Analysis and Optimization of Open Circulating Cooling Water System
Abstract
1. Introduction
2. Methods
2.1. Physical Model
2.2. Mathematical Models
2.2.1. Water Quantity, Impurity and Energy Balance Models
2.2.2. System Makeup and Drainage Rate vs. Water Quality and Temperature Models
3. Model Verification
3.1. Verification of the Makeup Rate and the Cycles of Concentration Model
3.2. Verification of the Makeup Rate and the Temperature Model
4. Results and Discussion
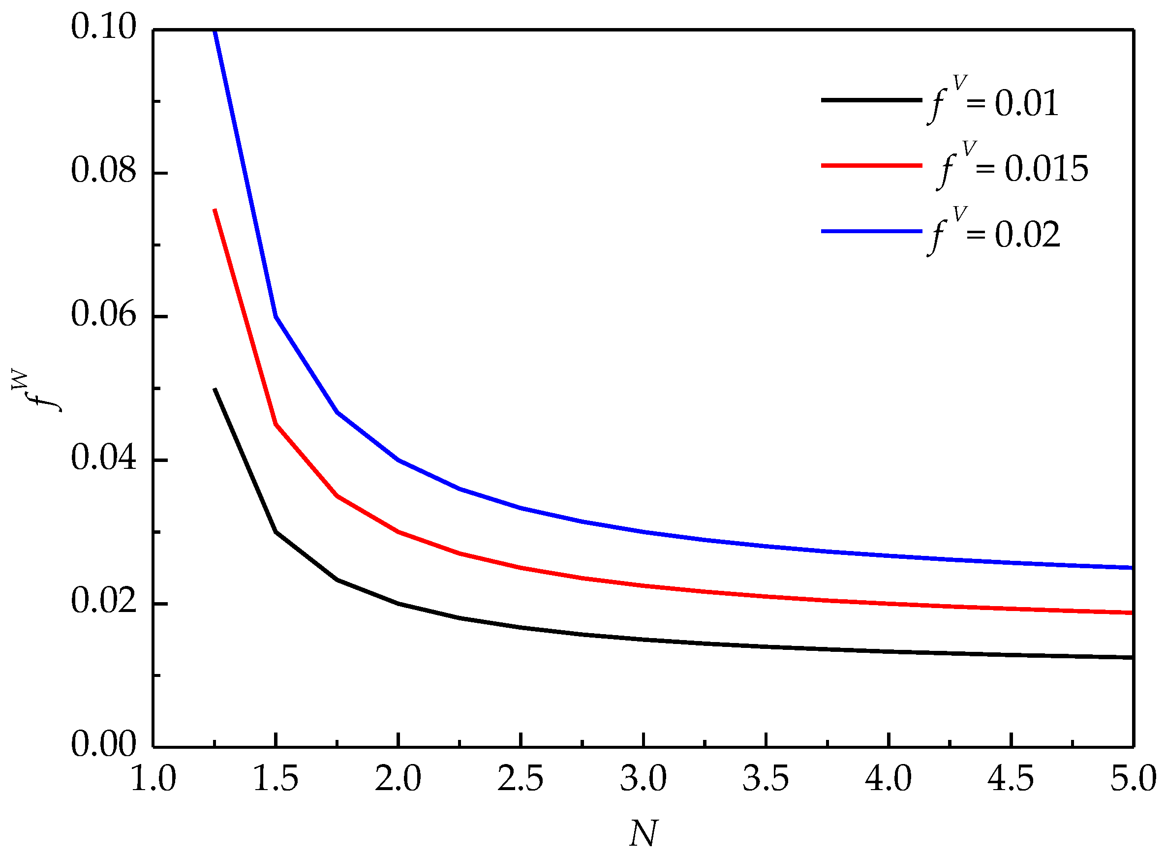
4.1. Relationships between the Makeup Rate and the Cycles of Concentration
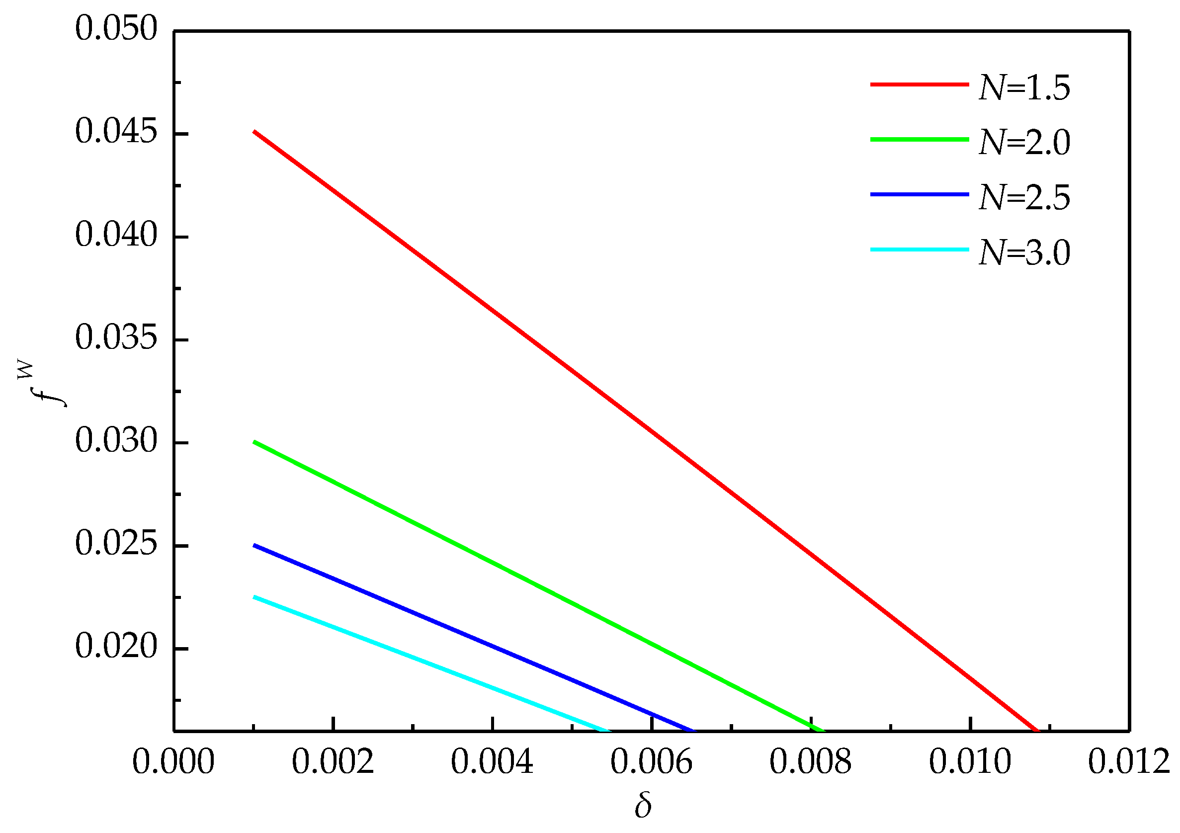
4.2. Blowdown Rate and Leakage Control of the System
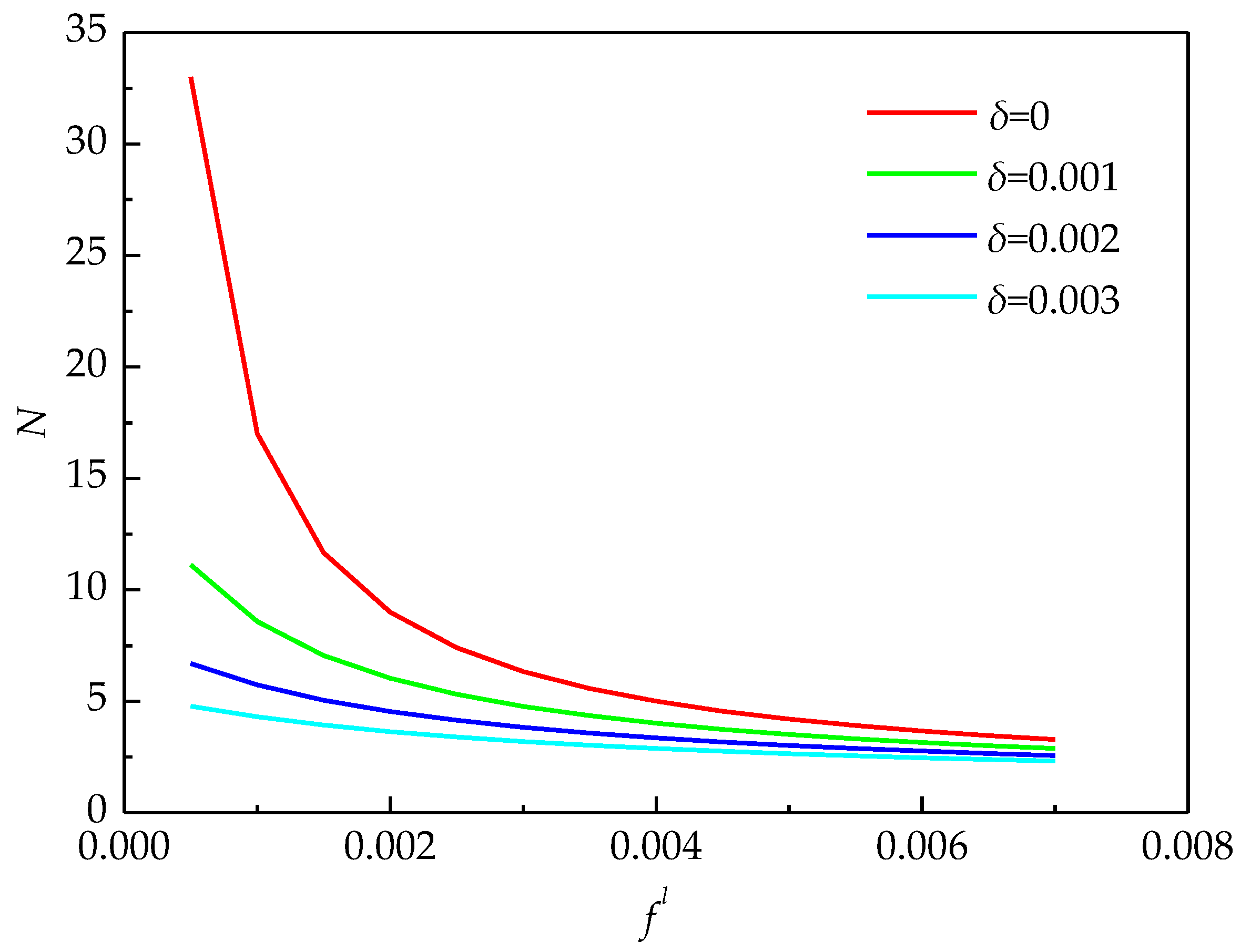
4.3. The Impact of Water Purification Equipment
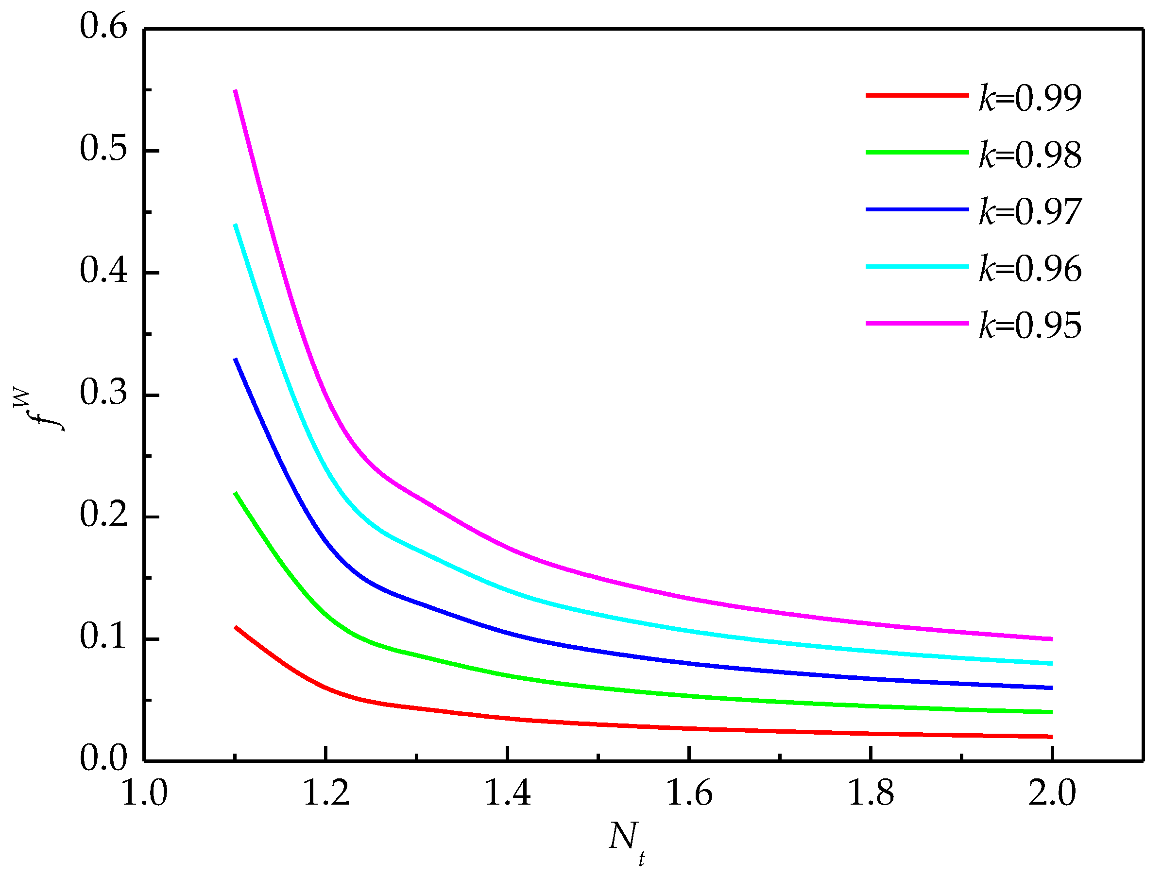
4.4. Influence of Water Temperature
4.5. Coupling Effect of Quality and Temperature on the Makeup Rate
5. Conclusions
Author Contributions
Funding
Conflicts of Interest
Notation
| heat capacity of water, kJ/(kg·°C) | |
| ratio of evaporation heat transfer and total heat transfer, - | |
| concentration of inlet water of cooling tower, kg/t | |
| concentration of outlet water of cooling tower, kg/t | |
| concentration of makeup water, kg/t | |
| CT | cooling tower |
| CW | cooling water |
| leakage rate, - | |
| blowdown rate, - | |
| evaporation rate, - | |
| makeup rate, - | |
| inlet water flowrate of cooling tower, t/h | |
| flowrate of Leakage water, t/h | |
| flowrate of blowdown water, t/h | |
| outlet water flowrate of cooling tower, t/h | |
