Spatiotemporal Variation in Benthic-Invertebrates-Based Physical Habitat Modelling: Can We Use Generic Instead of Local and Season-Specific Habitat Suitability Criteria?
Abstract
1. Introduction
2. Materials and Methods
2.1. Overview of the Analysis
- Development-acquisition of a benchmark microhabitat preference dataset.
- Calculation of habitat suitability (κ) for each microhabitat sample using BMI metrics.
- Normalization of κ in the 0–1 scale, using five alternatives-options.
- Training of a habitat model using each of the five κ-normalization options within three seasons and two river types.
- Application of hydrodynamic simulations in two river reaches to acquire V and D values in multiple discharges.
- Prediction of κ in the two reaches using the various training alternatives (subsets).
- Development of spatially and temporally varying environmental flow scenarios, comparisons and discussion on the selection of the minimum acceptable and optimal environmental flows within the various subsets.
2.2. Development/Acquisition of a Benchmark Microhabitat Preference Dataset
2.3. Calculation of Habitat Suitability Using BMI Metrics
2.4. Normalization of κ in the 0–1 Scale, Using Five Alternatives
- The unnormalized habitat suitability values are divided by the maximum κ observed at the whole dataset (seasonal and typological variation not accounted; no seasonal grouping, no typological grouping applied—hereafter called maxall).
- 2.
- The unnormalized habitat suitability values are divided by the maximum κ observed at each season (seasonal variation; no typological grouping applied—hereafter called maxseason).
- 3.
- The unnormalized habitat suitability values are divided by the maximum κ observed at each river type (typological variation; no seasonal grouping applied—hereafter called maxtype).
- 4.
- The unnormalized habitat suitability values are divided by the maximum κ observed at each site at each season (seasonal and typological grouping—hereafter called maxsite).
- 5.
- The value of each metric is divided by the maximum value of this metric observed at each site at each season (seasonal and typological grouping—hereafter called maxmetric).
2.5. Training of a Habitat Model Using Each of the Five κ-Normalization Options within Three Seasons and Two River Types
2.6. Hydrodynamic Simulation of Two River Reaches to Acquire V, D and S Values in Multiple Discharges (Q)
2.7. Prediction of K in the Two Test Reaches Using the Various Training Alternatives
2.8. Development of Environmental Flow Scenarios
- Overall Suitability Index (OSI):
- Normalized OSI (nOSI):
- 3.
- Certainty of prediction (COP): The ratio of the No. of microhabitat combinations actually found in the training dataset to the total No. of nodes in the computational mesh; instead of requiring the user’s interference to manually adjust the missing fuzzy rules, HABFUZZ is completely data-driven and when a microhabitat combination is not found in the training dataset, instead of returning some arbitrary K value for a particular node (e.g., −1), it uses the K value of its neighboring node in the mesh, with a simultaneous assessment of the relevant prediction error.
- 4.
- Percentage of wetted nodes in the computational mesh at each Q scenario (w).
- 5.
- Habitat connectivity (C): The ratio of connected (neighboring) nodes with K > 0.6 to the total number of wetted nodes with K > 0.6.
- 6.
- Habitat availability (A): The ratio of connected (neighboring) nodes with K > 0.6 to the total number of nodes in the study reach (wetted and dry).
3. Results
- The seasonal differences in the OFS values for the same Q within the various subsets were greater and more variable than the relevant typological differences. For example, in the Parapeiros reach, the OFS value for Q = 0.3 m3/s was 0.18 in spring, 0.77, in summer and 0.04 in autumn (mean: 0.33; SD: 0.39; maxseason normalization). For the same Q, the OFS value for the RM1-2 type was 0.46 and for the RM4 type was 0.86 (mean: 0.66; SD: 0.29; maxtype normalization). In the Oinoi reach, the OFS value for Q = 0.05 m3/s was 0.91 in spring, 0.61 in summer, and 0.26 in autumn (mean: 0.59; SD: 0.33; maxseason). For the RM1-2 type, the OFS for Q = 0.05 m3/s was 0.89, and for the RM4 type it was 0.65 (mean: 0.77; SD: 0.17; maxtype).
