WetSpass-Based Study of the Effects of Urbanization on the Water Balance Components at Regional and Quadrat Scales in Beijing, China
Abstract
:1. Introduction
- (1)
- How does urbanization impact the water balance components (groundwater recharge, surface runoff and evapotranspiration) at a city scale and a quadrat scale based on the WetSpass model?
- (2)
- What are the relationships between impervious percentages and water balance?
- (3)
- What are the relationship between landscape indices and groundwater recharge, surface runoff?
2. Data and Methods
2.1. Study Area
2.2. Data
2.3. Methods
2.3.1. GIS Analysis and Landscape Pattern Index Calculation
2.3.2. The WetSpass Model
2.3.3. Water Fluctuation Method
3. Results
3.1. The Impacts of Urban Expansion on Landscape Pattern
3.2. Simulation of Hydrological Distribution Based on WetSpass Model
3.2.1. The Calibration and Validation of WetSpass Model
3.2.2. The Water Balance Components of 2000 and 2012
3.3. Impacts of Urbanization on Water Balance Components
3.3.1. The Water Balance at Urban Scale
3.3.2. The Impacts of Impervious Surface Percentages on Water Balance Components at Quadrat Scale
3.4. Relationship between Landscape Pattern Indices and Water Balance Components
4. Discussion
4.1. The Impacts of Urbanization on Water Balance
4.2. The Impacts of Landscape Indices on Water Balance
5. Conclusions
Acknowledgments
Author Contributions
Conflicts of Interest
Appendix A
| NUMBER ER | LUSE_TYPE | RUNOFF_VEG | NUM_VEG_RO | NUM_IMP_RO | VEG_AREA | BARE_AREA | IMP_AREA | OPENW_AREA | ROOT_DEPTH | LAI | MIN_STOM | INTERC_PER | VEG_HEIGHT |
|---|---|---|---|---|---|---|---|---|---|---|---|---|---|
| 1 | Build-up land | grass | 2.00 | 1.00 | 0.20 | 0.00 | 0.80 | 0.00 | 0.30 | 2.00 | 100.00 | 10.00 | 0.12 |
| 2 | Industural land | grass | 2.00 | 9.00 | 0.40 | 0.00 | 0.60 | 0.00 | 0.30 | 2.00 | 100.00 | 10.00 | 0.12 |
| 3 | Bare land | bare soil | 4.00 | 0.00 | 0.00 | 1.00 | 0.00 | 0.00 | 0.05 | 0.00 | 110.00 | 0.00 | 0.00 |
| 4 | Agriculture land | crop | 1.00 | 0.00 | 0.00 | 1.00 | 0.00 | 0.00 | 0.35 | 0.00 | 180.00 | 0.00 | 0.60 |
| 5 | Meadow | grass | 2.00 | 0.00 | 1.00 | 0.00 | 0.00 | 0.00 | 0.30 | 2.00 | 100.00 | 10.00 | 0.20 |
| 6 | Wet meadow | grass | 2.00 | 0.00 | 1.00 | 0.00 | 0.00 | 0.00 | 0.30 | 2.00 | 100.00 | 10.00 | 0.30 |
| 7 | Deciduous broad- leaved | forest | 3.00 | 0.00 | 0.20 | 0.80 | 0.00 | 0.00 | 2.00 | 0.00 | 250.00 | 10.00 | 18.00 |
| 8 | Evergreen coniferous forest | forest | 3.00 | 0.00 | 0.90 | 0.10 | 0.00 | 0.00 | 2.00 | 4.50 | 500.00 | 45.00 | 15.00 |
| 9 | Mixed forest | forest | 3.00 | 0.00 | 0.50 | 0.50 | 0.00 | 0.00 | 2.00 | 4.50 | 500.00 | 38.00 | 15.00 |
| 10 | Shrub | grass | 2.00 | 0.00 | 0.20 | 0.80 | 0.00 | 0.00 | 0.60 | 0.00 | 110.00 | 5.00 | 2.00 |
| 11 | Wetland | open water | 5.00 | 0.00 | 0.40 | 0.20 | 0.00 | 0.40 | 0.30 | 2.00 | 110.00 | 10.00 | 0.50 |
| 12 | Lake | open water | 5.00 | 0.00 | 0.00 | 0.00 | 0.00 | 1.00 | 0.05 | 0.00 | 110.00 | 0.00 | 0.00 |
| 13 | River | open water | 5.00 | 0.00 | 0.00 | 0.00 | 0.00 | 1.00 | 0.05 | 0.00 | 110.00 | 0.00 | 0.00 |
| 14 | Road | grass | 2.00 | 5.00 | 0.60 | 0.10 | 0.30 | 0.00 | 0.30 | 2.00 | 100.00 | 10.00 | 0.12 |
| NUMBER | SOIL | FIELDCAPAC | WILTINGPNT | PAW | RESIDUALWC | A1 | EVAPODEPTH | TENSIONHHT | P_FRAC_SUM | P_FRAC_WIN |
|---|---|---|---|---|---|---|---|---|---|---|
| 1 | sand | 0.12 | 0.05 | 0.07 | 0.020 | 0.51 | 0.05 | 0.07 | 0.09 | 0.01 |
| 2 | loamy sand | 0.15 | 0.07 | 0.08 | 0.035 | 0.47 | 0.05 | 0.09 | 0.09 | 0.01 |
| 3 | sandy loam | 0.21 | 0.09 | 0.12 | 0.041 | 0.44 | 0.05 | 0.15 | 0.09 | 0.01 |
| 4 | silty loam | 0.29 | 0.10 | 0.19 | 0.015 | 0.40 | 0.05 | 0.21 | 0.26 | 0.07 |
| 5 | loam | 0.25 | 0.12 | 0.13 | 0.027 | 0.37 | 0.05 | 0.11 | 0.15 | 0.02 |
| 6 | sandy clayl | 0.26 | 0.16 | 0.10 | 0.068 | 0.32 | 0.05 | 0.28 | 0.54 | 0.30 |
| 7 | clayloa m | 0.33 | 0.19 | 0.14 | 0.075 | 0.27 | 0.05 | 0.26 | 0.62 | 0.41 |
| 8 | clay | 0.46 | 0.33 | 0.13 | 0.090 | 0.21 | 0.05 | 0.37 | 0.95 | 0.85 |
| LANDUSERO | LANDUSENUM | SLOPE_[%] | SLOPENUM | SOILTYPE | SOILNUM | RUNOFFCOEF | UNIQUE_NUM | SOIL_BARE | SLOPE_BARE | BAREROCOEF | UNIQUEBARE | NUM_IMP_RO | SLOPE_IMP | IMPROCOEF | UNIQUEIMP |
|---|---|---|---|---|---|---|---|---|---|---|---|---|---|---|---|
| crop | 1 | <0.5 | 1 | sand | 1 | 0.3500 | 111 | 1 | 1 | 0.4500 | 11 | 1 | 1 | 0.50 | 11 |
| crop | 1 | 0.5–5 | 2 | sand | 1 | 0.4000 | 112 | 1 | 2 | 0.4800 | 12 | 1 | 2 | 0.60 | 12 |
| crop | 1 | 5–10 | 3 | sand | 1 | 0.4500 | 113 | 1 | 3 | 0.5300 | 13 | 1 | 3 | 0.70 | 13 |
| crop | 1 | >10 | 4 | sand | 1 | 0.5000 | 114 | 1 | 4 | 0.5800 | 14 | 1 | 4 | 0.80 | 14 |
