −0.07 | Manning’s N-value for overland flow |
| CH_L1 | −1.00 | 1.00 | 0.01 | Longest tributary channel length in sub-basin |
| CH_W1 | −1.00 | 1.00 | 0.86 | Average width of tributary channels (m) |
| CH_L2 | −1.00 | 1.00 | 0.01 | Length of main channel (m) |
| CH_W2 | −1.00 | 1.00 | −0.03 | Average width of main channel (m) |
| WET_K | 0.00 | 3.60 | 0.57 | Hydraulic conductivity of bottom of wetland (mm h−1) |
| Model Performance at Monthly Time Step: Calibration (Validation) | |||||
|---|---|---|---|---|---|
| Station Name | p-Factor | r-Factor | KGE | NS | PBIAS |
| Lilian River near Lady lake | 0.8 (0.9) | 1.3 (1.4) | 0.7 (0.4) | 0.5 (0.3) | −6.2 (−31.0) |
| Assiniboine River at Sturgis | 0.6 (0.8) | 1.3 (1.0) | 0.5 (0.7) | 0.4 (0.6) | −32.0 (−19.4) |
| Whitesand River near Canora | 0.5 (0.6) | 1.2 (0.6) | 0.5 (0.5) | 0.4 (0.6) | −12.0 (30.9) |
| Assiniboine River at Kamsack | 0.8 (0.8) | 1.1 (0.7) | 0.6 (0.6) | 0.5 (0.7) | −1.7 (9.1) |
| Assiniboine River at Ebenezer | 0.9 (0.4) | 1.1 (0.3) | 0.5 (0.1) | 0.2 (0.2) | 2.1 (62.7) |
| Climate Period 2030s: RCP 4.5 (RCP 8.5) | ||||
| Wetland Removed (%) | Winter | Spring | Summer | Fall |
| 0 | 1.58 (0.91) | 0.67 (0.55) | −0.16 (−0.19) | 0.45 (0.07) |
| 25 | 1.64 (1.0) | 0.67 (0.54) | −0.17 (−0.23) | 0.57 (0.06) |
| 50 | 1.64 (0.99) | 0.70 (0.58) | −0.14 (−0.20) | 0.59 (0.08) |
| 75 | 1.69 (0.98) | 0.76 (0.65) | −0.08 (−0.16) | 0.64 (0.13) |
| 100 | 1.87 (1.04) | 0.91 (0.81) | 0.05 (−0.05) | 0.77 (0.26) |
| Climate Period 2050s: RCP 4.5 (RCP 8.5) | ||||
| 0 | 2.11 (3.10) | 0.71 (0.8) | 0.08 (−0.15) | 0.09 (0.37) |
| 25 | 2.33 (3.36) | 0.76 (0.81) | 0.01 (−0.20) | 0.12 (0.38) |
| 50 | 2.37 (3.46) | 0.8 (0.86) | 0.04 (−0.17) | 0.13 (0.40) |
| 75 | 2.46 (3.69) | 0.88 (0.94) | 0.09 (−0.13) | 0.16 (0.46) |
| 100 | 2.76 (4.25) | 1.06 (1.15) | 0.22 (−0.02) | 0.25 (0.61) |
| Quantile | Baseline | Climate and Land Use Change Scenario: 2030s (2050s) | ||
|---|---|---|---|---|
| Max | Min | Average | ||
| Q10 | 0.56 | 2.21 (2.56) | 0.76 (1.09) | 1.62 (1.77) |
| Q50 | 2.02 | 6.33 (8.07) | 2.03 (2.73) | 3.86 (4.86) |
| Q90 | 24.23 | 36.86 (34.10) | 8.19 (9.60) | 20.05 (19.48) |
© 2018 by the authors. Licensee MDPI, Basel, Switzerland. This article is an open access article distributed under the terms and conditions of the Creative Commons Attribution (CC BY) license (http://creativecommons.org/licenses/by/4.0/).
Share and Cite
Muhammad, A.; Evenson, G.R.; Stadnyk, T.A.; Boluwade, A.; Jha, S.K.; Coulibaly, P. Assessing the Importance of Potholes in the Canadian Prairie Region under Future Climate Change Scenarios. Water 2018, 10, 1657. https://doi.org/10.3390/w10111657
Muhammad A, Evenson GR, Stadnyk TA, Boluwade A, Jha SK, Coulibaly P. Assessing the Importance of Potholes in the Canadian Prairie Region under Future Climate Change Scenarios. Water. 2018; 10(11):1657. https://doi.org/10.3390/w10111657
Chicago/Turabian StyleMuhammad, Ameer, Grey R. Evenson, Tricia A. Stadnyk, Alaba Boluwade, Sanjeev Kumar Jha, and Paulin Coulibaly. 2018. "Assessing the Importance of Potholes in the Canadian Prairie Region under Future Climate Change Scenarios" Water 10, no. 11: 1657. https://doi.org/10.3390/w10111657
APA StyleMuhammad, A., Evenson, G. R., Stadnyk, T. A., Boluwade, A., Jha, S. K., & Coulibaly, P. (2018). Assessing the Importance of Potholes in the Canadian Prairie Region under Future Climate Change Scenarios. Water, 10(11), 1657. https://doi.org/10.3390/w10111657