| flowrate of makeup water, t/h | |
| calculated value of makeup rate, - | |
| measured value of makeup rate, - | |
| flowrate of evaporated water, t/h | |
| cooling index of cooling tower, - | |
| cycles of concentration, - | |
| cycles of temperature of the cooling tower outlet, - | |
| cycles of temperature of the cooling network inlet, - | |
| waste heat in the cooling network, kJ | |
| release heat from the cooling tower to the environment, kJ | |
| latent heat of water evaporation, kJ | |
| latent heat of vaporization of water, kJ/kg | |
| cooling water temperature flowing into the cooling water network, °C | |
| inlet water temperature of cooling tower, °C | |
| outlet water temperature of cooling tower, °C | |
| cooling water temperature range of the cooling tower, °C | |
| temperature of makeup water, °C | |
| impurity removal rate of the filter, - |
References
- Liu, W.; Chien, S.H.; Dzombak, D.A.; Vidic, R.D. Scaling Control for Heat Exchangers in Recirculating Cooling Systems Using Treated Municipal Wastewater. Ind. Eng. Chem. Res. 2014, 53, 16366–16373. [Google Scholar] [CrossRef]
- Sun, W.; Yue, X.; Wang, Y.; Cai, J. Energy and exergy recovery from exhaust hot water using ORC (organic Rankine cycle) and a retrofitted configuration. J. Cent. South Univ. 2018, 25, 1464–1474. [Google Scholar] [CrossRef]
- Colla, V.; Matino, I.; Branca, T.A.; Fornai, B.; Romaniello, L.; Rosito, F. Efficient use of water resources in the steel industry. Water 2017, 9, 874. [Google Scholar] [CrossRef]