| grass | 2 | <0.5 | 1 | sand | 1 | 0.1500 | 121 | 2 | 1 | 0.4800 | 21 | 2 | 1 | 0.40 | 21 |
| grass | 2 | 0.5–5 | 2 | sand | 1 | 0.2000 | 122 | 2 | 2 | 0.5300 | 22 | 2 | 2 | 0.50 | 22 |
| grass | 2 | 5–10 | 3 | sand | 1 | 0.2500 | 123 | 2 | 3 | 0.5800 | 23 | 2 | 3 | 0.60 | 23 |
| grass | 2 | >10 | 4 | sand | 1 | 0.3000 | 124 | 2 | 4 | 0.6300 | 24 | 2 | 4 | 0.70 | 24 |
| forest | 3 | <0.5 | 1 | sand | 1 | 0.0500 | 131 | 3 | 1 | 0.5000 | 31 | 3 | 1 | 0.30 | 31 |
| forest | 3 | 0.5–5 | 2 | sand | 1 | 0.1000 | 132 | 3 | 2 | 0.5500 | 32 | 3 | 2 | 0.40 | 32 |
| forest | 3 | 5–10 | 3 | sand | 1 | 0.1500 | 133 | 3 | 3 | 0.6000 | 33 | 3 | 3 | 0.50 | 33 |
| forest | 3 | >10 | 4 | sand | 1 | 0.2000 | 134 | 3 | 4 | 0.6500 | 34 | 3 | 4 | 0.60 | 34 |
| bare soil | 4 | <0.5 | 1 | sand | 1 | 0.4500 | 141 | 4 | 1 | 0.5300 | 41 | 4 | 1 | 0.30 | 41 |
| bare soil | 4 | 0.5–5 | 2 | sand | 1 | 0.4800 | 142 | 4 | 2 | 0.5800 | 42 | 4 | 2 | 0.40 | 42 |
| bare soil | 4 | 5–10 | 3 | sand | 1 | 0.5300 | 143 | 4 | 3 | 0.6300 | 43 | 4 | 3 | 0.50 | 43 |
| bare soil | 4 | >10 | 4 | sand | 1 | 0.5800 | 144 | 4 | 4 | 0.6800 | 44 | 4 | 4 | 0.60 | 44 |
| openwater | 5 | <0.5 | 1 | sand | 1 | 1.0000 | 151 | 5 | 1 | 0.5000 | 51 | 5 | 1 | 0.30 | 51 |
| openwater | 5 | 0.5–5 | 2 | sand | 1 | 1.0000 | 152 | 5 | 2 | 0.5500 | 52 | 5 | 2 | 0.40 | 52 |
| openwater | 5 | 5–10 | 3 | sand | 1 | 1.0000 | 153 | 5 | 3 | 0.6000 | 53 | 5 | 3 | 0.50 | 53 |
| openwater | 5 | >10 | 4 | sand | 1 | 1.0000 | 154 | 5 | 4 | 0.6500 | 54 | 5 | 4 | 0.60 | 54 |
| crop | 1 | <0.5 | 1 | Loamy-sand | 2 | 0.3800 | 211 | 6 | 1 | 0.4800 | 61 | 6 | 1 | 0.30 | 61 |
| crop | 1 | 0.5–5 | 2 | loamy-sand | 2 | 0.4300 | 212 | 6 | 2 | 0.5300 | 62 | 6 | 2 | 0.40 | 62 |
| crop | 1 | 5–10 | 3 | loamy-sand | 2 | 0.4800 | 213 | 6 | 3 | 0.5800 | 63 | 6 | 3 | 0.50 | 63 |
| crop | 1 | >10 | 4 | loamy-sand | 2 | 0.5300 | 214 | 6 | 4 | 0.6300 | 64 | 6 | 4 | 0.60 | 64 |
| grass | 2 | <0.5 | 1 | loamy-sand | 2 | 0.1800 | 221 | 7 | 1 | 0.5300 | 71 | 7 | 1 | 0.30 | 71 |
| grass | 2 | 0.5–5 | 2 | loamy-sand | 2 | 0.2300 | 222 | 7 | 2 | 0.5800 | 72 | 7 | 2 | 0.40 | 72 |
| grass | 2 | 5–10 | 3 | loamy-sand | 2 | 0.2800 | 223 | 7 | 3 | 0.6300 | 73 | 7 | 3 | 0.50 | 73 |
| grass | 2 | >10 | 4 | loamy-sand | 2 | 0.3300 | 224 | 7 | 4 | 0.6800 | 74 | 7 | 4 | 0.60 | 74 |
| forest | 3 | <0.5 | 1 | loamy-sand | 2 | 0.0800 | 231 | 8 | 1 | 0.5500 | 81 | 8 | 1 | 0.50 | 81 |
| forest | 3 | 0.5–5 | 2 | loamy-sand | 2 | 0.1300 | 232 | 8 | 2 | 0.5800 | 82 | 8 | 2 | 0.60 | 82 |
| forest | 3 | 5–10 | 3 | loamy-sand | 2 | 0.1800 | 233 | 8 | 3 | 0.6300 | 83 | 8 | 3 | 0.70 | 83 |
| forest | 3 | >10 | 4 | loamy-sand | 2 | 0.2300 | 234 | 8 | 4 | 0.6800 | 84 | 8 | 4 | 0.80 | 84 |
| bare soil | 4 | <0.5 | 1 | loamy-sand | 2 | 0.4800 | 241 | 9 | 1 | 0.5800 | 91 | 9 | 1 | 0.30 | 91 |
| bare soil | 4 | 0.5–5 | 2 | loamy-sand | 2 | 0.5300 | 242 | 9 | 2 | 0.6300 | 92 | 9 | 2 | 0.40 | 92 |
| bare soil | 4 | 5–10 | 3 | loamy-sand | 2 | 0.5800 | 243 | 9 | 3 | 0.6800 | 93 | 9 | 3 | 0.50 | 93 |
| bare soil | 4 | >10 | 4 | loamy-sand | 2 | 0.6300 | 244 | 9 | 4 | 0.7300 | 94 | 9 | 4 | 0.60 | 94 |
| openwater | 5 | <0.5 | 1 | loamy-sand | 2 | 1.0000 | 251 | 10 | 1 | 0.6000 | 101 | 0.00 | |||
| openwater | 5 | 0.5–5 | 2 | loamy-sand | 2 | 1.0000 | 252 | 10 | 2 | 0.6500 | 102 | 0.00 | |||
| openwater | 5 | 5–10 | 3 | loamy-sand | 2 | 1.0000 | 253 | 10 | 3 | 0.7000 | 103 | 0.00 | |||
| openwater | 5 | >10 | 4 | loamy-sand | 2 | 1.0000 | 254 | 10 | 4 | 0.7500 | 104 | 0.00 | |||
| crop | 1 | <0.5 | 1 | sandy-loam | 3 | 0.4000 | 311 | 11 | 1 | 0.6300 | 111 | 0.00 | |||
| crop | 1 | 0.5–5 | 2 | sandy-loam | 3 | 0.4500 | 312 | 11 | 2 | 0.6800 | 112 | 0.00 | |||
| crop | 1 | 5–10 | 3 | sandy-loam | 3 | 0.5000 | 313 | 11 | 3 | 0.7300 | 113 | 0.00 | |||
| crop | 1 | >10 | 4 | sandy-loam | 3 | 0.5500 | 314 | 11 | 4 | 0.7800 | 114 | 0.00 | |||
| grass | 2 | <0.5 | 1 | sandy-loam | 3 | 0.2000 | 321 | 12 | 1 | 0.6500 | 121 | 0.00 | |||
| grass | 2 | 0.5–5 | 2 | sandy-loam | 3 | 0.2500 | 322 | 12 | 2 | 0.7000 | 122 | 0.00 | |||
| grass | 2 | 5–10 | 3 | sandy-loam | 3 | 0.3000 | 323 | 12 | 3 | 0.7500 | 123 | 0.00 | |||
| grass | 2 | >10 | 4 | sandy-loam | 3 | 0.3500 | 324 | 12 | 4 | 0.8000 | 124 | 0.00 | |||
| forest | 3 | <0.5 | 1 | sandy-loam | 3 | 0.1000 | 331 | 0.0000 | 0.00 | ||||||
| forest | 3 | 0.5–5 | 2 | sandy-loam | 3 | 0.1500 | 332 | 0.0000 | 0.00 | ||||||
| forest | 3 | 5–10 | 3 | sandy-loam | 3 | 0.2000 | 333 | 0.0000 | 0.00 | ||||||
| forest | 3 | >10 | 4 | sandy-loam | 3 | 0.2500 | 334 | 0.0000 | 0.00 | ||||||
