Theoretical Model of Suspended Sediment Concentration in a Flow with Submerged Vegetation
Abstract
1. Introduction
2. Methods
2.1. Flow Model
2.2. Reynolds Stress Distribution
2.3. Suspended Sediment Concentration Model
3. Results and Discussion
3.1. Verification of Flow Model
3.2. Verification of Suspended Sediment Concentration Model
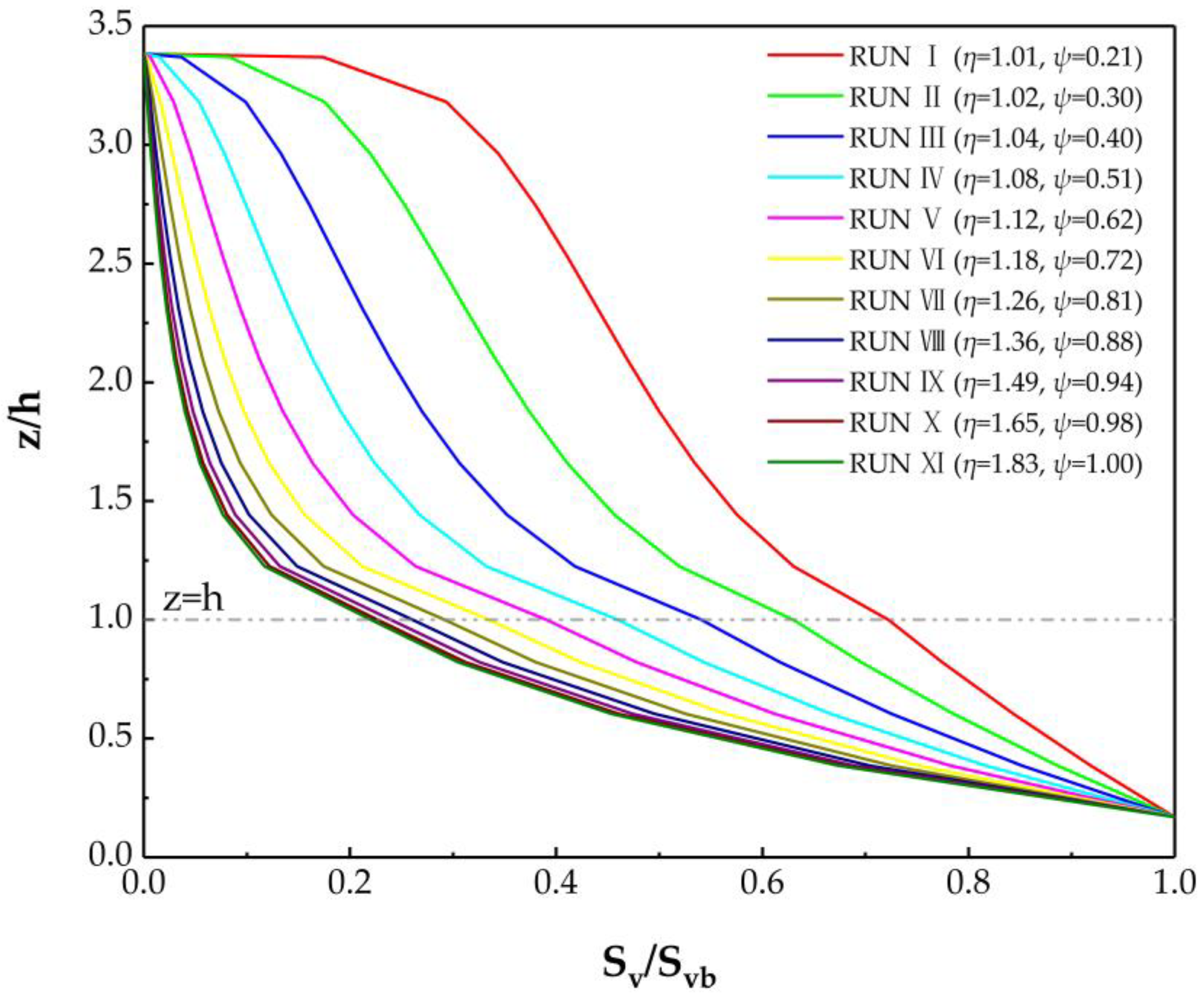
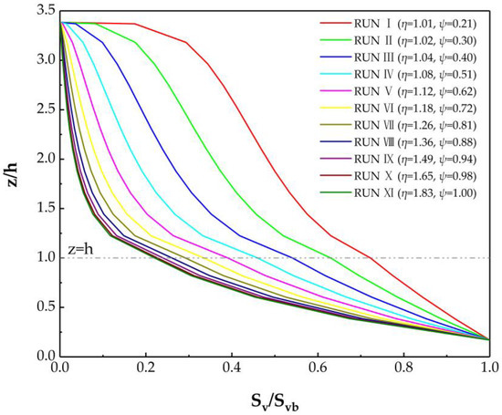
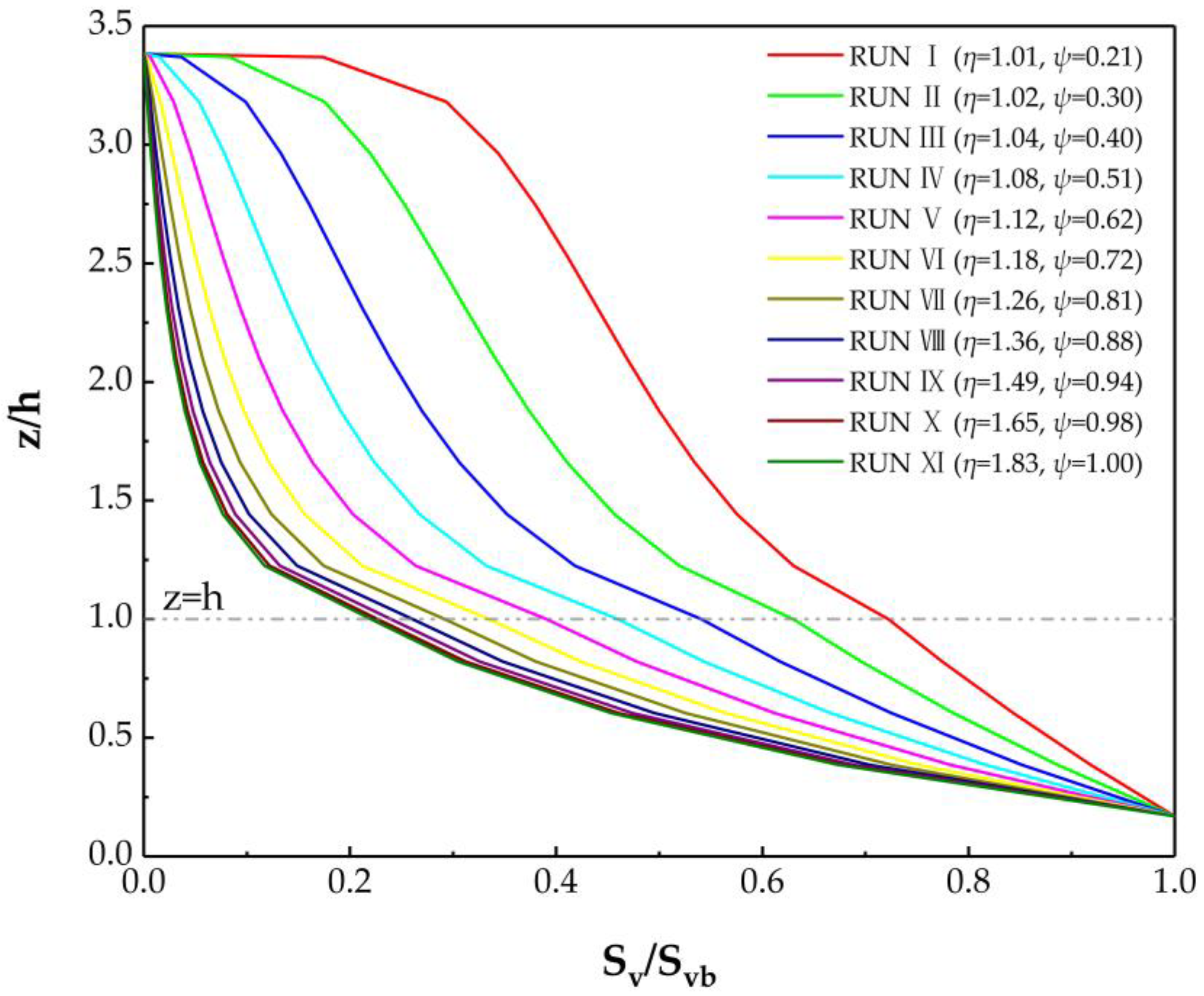
3.3. Sensitivity Analysis of Canopy Density
3.4. Sensitivity Analysis of Hydraulic Condition
3.5. Sensitivity Analysis of the Inverse of Turbulent Schmidt Number
4. Conclusions
Author Contributions
Funding
Conflicts of Interest
References
- Graf, W.H. Hydraulics of Sediment Transport; McGraw-Hill: New York, NY, USA, 1971; Volume 172. [Google Scholar]
- Tisujimoto, T. Diffusion coefficient of suspended sediment and kinematic eddy viscosity of flow containing suspended load. In River Flow 2010; Koll, D., Geisenhainer, A., Eds.; Bundesanstalt für Wasserbau: Karlsruhe, Germany, 2010; pp. 801–806. ISBN 978-3-939230-00-7. [Google Scholar]
- Pal, D.; Ghoshal, K. Effect of particle concentration on sediment and turbulent diffusion coefficients in open-channel turbulent flow. Environ. Earth Sci. 2016, 75, 1245. [Google Scholar] [CrossRef]
- Gualtieri, C.; Angeloudis, A.; Bombardelli, F.; Jha, S.; Stoesser, T. On the values for the turbulent Schmidt number in environmental flows. Fluids 2017, 2, 17. [Google Scholar] [CrossRef]
- Van Rijin, L.C. Sediment transport, part ii: Suspended load transport. J. Hydraul. Eng. 1984, 110, 1613–1641. [Google Scholar] [CrossRef]
- Graf, W.H.; Cellino, M. Suspension flows in open channels: Experimental study. J. Hydraul. Res. 2002, 40, 435–447. [Google Scholar] [CrossRef]