- Kremes, J.J. Industrial water recycle/reuse. Curr. Opin. Chem. Eng. 2012, 1, 238–245. [Google Scholar]
- Linnhoff, B.; Vredeveld, R. Pinch technology has come of age. Chem. Eng. Prog. 1984, 80, 33–40. [Google Scholar]
- Wang, Y.; Smith, R. Wastewater minimization. Chem. Eng. Sci. 1994, 49, 981–1006. [Google Scholar] [CrossRef]
- Dunn, R.F.; El-Halwagi, M. Process integration technology review: Background and applications in the chemical process industry. Chem. Technol. Biotechnol. 2003, 78, 1011–1021. [Google Scholar] [CrossRef]
- Jacob, J.; Viviant, C.; Houle, J.F.; Paris, J. Analyses et optimization des réseaux d’eau dans les procédés de fabrication des pâtes et papiers. Tech. Pincement À L’oeuvre Pulp. Pap. Can. 2002, 103, 24–27. [Google Scholar]
- Manan, Z.A.; Wan Alwi, S.R.; Ujang, Z. Water pinch analysis for an urban system: A case study on the Sultan Ismail Mosque at the Universiti Teknologi Malaysia (utm). Desalination 2006, 194, 52–68. [Google Scholar] [CrossRef]
- Wang, T.; Fang, G.; Xie, X.; Liu, Y.; Ma, Z. A multi-dimensional equilibrium allocation model of water resources based on a groundwater multiple loop iteration technique. Water 2017, 9, 718. [Google Scholar] [CrossRef]
- Feng, X.; Bai, J.; Wang, H.; Zheng, X. Grass-roots design of regeneration recycling water networks. Comput. Chem. Eng. 2008, 32, 1892–1907. [Google Scholar] [CrossRef]
- Sun, W.; Wang, Y.; Zhang, F.; Zhao, Y. Dynamic allocation of surplus byproduct gas in steel plant by dynamic programming with reduced state space algorithm. Eng. Opt. 2018, 50, 1578–1592. [Google Scholar] [CrossRef]