| bare soil | 4 | <0.5 | 1 | sandy-loam | 3 | 0.5000 | 341 | 0.0000 | 0.00 | ||||||
| bare soil | 4 | 0.5–5 | 2 | Sandy-loam | 3 | 0.5500 | 342 | 0.0000 | 0.00 | ||||||
| bare soil | 4 | 5–10 | 3 | sandy-loam | 3 | 0.6000 | 343 | 0.0000 | 0.00 | ||||||
| bare soil | 4 | >10 | 4 | sandy-loam | 3 | 0.6500 | 344 | 0.0000 | 0.00 | ||||||
| openwater | 5 | <0.5 | 1 | sandy-loam | 3 | 1.0000 | 351 | 0.0000 | 0.00 | ||||||
| openwater | 5 | 0.5–5 | 2 | sandy-loam | 3 | 1.0000 | 352 | 0.0000 | 0.00 | ||||||
| openwater | 5 | 5–10 | 3 | sandy-loam | 3 | 1.0000 | 353 | 0.0000 | 0.00 | ||||||
| openwater | 5 | >10 | 4 | sandy-loam | 3 | 1.0000 | 354 | 0.0000 | 0.00 | ||||||
| crop | 1 | <0.5 | 1 | silty-loam | 4 | 0.4300 | 411 | 0.0000 | 0.00 | ||||||
| crop | 1 | 0.5–5 | 2 | silty-loam | 4 | 0.4800 | 412 | 0.0000 | 0.00 | ||||||
| crop | 1 | 5–10 | 3 | silty-loam | 4 | 0.5300 | 413 | 0.0000 | 0.00 | ||||||
| crop | 1 | >10 | 4 | silty-loam | 4 | 0.5800 | 414 | 0.0000 | 0.00 | ||||||
| grass | 2 | <0.5 | 1 | silty-loam | 4 | 0.2300 | 421 | 0.0000 | 0.00 | ||||||
| grass | 2 | 0.5–5 | 2 | silty-loam | 4 | 0.2800 | 422 | 0.0000 | 0.00 | ||||||
| grass | 2 | 5–10 | 3 | silty-loam | 4 | 0.3300 | 423 | 0.0000 | 0.00 | ||||||
| grass | 2 | >10 | 4 | silty-loam | 4 | 0.3800 | 424 | 0.0000 | 0.00 | ||||||
| forest | 3 | <0.5 | 1 | silty-loam | 4 | 0.1300 | 431 | 0.0000 | 0.00 | ||||||
| forest | 3 | 0.5–5 | 2 | silty-loam | 4 | 0.1800 | 432 | 0.0000 | 0.00 | ||||||
| forest | 3 | 5–10 | 3 | silty-loam | 4 | 0.2300 | 433 | 0.0000 | 0.00 | ||||||
| forest | 3 | >10 | 4 | silty-loam | 4 | 0.2800 | 434 | 0.0000 | 0.00 | ||||||
| bare soil | 4 | <0.5 | 1 | silty-loam | 4 | 0.5300 | 441 | 0.0000 | 0.00 | ||||||
| bare soil | 4 | 0.5–5 | 2 | silty-loam | 4 | 0.5800 | 442 | 0.0000 | 0.00 | ||||||
| bare soil | 4 | 5–10 | 3 | silty-loam | 4 | 0.6300 | 443 | 0.0000 | 0.00 | ||||||
| bare soil | 4 | >10 | 4 | silty-loam | 4 | 0.6800 | 444 | 0.0000 | 0.00 | ||||||
| openwater | 5 | <0.5 | 1 | silty-loam | 4 | 1.0000 | 451 | 0.0000 | 0.00 | ||||||
| openwater | 5 | 0.5–5 | 2 | silty-loam | 4 | 1.0000 | 452 | 0.0000 | 0.00 | ||||||
| openwater | 5 | 5–10 | 3 | silty-loam | 4 | 1.0000 | 453 | 0.0000 | 0.00 | ||||||
| openwater | 5 | >10 | 4 | silty-loam | 4 | 1.0000 | 454 | 0.0000 | 0.00 | ||||||
| crop | 1 | <0.5 | 1 | loam | 5 | 0.4000 | 511 | 0.0000 | 0.00 | ||||||
| crop | 1 | 0.5–5 | 2 | loam | 5 | 0.4500 | 512 | 0.0000 | 0.00 | ||||||
| crop | 1 | 5–10 | 3 | loam | 5 | 0.5000 | 513 | 0.0000 | 0.00 | ||||||
| crop | 1 | >10 | 4 | loam | 5 | 0.5500 | 514 | 0.0000 | 0.00 | ||||||
| grass | 2 | <0.5 | 1 | loam | 5 | 0.2000 | 521 | 0.0000 | 0.00 | ||||||
| grass | 2 | 0.5–5 | 2 | loam | 5 | 0.2500 | 522 | 0.0000 | 0.00 | ||||||
| grass | 2 | 5–10 | 3 | loam | 5 | 0.3000 | 523 | 0.0000 | 0.00 | ||||||
| grass | 2 | >10 | 4 | loam | 5 | 0.3500 | 524 | 0.0000 | 0.00 | ||||||
| forest | 3 | <0.5 | 1 | loam | 5 | 0.1000 | 531 | 0.0000 | 0.00 | ||||||
| forest | 3 | 0.5–5 | 2 | loam | 5 | 0.1500 | 532 | 0.0000 | 0.00 | ||||||
| forest | 3 | 5–10 | 3 | loam | 5 | 0.2000 | 533 | 0.0000 | 0.00 | ||||||
| forest | 3 | >10 | 4 | loam | 5 | 0.2500 | 534 | 0.0000 | 0.00 | ||||||
| bare soil | 4 | <0.5 | 1 | loam | 5 | 0.5000 | 541 | 0.0000 | 0.00 | ||||||
| bare soil | 4 | 0.5–5 | 2 | loam | 5 | 0.5500 | 542 | 0.0000 | 0.00 | ||||||
| bare soil | 4 | 5–10 | 3 | loam | 5 | 0.6000 | 543 | 0.0000 | 0.00 | ||||||
| bare soil | 4 | >10 | 4 | loam | 5 | 0.6500 | 544 | 0.0000 | 0.00 | ||||||
| openwater | 5 | <0.5 | 1 | loam | 5 | 1.0000 | 551 | 0.0000 | 0.00 | ||||||
| openwater | 5 | 0.5–5 | 2 | loam | 5 | 1.0000 | 552 | 0.0000 | 0.00 | ||||||
| openwater | 5 | 5–10 | 3 | loam | 5 | 1.0000 | 553 | 0.0000 | 0.00 | ||||||
| openwater | 5 | >10 | 4 | loam | 5 | 1.0000 | 554 | 0.0000 | 0.00 | ||||||
| crop | 1 | <0.5 | 1 | sandyclaylo | 7 | 0.4300 | 711 | 0.0000 | 0.00 | ||||||
| crop | 1 | 0.5–5 | 2 | sandyclaylo | 7 | 0.4800 | 712 | 0.0000 | 0.00 | ||||||
| crop | 1 | 5–10 | 3 | sandyclaylo | 7 | 0.5300 | 713 | 0.0000 | 0.00 | ||||||
| crop | 1 | >10 | 4 | sandyclaylo | 7 | 0.5800 | 714 | 0.0000 | 0.00 | ||||||
| grass | 2 | <0.5 | 1 | sandyclaylo | 7 | 0.2300 | 721 | 0.0000 | 0.00 | ||||||
| grass | 2 | 0.5–5 | 2 | sandyclaylo | 7 | 0.2800 | 722 | 0.0000 | 0.00 | ||||||
| grass | 2 | 5–10 | 3 | sandyclaylo | 7 | 0.3300 | 723 | 0.0000 | 0.00 | ||||||
| grass | 2 | >10 | 4 | sandyclaylo | 7 | 0.3800 | 724 | 0.0000 | 0.00 | ||||||
| forest | 3 | <0.5 | 1 | sandyclaylo | 7 | 0.1300 | 731 | 0.0000 | 0.00 | ||||||
| forest | 3 | 0.5–5 | 2 | sandyclaylo | 7 | 0.1800 | 732 | 0.0000 | 0.00 | ||||||