- The observed seasonal and typological variation decreased when site-based or metric-based normalizations were applied (maxsite and maxmetric, respectively) with the maxmetric option mostly showing the lowest variation among seasons and river types. In the seasonal comparisons of the Parapeiros reach, the maxmetric option had the lowest OFS-SD for all Q values (100% lower SD) when compared with the maxseason option and for 7 out of 11 discharges (64%) when compared with the maxsite option. In the relevant typological comparisons, the maxmetric option showed 81% lower SD, in comparison with the maxtype option and 64% lower SD when compared with the maxsite option. The seasonal comparisons for the Oinoi reach showed that the SD for the maxmetric option was 81% lower (13 out of 16 Q values) when compared with both the maxseason and maxsite alternatives. The relevant typological comparisons however, showed only 31% lower SD values (5 out of 16 Q values) in comparison with the maxtype option. The comparison between the maxsite and maxmetric options, once again showed 68% lower SD for the maxmetric normalization.
4. Discussion
4.1. Seasonal and Temporal Variation in the Habitat Preferences of Benthic Invertebrates
4.2. Seasonal and Typological Variation in the Environmental Flow Predictions within the Various κ-Normalization Options
4.3. Issues to Be Considered in Spatiotemporal Pooling of Hydroecological Data
- The fuzzy rules developed from the various κ-normalization options were very different; the habitat suitability class for the same microhabitat combination varied from bad to high (Table S2), reflecting the importance of the normalization process (seasonal, typological, site- or metric-based). Theoretically, normalizing a spatially variable dataset, that includes multiple river types, only by season, does not take into account the geographical-typological variation. Normalizing a temporally variable dataset, that includes multiple seasons, only by type, does not take into account the seasonal variation. The very low environmental flow values (0.01 m3/s) predicted by the seasonal models are possibly indicative of a relevant inadequacy of these κ-normalization options. We assume that a per-site or per-metric normalization could partially account for both seasonal and typological variation, but in the absence of a field-validation for our models (they were cross-validated but not field-validated), we can currently only discuss the within-models-agreement trends on the final environmental flow prediction.
- Low sample sizes often resulted in decreased cross-validation accuracy; this was evident by the %CCI values of the autumn samples (n = 60; Figure A6 and Figure A7), which were the lowest observed within the various models developed, varying from 46% to 52%. The current FRB algorithm requires 5 × 5 × 8 = 200 fuzzy rules to adequately predict the habitat suitability (although not all rules may be necessary, for example, a microhabitat combination of very high V and very deep D will rarely be observed in a river reach). Thus, a small dataset will be inherently incapable of providing the observations required to develop an effective rules-database [28]. As the sample size increases however, more microhabitat combinations will be included, the fuzzy-rules database will increase, and the model’s performance is also expected to increase [59,60].
4.4. Can We Use Generic Instead of Local and Season-Specific Habitat Suitability Criteria?
5. Conclusions
- Benthic macroinvertebrates shift their habitat preferences among seasons and in different geographical locations; this resulted in highly variable model-based environmental flow predictions between the local, season-specific and generic habitat models.
- Local and season-specific habitat suitability criteria should be used to maximize predictive accuracy, accounting for the observed spatiotemporal variation.
- Spatiotemporal data pooling increases sample size and, possibly, predictive accuracy, but has inherent limitations, mainly associated with the normalization process, which should be carefully selected within pooling attempts.
- With proper pre-treatment (per-site or per-metric κ-normalization), spatiotemporally variable datasets can be aggregated to develop generic habitat suitability criteria that can be used to implement model-based environmental flow assessments in multiple locations of similar hydromorphological and hydraulic properties; the loss of predictive accuracy from the data-aggregation process has a high probability ranging from 65% to 90% to lie within the acceptable range of environmental flow predictions that would be made by local and season-specific habitat models.