- Bagajewicz, M. A review of recent design procedures for water networks in refineries and process plants. Comput. Chem. Eng. 2000, 24, 2093–2113. [Google Scholar] [CrossRef]
- Ramos, M.A.; Boix, M.; Montastruc, L.; Domenech, S. Multiobjective optimization using goal programming for industrial water network design. Ind. Eng. Chem. Res. 2014, 53, 17722–17735. [Google Scholar] [CrossRef]
- Castro, P.; Matos, P.; Fernandes, M.C.; Nunes, C.P. Improvements for mass-exchange networks design. Chem. Eng. Sci. 1999, 54, 1649–1665. [Google Scholar] [CrossRef]
- Kim, J.K.; Smith, R. Cooling water system design. Chem. Eng. Sci. 2001, 56, 3641–3658. [Google Scholar] [CrossRef]
- Kim, J.K.; Savulescu, L.; Smith, R. Design of cooling systems for effluent temperature reduction. Chem. Eng. Sci. 2001, 56, 1811–1830. [Google Scholar] [CrossRef]
- Jiang, W.; Yuan, Z.; Bi, J.; Sun, L. Conserving water by optimizing production schedules in the dyeing industry. J. Clean. Prod. 2010, 18, 1696–1702. [Google Scholar] [CrossRef]
- Ponce-Ortega, J.M.; Serna-González, M.; Jiménez-Gutiérrez, A. Optimization model for re-circulating cooling water systems. Comput. Chem. Eng. 2010, 34, 177–195. [Google Scholar] [CrossRef]
- Sun, J.; Feng, X.; Wang, Y. Cooling-water system optimisation with a novel two-step sequential. Appl. Therm. Eng. 2015, 89, 1006–1013. [Google Scholar] [CrossRef]
- Bu, Q. Substance Flow Analysis and Its Application in Steel Industry; Northeastern University: Shenyang, China, 2005. [Google Scholar]