| forest | 3 | 5–10 | 3 | sandyclaylo | 7 | 0.2300 | 733 | 0.0000 | 0.00 | ||||||
| forest | 3 | >10 | 4 | sandyclaylo | 7 | 0.2800 | 734 | 0.0000 | 0.00 | ||||||
| bare soil | 4 | <0.5 | 1 | sandyclaylo | 7 | 0.5300 | 741 | 0.0000 | 0.00 | ||||||
| bare soil | 4 | 0.5–5 | 2 | sandyclaylo | 7 | 0.5800 | 742 | 0.0000 | 0.00 | ||||||
| bare soil | 4 | 5–10 | 3 | sandyclaylo | 7 | 0.6300 | 743 | 0.0000 | 0.00 | ||||||
| bare soil | 4 | >10 | 4 | sandyclaylo | 7 | 0.6800 | 744 | 0.0000 | 0.00 | ||||||
| openwater | 5 | <0.5 | 1 | sandyclaylo | 7 | 1.0000 | 751 | 0.0000 | 0.00 | ||||||
| openwater | 5 | 0.5–5 | 2 | sandyclaylo | 7 | 1.0000 | 752 | 0.0000 | 0.00 | ||||||
| openwater | 5 | 5–10 | 3 | sandyclaylo | 7 | 1.0000 | 753 | 0.0000 | 0.00 | ||||||
| openwater | 5 | >10 | 4 | sandyclaylo | 7 | 1.0000 | 754 | 0.0000 | 0.00 | ||||||
| crop | 1 | <0.5 | 1 | clayloam | 9 | 0.4800 | 911 | 0.0000 | 0.00 | ||||||
| crop | 1 | 0.5–5 | 2 | clayloam | 9 | 0.5300 | 912 | 0.0000 | 0.00 | ||||||
| crop | 1 | 5–10 | 3 | clayloam | 9 | 0.5800 | 913 | 0.0000 | 0.00 | ||||||
| crop | 1 | >10 | 4 | clayloam | 9 | 0.6300 | 914 | 0.0000 | 0.00 | ||||||
| grass | 2 | <0.5 | 1 | clayloam | 9 | 0.2800 | 921 | 0.0000 | 0.00 | ||||||
| grass | 2 | 0.5–5 | 2 | clayloam | 9 | 0.3300 | 922 | 0.0000 | 0.00 | ||||||
| grass | 2 | 5–10 | 3 | clayloam | 9 | 0.3800 | 923 | 0.0000 | 0.00 | ||||||
| grass | 2 | >10 | 4 | clayloam | 9 | 0.4300 | 924 | 0.0000 | 0.00 | ||||||
| forest | 3 | <0.5 | 1 | clayloam | 9 | 0.1800 | 931 | 0.0000 | 0.00 | ||||||
| forest | 3 | 0.5–5 | 2 | clayloam | 9 | 0.2300 | 932 | 0.0000 | 0.00 | ||||||
| forest | 3 | 5–10 | 3 | clayloam | 9 | 0.2800 | 933 | 0.0000 | 0.00 | ||||||
| forest | 3 | >10 | 4 | clayloam | 9 | 0.3300 | 934 | 0.0000 | 0.00 | ||||||
| bare soil | 4 | <0.5 | 1 | clayloam | 9 | 0.5800 | 941 | 0.0000 | 0.00 | ||||||
| bare soil | 4 | 0.5–5 | 2 | clayloam | 9 | 0.6300 | 942 | 0.0000 | 0.00 | ||||||
| bare soil | 4 | 5–10 | 3 | clayloam | 9 | 0.6800 | 943 | 0.0000 | 0.00 | ||||||
| bare soil | 4 | >10 | 4 | clayloam | 9 | 0.7300 | 944 | 0.0000 | 0.00 | ||||||
| openwater | 5 | <0.5 | 1 | clayloam | 9 | 1.0000 | 951 | 0.0000 | 0.00 | ||||||
| openwater | 5 | 0.5–5 | 2 | clayloam | 9 | 1.0000 | 952 | 0.0000 | 0.00 | ||||||
| openwater | 5 | 5–10 | 3 | clayloam | 9 | 1.0000 | 953 | 0.0000 | 0.00 | ||||||
| openwater | 5 | >10 | 4 | clayloam | 9 | 1.0000 | 954 | 0.0000 | 0.00 | ||||||
| crop | 1 | <0.5 | 1 | clay | 12 | 0.5500 | 1211 | 0.0000 | 0.00 | ||||||
| crop | 1 | 0.5–5 | 2 | clay | 12 | 0.6000 | 1212 | 0.0000 | 0.00 | ||||||
| crop | 1 | 5–10 | 3 | clay | 12 | 0.6500 | 1213 | 0.0000 | 0.00 | ||||||
| crop | 1 | >10 | 4 | clay | 12 | 0.7000 | 1214 | 0.0000 | 0.00 | ||||||
| grass | 2 | <0.5 | 1 | clay | 12 | 0.3500 | 1221 | 0.0000 | 0.00 | ||||||
| grass | 2 | 0.5–5 | 2 | clay | 12 | 0.4000 | 1222 | 0.0000 | 0.00 | ||||||
| grass | 2 | 5–10 | 3 | clay | 12 | 0.4500 | 1223 | 0.0000 | 0.00 | ||||||
| grass | 2 | >10 | 4 | clay | 12 | 0.5000 | 1224 | 0.0000 | 0.00 | ||||||
| forest | 3 | <0.5 | 1 | clay | 12 | 0.2500 | 1231 | 0.0000 | 0.00 | ||||||
| forest | 3 | 0.5–5 | 2 | clay | 12 | 0.3000 | 1232 | 0.0000 | 0.00 | ||||||
| forest | 3 | 5–10 | 3 | clay | 12 | 0.3500 | 1233 | 0.0000 | 0.00 | ||||||
| forest | 3 | >10 | 4 | clay | 12 | 0.4000 | 1234 | 0.0000 | 0.00 | ||||||
| bare soil | 4 | <0.5 | 1 | clay | 12 | 0.6500 | 1241 | 0.0000 | 0.00 | ||||||
| bare soil | 4 | 0.5–5 | 2 | clay | 12 | 0.7000 | 1242 | 0.0000 | 0.00 | ||||||
| bare soil | 4 | 5–10 | 3 | clay | 12 | 0.7500 | 1243 | 0.0000 | 0.00 | ||||||
| bare soil | 4 | >10 | 4 | clay | 12 | 0.8000 | 1244 | 0.0000 | 0.00 | ||||||
| openwater | 5 | <0.5 | 1 | clay | 12 | 1.0000 | 1251 | 0.0000 | 0.00 | ||||||
| openwater | 5 | 0.5–5 | 2 | clay | 12 | 1.0000 | 1252 | 0.0000 | 0.00 | ||||||
| openwater | 5 | 5–10 | 3 | clay | 12 | 1.0000 | 1253 | 0.0000 | 0.00 | ||||||
| openwater | 5 | >10 | 4 | clay | 12 | 1.0000 | 1254 | 0.0000 | 0.00 |
| Monitoringpoints | Location | Latitude Andlongitude | Groundwaterdepth (m) | ∆h(m) |
|---|---|---|---|---|
| 0 | Qingyang village in Pinggu district | 40°6′5.09″ N, 117°4′6.10″ E | 25.32 | 1.71 |
| 1 | Chenjiaying village in Chengguan town ofYanqing country | 40°27′25.34″ N, 116°2′8.10″ E | 13.97 | 11.8 |
| 2 | Xiyangfang village in Lejiabao of Yanqingcountry | 40°31′6.05″ N, 115°55′7.34″ E | 13.70 | 1.08 |
| 3 | Xiaonanyuan in Yongning town of Yanqingcountry | 40°31′41.67″ N, 116°9′48.53″ E | 9.84 | 1.7 |
| 4 | Shahe village in Chengguan town of Miyuncountry | 40°23′34.24″ N, 116°51′8.85″ E | 26.91 | 3.18 |
| 5 | Menlou village in Pinggu district | 40°4′42.10″ N, 117°3′28.42″ E | 1.77 | 3.95 |