Supplementary Materials
Author Contributions
Funding
Conflicts of Interest
Appendix A
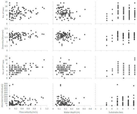
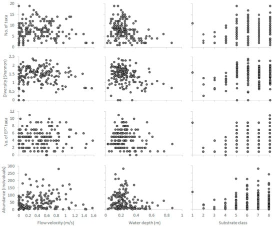
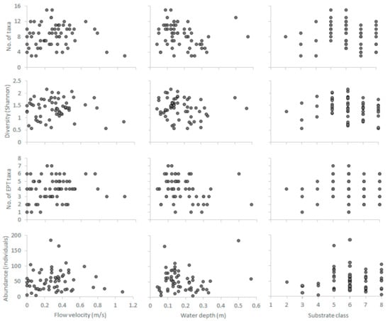
| Subset | No. of Taxa | Diversity | No. EPT Taxa | Abundance | |
|---|---|---|---|---|---|
| Flow velocity (m/s) | - | - | 0.109 * | 0.108 * | |
| Pooled (n = 380) | Depth (m) | −0.332 ** | −0.235 ** | −0.240 ** | −0.268 ** |
| Substrate class | - | - | 0.112 * | - | |
| Flow velocity (m/s) | - | - | - | 0.180 * | |
| Spring (n = 160) | Depth (m) | −0.285 ** | −0.225 ** | −0.285 ** | −0.217 ** |
| Substrate class | - | - | -- | - | |
| Flow velocity (m/s) | - | - | 0.199 * | 0.206 ** | |
| Summer (n = 160) | Depth (m) | −0.352 ** | −0.261 ** | −0.234 ** | −0.307 ** |
| Substrate class | - | - | - | - | |
| Flow velocity (m/s) | - | - | - | - | |
| Autumn (n = 60) | Depth (m) | −0.305 ** | - | −0.261 * | - |
| Substrate class | - | - | - | - | |
| Flow velocity (m/s) | - | - | 0.252 * | - | |
| RM1-2 (n = 100) | Depth (m) | −0.274 ** | - | - | −0.231 ** |
| Substrate class | - | - | - | - | |
| Flow velocity (m/s) | - | - | - | - | |
| RM4 (n = 280) | Depth (m) | −0.318 ** | −0.253 ** | −0.292 ** | −0.267 ** |
| Substrate class | - | - | 0.133 * | - |
| Q (m3/s) | Maxseason | Maxsite | Maxmetric | |||
|---|---|---|---|---|---|---|
| Mean | SD | Mean | SD | Mean | SD | |
| 0.01 | 0.48 | 0.50 | 0.04 | 0.05 | 0.12 | 0.09 |
| 0.1 | 0.31 | 0.31 | 0.10 | 0.05 | 0.40 | 0.29 |
| 0.2 | 0.35 | 0.36 | 0.19 | 0.15 | 0.56 | 0.28 |
| 0.3 | 0.33 | 0.39 | 0.22 | 0.21 | 0.64 | 0.29 |
| 0.6 | 0.47 | 0.40 | 0.50 | 0.37 | 0.85 | 0.13 |
| 0.8 | 0.63 | 0.40 | 0.59 | 0.30 | 0.88 | 0.03 |
| 1 | 0.86 | 0.15 | 0.80 | 0.34 | 0.96 | 0.07 |
| 2 | 0.73 | 0.42 | 0.71 | 0.18 | 0.92 | 0.14 |
| 3 | 0.36 | 0.40 | 0.51 | 0.30 | 0.63 | 0.09 |
| 5 | 0.31 | 0.47 | 0.46 | 0.48 | 0.44 | 0.04 |
| 7 | 0.46 | 0.33 | 0.27 | 0.26 | 0.24 | 0.06 |
| Q (m3/s) | Maxtype | Maxsite | Maxmetric | |||
|---|---|---|---|---|---|---|
| Mean | SD | Mean | SD | Mean | SD | |
| 0.01 | 0.42 | 0.15 | 0.01 | 0.01 | 0.08 | 0.08 |
| 0.1 | 0.56 | 0.25 | 0.07 | 0.09 | 0.20 | 0.11 |
| 0.2 | 0.63 | 0.27 | 0.16 | 0.23 | 0.42 | 0.10 |
| 0.3 | 0.66 | 0.29 | 0.32 | 0.35 | 0.52 | 0.15 |
| 0.6 | 0.81 | 0.23 | 0.68 | 0.46 | 0.85 | 0.21 |
| 0.8 | 0.88 | 0.17 | 0.70 | 0.08 | 0.90 | 0.15 |
| 1 | 0.94 | 0.07 | 0.83 | 0.25 | 0.93 | 0.03 |
| 2 | 0.99 | 0.02 | 0.56 | 0.06 | 0.97 | 0.04 |
| 3 | 0.82 | 0.06 | 0.24 | 0.11 | 0.80 | 0.01 |
| 5 | 0.71 | 0.13 | 0.11 | 0.07 | 0.62 | 0.11 |
| 7 | 0.48 | 0.06 | 0.19 | 0.16 | 0.33 | 0.17 |
| Q (m3/s) | Maxseason | Maxsite | Maxmetric | |||
|---|---|---|---|---|---|---|