- Rouse, H. Experiments on the mechanics of sediment suspension. In Proceedings of the Fifth International Congress for Applied Mechanics, Cambridge, MA, USA, 12–16 September 1938; John Wiley & Sons: New York, NY, USA, 1938; pp. 550–554. [Google Scholar]
- Yang, W.; Choi, S.U. A two-layer approach for depth-limited open channel flows with submerged vegetation. J. Hydraul. Res. 2010, 48, 466–475. [Google Scholar] [CrossRef]
- Klopstra, D.; Barneveld, H.J.; Van Noortwijk, J.M.; Van Velzen, E.H. Analytical model for hydraulic roughness of submerged vegetation. In Proceedings of the 27th Congress of the International Association for Hydraulic Research, San Francisco, CA, USA, 10–15 August 1997; pp. 775–780. [Google Scholar]
- Huai, W.X.; Zeng, Y.H.; Xu, Z.G.; Yang, Z.H. Three-layer model for vertical velocity distribution in open channel flow with submerged rigid vegetation. Adv. Water Resour. 2009, 32, 487–492. [Google Scholar] [CrossRef]
- Follett, E.; Chamecki, M.; Nepf, H. Evaluation of a random displacement model for predicting particle escape from canopies using a simple eddy diffusivity model. Agric. For. Meteorol. 2016, 224, 40–48. [Google Scholar] [CrossRef]
- De Serio, F.; Ben Meftah, M.; Mossa, M.; Termini, D. Experimental investigation on dispersion mechanisms in rigid and flexible vegetated bed. Adv. Water Resour. 2018, 120, 98–113. [Google Scholar] [CrossRef]
- Nepf, H.M. Flow and transport in regions with aquatic vegetation. Annu. Rev. Fluid Mech. 2012, 44, 123–142. [Google Scholar] [CrossRef]
- Nepf, H.; Ghisalberti, M.; White, B.; Murphy, E. Retention time and dispersion associated with submerged aquatic canopies. Water Resour. Res. 2007, 43, W04422. [Google Scholar] [CrossRef]