| 6 | Tianjiaying in Shunyi district | 40°6′31.43″ N, 116°48′12.30″ E | 14.72 | 1.66 |
| 7 | Changziying in Daxing district | 39°41′14.73″ N, 116°35′11.77″ E | 4.55 | 4.32 |
| 8 | Xiaotangshan village in Xiaotangshan town ofChangping district | 40°10′14.03″ N, 116°22′41.83″ E | 2.21 | 5.25 |
| 9 | Yangzhenerjie in Shunyi district | 40°9′0.43″ N, 116°49′39.30″ E | 2.48 | 1.63 |
| 10 | Henan village in Shunyi district | 40°6′14.31″ N, 116°42′12.80″ E | 6.47 | 8.74 |
| 11 | Nanhuofa in Tongzhou district | 39°47′56.62″ N, 116°39′46.09″ E | 2.43 | 2.51 |
| 12 | Dongran village in Haidian district | 39°57′15.85″ N, 116°16′14.79″ E | 30.31 | 3.95 |
| 13 | Tsinghua University in Haidian district | 39°59′58.80″ N, 116°19′35.20″ E | 31.07 | 4.82 |
| 14 | Peking University in Haidian district | 39°59′12.82″ N, 116°18′21.04″ E | 25.54 | 5.03 |
| 15 | Dahongmen in Fengtai district | 39°49′40.13″ N, 116°25′5.79″ E | 23.91 | 0.53 |
| 16 | Baliqiao village in Chaoyang district | 39°54′35.61″ N, 116°36′55.99″ E | 58.77 | 2.79 |
| 17 | Working people’s Cultural Palace in Dongchengdistrict | 39°54′38.35″ N, 116°24′0.57″ E | 27.47 | 1.49 |
| 18 | Xingli village in Fangshan district | 39°35′49.64″ N, 116°4′59.75E | 5.05 | 9.16 |
| 19 | Liangxiang Development Zone in Fangshandistrict | 39°42′28.84″ N, 116°12′16.75″ E | 16.68 | 5.57 |
| 20 | Lizhuang village in Fangshan district | 39°35′56.17″ N, 116°0′27.92″ E | 8.45 | 9.18 |
| 21 | Capital Normal University in Haidian district | 39°55′49.09″ N, 116°18′27.63″ E | 32.49 | 2.21 |
| 22 | Tiantan Park | 39°53′1.39″ N, 116°24′45.93″ E | 28.44 | 1.1 |
| 23 | Dingfu village of Chaoyang district | 39°55′7.42″ N, 116°33′59.34″ E | 2.93 | 1.5 |
| 24 | Luhe middle school in Tongzhou district | 39°53′56.82″ N, 116°39′23.63″ E | 15.87 | 5.13 |
| 25 | Water source plant in Fengtai district | 39°51′49.68″ N, 116°19′6.05″ E | 24.22 | 2.5 |
| 26 | Yuquan mountain in Haidian district | 39°59′38.15″ N, 116°14′52.83″ E | 33.03 | 7.62 |
References
- Han, D.; Currell, M.J.; Cao, G.; Hall, B. Alterations to groundwater recharge due to anthropogenic landscape change. J. Hydrol. 2017, 554, 545–557. [Google Scholar] [CrossRef]
- Yang, Y.; Lerner, D.N.; Barrett, M.H.; Tellam, J.H. Quantification of groundwater recharge in the city of Nottingham, UK. Environ. Geol. 1999, 38, 183–198. [Google Scholar] [CrossRef]
- Liu, Y.; Gebremeskel, S.; Smedt, F.D.; Hoffmann, L. Predicting storm runoff from different land-use classes using a geographical information systembased distributed model. J. Hydrol. 2006, 20, 533–548. [Google Scholar]
- Dow, C.L.; DeWalle, D.R. Trends in evaporation and bowen ratio on urbanizing watersheds in eastern United States. Water Resour. Res. 2000, 36, 1835–1843. [Google Scholar] [CrossRef]
- Larsen, T.A.; Hoffmann, S.; Lüthi, C.; Truffer, B.; Maurer, M. Emerging solutions to the water challenges of an urbanizing world. Science 2016, 352, 928–933. [Google Scholar] [CrossRef] [PubMed]
- Zhou, L.; Dickinson, R.E.; Tian, Y.; Fang, J.; Li, Q.; Kaufmann, R.K.; Tucker, C.J.; Myneni, R.B. Evidence for a significant urbanization effect on climate in China. Proc. Natl. Acad. Sci. USA 2004, 101, 9540–9544. [Google Scholar] [CrossRef] [PubMed]
- Fu, P. A time series analysis of urbanization induced land use and land cover change and its impact on land surface temperature with landsat imagery. Remote Sens. Environ. 2016, 175, 205–214. [Google Scholar] [CrossRef]
- Su, S.; Ma, X.; Xiao, R. Agricultural landscape pattern changes in response to urbanization at ecoregional scale. Ecol. Indic. 2014, 40, 10–18. [Google Scholar] [CrossRef]
- Tian, Y.; Jim, C.Y.; Wang, H. Assessing the landscape and ecological quality of urban green spaces in a compact city. Landsc. Urban Plan. 2014, 121, 97–108. [Google Scholar] [CrossRef]
- Kadish, J.; Netusil, N. Valuing vegetation in an urban watershed. Landsc. Urban Plan. 2012, 104, 59–65. [Google Scholar] [CrossRef]
- Davies, A.S.; Hernebring, C.; Svensson, G. The impacts of climate change and urbanisation on drainage in helsingborg, sweden: Suburban stormwater. J. Hydrol. 2008, 350, 114–125. [Google Scholar] [CrossRef]
- Poelmans, L.; Rompaey, A.; Batelaan, O. Coupling urban expansion models and hydrological models: How important are spatial patterns? Land Use Policy 2010, 27, 965–975. [Google Scholar] [CrossRef]
- Huang, T.; Li, X.; Rijnaarts, H.; Grotenhuis, T. Effects of storm runoff on the thermal regime and water quality of a deep, stratified reservoir in a temperate monsoon zone, in northwest China. Sci. Total Environ. 2014, 485, 820–827. [Google Scholar] [CrossRef] [PubMed]