- Qureshi, B.A.; Zubair, S.M. A comprehensive design and rating study of evaporative coolers and condensers. Part I. Performance evaluation. Int. J. Refrig. 2006, 29, 645–658. [Google Scholar] [CrossRef]
- Rahmani, K. Reducing water consumption by increasing the cycles of concentration and Considerations of corrosion and scaling in a cooling system. Appl. Therm. Eng. 2017, 114, 849–856. [Google Scholar] [CrossRef]
- Zubair, S.M. Prediction of evaporation losses in wet cooling towers. Heat Transf. Eng. 2006, 27, 86–92. [Google Scholar]
- GŐsi, P. Method and chart for the determination of evaporation loss of wet cooling towers. Heat Transf. Eng. 1989, 10, 44–49. [Google Scholar] [CrossRef]









| Case | Error (%) | ||||
|---|---|---|---|---|---|
| 1 | 0.0121 | 1.2512 | 0.0592 | 0.0603 | −1.81 |
| 2 | 0.0133 | 2.2034 | 0.0247 | 0.0244 | 1.41 |
| 3 | 0.0125 | 2.6169 | 0.0206 | 0.0202 | 1.79 |
| 4 | 0.0164 | 1.8233 | 0.0362 | 0.0363 | −0.33 |
| Case | Error (%) | |||||||
|---|---|---|---|---|---|---|---|---|
| 1 | 31.0297 | 30.0586 | 20.2632 | 0.9687 | 1.5313 | 0.092 | 0.0902 | –1.96 |
| 2 | 37.3506 | 35.1201 | 20.358 | 0.9479 | 2.0182 | 0.1052 | 0.1033 | –1.83 |
| 3 | 43.5605 | 40.2203 | 22.334 | 0.945 | 2.3214 | 0.0956 | 0.0966 | 1.04 |
| 4 | 41.9361 | 40.7968 | 29.2768 | 0.9728 | 1.4324 | 0.0885 | 0.09 | 1.67 |
| 0.01 | 0.012 | 0.014 | 0.016 | 0.018 | 0.02 | 0.022 | 0.024 | 0.026 | |
|---|---|---|---|---|---|---|---|---|---|
| (= 0.990) | 3.00 | 2.25 | 1.91 | 1.71 | 1.59 | 1.50 | 1.43 | 1.38 | 1.34 |
| ( = 0.988) | 5.00 | 3.00 | 2.33 | 2.00 | 1.80 | 1.67 | 1.57 | 1.50 | 1.44 |