- Liu, X.G.; Zeng, Y.H. Drag coefficient for rigid vegetation in subcritical open-channel flow. Environ. Fluid Mech. 2017, 17, 1035–1050. [Google Scholar] [CrossRef]
- Kaimal, J.; Finnigan, J. Atmospheric Boundary Layer Flows: Their Structure and Measurement, 1st ed.; Oxfod University Press: New York, NY, USA, 1994; Volume 289. [Google Scholar]
- Murphy, E.; Ghisalberti, M.; Nepf, H. Model and laboratory study of dispersion in flows with submerged vegetation. Water Resour. Res. 2007, 43, W05438. [Google Scholar] [CrossRef]
- Järvelä, J. Effect of submerged flexible vegetation on flow structure and resistance. J. Hydrol. 2005, 307, 233–241. [Google Scholar] [CrossRef]
- Nepf, H.M.; Vivoni, E.R. Flow structure in depth-limited, vegetated flow. J. Geophys. Res-Oceans 2000, 105, 28547–28557. [Google Scholar] [CrossRef]
- Thom, A.S. Momentum absorption by vegetation. Q. J. R. Meteorol. Soc. 2010, 97, 414–428. [Google Scholar] [CrossRef]
- Luhar, M.; Rominger, J.; Nepf, H. Interaction between flow, transport and vegetation spatial structure. Environ. Fluid Mech. 2008, 8, 423–439. [Google Scholar] [CrossRef]
- Raupach, M.R.; Thom, A.S.; Edwards, I. A wind-tunnel study of turbulent flow close to regularly arrayed rough surfaces. Bound. Layer Meteorol. 1980, 18, 373–397. [Google Scholar] [CrossRef]
- Harman, I.N.; Finnigan, J.J. A simple unified theory for flow in the canopy and roughness sublayer. Bound. Layer Meteorol. 2007, 123, 339–363. [Google Scholar] [CrossRef]
- Shimizu, Y.; Tsujimoto, T.; Nakagawa, H.; Kitamura, T. Experimental study on flow over rigid vegetation simulated by cylinders with equi-spacing. Proc. JSCE 2010, 1991, 31–40. (In Japanese) [Google Scholar]