- Corbett, D.R.; Chanton, J.; Burnett, W.; Dillon, K.; Rutkowski, C.; Fourqurean, J.W. Patterns of groundwater discharge into Florida Bay. Limnol. Oceanogr. 1999, 44, 1045–1055. [Google Scholar] [CrossRef]
- Rose, S.; Peters, N.E. Effects of urbanization on streamflow in the Atlanta area (Georgia, USA): A comparative hydrological approach. Hydrol. Process. 2001, 15, 1441–1457. [Google Scholar] [CrossRef]
- Grischek, T.; Nestler, W.; Piechniczek, D.; Fischer, T. Urban groundwater in Dresden, Germany. Hydrogeol. J. 1996, 4, 48–63. [Google Scholar] [CrossRef]
- Kalin, L.; Hantush, M.M. Hydrologic modeling of an eastern Pennsylvania watershed with NEXRAD and rain gauge data. J. Hydrol. Eng. 2006, 11, 555–569. [Google Scholar] [CrossRef]
- Barron, O.V.; Donn, M.J.; Barr, A.D. Urbanisation and shallow groundwater: predicting changes in catchment hydrological responses. Water Resour. Manag. 2013, 27, 95–115. [Google Scholar] [CrossRef]
- Zhang, D.; Madsen, H.; Ridler, M.E.; Refsgaard, J.C. Impact of uncertainty description on assimilating hydraulic head in the MIKE SHE distributed hydrological model. Adv. Water Resour. 2015, 86, 400–413. [Google Scholar] [CrossRef]
- Gumindoga, W.; Rientjes, T.; Haile, A.; Dube, T. Predicting streamflow for land cover changes in the upper Gilgel Abay River basin, Ethiopia: A TOPMODEL based approach. Phys. Chem. Earth 2014, 76, 3–15. [Google Scholar] [CrossRef]
- Singh, G.; Saraswat, D. Development and evaluation of targeted marginal land mapping approach in SWAT model for simulating water quality impacts of selected second generation biofeedstock. Environ. Model. Softw. 2016, 81, 26–39. [Google Scholar] [CrossRef]
- Gebreyohannes, T.; Smedt, F.; Walraevens, K.; Gebresilassie, S. Application of a spatially distributed water balance model for assessing surface water and groundwater resources in the Geba basin, Tigray, Ethiopia. J. Hydrol. 2013, 499, 110–123. [Google Scholar] [CrossRef]
- Batelaan, O.; Wang, Z.; de Smedt, F. An adaptive GIS toolbox for hydrological modelling. In Application of Geographic Information Systems in Hydrology and Water Resources Management; Kovar, K., Nachtnebel, H.P., Eds.; International Association of Hydrological Sciences: Wallingford, UK, 1996; pp. 3–9. [Google Scholar]
- Moiwo, J.P.; Tao, F. Groundwater recharge and discharge analysis for Land use conditions suitable for the hydrology and ecology of semiarid regions. Hydrol. Res. 2014, 45, 563. [Google Scholar] [CrossRef]
- Wang, Y.; Lei, X.; Liao, W.; Jiang, Y.; Huang, X.; Liu, J.; Song, X.; Wang, H. Monthly spatial distributed water resources assessment: A case study. Comput. Geosci. 2012, 45, 319–330. [Google Scholar] [CrossRef]
- Zomlot, Z.; Verbeiren, B.; Huysmans, M.; Batelaan, O. Spatial distribution of groundwater recharge and base flow: Assessment of controlling factors. J. Hydrol. 2015, 4, 349–368. [Google Scholar] [CrossRef]
- Zomlot, Z.; Verbeiren, B.; Huysmans, M.; Batelaan, O. Trajectory analysis of land use and land cover maps to improve spatial-temporal patterns, and impact assessment on groundwater recharge. J. Hydrol. 2017, 554, 558–569. [Google Scholar] [CrossRef]
- Lin, L.; Yin, Y.; Xie, Y. Study on rainfall infiltration recharge under conditions of difference land use and cover in Songnen basin. Water Resour. Hydropower Northeast 2011, 1, 35–37. (In Chinese) [Google Scholar]
- Dams, J.; Dujardin, J.; Reggers, R.; Bashir, I. Mapping impervious surface change from remote sensing for hydrological modeling. J. Hydrol. 2013, 485, 84–95. [Google Scholar] [CrossRef]
- Jiang, Y.; Tian, F.; Luo, Y.; Wang, R. Research on the relationship between groundwater level and layered subsidence in typical regions of Beijing. South-to-North Water Transf. Water Sci. Technol. 2015, 13, 95–99. (In Chinese) [Google Scholar]
- Bureau, B.S. Beijing Statistical Yearbook 2010; China Statistics Press: Beijing, China, 2010. (In Chinese) [Google Scholar]
- Qiao, Z.; Tian, G.; Xiao, L. Diurnal and seasonal impacts of urbanization on the urban thermal environment: A case study of Beijing using MODIS data. ISPRS J. Photogramm. Remote Sens. 2013, 85, 93–107. [Google Scholar] [CrossRef]
- Sun, Z.; Feng, S.; Yang, Z.; Wu, H. Primary analysis of the precipitation characteristics for Beijing during the period from 1950 to 2005. J. Irrig. Drain. 2007, 26, 12–16. [Google Scholar]
- Pan, Y.; Zhu, L.; Du, L.; Xu, H. Estimation of rainfall infiltration in Beijing plain using WetSpass. J. Water Resour. Res. 2012, 1, 245–250. (In Chinese) [Google Scholar] [CrossRef]