| Mean | SD | Mean | SD | Mean | SD | |
| 0.01 | 0.43 | 0.42 | 0.09 | 0.06 | 0.19 | 0.06 |
| 0.03 | 0.52 | 0.50 | 0.15 | 0.10 | 0.29 | 0.08 |
| 0.05 | 0.59 | 0.33 | 0.21 | 0.18 | 0.38 | 0.11 |
| 0.07 | 0.71 | 0.18 | 0.27 | 0.24 | 0.46 | 0.13 |
| 0.09 | 0.61 | 0.10 | 0.34 | 0.36 | 0.57 | 0.20 |
| 0.1 | 0.60 | 0.11 | 0.34 | 0.36 | 0.57 | 0.19 |
| 0.2 | 0.84 | 0.14 | 0.49 | 0.43 | 0.72 | 0.16 |
| 0.3 | 0.68 | 0.18 | 0.61 | 0.46 | 0.87 | 0.12 |
| 0.5 | 0.52 | 0.33 | 0.73 | 0.35 | 0.92 | 0.06 |
| 0.7 | 0.64 | 0.27 | 0.74 | 0.24 | 0.92 | 0.04 |
| 0.9 | 0.60 | 0.36 | 0.79 | 0.21 | 0.93 | 0.10 |
| 1 | 0.59 | 0.38 | 0.80 | 0.26 | 0.94 | 0.11 |
| 1.5 | 0.48 | 0.37 | 0.60 | 0.27 | 0.78 | 0.11 |
| 2 | 0.40 | 0.30 | 0.45 | 0.25 | 0.58 | 0.12 |
| 3 | 0.50 | 0.37 | 0.31 | 0.11 | 0.40 | 0.14 |
| 5 | 0.30 | 0.26 | 0.12 | 0.10 | 0.14 | 0.10 |
| Q (m3/s) | Maxtype | Maxsite | Maxmetric | |||
|---|---|---|---|---|---|---|
| Mean | SD | Mean | SD | Mean | SD | |
| 0.01 | 0.64 | 0.23 | 0.02 | 0.02 | 0.16 | 0.17 |
| 0.03 | 0.72 | 0.20 | 0.06 | 0.08 | 0.27 | 0.20 |
| 0.05 | 0.77 | 0.17 | 0.10 | 0.13 | 0.35 | 0.20 |
| 0.07 | 0.82 | 0.14 | 0.13 | 0.18 | 0.43 | 0.20 |
| 0.09 | 0.86 | 0.11 | 0.17 | 0.24 | 0.51 | 0.18 |
| 0.1 | 0.86 | 0.09 | 0.18 | 0.26 | 0.52 | 0.17 |
| 0.2 | 0.93 | 0.06 | 0.31 | 0.33 | 0.71 | 0.15 |
| 0.3 | 0.97 | 0.03 | 0.45 | 0.29 | 0.85 | 0.14 |
| 0.5 | 0.99 | 0.01 | 0.71 | 0.19 | 0.97 | 0.04 |
| 0.7 | 0.97 | 0.04 | 0.82 | 0.16 | 0.95 | 0.02 |
| 0.9 | 0.98 | 0.02 | 1.00 | 0.00 | 0.96 | 0.06 |
| 1 | 0.98 | 0.00 | 0.95 | 0.07 | 0.93 | 0.04 |
| 1.5 | 0.93 | 0.09 | 0.75 | 0.21 | 0.78 | 0.04 |
| 2 | 0.85 | 0.11 | 0.50 | 0.18 | 0.60 | 0.12 |
| 3 | 0.68 | 0.02 | 0.30 | 0.24 | 0.34 | 0.16 |
| 5 | 0.40 | 0.13 | 0.10 | 0.11 | 0.11 | 0.10 |







References
- Glozier, N.E.; Culp, J.M.; Scrimgeour, G.J. Transferability of habitat suitability curves for a benthic Minnow, Rhinichthys cataractae. J. Freshw. Ecol. 1997, 12, 379–393. [Google Scholar] [CrossRef]
- Lamouroux, N.; Mérigoux, S.; Dolédec, S.; Snelder, T.H. Transferability of hydraulic preference models for aquatic macroinvertebrates. River Res. Appl. 2013, 29, 933–937. [Google Scholar] [CrossRef]
- Gore, J.A.; Layzer, J.B.; Mead, J. Macroinvertebrate instream flow studies after 20 years: A role in stream management and restoration. Regul. River 2001, 17, 527–542. [Google Scholar] [CrossRef]
- Shearer, K.A.; Hayes, J.W.; Jowett, I.G.; Olsen, D.A. Habitat suitability curves for benthic macroinvertebrates from a small New Zealand river. N. Z. J. Mar. Freshw. Res. 2015, 49, 178–191. [Google Scholar] [CrossRef]