| ( = 0.986) | 15.00 | 4.50 | 3.00 | 2.40 | 2.08 | 1.88 | 1.74 | 1.64 | 1.56 |
| ( = 0.984) | - | 9.00 | 4.20 | 3.00 | 2.45 | 2.14 | 1.94 | 1.80 | 1.70 |
| ( = 0.982) | - | - | 7.00 | 4.00 | 3.00 | 2.50 | 2.20 | 2.00 | 1.86 |
| ( = 0.980) | - | - | 21.00 | 6.00 | 3.86 | 3.00 | 2.54 | 2.25 | 2.05 |
| ( = 0.978) | - | - | - | 12.00 | 5.40 | 3.75 | 3.00 | 2.57 | 2.29 |
| ( = 0.976) | - | - | - | - | 9.00 | 5.00 | 3.67 | 3.00 | 2.60 |
| ( = 0.974) | - | - | - | - | 27.00 | 7.50 | 4.71 | 3.60 | 3.00 |
| ( = 0.972) | - | - | - | - | - | 15.00 | 6.60 | 4.50 | 3.55 |
| ( = 0.970) | - | - | - | - | - | - | 11.00 | 6.00 | 4.33 |
© 2018 by the authors. Licensee MDPI, Basel, Switzerland. This article is an open access article distributed under the terms and conditions of the Creative Commons Attribution (CC BY) license (http://creativecommons.org/licenses/by/4.0/).
Share and Cite
Lv, Z.; Cai, J.; Sun, W.; Wang, L. Analysis and Optimization of Open Circulating Cooling Water System. Water 2018, 10, 1592. https://doi.org/10.3390/w10111592
Lv Z, Cai J, Sun W, Wang L. Analysis and Optimization of Open Circulating Cooling Water System. Water. 2018; 10(11):1592. https://doi.org/10.3390/w10111592
Chicago/Turabian StyleLv, Ziqiang, Jiuju Cai, Wenqiang Sun, and Lianyong Wang. 2018. "Analysis and Optimization of Open Circulating Cooling Water System" Water 10, no. 11: 1592. https://doi.org/10.3390/w10111592
APA StyleLv, Z., Cai, J., Sun, W., & Wang, L. (2018). Analysis and Optimization of Open Circulating Cooling Water System. Water, 10(11), 1592. https://doi.org/10.3390/w10111592