- Tong, Y.; Wang, Y. Dynamic simulation and policy analysis of Beijing population. China Popul. Ressour. Environ. 2016, 26, 170–176. (In Chinses) [Google Scholar]
- Wang, J.; Yang, F.; He, B.; Zhao, L. Study on reducing shadow impact in the extraction impervious surface coverage of urban based on quickbird image. Remote Sens. Inf. 2008, 3, 69–73. (In Chinese) [Google Scholar]
- Shen, Z.; Hou, X.; Li, W.; Aini, G.; Chen, L.; Gong, Y. Impact of landscape pattern at multiple spatial scales on water quality: A case study in a typical urbanised watershed in China. Ecol. Indic. 2015, 48, 417–427. [Google Scholar] [CrossRef]
- Mcgarigal, K. Fragstats: Spatial Pattern Analysis Software for Categorical Maps; University of Massachusetts: Amherst, MA, USA, 2002. [Google Scholar]
- Batelaan, O.; de Smedt, F. Wetspass: A flexible, GIS based, distributed recharge methodology for regional groundwater modelling. In Impact of Human Activity on Groundwater Dynamics; Gehrels, H., Peters, J., Leibundgut, C., Eds.; International Association of Hydrological Sciences: Wallingford, UK, 2001; pp. 11–17. [Google Scholar]
- Park, C.; Seo, J.; Lee, J.; Ha, K.; Koo, M.H. A distributed water balance approach to groundwater recharge estimation for Jeju volcanic island, Korea. Geosci. J. 2014, 18, 193–207. [Google Scholar] [CrossRef]
- Batelaan, O.; de Smedt, F. GIS-based recharge estimation by coupling surface-subsurface water balances. J. Hydrol. 2007, 337, 337–355. [Google Scholar] [CrossRef]
- Armanuos, A.M.; Negm, A. Assessment of the variations of local parameters of Wetspass model: Case study Nile Delta aquifer. Procedia Eng. 2016, 154, 276–283. [Google Scholar] [CrossRef]
- Batelaan, O.; Woldeamlak, S.T. Arcview Interface for WetSpass, Version 13-06-2007; Vrije University Brussels: Brussels, Belgium, 2007. [Google Scholar]
- Gao, C. China Groundwater Level Yearbook for Geo-Environmental Monitoring; China Land Press: Beijing, China, 2013; p. 583. (In Chinese) [Google Scholar]
- Xu, C.; Singh, V. Review on regional water resources assessment models under stationary and changing climate. Water Resour. Manag. 2004, 18, 591–612. [Google Scholar] [CrossRef]
- Tahir, M.E.; Wang, W.; Xu, C.; Zhang, Y. Comparison of methods for estimation of regional actual evapotranspiration in data scarce regions: The Blue Nile region-Eastern Sudan. J. Hydrol. Eng. 2012, 17, 578–589. [Google Scholar] [CrossRef]
- Fiquepron, J.; Garcia, S.; Stenger, A. Land use impact on water quality: Valuing forest services in terms of the water supply sector. J. Environ. Manag. 2013, 126, 13–21. [Google Scholar] [CrossRef] [PubMed]
- Zhu, L.; Liu, C.; Li, X. Precipitation infiltration change in Beijing plain in the contex of urbanization. Earth Sci. 2013, 38, 1065–1072. (In Chinese) [Google Scholar]
- Shuster, W.; Bonta, J.; Thurston, H.; Warnemuende, E.; Smith, E. Impacts of impervious surface on watershed hydrology: A review. Urban Water J. 2005, 2, 263–275. [Google Scholar] [CrossRef]
- Tomer, M.D.; Schilling, K.E. A simple approach to distinguish land-use and climate-change effects on watershed hydrology. J. Hydrol. 2009, 376, 24–33. [Google Scholar] [CrossRef]
- Wang, M.; Zhang, D.; Adhityan, A.; Ng, W.J.; Dong, J.; Tan, S.K. Assessing cost-effectiveness of bioretention on stormwater in response to climate change and urbanization for future scenarios. J. Hydrol. 2016, 543, 423–432. [Google Scholar] [CrossRef]
- Melki, A.; Abdollahi, K.; Fatahi, R.; Abida, H. Groundwater recharge estimation under semi arid climate: Case of Northern Gafsa watershed, Tunisia. J. Afr. Earth Sci. 2017, 132, 37–46. [Google Scholar] [CrossRef]
- Shrestha, S.; Bach, T.V.; Pandey, V.P. Climate change impacts on groundwater resources in Mekong Delta under representative concentration pathways (RCPs) scenarios. Environ. Sci. Policy 2016, 61, 1–13. [Google Scholar] [CrossRef]
- Jia, Y.W.; Zhao, H.L.; Niu, C.W.; Jiang, Y.Z.; Hong, G.; Zhi, X.; Zhao, X.L.; Zhao, Z.X. A WebGIS-based system for rainfall-runoff prediction and real-time water resources assessment for Beijing. Comput. Geosci. 2009, 35, 1517–1528. [Google Scholar] [CrossRef]
- Minnig, M.; Moeck, C.; Radny, D.; Schirmer, M. Impact of urbanization on groundwater recharge rates in Dübendorf, Switzerland. J. Hydrol. 2017, in press. [Google Scholar] [CrossRef]
- Chen, Q.; Wang, L.; Yuan, L. Analysis of urban landscape pattern change in Yanzhou city based on TM/ETM images. Procedia Earth Planet. Sci. 2009, 1, 1191–1197. [Google Scholar] [CrossRef]
- Ji, D.; Wen, Y.; Wei, J.; Wu, Z. Relationships between landscape spatial characteristics and surface water quality in the Liu Xi River watershed. Acta Ecol. Sinica 2015, 35, 246–253. (In Chinese) [Google Scholar]