- Everaert, G.; Neve, J.D.; Boets, P.; Dominguez-Granda, L.; Mereta, S.T.; Ambelu, A.; Hoang, T.H.; Goethals, P.L.M.; Thas, O. Comparison of the abiotic preferences of macroinvertebrates in tropical river basins. PLoS ONE 2014, 9, e108898. [Google Scholar] [CrossRef] [PubMed]
- Booker, D.J. Generalized models of riverine fish habitat. J. Ecohydraulics 2016, 1, 31–49. [Google Scholar] [CrossRef]
- Vismara, R.; Azzellino, A.; Bosi, R.; Crosa, A.; Gentili, G. Habitat suitability curves for brown trout (Salmo trutta fario L.) in the river Adda, Northern Italy: Comparing univariate and multivariate approaches. Regul. River 2001, 17, 37–50. [Google Scholar] [CrossRef]
- Nykanen, M.; Huusko, A.; Lathi, M. Changes in movement, range and habitat preferences of adult grayling from late summer to early winter. J. Fish Biol. 2004, 64, 1386–1398. [Google Scholar] [CrossRef]
- Maki-Petäys, A.; Muotka, T.; Huusko, A.; Tikkanen, P.; Kreivi, P. Seasonal changes in habitat use and preference by juvenile brown trout, Salmo trutta, in a northern boreal river. Can. J. Fish. Aquat. Sci. 1997, 54, 520–530. [Google Scholar] [CrossRef]
- Studdert, E.W.; Johnson, J.H. Seasonal variation in habitat use of juvenile steelhead in a tributary of Lake Ontario. Northeast. Nat. 2015, 22, 717–729. [Google Scholar] [CrossRef]
- Mérigoux, S.; Dolédec, S. Hydraulic requirements of stream communities: A case study on invertebrates. Freshw. Biol. 2004, 49, 600–613. [Google Scholar] [CrossRef]
- Greenberg, L.; Svendsen, P.; Harby, A. Availability of microhabitats and their use by brown trout (Salmo trutta) and grayling (Thymallus thymallus) in the river Vojman, Sweden. Regul. River 1996, 12, 287–303. [Google Scholar] [CrossRef]
- Heggenes, J.; Saltveit, S.J. Seasonal and spatial microhabitat selection and segregation in young Atlantic salmon, Salmo salar L., and brown trout, Salmo trutta L., in a Norwegian river. J. Fish Biol. 1990, 36, 707–720. [Google Scholar] [CrossRef]
- Kelly, D.J.; Hayes, J.W.; Allen, C.; West, D.; Hudson, H. Evaluating habitat suitability curves for predicting variation in macroinvertebrate biomass with weighted usable area in braided rivers in New Zealand. N. Z. J. Mar. Freshw. Res. 2015, 49, 398–418. [Google Scholar] [CrossRef]
- Jowett, I.G.; Richardson, J.; Biggs, B.J.F.; Hickey, C.W.; Quinn, J.M. Microhabitat preferences of benthic macroinvertebrates and the development of generalized Deleatidium spp. habitat suitability curves, applied to four New Zealand rivers. N. Z. J. Mar. Freshw. Res. 1991, 25, 187–199. [Google Scholar] [CrossRef]
- Bovee, K.D. A Guide to Stream Habitat Analysis Using the Instream Flow Incremental Methodology; Instream Flow Information Paper #12 FWS/OBS-82/26; USDI Fish and Wildlife Service: Washington, DC, USA, 1982; p. 248.