- Dijkstra, J.T.; Uittenbogaard, R.E. Modeling the interaction between flow and highly flexible aquatic vegetation. Water Resour. Res. 2010, 46, W12547. [Google Scholar] [CrossRef]
- Huai, W.X.; Wang, W.J.; Zeng, Y.H. Two-layer model for open channel flow with submerged flexible vegetation. J. Hydraul. Res. 2013, 51, 708–718. [Google Scholar] [CrossRef]
- Ghisalberti, M.; Nepf, H. The limited growth of vegetated shear layers. Water Resour. Res. 2004, 40, W07502. [Google Scholar] [CrossRef]
- Wang, X.Y.; Xie, W.M.; Zhang, D.; He, Q. Wave and vegetation effects on flow and suspended sediment characteristics: A flume study. Estura. Coast. Shelf Sci. 2016, 182, 1–11. [Google Scholar] [CrossRef]







| RUN | Q, ×10−2 cm3 s−1 | h, cm | a, cm−1 | S, ×10−5 | u1, cm s−1 | uh, cm s−1 |
|---|---|---|---|---|---|---|
| A | 48 | 13.9 | 0.025 | 0.99 | 1.30 | 2.50 |
| B | 17 | 13.9 | 0.025 | 0.18 | 0.50 | 1.00 |
| C | 74 | 13.9 | 0.034 | 2.50 | 1.70 | 3.50 |
| D | 48 | 13.9 | 0.034 | 1.20 | 1.10 | 2.40 |
| E | 143 | 13.8 | 0.040 | 7.50 | 3.50 | 6.70 |
| F | 94 | 13.8 | 0.040 | 3.20 | 2.40 | 4.60 |
| G | 48 | 13.8 | 0.040 | 1.30 | 1.10 | 2.30 |
| H | 143 | 13.8 | 0.080 | 10.00 | 2.70 | 6.30 |
| I | 94 | 13.8 | 0.080 | 3.40 | 1.70 | 4.00 |
| J | 48 | 13.8 | 0.080 | 1.30 | 0.77 | 2.10 |
| K | 17 | 13.8 | 0.080 | 0.26 | 0.27 | 0.94 |
| RUN | , cm s−1 | , cm s−1 | ||
|---|---|---|---|---|
| A | 0.56 | 0.16 | 1.12 | 0.62 |
| B | 0.24 | 0.16 | 1.66 | 0.98 |
| C | 0.90 | 0.16 | 1.05 | 0.42 |
| D | 0.62 | 0.16 | 1.10 | 0.57 |
| E | 1.56 | 0.16 | 1.02 | 0.25 |
| F | 1.02 | 0.16 | 1.04 | 0.37 |
| G | 0.65 | 0.16 | 1.09 | 0.55 |
| H | 1.80 | 0.16 | 1.01 | 0.21 |