- Li, J.; Zhou, Z.X. Coupled analysis on landscape pattern and hydrological processes in Yanhe watershed of China. Sci. Total Environ. 2015, 505, 927–938. [Google Scholar] [CrossRef] [PubMed]
- Jia, H.; Ma, H.; Wei, M. Urban wetland planning: A case study in the Beijing central region. Ecol. Complex. 2011, 8, 213–221. [Google Scholar] [CrossRef]










| Landscape Indices | Abbreviations | Formulas | Ecological Meanings |
|---|---|---|---|
| Patch Density | PD | The larger the PD value, the more severe the degree of fragmentation. | |
| Splitting Index | SPLIT | The SPLIT value reflects the subdivision degree of a landscape. | |
| Patch Richness Density | PRD | PRD = m/A | The PRD is larger if there are more patch types. |
| Shannon’s Diversity Index | SHDI | SHDI implies the abundance and distribution of different landscape types. | |
| Aggregation Index | AI | AI increases with the more concentrated patch types. |
| Lithology | μ | Lithology | μ |
|---|---|---|---|
| Clay | 0.02–0.035 | Medium sands | 0.09–0.13 |
| Loam | 0.02–0.05 | Medium coarse sand | 0.10–0.15 |
| Sandy loam | 0.03–0.06 | Coarse sand | 0.11–0.15 |
| Silty sand | 0.06–0.1 | Sandstone | 0.02–0.03 |
| Fine sand | 0.08–0.12 | Limestone | 0.008–0.10 |
| Landscape Index | 2000 | 2012 |
|---|---|---|
| Patch density | 13.23 | 13.51 |
| Splitting index | 1.77 | 1.82 |
| Aggregation index | 87.63 | 87.52 |
| Patch richness density | 10.63 | 10.87 |
| Shannon’s Diversity Index | 0.50 | 0.54 |
| Parameter | Value | Runoff | Evapotranspiration | Recharge | ||||||
|---|---|---|---|---|---|---|---|---|---|---|
| Year | Winter | Summer | Year | Winter | Summer | Year | Winter | Summer | ||
| 2000 | Range | 0–525 | 0–115 | 0–440 | 368–652 | 43–152 | 287–500 | 0–430 | 0–85 | 0–403 |
| Ave. | 43 | 14 | 29 | 571 | 102 | 471 | 277 | 42 | 233 | |
| SD | 61 | 27 | 42 | 28 | 17 | 27 | 67 | 20 | 54 | |
| 2012 | Range | 0–525 | 0–115 | 0–440 | 368–652 | 43–152 | 287–500 | 0–428 | 0–85 | 0–401 |
| Ave. | 46 | 16 | 30 | 573 | 100 | 475 | 272 | 42 | 232 | |
| SD | 60 | 29 | 37 | 27 | 17 | 25 | 62 | 19 | 49 | |
| Variation () | +7% | +14.3% | +3% | +0.4% | +2% | +8% | −2% | 0 | −0.4% | |
| Parameter | Value | Runoff | Evapotranspiration | Recharge | ||||||
|---|---|---|---|---|---|---|---|---|---|---|
| Year | Winter | Summer | Year | Winter | Summer | Year | Winter | Summer | ||
| 2000 | Range | 0–477 | 0–108 | 0–400 | 405–652 | 44–152 | 325–500 | 0–413 | 0–77 | 0–378 |
| Ave. | 57 | 16 | 41 | 582 | 103 | 479 | 250 | 30 | 220 | |
| SD | 67 | 34 | 43 | 26 | 21 | 31 | 81 | 19 | 66 | |
| 2012 | Range | 0–439 | 0–110 | 0–369 | 444–652 | 44–152 | 340–500 | 0–412 | 0–77 | 0–378 |
| Ave. | 87 | 29 | 57 | 619 | 114 | 505 | 189 | 18 | 171 | |
| SD | 67 | 35 | 39 | 25 | 21 | 30 | 74 | 17 | 59 | |
| Variation () | +52% | +81% | +39% | +6% | +10% | +5% | −24% | −40% | −22% | |
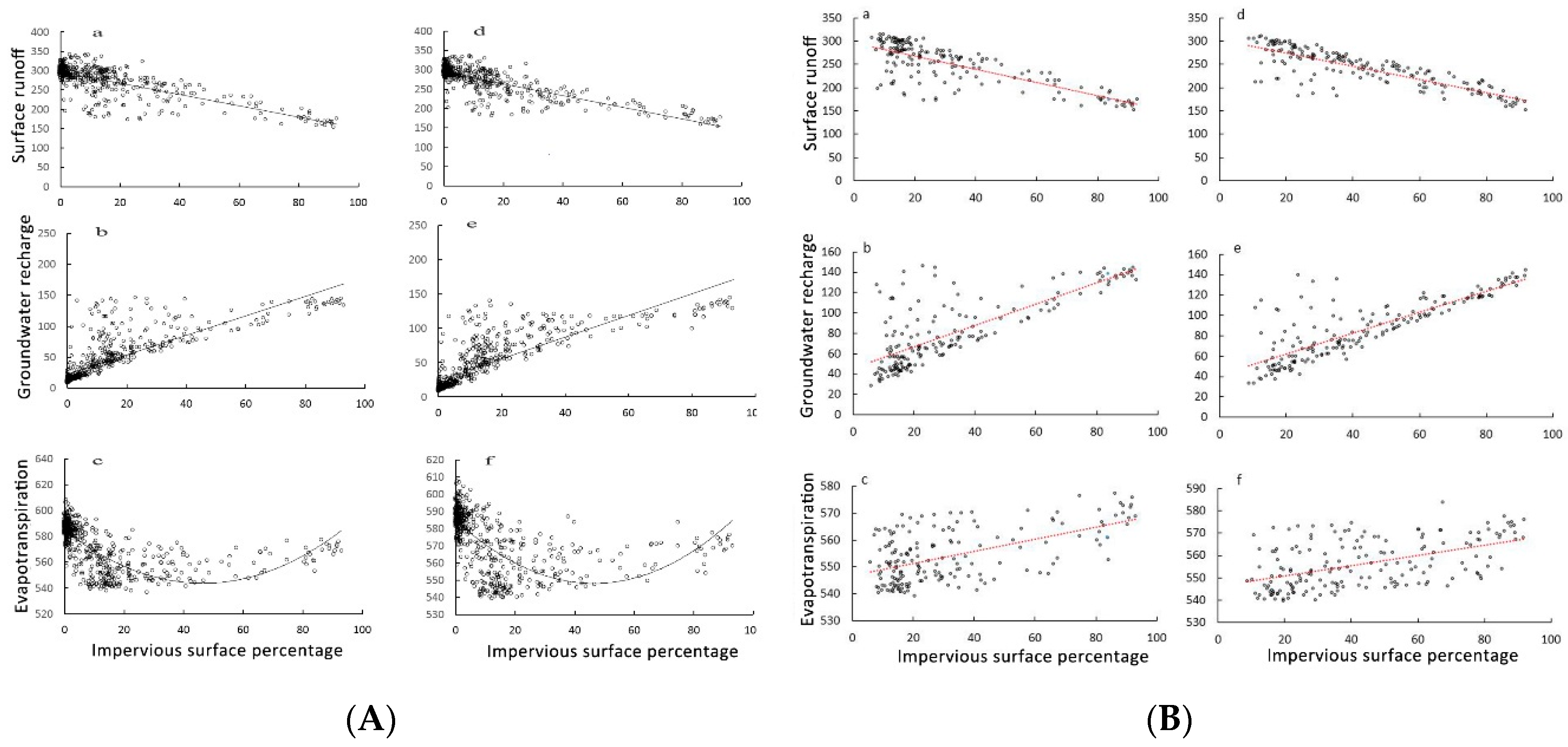
| Independent | Time | Dependent | Correlation model | R |
|---|---|---|---|---|
| Impervious percentages | 2000 | Groundwater recharge | Y = −1.4241x + 296.28 | −0.769 ** |
| Surface runoff | Y = 1.0454x + 45.985 | −0.783 ** | ||
| Evapotranspiration | Y = 0.2261x + 546.8 | 0.567 ** | ||
| 2012 | Groundwater recharge | Y= −1.4205x + 303.52 | −0.834 ** | |
| Surface runoff | Y= 1.0241x + 41.671 | 0.829 ** | ||
| Evapotranspiration | Y = 0.2307x + 546.09 | 0.510 ** |
© 2017 by the authors. Licensee MDPI, Basel, Switzerland. This article is an open access article distributed under the terms and conditions of the Creative Commons Attribution (CC BY) license (http://creativecommons.org/licenses/by/4.0/).
Share and Cite
Zhang, Y.; Liu, S.; Cheng, F.; Shen, Z. WetSpass-Based Study of the Effects of Urbanization on the Water Balance Components at Regional and Quadrat Scales in Beijing, China. Water 2018, 10, 5. https://doi.org/10.3390/w10010005
Zhang Y, Liu S, Cheng F, Shen Z. WetSpass-Based Study of the Effects of Urbanization on the Water Balance Components at Regional and Quadrat Scales in Beijing, China. Water. 2018; 10(1):5. https://doi.org/10.3390/w10010005
Chicago/Turabian StyleZhang, Yueqiu, Shiliang Liu, Fangyan Cheng, and Zhenyao Shen. 2018. "WetSpass-Based Study of the Effects of Urbanization on the Water Balance Components at Regional and Quadrat Scales in Beijing, China" Water 10, no. 1: 5. https://doi.org/10.3390/w10010005
APA StyleZhang, Y., Liu, S., Cheng, F., & Shen, Z. (2018). WetSpass-Based Study of the Effects of Urbanization on the Water Balance Components at Regional and Quadrat Scales in Beijing, China. Water, 10(1), 5. https://doi.org/10.3390/w10010005