- Li, F.; Cai, Q.; Fu, X.; Liu, J. Construction of habitat suitability models (HSMs) for benthic macroinvertebrate and their applications to instream environmental flows: A case study in Xiangxi River of Three Gorges Reservoir region, China. Prog. Nat. Sci. 2009, 19, 359–367. [Google Scholar] [CrossRef]
- Theodoropoulos, C.; Vourka, A.; Skoulikidis, N.; Rutschmann, P.; Stamou, A. Evaluating the performance of habitat models for predicting the environmental flow requirements of benthic macroinvertebrates. J. Ecohydraulics 2018. [Google Scholar] [CrossRef]
- Van Broekhoven, E.; Adriaenssens, V.; De Baets, B.; Verdonschot, P.F.M. Fuzzy rule-based macroinvertebrate habitat suitability models for running waters. Ecol. Model. 2006, 198, 71–84. [Google Scholar] [CrossRef]
- Vezza, P.; Muñoz-Mas, R.; Martínez-Capel, F.; Mouton, A. Random forests to evaluate biotic interactions in fish distribution models. Environ. Model. Softw. 2015, 67, 173–183. [Google Scholar] [CrossRef]
- Papadaki, C.; Bellos, V.; Ntoanidis, L.; Dimitriou, E. Comparison of West Balkan adult trout habitat predictions using a Pseudo-2D and a 2D hydrodynamic model. Hydrol. Res. 2016, 48, 1697–1709. [Google Scholar] [CrossRef]
- Koutrakis, E.T.; Triantafillidis, S.; Sapounidis, A.S.; Vezza, P.; Kamidis, N.; Sylaios, G.; Comoglio, C. Evaluation of ecological flows in highly regulated rivers using the mesohabitat approach: A case study on the Nestos River, N. Greece. Ecohydrol. Hydrobiol. 2018. [Google Scholar] [CrossRef]
- Theodoropoulos, C.; Skoulikidis, N.; Rutschmann, P.; Stamou, A. Ecosystem-based environmental flow assessment in a Greek regulated river with the use of 2D hydrodynamic habitat modelling. River Res. Appl. 2018, 34, 538–547. [Google Scholar] [CrossRef]
- Kang, H.; Choi, B. Dominant fish and macroinvertebrate response to flow changes of the Geum River in Korea. Water 2018, 10, 942. [Google Scholar] [CrossRef]
- Mouton, A.M.; De Baets, B.; Goethals, P.L.M. Knowledge-based versus data-driven fuzzy habitat suitability models for river management. Environ. Model. Softw. 2009, 24, 982–993. [Google Scholar] [CrossRef]
- Horta, F.; Santos, H.; Tavares, L.; Antunes, M.; Pinheiro, P.; Callisto, M. Assessment of benthic macroinvertebrate habitat suitability in a tropical watershed. In Proceedings of the 7th International Symposium on Ecohydraulics, Concepcion, Chile, 12–16 January 2009; pp. 1–10. [Google Scholar]
- Dakou, E.; D’heygere, T.; Dedecker, A.P.; Goethals, P.L.M.; Lazaridou-Dimitriadou, M.; De Pauw, N. Decision tree models for prediction of macroinvertebrate taxa in the river Axios (Northern Greece). Aquat. Ecol. 2007, 41, 399–411. [Google Scholar] [CrossRef]
- Barry, S.; Elith, J. Error and uncertainty in habitat models. J. Appl. Ecol. 2006, 43, 413–423. [Google Scholar] [CrossRef]
- Conallin, J.; Boegh, E.; Jensen, J.K. Instream physical habitat modelling types: An analysis as stream hydromorphological modelling tools for EU water resource managers. Int. J. River Basin Manag. 2010, 8, 93–107. [Google Scholar] [CrossRef]
- Guisan, A.; Zimmermann, N.E. Predictive habitat distribution models in ecology. Ecol. Model. 2000, 135, 147–186. [Google Scholar] [CrossRef]
- Van de Bund, W. Water Framework Directive Intercalibration Technical Report Part 1, Rivers; JRC Scientific and Technical Reports; Office for Official Publications of the European Communities: Luxemburg, 2009. [Google Scholar]
- Englund, G.; Malmqvist, B. Effects of flow regulation, habitat area and isolation on the macroinvertebrate fauna of rapids in North Swedish Rivers. Regul. River 1996, 12, 433–445. [Google Scholar] [CrossRef]
- Holmquist, J.G.; Schmidt-Gengenbach, J.; Roche, J.W. Stream macroinvertebrates and habitat below and above two wilderness fords used by mules, horses, and hikers in Yosemite National Park. West. N. Am. Nat. 2015, 75, 311–324. [Google Scholar] [CrossRef]
- Monk, W.A.; Wood, P.J.; Hannah, D.M.; Wilson, D.A.; Extence, C.A.; Chadd, R.P. Flow variability and macroinvertebrate community response within riverine systems. River Res. Appl. 2006, 22, 595–615. [Google Scholar] [CrossRef]
- Waddle, T.J.; Holmquist, J.G. Macroinvertebrate response to flow changes in a subalpine stream: Predictions from two-dimensional hydrodynamic models. River Res. Appl. 2011, 29, 366–379. [Google Scholar] [CrossRef]
- Buffagni, A.; Erba, S.; Cazzola, M.; Murray-Bligh, J.; Soszka, H.; Genoni, P. The STAR common metrics approach to the WFD intercalibration process: Full application for small, lowland rivers in three European countries. Hydrobiologia 2006, 566, 379. [Google Scholar] [CrossRef]
- Raleigh, R.F.; Zuckermann, L.D.; Nelson, P.C. Habitat Suitability Index Models and Instream Flow Suitability Curves: Brown Trout; Biological Report 82 (10.124); U.S. Department of Interior, Fish and Wildlife Service, National Ecology Center: Washington, DC, USA, 1986; pp. 57–65.