| I | 1.05 | 0.16 | 1.03 | 0.36 |
| J | 0.65 | 0.16 | 1.09 | 0.55 |
| K | 0.29 | 0.16 | 1.45 | 0.93 |
| RUN | , cm | , cm s−1 | , cm s−1 | ||
|---|---|---|---|---|---|
| I | 0.005 | 0.16 | 1.80 | 1.01 | 0.21 |
| II | 0.006 | 0.22 | 1.80 | 1.02 | 0.30 |
| III | 0.007 | 0.30 | 1.80 | 1.04 | 0.40 |
| IV | 0.008 | 0.40 | 1.80 | 1.08 | 0.51 |
| V | 0.009 | 0.50 | 1.80 | 1.12 | 0.62 |
| VI | 0.010 | 0.61 | 1.80 | 1.18 | 0.72 |
| VII | 0.011 | 0.74 | 1.80 | 1.26 | 0.81 |
| VIII | 0.012 | 0.87 | 1.80 | 1.36 | 0.88 |
| IX | 0.013 | 1.01 | 1.80 | 1.49 | 0.94 |
| X | 0.014 | 1.16 | 1.80 | 1.65 | 0.98 |
| XI | 0.015 | 1.32 | 1.80 | 1.83 | 1.00 |
© 2018 by the authors. Licensee MDPI, Basel, Switzerland. This article is an open access article distributed under the terms and conditions of the Creative Commons Attribution (CC BY) license (http://creativecommons.org/licenses/by/4.0/).
Share and Cite
Li, D.; Yang, Z.; Sun, Z.; Huai, W.; Liu, J. Theoretical Model of Suspended Sediment Concentration in a Flow with Submerged Vegetation. Water 2018, 10, 1656. https://doi.org/10.3390/w10111656
Li D, Yang Z, Sun Z, Huai W, Liu J. Theoretical Model of Suspended Sediment Concentration in a Flow with Submerged Vegetation. Water. 2018; 10(11):1656. https://doi.org/10.3390/w10111656
Chicago/Turabian StyleLi, Da, Zhonghua Yang, Zhaohua Sun, Wenxin Huai, and Jianhua Liu. 2018. "Theoretical Model of Suspended Sediment Concentration in a Flow with Submerged Vegetation" Water 10, no. 11: 1656. https://doi.org/10.3390/w10111656
APA StyleLi, D., Yang, Z., Sun, Z., Huai, W., & Liu, J. (2018). Theoretical Model of Suspended Sediment Concentration in a Flow with Submerged Vegetation. Water, 10(11), 1656. https://doi.org/10.3390/w10111656