- Bockelmann, B.N.; Fenrich, E.K.; Lin, B.; Falconer, R.A. Development of an ecohydraulics model for stream and river restoration. Ecol. Eng. 2004, 22, 227–235. [Google Scholar] [CrossRef]
- Leitner, P.; Hauer, C.; Graf, W. Habitat use and tolerance levels of macroinvertebrates concerning hydraulic stress in hydropeaking rivers—A case study at the Ziller River in Austria. Sci. Total Environ. 2017, 575, 112–118. [Google Scholar] [CrossRef] [PubMed]
- Brookes, C.J.; Kumar, V.; Lane, S.N. A comparison of Fuzzy, Bayesian and Weighted Average formulations of an in-stream habitat suitability model. In Proceedings of the International Congress on Environmental Modelling and Software, Ottawa, ON, Canada, 5–8 July 2010. [Google Scholar]
- Theodoropoulos, C.; Skoulikidis, N.; Stamou, A. HABFUZZ: A tool to calculate the instream hydraulic habitat suitability using fuzzy logic and fuzzy Bayesian inference. J. Open Source Softw. 2016, 1, 82. [Google Scholar] [CrossRef]
- Kohavi, R. A study of cross-validation and bootstrap for accuracy estimation and model selection. In Proceedings of the 14th International Joint Conference on Artificial Intelligence, Montreal, QC, Canada, 20–25 August 1995; pp. 1137–1143. [Google Scholar]
- Canadian Hydraulics Centre (CHC). Blue Kenue Reference Manual; Canadian Hydraulics Centre, National Research Council: Ottawa, CA, USA, 2011; p. 211.
- Galland, J.C.; Gontal, N.; Hervouet, J.M. TELEMAC: A new numerical model for solving shallow water equations. Adv. Water Resour. 1991, 14, 138–148. [Google Scholar] [CrossRef]
- Chow, V.T. Open Channel Hydraulics; McGraw-Hill: New York, NY, USA, 1959; p. 680. [Google Scholar]
- Theodoropoulos, C.; Georgalas, S.; Mamassis, N.; Stamou, A.; Rutschmann, P.; Skoulikidis, N. Comparing environmental flow scenarios from hydrological methods, legislation guidelines and hydrodynamic habitat models downstream of the Marathon Dam (Attica, Greece). Ecohydrology 2018, e2019. [Google Scholar] [CrossRef]
- European Union Council. Directive 2000/60/EC of the European Parliament and of the Council of 23 October 2000 establishing a framework for Community action in the field of water policy. Off. J. Eur. Commun. 2000, L327, 1–72. [Google Scholar]
- Linke, S.; Bailey, R.C.; Schwindt, J. Temporal variability of stream bioassessments using benthic macroinvertebrates. Freshw. Biol. 1999, 42, 575–584. [Google Scholar] [CrossRef]
- Sporka, F.; Velek, H.; Bulankova, E.; Krno, I.J. Influence of seasonal variation on bioassessment of streams using macroinvertebrates. Hydrobiologia 2006, 566, 543–555. [Google Scholar] [CrossRef]
- Fonnesu, A.; Sabetta, L.; Basset, A. Factors affecting macroinvertebrate distribution in a Mediterranean intermittent stream. J. Freshw. Ecol. 2005, 20, 641–647. [Google Scholar] [CrossRef]
- Linares, M.S.; Faccioli, G.G.; Freitas, L.M. Benthic macroinvertebrate community structure and seasonal variation in a neotropical stream in the state of Alagoas, Brazil. Biota Neotrop. 2013, 13, 50–54. [Google Scholar] [CrossRef]
- Alomía Herrera, I.; Carrera Burneo, P. Environmental flow assessment in Andean rivers of Ecuador, case study: Chanlud and El Labrado dams in the Machángara River. Ecohydrol. Hydrobiol. 2017, 17, 103–112. [Google Scholar] [CrossRef]
- Boulton, A.J.; Lake, P.S. The ecology of two intermittent streams in Victoria, Australia. III. Temporal changes in faunal composition. Freshw. Biol. 1992, 27, 123–138. [Google Scholar] [CrossRef]
- Harvey, R.; Lye, L.; Khan, A.; Paterson, R. The Influence of Air Temperature on Water Temperature and the Concentration of Dissolved Oxygen in Newfoundland Rivers. Can. Water Resour. J. 2011, 36, 171–192. [Google Scholar] [CrossRef]
- Mérigoux, S.; Lamouroux, N.; Olivier, J.M.; Dolédec, S. Invertebrate hydraulic preferences and predicted impacts of changes in discharge in a large river. Freshw. Biol. 2009, 54, 1343–1356. [Google Scholar] [CrossRef]
- Komínková, D.; Caletková, J.; Vitvar, T. Analysis of environmental flow requirements for macroinvertebrates in a creek affected by urban drainage (Prague metropolitan area, Czech Republic). Urban Ecosyst. 2017, 20, 785–797. [Google Scholar] [CrossRef]
- Fujiwara, M.; Takada, T. Environmental Stochasticity. In Encyclopedia of Life Sciences; John Wiley & Sons Ltd.: Chichester, UK, 2009. [Google Scholar]
- Atluri, G.; Karpatne, A.; Kumar, V. Spatio-temporal data mining: A survey of problems and methods. arXiv, 2017; arXiv:1711.04710. [Google Scholar] [CrossRef]
- Mouton, A.; De Baets, B.; Goethals, P. Data-driven fuzzy habitat models: Impact of performance criteria and opportunities for ecohydraulics. In Ecohydraulics: An Integrated Approach, 1st ed.; Maddock, I., Harby, A., Kemp, P., Wood, P., Eds.; John Wiley & Sons: Hoboken, NJ, USA, 2013; pp. 93–107. ISBN 978-0-470-97600-5. [Google Scholar]
- Hernandez, P.A.; Graham, C.H.; Master, L.L.; Albert, D.L. The effect of sample size and species characteristics on performance of different species distribution modeling methods. Ecography 2006, 29, 773–785. [Google Scholar] [CrossRef]











| Variable | Classes and Class Properties | ||||
|---|---|---|---|---|---|
| V (m/s) | Very low {0, 0, 0.05, 0.1} | Low {0.05, 0.1, 0.15, 0.2} | Moderate {0.15, 0.2, 0.4, 0.5} | High {0.4, 0.5, 0.7, 0.8} | Very high {0.7, 0.8, 0.8, 0.8} |
| D (m) | Very shallow {0, 0, 0.1, 0.15} | Shallow {0.15, 0.2, 0.3, 0.35} | Moderate {0.3, 0.35, 0.55, 0.6} | Deep {0.55, 0.6, 0.7, 0.75} | Very deep {0.75, 0.8, 0.8, 0.8} |
| S | Boulders {8} | Large stones {7} | Small stones {6} | Large gravel {5} | Medium gravel {4} |
| Fine gravel {3} | Sand {2} | Silt {1} | - | - | |
| K | Bad {0, 0.2} | Poor {0.2, 0.4} | Moderate {0.4, 0.6} | Good {0.6, 0.8} | High {0.8, 1} |
© 2018 by the authors. Licensee MDPI, Basel, Switzerland. This article is an open access article distributed under the terms and conditions of the Creative Commons Attribution (CC BY) license (http://creativecommons.org/licenses/by/4.0/).
Share and Cite
Theodoropoulos, C.; Skoulikidis, N.; Stamou, A.; Dimitriou, E. Spatiotemporal Variation in Benthic-Invertebrates-Based Physical Habitat Modelling: Can We Use Generic Instead of Local and Season-Specific Habitat Suitability Criteria? Water 2018, 10, 1508. https://doi.org/10.3390/w10111508
Theodoropoulos C, Skoulikidis N, Stamou A, Dimitriou E. Spatiotemporal Variation in Benthic-Invertebrates-Based Physical Habitat Modelling: Can We Use Generic Instead of Local and Season-Specific Habitat Suitability Criteria? Water. 2018; 10(11):1508. https://doi.org/10.3390/w10111508
Chicago/Turabian StyleTheodoropoulos, Christos, Nikolaos Skoulikidis, Anastasios Stamou, and Elias Dimitriou. 2018. "Spatiotemporal Variation in Benthic-Invertebrates-Based Physical Habitat Modelling: Can We Use Generic Instead of Local and Season-Specific Habitat Suitability Criteria?" Water 10, no. 11: 1508. https://doi.org/10.3390/w10111508
APA StyleTheodoropoulos, C., Skoulikidis, N., Stamou, A., & Dimitriou, E. (2018). Spatiotemporal Variation in Benthic-Invertebrates-Based Physical Habitat Modelling: Can We Use Generic Instead of Local and Season-Specific Habitat Suitability Criteria? Water, 10(11), 1508. https://doi.org/10.3390/w10111508

